当前位置:首页>文档>黄金卷-赢在高考·黄金8卷备战2024年高考数学模拟卷(七省新高考)(参考答案)_2.2025数学总复习_2024年新高考资料_4.2024高考模拟预测试卷

黄金卷-赢在高考·黄金8卷备战2024年高考数学模拟卷(七省新高考)(参考答案)_2.2025数学总复习_2024年新高考资料_4.2024高考模拟预测试卷

  • 2026-04-02 14:32:48 2026-03-29 05:46:52

文档预览

黄金卷-赢在高考·黄金8卷备战2024年高考数学模拟卷(七省新高考)(参考答案)_2.2025数学总复习_2024年新高考资料_4.2024高考模拟预测试卷
黄金卷-赢在高考·黄金8卷备战2024年高考数学模拟卷(七省新高考)(参考答案)_2.2025数学总复习_2024年新高考资料_4.2024高考模拟预测试卷
黄金卷-赢在高考·黄金8卷备战2024年高考数学模拟卷(七省新高考)(参考答案)_2.2025数学总复习_2024年新高考资料_4.2024高考模拟预测试卷
黄金卷-赢在高考·黄金8卷备战2024年高考数学模拟卷(七省新高考)(参考答案)_2.2025数学总复习_2024年新高考资料_4.2024高考模拟预测试卷
黄金卷-赢在高考·黄金8卷备战2024年高考数学模拟卷(七省新高考)(参考答案)_2.2025数学总复习_2024年新高考资料_4.2024高考模拟预测试卷
黄金卷-赢在高考·黄金8卷备战2024年高考数学模拟卷(七省新高考)(参考答案)_2.2025数学总复习_2024年新高考资料_4.2024高考模拟预测试卷
黄金卷-赢在高考·黄金8卷备战2024年高考数学模拟卷(七省新高考)(参考答案)_2.2025数学总复习_2024年新高考资料_4.2024高考模拟预测试卷
黄金卷-赢在高考·黄金8卷备战2024年高考数学模拟卷(七省新高考)(参考答案)_2.2025数学总复习_2024年新高考资料_4.2024高考模拟预测试卷
黄金卷-赢在高考·黄金8卷备战2024年高考数学模拟卷(七省新高考)(参考答案)_2.2025数学总复习_2024年新高考资料_4.2024高考模拟预测试卷
黄金卷-赢在高考·黄金8卷备战2024年高考数学模拟卷(七省新高考)(参考答案)_2.2025数学总复习_2024年新高考资料_4.2024高考模拟预测试卷
黄金卷-赢在高考·黄金8卷备战2024年高考数学模拟卷(七省新高考)(参考答案)_2.2025数学总复习_2024年新高考资料_4.2024高考模拟预测试卷

文档信息

文档格式
docx
文档大小
0.400 MB
文档页数
7 页
上传时间
2026-03-29 05:46:52

文档内容

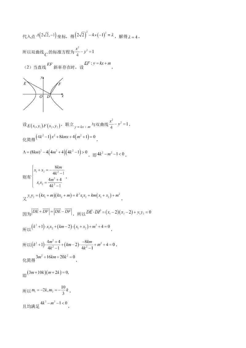
【赢在高考·黄金8卷】备战2024年高考数学模拟卷(七省新高考专用) 黄金卷·参考答案 (考试时间:120分钟 试卷满分:150分) 第 I 卷(选择题) 一、单项选择题:本题共8小题,每小题5分,共40分,在每小题给出的四个选项中,只有一项是符合要 求的。 1 2 3 4 5 6 7 8 C D B B A C A A 二、多项选择题:本题共4小题,每小题5分,共20分,在每小题给出的四个选项中,有多项符合题目的 要求,全部选对的得5分,部分选对的得2分,有选错的得0分。 9 10 11 12 BD ABD AD AC 第 II 卷(非选择题) 三、填空题:本题共4小题,每小题5分,共20分。 13. 14.1.5 15. 16. . 四、解答题:本题共6小题,共70分,其中第17题10分,18~22题12分,解答应写出必要的文字说明、 证明过程及验算步骤。 17.(10分)【详解】(1)因为 , 所以 由 ,得 , 整理,得 ,由余弦定理,得 . 又 ,故 .(2)由 的面积为 ,得 ,即 . 由(1)得 , 所以 . 所以当且仅当 时,等号成立, 此时 的周长最小,且最小值为12. 18.(12分)【详解】(1)设 的公差为 ,由 ,得: ; 由 成等比数列,得: ,即: ,整理得: . 由 ,解得: 或 . 所以: 的通项公式为 或 . (2)因为 ,所以: , 得:当 时, ;当 时, . 从而 , 又因为: ,所以: 的最大值为 . 故 的最大值为 . 19.(12分)【详解】(1)记“至少有一人进入面试”为事件 ,由已知得: , 所以 , 则 , 即这 人中至少有一人进入面试的概率为 .(2) 的可能取值为 , , , , , 则随机变量 的分布列为: , . 20.(12分)【详解】(1)∵ , ∵ 平面 ,∴ . ∵ 面PAC, 面PAC,且 , ∴ 平面 , . (2)取 的中点 ,连接 ,则 , 建立如图所示的空间直角坐标系, ,0, , , , ,0, , , , , 设⃗PM=t⃗PD(0≤t≤1) 则点 为 ,所以 , 设平面 的法向量是 , , 令 , ,(易知t=1不合题意) 又 是平面 的一个法向量, , 解得 (t=2舍去),则 . 此时平面 的一个法向量可取 , , 设 与平面 所成的角为 , 则 , 与平面 所成角的正弦值为 . 21.(12分)【详解】(1)因为双曲线 与已知双曲线有相同的渐近线, 设双曲线 的标准方程为 ,代入点 坐标,得 ,解得 , 所以双曲线 的标准方程为 (2)当直线 斜率存在时,设 , 设 ,联立 与双曲线 , 化简得 , ,即 , 则有 , 又 , 因为 ,所以 所以 , 所以 , 化简得 , 即 所以 , 且均满足 ,当 时,直线 的方程为 ,直线过定点 ,与已知矛盾, 当 时,直线 的方程为 ,过定点 (ii)当直线 斜率不存在时,由对称性不妨设直线 , 与双曲线 方程联立解得 ,此时 也过点 ,. 综上,直线 过定点 22.(12分)【详解】(1)解:当 时, ,则 , 故 , 时, ,故切点为 , 所以 在 处的切线方程为 , 即 . (2)函数 有两个零点, 方程 在 上有两个根, 方程 在 上有两个根, 函数 与 的图象在 上有两个交点, 设 ,则 , 时, ; 时, ,所以 在 上单调递增,在 上单调递减, 由 , ,当 时, ,当 时, ,作图如下: 由图得 ,即 , 设 ,则 , 时, , 时, ; 所以 在 上单调递减,在 上单调递增, 因为 时 ,且 , 所以当 时, ;当 时, , 又因为 , 所以 的解集为 综上所述 .