当前位置:首页>文档>专题18理想变压器、远距离输电模型(答案版)_高中物理模型题型与方法

专题18理想变压器、远距离输电模型(答案版)_高中物理模型题型与方法

  • 2026-04-09 19:40:04 2026-04-01 02:39:35

文档预览

专题18理想变压器、远距离输电模型(答案版)_高中物理模型题型与方法
专题18理想变压器、远距离输电模型(答案版)_高中物理模型题型与方法
专题18理想变压器、远距离输电模型(答案版)_高中物理模型题型与方法
专题18理想变压器、远距离输电模型(答案版)_高中物理模型题型与方法
专题18理想变压器、远距离输电模型(答案版)_高中物理模型题型与方法
专题18理想变压器、远距离输电模型(答案版)_高中物理模型题型与方法
专题18理想变压器、远距离输电模型(答案版)_高中物理模型题型与方法
专题18理想变压器、远距离输电模型(答案版)_高中物理模型题型与方法
专题18理想变压器、远距离输电模型(答案版)_高中物理模型题型与方法
专题18理想变压器、远距离输电模型(答案版)_高中物理模型题型与方法
专题18理想变压器、远距离输电模型(答案版)_高中物理模型题型与方法
专题18理想变压器、远距离输电模型(答案版)_高中物理模型题型与方法
专题18理想变压器、远距离输电模型(答案版)_高中物理模型题型与方法
专题18理想变压器、远距离输电模型(答案版)_高中物理模型题型与方法
专题18理想变压器、远距离输电模型(答案版)_高中物理模型题型与方法
专题18理想变压器、远距离输电模型(答案版)_高中物理模型题型与方法
专题18理想变压器、远距离输电模型(答案版)_高中物理模型题型与方法
专题18理想变压器、远距离输电模型(答案版)_高中物理模型题型与方法
专题18理想变压器、远距离输电模型(答案版)_高中物理模型题型与方法
专题18理想变压器、远距离输电模型(答案版)_高中物理模型题型与方法
专题18理想变压器、远距离输电模型(答案版)_高中物理模型题型与方法
专题18理想变压器、远距离输电模型(答案版)_高中物理模型题型与方法
专题18理想变压器、远距离输电模型(答案版)_高中物理模型题型与方法
专题18理想变压器、远距离输电模型(答案版)_高中物理模型题型与方法
专题18理想变压器、远距离输电模型(答案版)_高中物理模型题型与方法
专题18理想变压器、远距离输电模型(答案版)_高中物理模型题型与方法
专题18理想变压器、远距离输电模型(答案版)_高中物理模型题型与方法
专题18理想变压器、远距离输电模型(答案版)_高中物理模型题型与方法
专题18理想变压器、远距离输电模型(答案版)_高中物理模型题型与方法
专题18理想变压器、远距离输电模型(答案版)_高中物理模型题型与方法
专题18理想变压器、远距离输电模型(答案版)_高中物理模型题型与方法
专题18理想变压器、远距离输电模型(答案版)_高中物理模型题型与方法
专题18理想变压器、远距离输电模型(答案版)_高中物理模型题型与方法
专题18理想变压器、远距离输电模型(答案版)_高中物理模型题型与方法
专题18理想变压器、远距离输电模型(答案版)_高中物理模型题型与方法
专题18理想变压器、远距离输电模型(答案版)_高中物理模型题型与方法
专题18理想变压器、远距离输电模型(答案版)_高中物理模型题型与方法
专题18理想变压器、远距离输电模型(答案版)_高中物理模型题型与方法
专题18理想变压器、远距离输电模型(答案版)_高中物理模型题型与方法
专题18理想变压器、远距离输电模型(答案版)_高中物理模型题型与方法
专题18理想变压器、远距离输电模型(答案版)_高中物理模型题型与方法
专题18理想变压器、远距离输电模型(答案版)_高中物理模型题型与方法
专题18理想变压器、远距离输电模型(答案版)_高中物理模型题型与方法
专题18理想变压器、远距离输电模型(答案版)_高中物理模型题型与方法
专题18理想变压器、远距离输电模型(答案版)_高中物理模型题型与方法
专题18理想变压器、远距离输电模型(答案版)_高中物理模型题型与方法

文档信息

文档格式
docx
文档大小
4.500 MB
文档页数
42 页
上传时间
2026-04-01 02:39:35

文档内容

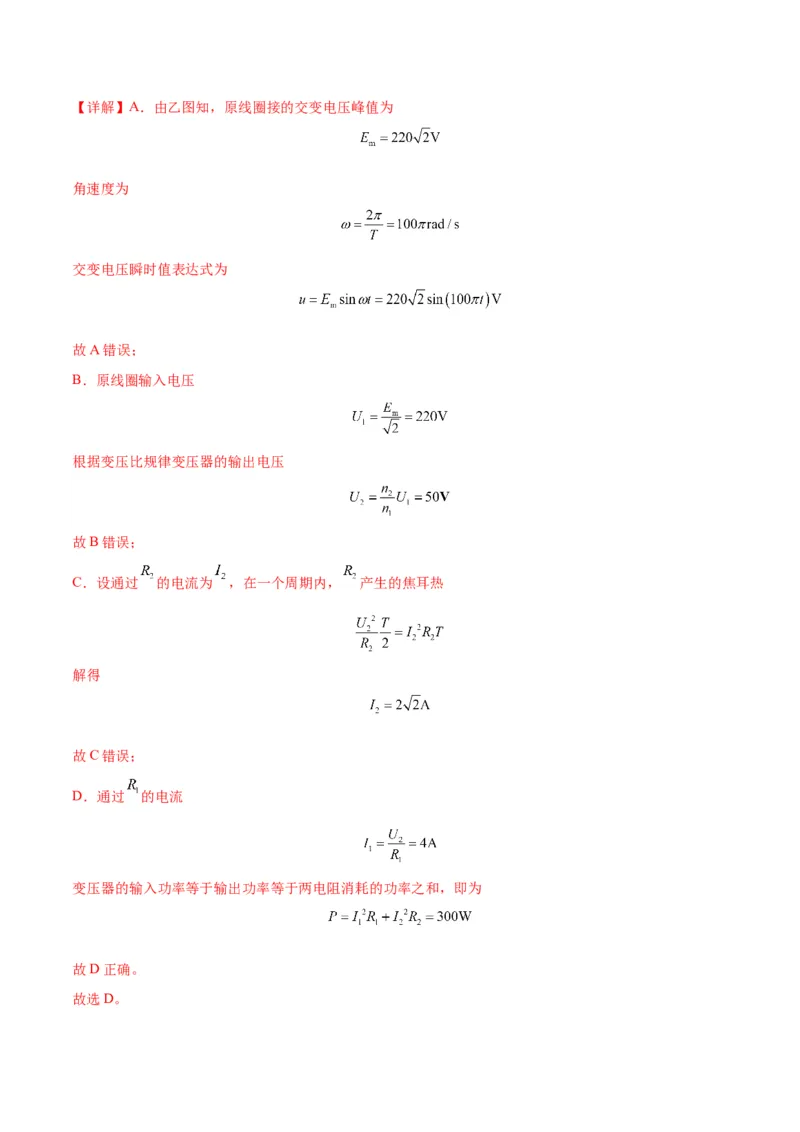
专题 18 理想变压器、远距离输电模型 目录 一.理想变压器基本模型.....................................................................................................................................1 二.变压器原线圈接有负载模型----等效法.....................................................................................................6 三.变压器副线圈接有二极管模型................................................................................................................17 四.多组副线圈的理想变压器模型................................................................................................................22 五.