当前位置:首页>文档>黄金卷01-赢在高考·黄金8卷备战2024年高考数学模拟卷(广东专用)(参考答案)_2.2025数学总复习_2024年新高考资料_4.2024高考模拟预测试卷

黄金卷01-赢在高考·黄金8卷备战2024年高考数学模拟卷(广东专用)(参考答案)_2.2025数学总复习_2024年新高考资料_4.2024高考模拟预测试卷

  • 2026-04-01 01:13:01 2026-03-29 06:30:53

文档预览

黄金卷01-赢在高考·黄金8卷备战2024年高考数学模拟卷(广东专用)(参考答案)_2.2025数学总复习_2024年新高考资料_4.2024高考模拟预测试卷
黄金卷01-赢在高考·黄金8卷备战2024年高考数学模拟卷(广东专用)(参考答案)_2.2025数学总复习_2024年新高考资料_4.2024高考模拟预测试卷
黄金卷01-赢在高考·黄金8卷备战2024年高考数学模拟卷(广东专用)(参考答案)_2.2025数学总复习_2024年新高考资料_4.2024高考模拟预测试卷
黄金卷01-赢在高考·黄金8卷备战2024年高考数学模拟卷(广东专用)(参考答案)_2.2025数学总复习_2024年新高考资料_4.2024高考模拟预测试卷
黄金卷01-赢在高考·黄金8卷备战2024年高考数学模拟卷(广东专用)(参考答案)_2.2025数学总复习_2024年新高考资料_4.2024高考模拟预测试卷
黄金卷01-赢在高考·黄金8卷备战2024年高考数学模拟卷(广东专用)(参考答案)_2.2025数学总复习_2024年新高考资料_4.2024高考模拟预测试卷
黄金卷01-赢在高考·黄金8卷备战2024年高考数学模拟卷(广东专用)(参考答案)_2.2025数学总复习_2024年新高考资料_4.2024高考模拟预测试卷
黄金卷01-赢在高考·黄金8卷备战2024年高考数学模拟卷(广东专用)(参考答案)_2.2025数学总复习_2024年新高考资料_4.2024高考模拟预测试卷
黄金卷01-赢在高考·黄金8卷备战2024年高考数学模拟卷(广东专用)(参考答案)_2.2025数学总复习_2024年新高考资料_4.2024高考模拟预测试卷
黄金卷01-赢在高考·黄金8卷备战2024年高考数学模拟卷(广东专用)(参考答案)_2.2025数学总复习_2024年新高考资料_4.2024高考模拟预测试卷
黄金卷01-赢在高考·黄金8卷备战2024年高考数学模拟卷(广东专用)(参考答案)_2.2025数学总复习_2024年新高考资料_4.2024高考模拟预测试卷
黄金卷01-赢在高考·黄金8卷备战2024年高考数学模拟卷(广东专用)(参考答案)_2.2025数学总复习_2024年新高考资料_4.2024高考模拟预测试卷
黄金卷01-赢在高考·黄金8卷备战2024年高考数学模拟卷(广东专用)(参考答案)_2.2025数学总复习_2024年新高考资料_4.2024高考模拟预测试卷

