当前位置:首页>文档>黄金卷-赢在高考·黄金8卷备战2024年高考数学模拟卷(新高考Ⅰ卷专用)(参考答案)_2.2025数学总复习_2024年新高考资料_4.2024高考模拟预测试卷_747

黄金卷-赢在高考·黄金8卷备战2024年高考数学模拟卷(新高考Ⅰ卷专用)(参考答案)_2.2025数学总复习_2024年新高考资料_4.2024高考模拟预测试卷_747

  • 2026-05-10 09:59:05 2026-03-29 06:02:07

文档预览

黄金卷-赢在高考·黄金8卷备战2024年高考数学模拟卷(新高考Ⅰ卷专用)(参考答案)_2.2025数学总复习_2024年新高考资料_4.2024高考模拟预测试卷_747
黄金卷-赢在高考·黄金8卷备战2024年高考数学模拟卷(新高考Ⅰ卷专用)(参考答案)_2.2025数学总复习_2024年新高考资料_4.2024高考模拟预测试卷_747
黄金卷-赢在高考·黄金8卷备战2024年高考数学模拟卷(新高考Ⅰ卷专用)(参考答案)_2.2025数学总复习_2024年新高考资料_4.2024高考模拟预测试卷_747
黄金卷-赢在高考·黄金8卷备战2024年高考数学模拟卷(新高考Ⅰ卷专用)(参考答案)_2.2025数学总复习_2024年新高考资料_4.2024高考模拟预测试卷_747
黄金卷-赢在高考·黄金8卷备战2024年高考数学模拟卷(新高考Ⅰ卷专用)(参考答案)_2.2025数学总复习_2024年新高考资料_4.2024高考模拟预测试卷_747
黄金卷-赢在高考·黄金8卷备战2024年高考数学模拟卷(新高考Ⅰ卷专用)(参考答案)_2.2025数学总复习_2024年新高考资料_4.2024高考模拟预测试卷_747
黄金卷-赢在高考·黄金8卷备战2024年高考数学模拟卷(新高考Ⅰ卷专用)(参考答案)_2.2025数学总复习_2024年新高考资料_4.2024高考模拟预测试卷_747
黄金卷-赢在高考·黄金8卷备战2024年高考数学模拟卷(新高考Ⅰ卷专用)(参考答案)_2.2025数学总复习_2024年新高考资料_4.2024高考模拟预测试卷_747
黄金卷-赢在高考·黄金8卷备战2024年高考数学模拟卷(新高考Ⅰ卷专用)(参考答案)_2.2025数学总复习_2024年新高考资料_4.2024高考模拟预测试卷_747
黄金卷-赢在高考·黄金8卷备战2024年高考数学模拟卷(新高考Ⅰ卷专用)(参考答案)_2.2025数学总复习_2024年新高考资料_4.2024高考模拟预测试卷_747
黄金卷-赢在高考·黄金8卷备战2024年高考数学模拟卷(新高考Ⅰ卷专用)(参考答案)_2.2025数学总复习_2024年新高考资料_4.2024高考模拟预测试卷_747
黄金卷-赢在高考·黄金8卷备战2024年高考数学模拟卷(新高考Ⅰ卷专用)(参考答案)_2.2025数学总复习_2024年新高考资料_4.2024高考模拟预测试卷_747
黄金卷-赢在高考·黄金8卷备战2024年高考数学模拟卷(新高考Ⅰ卷专用)(参考答案)_2.2025数学总复习_2024年新高考资料_4.2024高考模拟预测试卷_747
黄金卷-赢在高考·黄金8卷备战2024年高考数学模拟卷(新高考Ⅰ卷专用)(参考答案)_2.2025数学总复习_2024年新高考资料_4.2024高考模拟预测试卷_747
黄金卷-赢在高考·黄金8卷备战2024年高考数学模拟卷(新高考Ⅰ卷专用)(参考答案)_2.2025数学总复习_2024年新高考资料_4.2024高考模拟预测试卷_747