理想变压器动态分析模型........................................................................................................................26 六.远距离输电的电模型................................................................................................................................31 一.理想变压器基本模型 (1)理想变压器的构造、作用、原理及特征。 构造:两组线圈(原、副线圈)绕在同一个闭合铁心上构成所谓的变压器。 作用:在办理送电能的过程中改变电压。 原理:其工作原理是利用了电磁感应现象。 特征:正因为是利用电磁感应现象来工作的,所以变压器只能在输送交变电流的电能过程中改变交流电压。 (2)理想变压器的理想化条件及规律 如图所示,在理想变压器的原线圈两端加交流电压U 后,由于电磁感应的原因,原、副线圈中都将产生感 1 应电动势。根据法拉第电磁感应定律,有 n Δφ n Δφ ε = 1 1,ε = 2 2 1 Δt 2 Δ 忽略原、副线圈内阻,有 U =ε ,U =ε 。 1 1 2 2 另外,考虑到铁心的导磁作用而且忽略漏磁,即认为任意时刻穿过原、副线圈的磁感线条数都相同,于是 又有 Δφ =Δφ 。 1 2 U n 1 1 由此便可得理想变压器的电压变化规律为 = 。 U n 2 2 在此基础上再忽略变压器自身的能量损失(一般包括了线圈内能量损失和铁心内能量损失这两部分,分别俗称为“铜损”和“铁损”),有 ,而 , 。 I n 1 2 于是又得理想变压器的电流变化规律为 = 。 I n 2 1 由此可见: ①理想变压器的理想化条件一般指的是:忽略原、副线圈内阻上的分压,忽略原、副线圈磁通量的差别, 忽略变压器自身的能量损耗(实际上还忽略了变压器原、副线圈电路的功率因素的差别)。 ②理想变压器的规律实质上就是法拉第电磁感应定律和能的转化与守恒定律在上述理想化条件下的新的表 现形式。 【模型演练1】(2023春·贵州黔东南·高三凯里一中校考阶段练习)如图甲所示,一理想变压器给一个小 灯泡供电。当原线圈输入如图乙所示的交变电压时,额定功率25W的小灯泡恰好正常发光,已知正常工作 时灯泡的电阻为100Ω,图中电压表为理想电表,下列说法正确的是( ) A.变压器输入电压的瞬时值表达式为 B.变压器原、副线圈的匝数比为 C.电压表的示数为220V D.变压器的输入功率为110W 【答案】B 【详解】A.由图像可知 线圈电压的最大值为 ,变压器输入电压的瞬时值表达式为 故A错误; BC.电压表示数为灯泡的额定电压,根据解得电压表示数为 变压器原、副线圈的匝数比为 故B正确;C错误; D.变压器的输入功率与输出功率相等,即变压器的输入功率为25W,故D错误。 故选B。 【模型演练2】(2023春·海南省直辖县级单位·高三嘉积中学校考期中)在绕制变压器时,某人将两个线 圈绕在如图所示变压器铁芯的左右两个臂上,当通以交流电时,每个线圈产生的磁通量都只有一半通过另 一个线圈,另一半通过中间的臂,已知线圈1、2的匝数之比 ,在不接负载的情况下( ) A.当线圈1输入电压为110V时,线圈2输出电压为220V B.当线圈1输入电压为110V时,线圈2输出电压为55V C.当线圈2输入电压为220V时,线圈1输出电压为110V D.当线圈2输入电压为220V时,线圈1输出电压为55V 【答案】D 【详解】AB.当线圈1输入电压为110V时,穿过线圈2的磁通量为穿过线圈1的磁通量的一半,可得 解得 AB错误; CD.当线圈2输入电压为220V时,穿过线圈1的磁通量为穿过线圈2的磁通量的一半,同理可得解得 C错误,D正确。 故选D。 【模型演练3】(2023·云南昆明·统考二模)某燃气灶点火装置的原理图如图甲所示。转换器将直流电压转 换为图乙所示的正弦交流电压,并加在理想变压器的原线圈上。变压器原、副线圈的匝数比为k,电压表 为理想交流电压表。当变压器副线圈电压的瞬时值大于5000V时,就会在钢针和金属板间弓发火花进而点 燃气体。下列说法正确的是( ) A.副线圈输出电压一个周期内钢针只能点火一次 B. 时,交流电压表示数为零 C.当k小于 时,点火装置才能点火 D.转换器输出的交流电压频率为100Hz 【答案】C 【详解】A.副线圈输出电压一个周期内电压的瞬时值两次大于5000V,即钢针点火两次,选项A错误; B.交流电压表测量电压的有效值,则 时,示数不为零,选项B错误; C.因为 则 即当k小于 时,点火装置才能点火,选项C正确; D.转换器输出的交流电压频率为选项D错误。 故选C。 【模型演练4】(2023·云南·模拟预测)如图所示为一含有理想变压器的交流电路, ,理想电流表 的示数为1A,两个标有“5V,10W”的灯泡正常发光,则下列说法正确的是( ) A.流过电阻R的电流为2A B.理想变压器原、副线圈的匝数比为1:4 C.原线圈两端的电压峰值为 D.原线圈的输入功率为60W 【答案】D 【详解】A.灯泡的额定电流为 两灯泡并联,则流过电阻R的电流为 A错误; B.根据 B错误; C.副线圈电压为 根据 解得则原线圈两端的电压峰值为 ,C错误; D.原线圈的输入功率为 D正确。 故选D。 【模型演练5】(2023·海南·统考高考真题)下图是工厂利用 的交流电给 照明灯供 电的电路,变压器原线圈匝数为1100匝,下列说法正确的是( ) A.