文档信息

文档格式
docx
文档大小
0.632 MB
文档页数
9 页
上传时间
2026-03-29 06:30:53

文档内容

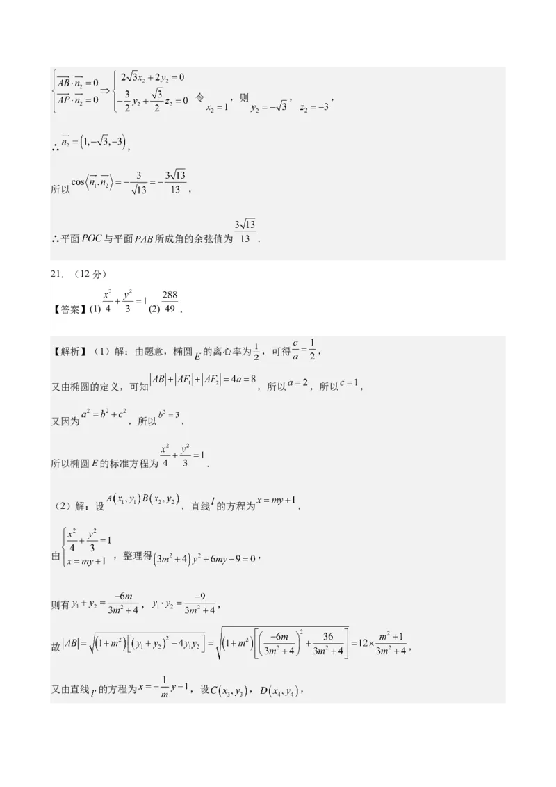
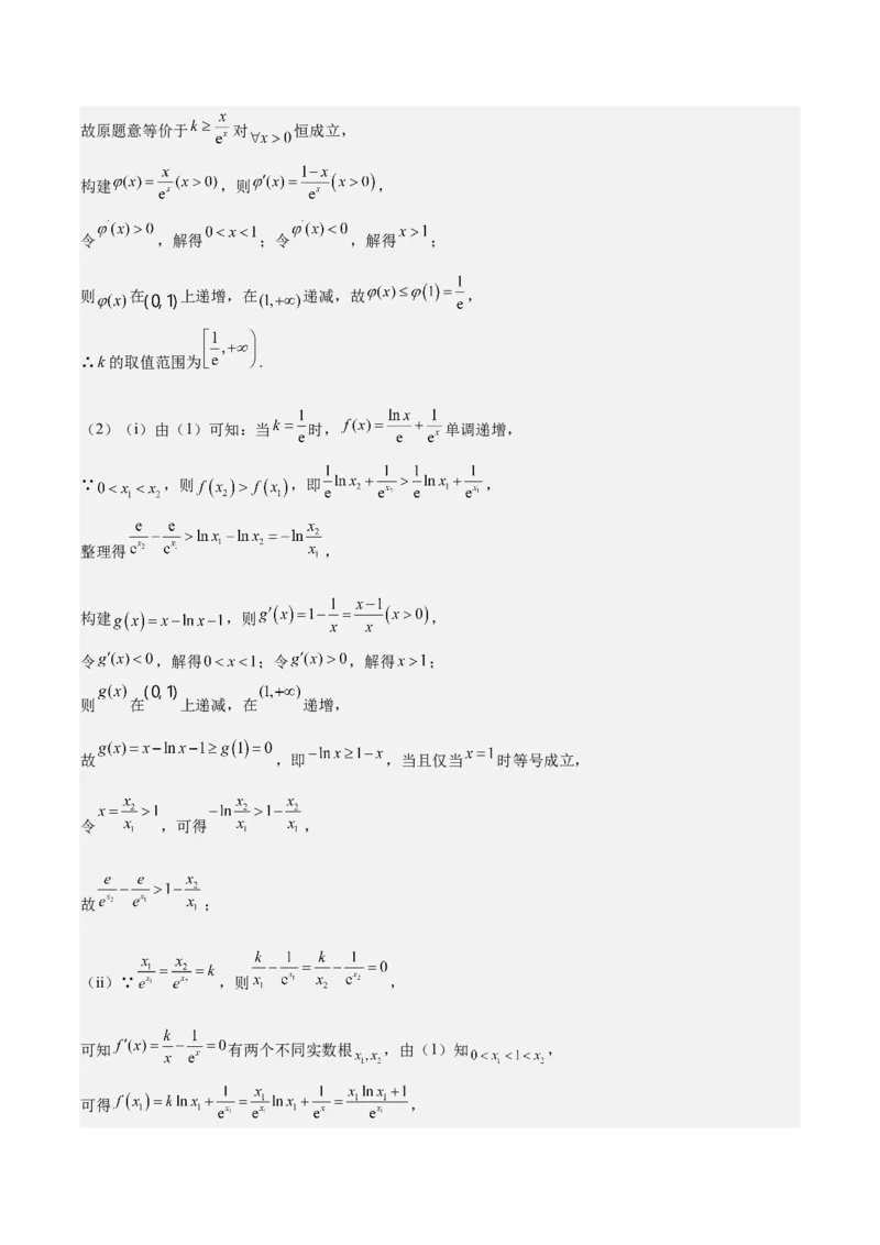
【赢在高考·黄金8卷】备战2024年高考数学模拟卷(广东专用) 黄金卷01·参考答案 (考试时间:120分钟 试卷满分:150分) 第 I 卷(选择题) 一、单项选择题:本题共8小题,每小题5分,共40分,在每小题给出的四个选项中,只有一项是符合要 求的。 1 2 3 4 5 6 7 8 C D B B C B A A 二、多项选择题:本题共4小题,每小题5分,共20分,在每小题给出的四个选项中,有多项符合题目的 要求,全部选对的得5分,部分选对的得2分,有选错的得0分。 9 10 11 12 ABC ACD BCD AC 第 II 卷(非选择题) 三、填空题:本题共4小题,每小题5分,共20分。 13 -2 14. 15.24 16. 四、解答题:本题共6小题,共70分,解答应写出必要的文字说明、证明过程及验算步骤。 17.(10分) 【答案】(1) ;(2) 【解析】(1)因为 , 所以 ,整理得 , 由正弦定理得 ,由余弦定理得 ,因为 ,所以 . (2) 在 中,因为 ,所以 ,所以 ,所以 ,所以 , 所以 的取值范围为 . 18.(12分) 【答案】(1)证明见解析(2)140 【解析】(1) , ,所以数列 为首项为 , 公比为 等比数列. (2)由(1)可得 ,即 ∴ 而 随着 的增大而增大要使 ,即 ,则 , ∴ 的最小值为140. 19.(12分) 【答案】(1) (2)(i)需停止生产并检查设备;(ii) , 【解析】(1)由频率分布直方图,得 . . (2)(i)由(1)可知 , , 所以 , ,显然抽查中的零件指标 ,故需停止生产并检查设备. (ii)抽测一个零件关键指标在 之内的概率为 , 所以抽测一个零件关键指标在 之外的概率为 , 故 ,所以 , X的数学期望 . 20.(12分) 【答案】(1)证明见解析;(2) . 