当前位置:首页>文档>高频考点10钠、镁、铝及其化合物-2023年高考化学二轮复习高频考点51练(原卷版)_05高考化学_新高考复习资料_2023年新高考资料_二轮复习_2023年高考化学二轮复习高频考点51练292724123

高频考点10钠、镁、铝及其化合物-2023年高考化学二轮复习高频考点51练(原卷版)_05高考化学_新高考复习资料_2023年新高考资料_二轮复习_2023年高考化学二轮复习高频考点51练292724123

  • 2026-04-29 20:07:12 2026-03-30 06:51:08

文档预览

高频考点10钠、镁、铝及其化合物-2023年高考化学二轮复习高频考点51练(原卷版)_05高考化学_新高考复习资料_2023年新高考资料_二轮复习_2023年高考化学二轮复习高频考点51练292724123
高频考点10钠、镁、铝及其化合物-2023年高考化学二轮复习高频考点51练(原卷版)_05高考化学_新高考复习资料_2023年新高考资料_二轮复习_2023年高考化学二轮复习高频考点51练292724123
高频考点10钠、镁、铝及其化合物-2023年高考化学二轮复习高频考点51练(原卷版)_05高考化学_新高考复习资料_2023年新高考资料_二轮复习_2023年高考化学二轮复习高频考点51练292724123
高频考点10钠、镁、铝及其化合物-2023年高考化学二轮复习高频考点51练(原卷版)_05高考化学_新高考复习资料_2023年新高考资料_二轮复习_2023年高考化学二轮复习高频考点51练292724123
高频考点10钠、镁、铝及其化合物-2023年高考化学二轮复习高频考点51练(原卷版)_05高考化学_新高考复习资料_2023年新高考资料_二轮复习_2023年高考化学二轮复习高频考点51练292724123
高频考点10钠、镁、铝及其化合物-2023年高考化学二轮复习高频考点51练(原卷版)_05高考化学_新高考复习资料_2023年新高考资料_二轮复习_2023年高考化学二轮复习高频考点51练292724123
高频考点10钠、镁、铝及其化合物-2023年高考化学二轮复习高频考点51练(原卷版)_05高考化学_新高考复习资料_2023年新高考资料_二轮复习_2023年高考化学二轮复习高频考点51练292724123
高频考点10钠、镁、铝及其化合物-2023年高考化学二轮复习高频考点51练(原卷版)_05高考化学_新高考复习资料_2023年新高考资料_二轮复习_2023年高考化学二轮复习高频考点51练292724123
高频考点10钠、镁、铝及其化合物-2023年高考化学二轮复习高频考点51练(原卷版)_05高考化学_新高考复习资料_2023年新高考资料_二轮复习_2023年高考化学二轮复习高频考点51练292724123
高频考点10钠、镁、铝及其化合物-2023年高考化学二轮复习高频考点51练(原卷版)_05高考化学_新高考复习资料_2023年新高考资料_二轮复习_2023年高考化学二轮复习高频考点51练292724123