电源电压有效值为 B.交变电流的周期为 C.副线圈匝数为180匝 D.副线圈匝数为240匝 【答案】BC 【详解】A.电源电压的有效值 选项A错误; B.交流电的周期 选项B正确; CD.根据 可得副线圈匝数 匝 选项C正确,D错误。 故选BC。二.变压器原线圈接有负载模型----等效法 1.变压器原线圈接有负载R时,原、副线圈的制约关系依然成立,但电路输入的总电压 U不再等于变压器 原线圈的电压U ,而是U=U +U ,显然U≠U.变压器原、副线圈两端的功率也始终相等,但电路输入 1 1 负载 1 的电功率P也不等于原线圈两端的功率P,而是P=P+P 1 1 负载. 2.等效负载电阻法 变压器等效负载电阻公式的推导: 设理想变压器原副线圈的匝数之比为n:n,原线圈输入电压为 1 2 U,副线圈负载电阻为R,如图1(1)所示,在变压器正常工作 1 时,求a、b间的等效电阻。 先画出等效电路图如图1(2)所示,设变压器等效负载电阻为 在(1)中由变压器的分压规律: 得: ,所以负载电阻R消耗的功率为: 在(2)中等效电阻消耗的功率为: 因 ,所以等效电阻为: (重要结论) 【模型演练1】一含有理想变压器的电路如图所示,图中电阻R 、R 和R 的阻值分别为3 Ω、1 Ω和4 Ω, 1 2 3 A为理想交流电流表,U为正弦交流电压源,输出电压的有效值恒定。当开关S断开时,电流表的示数为 I;当S闭合时,电流表的示数为4I。该变压器原、副线圈匝数比为A.2 B.3 C.4 D.5 【答案】B 【解析】解法一:能量守恒法: 设原副线圈匝数比为 断开 ① 闭合 ② ①②得 即: 化简得 解法二:电流、电压关系法 设原副线圈匝数比为 断开时 由图可知 即 则 ① 闭合 由图可知 即 则 ② 由①②得 解法三:等效负载电阻法 设原副线圈匝数比为 断开时等效负载电阻为 则 ①闭合时等效负载电阻为 则 ② ①②得 【模型演练2】(2023春·山西运城·高三统考期末)在如图所示的交流电路中,理想变压器原、副线圈的 匝数比为3︰1,电阻R=R=4Ω,R 为滑动变阻器。电源电压u随时间t变化的规律为 , 1 2 3 电流表为理想电表,则下列说法正确的是( ) A.当R=4Ω时,电流表的示数为2A 3 B.若将R 的滑片向下移动,则电流表的示数减小 3 C.若将R 的滑片向上移动,则副线圈两端的电压减小 3 D.改变滑动变阻器R阻值,使理想变压器的输出功率最大时,R=5Ω 3 【答案】B 【详解】A.当R=4Ω时,副线圈等效电阻为 3 设原线圈电流为I,则副线圈电流为3I,有 电源电压有效值为 解得 电流表的示数为 故A错误; BC.若将R 的滑片向下移动,则副线圈等效电阻减小,由A可知,原线圈电流增大,原线圈两端电压减 3小,副线圈两端的电压减小,电流表的示数减小,故B正确,C错误; D.理想变压器的输出功率为 当 理想变压器的输出功率最大,且 解得 故D错误。 故选B。 【模型演练2】(2023·湖南长沙·湖南师大附中校考二模)如图所示,一理想自耦变压器线圈AB绕在一个 圆环形闭合铁芯上,左端输入正弦交流电压 , 、 为相同的灯泡,其电阻均为 且恒定不变,定值电阻的阻值 为灯泡阻值的 。当滑片P处于如图所示位置时,AB端与PB端 匝数比为 , 、 闭合时,两灯泡均正常发光。下列说法正确的是( ) A.灯泡正常发光的电流为 B.灯泡正常发光的电功率为 C. 、 均闭合时,将P沿顺时针方向转动, 一定变暗D.断开 ,闭合 ,将P沿逆时针方向转动(灯泡一直没有损坏),定值电阻消耗的电功率一定变大 【答案】C 【详解】A.S、S 闭合时,副线圈电路的阻值 1 2 则AB的等效电阻 那么此时流过灯泡的电流 故A错误; B.灯泡正常发光的功率为 故B错误; C.P顺时针转动, 减少,则 变大, 变大,则流过灯泡的电流变小,灯泡 一定变暗,故C正确; D.断开 ,闭合 ,则有 P逆时针转动, 增多,则 变小, 由 可减小到 ,讨论 的功率变化时,可将灯泡 的电阻 R看做电源的“等效内阻”,当 时, 的电功率最大,故D错误。 故选C。 【模型演练4】(2023春·山东·高三统考学业考试)理想变压器原副线圈匝数之比为 ,原线圈上有一电阻 ,副线圈上电阻箱 的阻值调整范围是 ,使原线圈接在一交流电源上,若使 的功率最 大,则 的阻值应调节为( ) A.0.5R B.R C.1.5R D.2R 【答案】D 【详解】设交流电源的输出电压为 ,原线圈电流为 ,原线圈电压为 ,副线圈电流为 ,副线圈电 压为 ,则有 , , , 联立可得 解得 可得 的功率为 根据基本不等式可知,当 即的功率最大;但 的阻值调整范围是 ,故要使 的功率最大,则 的阻值应调节为 。 故选D。 【模型演练4】(2023春·安徽·高三校联考阶段练习)如图所示的电路中,变压器为理想变压器,变压器 原副线圈的匝数比为1∶2,四个定值电阻阻值相同,在a、b端输入某一正弦交流电压,电键S断开时与S 闭合时变压器原线圈输入的电流之比为( ) A.2∶3 B.3∶4 C.4∶5 D.5∶6 【答案】D 【详解】设变压器原、副线圈匝数比为 断开时,设原线圈中电流为 ,则 闭合时,设原线圈中的电流为 ,则 解得 故选D。 【模型演练5】(2023·湖南衡阳·衡阳县第三中学校考模拟预测)如图所示,理想变压器所接的交变电压 , ,原线圈匝数为 匝,绕过铁芯的单匝线圈接有一理想电压表, 开关S断开时理想电压表的示数为 、副线圈所在电路中理想电流表的示数为 。则开关S闭 合后电流表的示数为( )A. B. C. D. 