【解析】(1)连接 ,∵ 为 中点, 为 中点, ∴ ,又 面 , 面 , ∴ 面 , 在 中, , , , ∴ ,即 , 在 中, , ,∴ , , 在 中, , , , , ∴ , ,∴ , ∵F为AB中点,∴ , , ∴ ,又∵ 面 , 面 ,∴ 面 ,又∵ ,CF, 面 , ∴平面 平面 ; (2)解法一:延长 与 交于 ,连 ,则面 面 , 在 中, , , ,所以 , 又 , , , 面 , ∴ 面 , 面 , ∴面 面 , 在面 内过 作 ,则 面 , ∵ 面 ,∴ , 过 作 ,连 ,∵ , 面 , 面 , ∴ 面 , 面 , ∴ , ∴ 即为面 与面 所成二面角的平面角, ∵ , , ∴ , , ∵ , , ∴ , , ,又 , ∴ , , ,∴ . 解法二:在 中, , , ,所以 , 又 , , 平面 , 所以 平面 , 平面 , 所以平面 平面 , 又∵ , , ∴ , 以 为 轴, 为 轴,过 且垂直于面 的直线为 轴建立空间直角坐标系, 则 , , , , , 设平面 的法向量 , , , ,令 ,则 ,∴ , 设平面 的法向量 , ,令 ,则 , , ∴ , 所以 , ∴平面 与平面 所成角的余弦值为 . 21.(12分) 【答案】(1) (2) . 【解析】(1)解:由题意,椭圆 的离心率为 ,可得 , 又由椭圆的定义,可知 ,所以 ,所以 , 又因为 ,所以 , 所以椭圆E的标准方程为 . (2)解:设 ,直线 的方程为 , 由 ,整理得 , 则有 , , 故 , 又由直线 的方程为 ,设 , ,联立方程组 ,整理得 , 则有 , , 则 , 所以四边形 的面积: , 因为 , 当且仅当 时,等号成立, 所以 , 综上,四边形ACBD面积的最小值为 . 22.(12分) 【答案】(1) (2)(i)证明见解析;(ii)证明见解析 【解析】(1)∵ ,则 , 若 是增函数,则 , 且 ,可得 ,故原题意等价于 对 恒成立, 构建 ,则 , 令 ,解得 ;令 ,解得 ; 则 在 上递增,在 递减,故 , ∴ 的取值范围为 . (2)(i)由(1)可知:当 时, 单调递增, ∵ ,则 ,即 , 整理得 , 构建 ,则 , 令 ,解得 ;令 ,解得 ; 则 在 上递减,在 递增, 故 ,即 ,当且仅当 时等号成立, 令 ,可得 , 故 ; (ii)∵ ,则 , 可知 有两个不同实数根 ,由(1)知 , 可得 ,同理可得 , 构建 ,则 , 当 时, ;当 时, ;当 时, ; 且 ,故 对 恒成立, 故 在 上单调递减, ∵ ,则 ,即 , 且 ,则 ,故 , 可得 ; 又∵ ,由(i)可得 ,即 , 则 , 且 ,则 , 可得 ; 综上所述: . 可得 ,则 故 .