文档信息

文档格式
docx
文档大小
0.617 MB
文档页数
6 页
上传时间
2026-03-30 06:51:08

文档内容

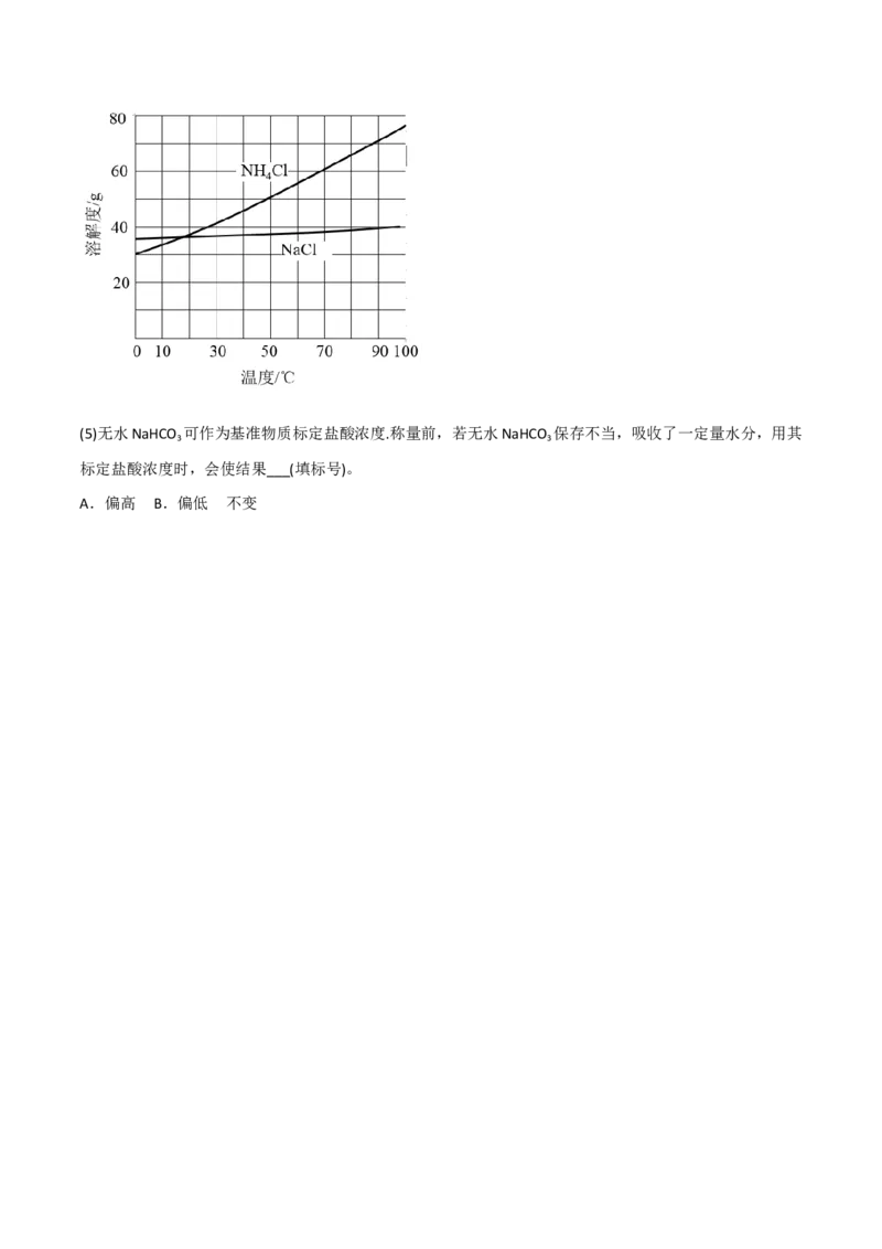
高频考点 10 钠、镁、铝及其化合物 1.(2022·江苏卷)少量 与 反应生成 和 。下列说法正确的是( ) A. 的电子式为 B. 的空间构型为直线形 C. 中O元素的化合价为-1 D. 仅含离子键 2.(2022·广东卷)劳动开创未来。下列劳动项目与所述的化学知识没有关联的是( ) 选 劳动项目 化学知识 项 A 面包师用小苏打作发泡剂烘焙面包 可与酸反应 B 环保工程师用熟石灰处理酸性废水 熟石灰具有碱性 C 工人将模具干燥后再注入熔融钢水 铁与 高温下会反应 D 技术人员开发高端耐腐蚀镀铝钢板 铝能形成致密氧化膜 3.(2022·湖南卷)铝电解厂烟气净化的一种简单流程如下: 下列说法错误的是() A.不宜用陶瓷作吸收塔内衬材料 B.采用溶液喷淋法可提高吸收塔内烟气吸收效率 C.合成槽中产物主要有 和 D.滤液可回收进入吸收塔循环利用 4.(2021·湖北卷)金属Na溶解于液氨中形成氨合钠离子和氨合电子,向该溶液中加入穴醚类配体L,得 到首个含碱金属阴离子的金黄色化合物[NaL]+Na-。下列说法错误的是( ) A.Na-的半径比F-的大 B.Na-的还原性比Na的强C.Na-的第一电离能比H-的大 D.该事实说明Na也可表现出非金属性 5.(2021·湖南卷)一种工业制备无水氯化镁的工艺流程如下: 下列说法错误的是( ) A.物质X常选用生石灰 B.工业上常用电解熔融 制备金属镁 C.“氯化”过程中发生的反应为 D.“煅烧”后的产物中加稀盐酸,将所得溶液加热蒸发也可得到无水 6.(2022·烟台高三模拟)下列物质性质和用途均正确且有因果关系的是( ) 选项 性质 用途 A ClO 具有还原性 ClO 可用于自来水的杀菌消毒 2 2 B Al(OH) 具有弱碱性 Al(OH) 可用作胃酸中和剂 3 3 C Fe3+具有氧化性 Fe (SO ) 可用作净水剂 2 4 3 D NH HCO 受热易分解 NH HCO 可用作氮肥 4 3 4 3 7.(双选)( 2022·青岛高三模拟 )如图,下列实验不能达到相应实验目的的是( ) A.装置I可以用来除去苯中的溴 B.装置II验证碳酸钠和碳酸氢钠的稳定性时C中盛 ,D中盛C.装置III可用于实验室制备少量氧气 D.装置IV能证明非金属性: 8.