文档信息

文档格式
docx
文档大小
0.529 MB
文档页数
11 页
上传时间
2026-03-29 06:02:07

文档内容

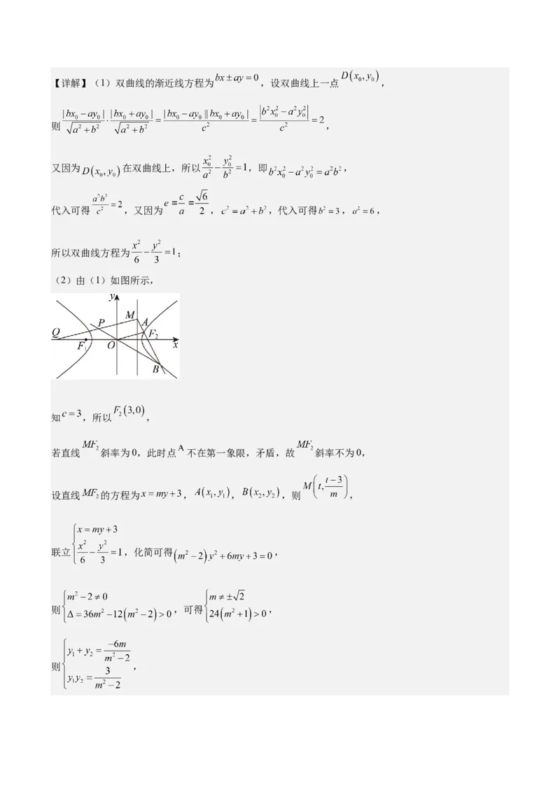
【赢在高考·黄金8卷】备战2024年高考数学模拟卷(新高考Ⅰ卷专用) 黄金卷·参考答案 (考试时间:120分钟 试卷满分:150分) 第 I 卷(选择题) 一、单项选择题:本题共8小题,每小题5分,共40分,在每小题给出的四个选项中,只有一项是符合要 求的。 1 2 3 4 5 6 7 8 A D C B C C D A 二、多项选择题:本题共4小题,每小题5分,共20分,在每小题给出的四个选项中,有多项符合题目的 要求,全部选对的得5分,部分选对的得2分,有选错的得0分。 9 10 11 12 BC BC ABD ABD 第 II 卷(非选择题) 三、填空题:本题共4小题,每小题5分,共20分。 13.120 14. 或 或 (答案不唯一) 15. 16. 四、解答题:本题共6小题,共70分,解答应写出必要的文字说明、证明过程及验算步骤。 17.(10分) 【详解】(1)设 的公差为 ,因为 成等比数列,所以 , 即 ,因为 ,所以 , 又 ,所以 , 所以 , 所以 . (2)由(1)得, ,所以 , 所以 , 又 ,所以 . 18.(12分) 【详解】(1)由题 , 由正弦定理: , 所以 , 整理 , 所以 , 或 (舍), . (2) 为锐角三角形, 解得: ,所以 , 且 由(1)问, , 令 , 则 ,所以 因为 , 当 时,所求 的最大值为 . 19.(12分) 【详解】(1)取 的中点D,连接 , 在三棱柱 中,可得 ,且 , 四边形 为平行四边形,则 , 又 平面 , 平面 , ∵ 平面 , , 又D为 的中点, 为等腰三角形, ∵ , ,则 ; (2)由(1)知, , , 平面 ,所以 , 故 , 由(1)知, 平面 , 平面 , 则 , 又三棱柱中 ,∴ 又 ,∴ ,∵又 平面 , 平面 , 三棱柱 为直三棱柱, ∴ 为直角三角形,可得 , 又在三棱柱 中, , , 以 为坐标原点, , , 所在直线为坐标轴建立如图所示的空间直角坐标系, 则 , , 设平面 的一个法向量为 则 ,令 ,则 , , 平面 的一个法向量为 , 易得平面 的一个法向量为 设平面 与平面 的夹角为 , ,平面 与平面 的夹角的余弦值为 . 20.(12分) 【详解】(1)(1)设 组的频率为t,则 组的频率为 , 估计学生与最近食堂间的平均距离 ,解得 , 故可补全频率分布表如下: 学生与最近食堂间的距离 合计 在食堂就餐 0.15 0.20 0.10 0.05 0.00 0.50 点外卖 0.05 0.20 0.15 0.10 0.00 0.50 合计 0.20 0.40 0.25 0.15 0.00 1.00 据此结合样本容量为2000可列出 列联表如下: 学生距最近食堂较近 学生距最近食较堂远 合计 在食堂就 700 300 1000 餐 点外卖 500 500 1000 合计 1200 800 2000 零假设 :学生中午的用餐情况与学生距最近食堂的远近无关. 