【答案】D 【详解】开关S断开时,对副线圈所在的电路,有 原线圈两端电压 而由原副线圈匝数与电压电流之间的关系有 则流过原线圈的电流 ,对原线圈所在电路,有 , 解得 设开关S闭合时原线圈所在回路中的电流为 ,副线圈所在回路中的电流为 ,有 , 则可得电流表的示数 故选D。 【模型演练6】(2023·山东·高三专题练习)在图甲所示的交流电路中,理想变压器原、副线圈的匝数比为,电阳 , =8Ω, 为滑动变阻器,电流表为理想电流表,电源电压u随时间t按正弦规律变 化,如图乙所示。下列说法正确的是( ) A.副线圈中电流方向每秒钟改变50次 B.该理想变压器原、副线圈中磁通量的变化率之比为 C.当电流表的示数为0.5A时, 接入电路的阻值为8Ω D.滑片P向上移动时,流过电阻 的电流增大 【答案】AC 【详解】A.根据图乙可知该交流电的周期为T=0.04s,频率为 灯泡中的电流方向每秒钟改变50次,故A正确; B.理想变压器不漏磁,通过原、副线圈中磁通量的变化率相等,故B错误; C.当电流表的示数为 A时,副线圈电压 根据 解得 总电压为 可知 两端的电流为则副线圈电流为 解得 接入电路的阻值为 故C正确; D.等效电路如图所示: 滑片P向上移动时,等效电阻增大,则原线圈和副线圈电流减小, 两端的电压减小,则线圈电压增大, 流过 的电流增大,可知流过电阻 的电流减小,故D错误 故选AC。 【模型演练7】(2023春·四川成都·高三成都实外校考期末)如图甲所示的电路中,理想变压器原、副线 圈匝数比为3:1,电路中的5个灯泡完全相同,当A、B端输入如图乙所示的正弦交变电压时,每个灯泡 消耗的电功率均为18W,下列说法正确的是( ) A.每个灯泡两端的电压为40V B.通过每个灯泡的电流为0.6 A C.通过定值电阻R的电流为0.6A D.定值电阻R的电功率为54W 【答案】CD 【详解】A.设原线圈的输入电压为 ,副线圈的输出电压为 ,根据可得 由于每个灯泡消耗的电功率相同,即加在原线圈前端的灯泡两端的电压也等于U,因此 2 而A、B端输入电压的有效值为 解得 故每个灯泡两端的电压为30V,故A错误; B.根据 P=UI 可得通过每个灯泡的电流 故B错误; C.流过副线圈的电流 流过原线圈的电流 流过定值电阻的电流 C正确; D.定值电阻R的电功率 D正确。 故选CD。 【模型演练8】(2023春·天津河北·高三统考期末)如图,理想变压器原、副线圈分别接有额定电压相同的灯泡 和 。当输入电压 为灯泡额定电压的8倍时,两灯泡均能正常发光,则( ) A.原、副线圈匝数之比为 B.原、副线圈匝数之比为 C.此时 和 的电功率之比为 D.此时 和 的电流之比为 【答案】AD 【详解】AB.由于两灯泡均能正常发光,所以灯泡两端电压均为额定电压 ,则原、副线圈电压分别为 所以原、副线圈匝数之比为 故A正确,B错误; D.此时 和 的电流之比为 故D正确; C.两灯两端电压相同,根据P=IU可知此时 和 的电功率之比为 故C错误。 故选AD。 三.变压器副线圈接有二极管模型 变压器副线圈接有二极管时,由于二极管的单向导电性,使得cd端一个周期的时间内只有半个周期有电流, 依据这一特点可画出cd间I-t关系图象展开分析.【模型演练1】如图所示,一理想变压器原、副线圈的匝数分别为 n 、n.原线圈通过一理想电流表A接正 1 2 弦交流电源,一个二极管和阻值为R的负载电阻串联后接到副线圈的两端.假设该二极管的正向电阻为零, 反向电阻为无穷大.用交流电压表测得a、b端和c、d端的电压分别为U 和U ,则( ) ab cd A.U ∶U =n∶n ab cd 1 2 B.增大负载电阻的阻值R,电流表的读数变小 C.负载电阻的阻值越小,cd间的电压U 越大 cd D.将二级管短路,电流表的读数加倍 【答案】BD 【解析】若变压器初级电压U ,则次级电压U=U ,由于二极管的单向导电性,使得cd端只在一半的时 ab 2 ab 间内有电流,即U =U,故=,选项A错误;增大负载电阻的阻值R,副线圈中的电流减小,则原线圈中 cd 2 的电流也减小,即电流表的读数变小,选项B正确;c、d间的电压由原线圈中的电压和变压器的匝数比决 定,与电阻R无关,选项C错误;将二极管短路,副线圈中的电流加倍,则原线圈中的电流也加倍,选项 D正确. 【模型演练2】如图甲所示的电路中,理想变压器原线圈匝数 匝,副线圈的匝数为 匝, 电阻 ,D为理想二极管(理想二极管具有单向导电性),原线圈接 的正弦交流电如图乙 所示,则( ) A.原线圈接的交变电压瞬时值表达式为 B.变压器的输出电压为110V C.通过 的电流为2A D.变压器的输入功率为300W 【答案】D【详解】A.由乙图知,原线圈接的交变电压峰值为 角速度为 交变电压瞬时值表达式为 故A错误; B.原线圈输入电压 根据变压比规律变压器的输出电压 故B错误; C.设通过 的电流为 ,在一个周期内, 产生的焦耳热 解得 故C错误; D.通过 的电流 变压器的输入功率等于输出功率等于两电阻消耗的功率之和,即为 故D正确。 故选D。【模型演练3】(2023秋·湖南岳阳·高三统考期末)如图乙所示,在AB间接入甲图所示正弦交流电,通过 理想变压器和二极管D、D 给阻值R=20Ω的纯电阻负载供电,已知D、D 为相同的理想二极管,正向电 1 2 1 2 阻为0,反向电阻无穷大,变压器原线圈n=110匝,副线圈n=20匝,Q为副线圈中心抽头,为保证安全, 1 2 二极管的反向耐压值至少为U,设电阻R上消耗的热功率为P,则有( ) 0 A.U= V,P=20W B.U=40V,P=80W 0 0 C.U= V,P=20W D.U=20V,P=20W 0 0 【答案】C 【分析】根据图像可以求得输出电压的有效值、周期和频率等,二极管的作用是只允许正向的电流通过, 再根据电压与匝数成正比即可求得结论。 