工业上冶炼金属镁的方法有两种:电解法和皮江法。皮江法是硅在高温下还原氧化镁。皮江法冶炼金 属镁的工艺流程如图所示,下列说法中不正确的是( ) A.气体a是CO 2 B.“还原炉”中发生的主要反应有2MgO+Si 2Mg↑+SiO 和SiO +CaO CaSiO 2 2 3 C.“还原炉”中抽空气到接近真空的原因是防止还原得到的Mg在高温条件下再次被氧化 D.“回转炉煅烧”的产物为CaO和MgO,其中电解法就是电解熔融的氧化镁来制备金属镁 9.(2022·江苏启东高三期中))某兴趣小组模拟用粉煤灰(主要含Al O 、SiO 等)制备Al (SO )(OH) 溶液, 2 3 2 2 4 x 6-2x 并用其脱除烟气中的SO ,其流程如下: 2 下列说法错误的是( ) A.浸取时发生反应的离子方程式为Al O +6H+=2Al3++3H O 2 3 2 B.滤渣1和滤渣2的主要成分分别为SiO 和CaSO 2 4 C.为增强SO 的脱除效果,可在现有基础上再加入过量碳酸钙 2 D.若b<a(热分解完全),则循环液的碱性比吸收SO 前溶液的碱性弱 2 10.(2021·河北卷)化工专家侯德榜发明的侯氏制碱法为我国纯碱工业和国民经济发展做出了重要贡献, 某化学兴趣小组在实验室中模拟并改进侯氏制碱法制备NaHCO ,进一步处理得到产品Na CO 和NH Cl,实 3 2 3 4 验流程如图:回答下列问题: (1)从A~E中选择合适的仪器制备NaHCO ,正确的连接顺序是___(按气流方向,用小写字母表示)。为使A 3 中分液漏斗内的稀盐酸顺利滴下,可将分液漏斗上部的玻璃塞打开或___。 A. B. C. D. E. (2)B中使用雾化装置的优点是_。 (3)生成NaHCO 的总反应的化学方程式为_。 3 (4)反应完成后,将B中U形管内的混合物处理得到固体NaHCO 和滤液: 3 ①对固体NaHCO 充分加热,产生的气体先通过足量浓硫酸,再通过足量Na O ,Na O 增重0.14g,则固体 3 2 2 2 2 NaHCO 的质量为___g。 3 ②向滤液中加入NaCl粉末,存在NaCl(s)+NH Cl(aq)→NaCl(aq)+NH Cl(s)过程。为使NH Cl沉淀充分析出并分 4 4 4 离,根据NaCl和NH Cl溶解度曲线,需采用的操作为___、___、洗涤、干燥。 4(5)无水NaHCO 可作为基准物质标定盐酸浓度.称量前,若无水NaHCO 保存不当,吸收了一定量水分,用其 3 3 标定盐酸浓度时,会使结果___(填标号)。 A.偏高 B.偏低 不变