注意到 . 据小概率值 的独立性检验,推断 不成立, 即可以认为学生中午的用餐方式与学生距最近食堂的远近有关. (2)(i)证法一:由题意得 , , 结合 , .结合条件概率公式知 ,即 . , 即 成立. 证法二:由题意得 , , 所以 ,同理 , 于是 , 故 ,即 成立. (ⅱ)设李明在校庆期间去食堂甲就餐的次数为 , 若选择传统型优惠方案获得的优惠为X元,若选择“饥饿型”优惠方案获得的优惠为Y元, 则 , ,对 ,有 , 故 ,, 令 ,结合 得 ,记为 . 若 ,则 , , 此时李明应选择“饥饿型”优惠方案; 若 ,则 , , 此时李明应选择传统型优惠方案. 若 ,则 , . 注意到 , . 因此 , 即 . 此时李明选择获得的优惠更分散的方案,即获得的优惠方差更大的方案,即“饥饿型”优惠方案. 综上所述,当 时,李明应选择传统型优惠方案; 当 时,李明应选择“饥饿型”优惠方案. 21.(12分)【详解】(1)双曲线的渐近线方程为 ,设双曲线上一点 , 则 , 又因为 在双曲线上,所以 ,即 , 代入可得 ,又因为 , ,代入可得 , , 所以双曲线方程为 ; (2)由(1)如图所示, 知 ,所以 , 若直线 斜率为0,此时点 不在第一象限,矛盾,故 斜率不为0, 设直线 的方程为 , , ,则 , 联立 ,化简可得 , 则 ,可得 , 则 ,又因为 ,所以 , 所以直线 的方程为 ,直线 的方程为 , 联立 ,解得 , 即 的纵坐标为 . 又由上可知 , ,两式相除, 得 , 代入可得 , 因为 为线段 的中点,所以 即 , 所以需满足 ,解得 . 22.(12分) 【详解】(1)由 求导可得: 因 故 , 当 时, ,故 在 上单调递增; 当 时, ,故 在 上单调递减; 所以函数 的单调递增区间为 ,递减区间为 ,最小值为 ,无最大值.(2)因 ,其定义域为 , 取 则 ,因 故 ,则 在 上单调递增, ①当 时, 故函数 在 内有且仅有一个变号零点, 则此时,函数 有且仅有一个极值点; ②当 时, 因 因 在 上单调递增,故函数 有且仅有一个变号零点, 则此时,函数 有且仅有一个极值点; ③当 时, ,又因 , , ,即 , 故函数 在 内有且仅有一个变号零点,则此时,函数 有且仅有一个极值点; 综上所述,函数 有且仅有一个极值点. (3)由(2)可知,当 时,函数 有且仅有一个零点,设为 ,则 又由(2)函数 有最小值为 . 由 可得: ,即 两边取自然对数得: , 故 于是 ,不妨设 则 ,故得 ,则 , 对于函数 ,其对应方程的判别式 , 设 ,则 恒成立, 故函数 在 上单调递增,则 ,即 ,从而 ,于是 , 故有 恒成立,故 恒成立,所以