【详解】在AB间接入正弦交流电 ,变压器原线圈 匝,副线圈 匝,根据 得有效值为: 而二极管的反向耐压值至少为 ,它需要承受交流电的最大值,所以 Q为副线圈正中央抽头,则电阻R两端电压为20V,所以电阻R消耗的热功率P为: 故选C。 【模型演练4】湖南省已有多条500千伏线路与外省电网联络,可吸纳三峡、葛洲坝等外省入湘电量。变 压器是远距离输电过程中用于改变电压的重要设备,如图甲所示的电路中,理想变压器原、副线圈的匝数比 ,电阻 ,D为理想二极管(理想二极管具有单向导电性),原线圈接入如图乙 所示的正弦交流电,则下列说法正确的是( ) A.原线圈所接的交变电压瞬时值表达式为 B.变压器的输出电压为100V C.通过电阻 的电流为 D.变压器的输入功率为1000W 【答案】C 【详解】A.由图像可得 则 则原线圈所接的交变电压瞬时值表达式为 故A错误; B.由题意得,原线圈输入电压为 由 可得变压器的输出电压为50V,故B错误;C.因为R 与二极管相连,则当为正向电压时,R 的电流为 2 2 当为正向电压时,R 的电流为0,设R 的有效电流值为I,由电流的热效应得 2 2 解得通过电阻 的电流为 故C正确; D.因为电阻R 的电流始终为 1 所以副线圈的电功率为 故D错误。 故选C。 【模型演练5】(2023·湖南长沙·雅礼中学校考二模)如图甲所示,在变压器输入端加上如图乙所示的交变 电压 ,在副线圈的输出端串接上一只理想整流二极管D和滑动变阻器R,则( ) A.当滑片P上移时,原线圈中的电流 变大 B.当滑片P上移时,原线圈的输入功率变小 C.当拿掉二极管后,副线圈中的交流电周期与原来相同 D.保持滑片P不动、R上电流有效值是无二极管时的 【答案】BC【详解】A.当滑片P上移时,接入副线圈中的电阻变大,副线圈电路电压不变,所以副线圈中的电流减 小,相应的原线圈中的电流也减小,故A错误。 B.当滑片P上移时,接入副线圈中的电阻变大,副线圈电路电压不变,所以副线圈的功率变小,相应的 原线圈的输入功率也变小,故B正确。 C.不接入二极管时,副线圈中的电压波形与原线圈中电压波形周期相同,理想整流二极管的作用是半波 整流,即将副线圈中正向电压或负向电压滤除,所以经二极管整流之后的波形与原线圈中电压波形周期也 是相同的,故C正确。 D.保持滑片P不动,在一个周期内,有二极管时R上产生的热量是无二极管时的 ,所以有二极管时R 上电流有效值是无二极管时的 ,故D错误。 故选BC。 四.多组副线圈的理想变压器模型 如图所示,原线圈匝数为 ,两个副线圈的匝数分别为 、 相应的电压分别为 、 和 ,相应的 电流分别为 、 和 根据理想变压器的工作原理可得 ① ②可得 ③ 根据 得: ④将①③代入④得 整理得 【模型演练1】如图所示,接在理想变压器回路中的四个规格相同的灯泡都正常发光,那么,理想变压器 的匝数比n∶n∶n 为( ) 1 2 3 A.1∶1∶1 B.3∶2∶1 C.6∶2∶1 D.2∶2∶1 【答案】B 【解析】: 灯泡正常发光,可得U =U =U =U ,所以U=2U,由理想变压器的电压关系得==,可 A B C D 2 3 得n =2n ,由输入功率等于输出功率,可得nI=nI+nI,所以n =n +n ,所以n∶n∶n =3∶2∶1.故选项B 2 3 1 2 3 1 2 3 1 2 3 正确. 【模型演练2】如图所示,电路中变压器原线圈匝数 n =1 000,两个副线圈匝数分别为 n =500、n = 1 2 3 200,分别接一个R=55 Ω的电阻,在原线圈上接入U=220 V的交流电源.则两副线圈输出电功率之比和 1 原线圈中的电流I 分别是( ) 1 A.=,I=2.8 A B.=,I=2.8 A 1 1 C.=,I=1.16 A D.=,I=1.16 A 1 1 【答案】C. 【解析】:对两个副线圈有=、=,所以U =110 V,U =44 V,又因为P=,所以==;由欧姆定律得I 2 3 2 ==2 A,I==0.8 A,对有两个副线圈的变压器有nI=nI+nI,得I=1.16 A,故C正确. 3 1 1 2 2 3 3 1 【模型演练3】.在如图所示的电路中,理想变压器原副线圈的匝数比 n∶n∶n =6∶3∶1,电流表均为理想交流 1 2 3 电流表,两电阻阻值相同.当在原线圈两端加上大小为U的交变电压时,三个电流表的示数之比I∶I∶I 为( 1 2 3 )A.1∶2∶3 B.1∶2∶1 C.1∶3∶6 D.5∶9∶3 【答案】 D 【解析】 由公式=,可知U=,同理可得U=, 2 3 由欧姆定律可知I=3I,由变压器原、副线圈功率相等有IU=IU+IU, 2 3 1 1 2 2 3 3 即IU=I×+×,得=,则I∶I∶I=5∶9∶3,故D正确,A、B、C错误. 1 2 1 2 3 【模型演练4】(2023春·山东烟台·高三统考期中)在如图所示的电路中,交流电源输出50Hz、电压有效 值为220V的正弦式交流电,通过副线圈 、 分别向10只标称为“12V、1.5A”的灯泡和“36V、5A”的 电动机供电,原线圈所接灯泡L的额定电压为40V,副线圈 的匝数为60匝。电路接通后,各用电器都恰 好正常工作。则下列说法中正确的是( ) A.交流电源的输出功率为360W B.灯泡L的额定电流为2.0A C.副线圈 所接灯泡中的电流方向每秒钟改变50次 D.原线圈 的匝数为1100匝,副线圈 的匝数为180匝 【答案】B 【详解】B.