当前位置:首页>文档>1.7整数乘法运算定律推广到分数_小学1-6年级常用的上册资源汇总_六年级上册资料(1)_七彩课堂人教版数学六年级上册教学资源包_第一单元分数乘法_1.7整数乘法运算定律推广到分数_课时练

1.7整数乘法运算定律推广到分数_小学1-6年级常用的上册资源汇总_六年级上册资料(1)_七彩课堂人教版数学六年级上册教学资源包_第一单元分数乘法_1.7整数乘法运算定律推广到分数_课时练

  • 2026-04-13 22:44:03 2026-04-13 22:38:48

文档预览

1.7整数乘法运算定律推广到分数_小学1-6年级常用的上册资源汇总_六年级上册资料(1)_七彩课堂人教版数学六年级上册教学资源包_第一单元分数乘法_1.7整数乘法运算定律推广到分数_课时练
1.7整数乘法运算定律推广到分数_小学1-6年级常用的上册资源汇总_六年级上册资料(1)_七彩课堂人教版数学六年级上册教学资源包_第一单元分数乘法_1.7整数乘法运算定律推广到分数_课时练
1.7整数乘法运算定律推广到分数_小学1-6年级常用的上册资源汇总_六年级上册资料(1)_七彩课堂人教版数学六年级上册教学资源包_第一单元分数乘法_1.7整数乘法运算定律推广到分数_课时练
1.7整数乘法运算定律推广到分数_小学1-6年级常用的上册资源汇总_六年级上册资料(1)_七彩课堂人教版数学六年级上册教学资源包_第一单元分数乘法_1.7整数乘法运算定律推广到分数_课时练
1.7整数乘法运算定律推广到分数_小学1-6年级常用的上册资源汇总_六年级上册资料(1)_七彩课堂人教版数学六年级上册教学资源包_第一单元分数乘法_1.7整数乘法运算定律推广到分数_课时练
1.7整数乘法运算定律推广到分数_小学1-6年级常用的上册资源汇总_六年级上册资料(1)_七彩课堂人教版数学六年级上册教学资源包_第一单元分数乘法_1.7整数乘法运算定律推广到分数_课时练

文档信息

文档格式
docx
文档大小
0.077 MB
文档页数
3 页
上传时间
2026-04-13 22:38:48

文档内容

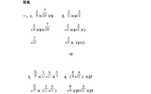
整数乘法运算定律推广到分数 一、用简便方法计算。 7 2 2 2 20 1.9 × ×9 2.5 ×4+5 5 5 6 5 8 4 3.7 ×11 +11 ×7 4.(9 +27 )×27 5 8 7 3 5 5.7 ×13 ×10 6.5 ×(20-6 ) 二、 在○里填上“<”“>”或“=”。 3 5 5 3 4 8 8 4 1. × ○ × 1 3 1 1 3 1 2 5 2 2 5 2 2. + × ○( + )× 4 2 3 2 4 3 2 7 3 7 3 7 7 3 3. × + × ○( + )× 1 9 7 1 9 7 4 7 9 4 7 9 4.( × )× ○( + )× 1 1 1 1 5 6 5 6 5. × ×5○ ×5× 三.有长、短两根绳子,长绳长 2.8m,短绳的长度是长绳长度的 。 把这两根绳子接起来有多长?(接头处忽略不计)答案 7 2 2 2 20 一、1. 9 × ×9 2. 5 ×4+5 7 2 2 2 20 =9 ×9× =5 ×4+5 ×1 7 2 =10 =5 ×(4+1) =2 5 5 6 5 8 4 3. 7 ×11 +11 ×7 4.(9 +27 )×27 5 5 6 8 4 =7 ×(11 +11 ) =9 ×27+27 ×27 5 =7 =24+4 =28 5 8 7 3 5 5.7 ×13 ×10 6.5 ×(20-6 )5 7 8 3 3 5 =7 ×10 ×13 =5 ×20-5 ×6 4 23 =13 = 2 二、1.= 2.> 3.= 4.< 5.= 三、 (m) 答 :把这两根绳子接起来长3.6米。