根据电压匝数关系有 解得根据 解得 副线圈 的中电流 副线圈 的中电流 根据电流匝数关系有 解得 即灯泡L的额定电流为2.0A,B正确; A.根据上述可知,交流电源的输出功率为 A错误; D.根据上述可知,原线圈 的匝数为900匝,副线圈 的匝数为180匝,D错误; C.交流电源输出50Hz,变压器不改变频率,则副线圈 所接灯泡中的电流方向每秒钟改变次数为 C错误。 故选B。 【模型演练5】如图所示,一理想变压器由一个原线圈和两个副线圈组成,匝数比 , a、b端接正弦交流电,电路中电阻 ,其余电阻均不计。若 消耗的功率为 ,则 消耗的 功率为25 A. 9P B. P 9 5 1 C. P D. P 3 9 【答案】B 【解析】方法一:设原线圈的电压为 则副线圈的电压分别为 、 因为 的功率 ,则 的功率 根据能量守恒原线圈的输入功率为 ,则 那么 消耗的功率 又因为 所以 。 方法二:设原线圈的电压为 则副线圈的电压分别为 、 设 中的电流为 则 中的电流为 , 设 中的电流为 则由能量守恒 得 所以 解法三:由 得 根据 则所以 。 五.理想变压器动态分析模型 【模型结构】1.变压器动态分析流程图 →→→→ 2.涉及问题 (1)U=U,当U 不变时,不论负载电阻R变化与否,U 都不会改变. 2 1 1 2 (2)输出电流I 决定输入电流I. 2 1 (3)输出功率P 决定输入功率P. 2 1 【解题方法】1.变压器原线圈通入交变电流时,原线圈是交流电源的负载,此时原线圈和与之串、并联 的用电器同样遵循串、并联电路的特点和性质.对直流电,变压器不起作用,副线圈输出电压为零. 2.变压器的副线圈是所连接电路的电源,其电源电动势U 由输入电压和匝数比决定. 2 3.对其他形状的铁芯(如“日”字),应认真分析原、副线圈之间磁通量的关系,再结合其变压原理来分析 变压器的电压和匝数之间的关系. 【命题角度】角度1 匝数比不变,负载R变化(如图甲) (1)U 不变,根据=,输入电压U 决定输出电压U,可知不论负载电阻R如何变化,U 不变. 1 1 2 2 (2)当负载电阻R变化时,I 变化,可推出I 的变化. 2 1 (3)I 变化引起P 变化,根据P=P 知P 的变化. 2 2 1 2 1 角度2 负载电阻R不变,匝数比变化(如图乙) (1)U 不变,发生变化,故U 变化. 1 2 (2)R不变,U 改变,故I 发生变化. 2 2 (3)根据P=,P=P,可以判断P 发生变化时,P 变化,U 不变时,I 发生变化. 2 1 2 2 1 1 1 【模型演练1】如图所示,理想变压器原线圈接在交流电源上,图中各电表均为理想电表.下列说法正确 的是( ) A.当滑动变阻器的滑动触头P向上滑动时,R 消耗的功率变大 1 B.当滑动变阻器的滑动触头P向上滑动时,电压表V示数变大C.当滑动变阻器的滑动触头P向上滑动时,电流表A 示数变大 1 D.若闭合开关S,则电流表A 示数变大,A 示数变大 1 2 【答案】B. 【解析】:当滑动变阻器的滑动触头P向上滑动时,滑动变阻器接入电路的电阻增大,变压器副线圈的总 负载的等效电阻增大,R 中电流减小,R 两端电压减小,电压表示数变大,R 消耗的电功率变小,选项A 1 1 1 错误,B正确;当滑动变阻器的滑动触头P向上滑动时,变压器副线圈输出电流减小,输出功率减小,根 据变压器输入功率等于输出功率,变压器输入功率减小,电流表A 示数变小,选项C错误;若闭合开关 1 S,变压器副线圈的总负载的等效电阻减小,则R 中电流增大,R 两端电压增大,电压表示数减小,电流 1 1 表A 示数减小,电流表A 示数变大,选项D错误. 2 1 【模型演练2】如图,理想变压器原线圈加正弦式交流电,副线圈上接有电阻R灯泡 、 ,闭合开关 S,滑片P处于图示位置,灯泡正常发光。则( ) A.保持开关S闭合,将滑片P向下移,灯泡变暗 B.保持开关S闭合,将滑片P向上移,灯泡变暗 C.保持滑片P位置不变,断开开关S,灯泡 变暗 D.保持滑片P位置不变,断开开关S,灯泡 变亮 【答案】AD 【详解】AB.保持开关S闭合,将滑片P向下移,则次级匝数减小,次级电压减小,则灯泡变暗;同理将 滑片P向上移,灯泡变亮,选项A正确,B错误; CD.保持滑片P位置不变,次级电压不变,断开开关S,灯泡 熄灭,并且次级电阻变大,电流减小,电 阻R上的电压减小,灯泡 上的电压变大,则 变亮,选项C错误,D正确。 故选AD。【模型演练3】(2023·陕西·统考一模)如图所示为某小型发电站高压输电示意图。升压变压器原、副线圈 两端的电压分别为 和 ,降压变压器原、副线圈两端的电压分别为 和 。在输电线路的起始端接入 两个互感器,两个互感器原、副线圈的匝数比分别为 和 ,各互感器和电表均为理想的,则下列说 法正确的是( ) A.左侧互感器起到降压作用,右侧互感器起到降流作用 B.若电压表的示数为 ,电流表的示数为 ,则线路输送电功率为 C.若保持发电机输出电压 一定,仅将滑片 下移,则输电线损耗功率增大 D.若发电机输出电压 一定,若用户数增加,为维持用户电压 一定,可将滑片 下移 【答案】AC 【详解】A.根据两个互感器原、副线圈的匝数比可知电压互感器起到降压的作用,电流互感器起到降流 (升压)的作用,A正确; B.设输电电流为 ,根据理想变压器电压和电流规律可得 解得 所以线路输送的电功率为 B错误; C.由理想变压器电压和电流规律可得设输电线路总电阻为 ,根据闭合电路欧姆定律有 设用户端总电阻为 ,根据欧姆定律有 联立解得 若保持发电机输出电压 和用户数一定,仅将滑片 下移,则 增大, 不变,所以 增大,而输电线 损耗功率为 所以输电线损耗功率增大,C正确; D.若保持发电机输出电压 和 的位置一定,使用户数增加,即 不变, 减小,则 增大, 减小, 为了维持用户电压 一定,需要增大 ,可将滑片 上移,D错误。 故选AC。 【模型演练4】(多选)如图所示,理想变压器原、副线圈匝数比为1∶2,正弦交流电源输出的电压的有效值 恒为U=12 V,电阻R=1 Ω,R=2 Ω,滑动变阻器R 最大阻值为20 Ω,滑片P处于中间位置,则( ) 1 2 3 A.R 与R 消耗的电功率相等 1 2B.通过R 的电流为3 A 1 C.若向下移动P,电源输出功率增大 D.若向上移动P,电压表读数将变小 【答案】 BD 【解析】 理想变压器原、副线圈匝数比为1∶2,可知原、副线圈的电流之比为2∶1,根据P=I2R,可知R 1 与R 消耗的电功率之比为2∶1,选项A错误;设通过R 的电流为I,则副线圈的电流为0.5I,原线圈电压为 2 1 U-IR ,根据电压与匝数的关系可知副线圈电压为2(U-IR ),则=R +R =12 Ω,解得I=3 A,选项B 1 1 2 3m 正确;若向下移动P,则R 接入电路的电阻增大,副线圈电流变小,原线圈电流也变小,根据 P=UI可知 3 电源输出功率变小,若向上移动P,则R 接入电路的电阻变小,副线圈电流变大,则原线圈电流变大,则 3 电阻R 的电压变大,变压器输入电压变小,副线圈两端电压变小,电压表的读数变小,则选项C错误,D 1 正确. 【模型演练5】(多选)如图所示,电路中的变压器为理想变压器,U为正弦式交变电压,R为变阻器,R 、 1 R 是两个定值电阻,A、V分别是理想电流表和理想电压表,则下列说法正确的是( ) 2 A.闭合开关S,电流表示数变大、电压表示数变小 B.闭合开关S,电流表示数变小、电压表示数变大 C.开关S闭合时,变阻器滑片向左移动的过程中,电流表、电压表示数均变小 D.开关S闭合时,变阻器滑片向左移动的过程中,电流表、电压表示数均变大 【答案】 AC 【解析】 闭合开关S,负载总电阻变小,变压器的输出功率增大,副线圈的电流增大,根据=可知变压 器的输入电流增大,即电流表示数变大,变阻器R两端电压增大,根据串联分压可知变压器的输入电压减 小,根据=可知变压器的输出电压减小,电压表示数变小,故A正确,B错误;开关S闭合时,变阻器滑 片向左移动的过程中,变阻器R接入电路的阻值增大,两端电压增大,根据串联分压可知变压器的输入电 压减小,根据=可知变压器的输出电压减小,电压表示数变小,根据欧姆定律可知副线圈的电流减小,根 据=可知变压器的输入电流减小,即电流表示数变小,故C正确,D错误. 【模型演练6】(多选)如图所示,一理想变压器的原线圈与稳定的正弦交流电源相连,副线圈与定值电阻 R 和均匀密绕的滑动变阻器R串联.若不考虑温度对R 、R阻值的影响.在将滑动变阻器的滑片P由a匀 0 0 速滑到b的过程中( ) A.原线圈输入功率增大 B.原线圈两端电压增大 C.R两端的电压减小 D.R 消耗的电功率减小 0【答案】 AC 【解析】 原线圈与稳定的正弦交流电源相连,则原线圈两端的电压不变,由于匝数比不变,则副线圈两 端的电压不变,将滑片P由a匀速滑到b的过程中,滑动变阻器接入电路中的电阻减小,副线圈中电流增 大,由公式P=UI可知,理想变压器的输出功率增大,则理想变压器的输入功率增大,即原线圈输入功率 增大,故A正确,B错误;由于副线圈中电流增大,则R 两端电压增大,副线圈两端电压不变,则R两端 0 电压减小,故C正确;将副线圈与R 看成电源,由于不知道滑动变阻器的最大阻值与R 的关系,则无法 0 0 确定R 消耗的电功率的变化情况,故D错误. 0 六.远距离输电的电模型 1.五个关系式 (1)=,=. (2)理想变压器的输入功率等于输出功率,P =P 入 出. (3)升压变压器原线圈的电流I =,副线圈的电流I =,U 为输送 电 1 2 2 压. (4)功率损失:ΔP=IR =,P=P+ΔP. 线 2 3 (5)电压关系:U=IR +U. 2 2 线 3 2.解远距离输电问题的思路 (1)正确画出输电过程示意图并在图上标出各物理量. (2)抓住变压器变压前后各量间关系,求出输电线上的电流. (3)计算电路功率问题时常用关系式:P =IR ,注意输电线上的功率损失和电压损失. 损 线 (4)电网送电遵循“用多少送多少”的原则说明原线圈电流由副线圈电流决定. 3.输电线路功率损失的计算方法 (1)P =P-P′,P为输送的功率,P′为用户所得功率. 损 (2)P =IR =()2R ,I 为输电线路上的电流,R 为线路电阻. 损 线 线. 线 线 当输送功率一定时,输电电压增大到原来的n倍,输电线上损耗的功率就减小到原来的. (3)P =,ΔU为输电线路上损失的电压,R 为线路电阻. 损 线 (4)P =ΔUI ,ΔU为输电线路上损失的电压,I 为输电线路上的电流. 损 线 线 4.关于远距离输电问题的处理思路 (1)画出输电线路图,将已知量和未知量标在图中相应位置; (2)将输电线路划分为几个独立回路; (3)根据串并联电路特点、欧姆定律、电功率公式等确定各部分回路物理量之间的关系; (4)根据升压、降压,原、副线圈的电压、电流关系和功率关系列式求解。5.远距离输电问题的分析思路及常见的“三个误区” (1)分析思路:对高压输电问题,应按“发电机→升压变压器→远距离输电线→降压变压器→用电器”, 或按从“用电器”倒推到“发电机”的顺序一步一步进行分析. (2)三个误区: (1)不能正确地利用公式P =2R计算输电线上的损耗功率导致错误; 损 (2)不能正确理解升压变压器的输出电压U 、降压变压器的输入电压U 和输电线上损失的电压ΔU的关系 2 3 导致错误,三者关系是U=ΔU+U; 2 3 (3)不能正确理解升压变压器的输入功率P 、降压变压器的输出功率P 和输电线上损失的功率P 的关系导 1 4 损 致错误,三者关系是P=P +P. 1 损 4 【模型演练1】风力发电将风的动能转化为电能.某风力发电机的输出功率为10kW,输出电压为250V,用 户得到的电压是220V,输电线的电阻为20 ,升压变压器原、副线圈匝数比为1:10,输电线路如图所示. 变压器视作理想变压器,则下列说法正确的是( ) A.用户得到的电功率为9kW B.降压变压器原、副线圈匝数比为11:1 C.通过输电线的电流为4A D.输电线上损耗的功率为320W 【答案】BCD 【详解】ACD.设升压变压器副线圈的电压为 ,则有 解得 则输电线上电流为 则输电线上损失的功率为故户得到的电功率为 故A错误,CD正确; B.输电线上损失的电压为 则降压变压器原线圈两端的电压为 故降压变压器原、副线圈匝数比为 故B正确。 故选BCD。 【模型演练2】如图所示,高铁的供电流程是将高压220kV或110kV经过牵引变电所进行变压(可视作理 想变压器),降至27.5kV,通过接触网上的电线与车顶上的受电器进行接触而完成受电,机车最终获得 25kV的电力使高铁机车运行,以下说法正确的是( ) A.若电网的电压为220kV,则变电所的变压器原、副线圈匝数比 B.若电网的电压为110kV,则变电所的变压器原、副线圈匝数比 C.如果高铁机车功率为8000kW,牵引变电所至机车间的线路损耗的电功率为800kW D.如果高铁机车功率为8000kW,则自牵引变电所至机车间线路的等效电阻约为85.9Ω 【答案】AC 【详解】A.若电网的电压为220kV,根据可得 故A正确; B.若电网的电压为110kV,则有 故B错误; CD.如果高铁机车功率为8000kW,通过线路的电流大小为 牵引变电所至机车间的线路损耗的电功率为 自牵引变电所至机车间线路的等效电阻约为 故C正确,D错误。 故选AC。 【模型演练3】(2023春·重庆·高三校联考期末)发电厂通过较长距离输电线直接向学校供电,发电机的 输出电压为 ,发电厂至学校的输电线总电阻为R,通过输电线的电流为I,学校的输入电压为 ,下列 计算输电线损耗功率的表达式中正确的是( ) A. B. C. D. 【答案】CD 【详解】由题意可知,线路压降为 根据欧姆定律输电线损耗功率为 故选CD。 【模型演练4】(2023春·天津南开·高三统考期末)2020年9月,中国发布“双碳战略”,计划到2030年 实现碳达峰、2060年实现碳中和。碳排放问题的治本之策是转变能源发展方式,加快推进清洁替代和电能 替代,一座小型水电站向山下村镇供电的示意图如图所示,升压变压器 与降压变压器 都是理想变压器。 已知发电机输出电压 V,两个变压器的匝数比 , ,输电线电阻 , 发电机输出功率 。则下列说法正确的( ) A.输电线上损失的电压为800V B.用户得到的电压为200V C.输电线上损失的功率为32kW D.深夜,用户的用电器减少时输电线上损失的功率将变大 【答案】AC 【详解】A.升压变压器的输入电流为 根据 则有升压变压器的输出电流为 输电线上损失的电压为故A正确; B.由题可知,发电机输出电压 =250V,根据电压比与匝数比的关系 则可求,升压变压器的输出电压为 分析电路可知降压变压器的输入电压为 根据 可求用户得到的电压为 =220V 故B错误; C.输电线上损失的功率为电阻R的发热功率,即 故C正确; D.深夜用户的用电器减少,则降压变压器的输入功率减小,输入电流减小,输电线上损失的功率减小, 故D错误。 故选AC。 【模型演练5】(2023春·四川绵阳·高三四川省绵阳南山中学校考期末)在远距离输电技术上,中国 1100kV特高压直流输电工程是目前世界上电压等级最高、输送容量最大、输送距离最远、技术水平最先进 的输电工程。输电线路流程可简化为: 如虚线框所示,若直流输电线电阻为 ,直流电输送功率为 ,不计变压器、整流与逆变等造成 的能量损失,则( )A.直流电输电线路上的电流为500A B.直流电输电线路上损失的电压为100kV C.降压变压器的输出功率是 D.若将1100kV直流输电降为550kV直流输电,受端获得功率将比原来减少 【答案】D 【详解】A.根据电功率计算公式可知输送电流 故A错误; B.损失的电压 故B错误; C.输电导线上损失的功率 降压变压器的输出功率 故C错误; D.用1100kV输电时输电导线上损失的功率 保持输送功率不变,只用550kV输电,则有 则用户得到的功率比1100kV输电时减少 故D正确。 故选D。 【模型演练5】(2023春·山西运城·高三统考期末)绿色环保低碳出行已经成为一种时尚,新能源汽车越 来越受市民的喜爱,正在加速“驶入”百姓家,某家用交流充电桩的供电电路如图所示。已知总电源的输 出电压为U=250V,输电线的总电阻r=20Ω,变压器视为理想变压器,其中升压变压器原副线圈的匝数比 1为n:n=1:8,汽车充电桩的额定电压为U=220V,额定功率为9.5kW。当汽车以额定电压充电时,下列 1 2 4 说法中正确的是( ) A.通过输电线的电流为5A B.电源的输出功率为10.5kW C.输电线因发热而损失的功率为输送功率的4% D.降压变压器原、副线圈的匝数之比为100:11 【答案】A 【详解】D.总电源的输出电压为 U=250V 1 又 得 当汽车以额定电压充电时,充电电流 又 得 又 得联立得 解得 故D错误; A. 由 得 通过输电线的电流 故A正确; B.电源的输出功率为 故B错误; C.输电线因发热而损失的功率为输送功率 故C错误。 故选A。