当前位置:首页>文档>期末考试B卷压轴题模拟训练(三)(解析版)_北师大初中数学_8下-北师大版初中数学_旧版-可参考_06专项讲练_B卷常考2022-2023学年八年级数学下册压轴题攻略(北师大版,成都专用)

期末考试B卷压轴题模拟训练(三)(解析版)_北师大初中数学_8下-北师大版初中数学_旧版-可参考_06专项讲练_B卷常考2022-2023学年八年级数学下册压轴题攻略(北师大版,成都专用)

  • 2026-04-14 10:02:33 2026-04-14 05:37:38

文档预览

期末考试B卷压轴题模拟训练(三)(解析版)_北师大初中数学_8下-北师大版初中数学_旧版-可参考_06专项讲练_B卷常考2022-2023学年八年级数学下册压轴题攻略(北师大版,成都专用)
期末考试B卷压轴题模拟训练(三)(解析版)_北师大初中数学_8下-北师大版初中数学_旧版-可参考_06专项讲练_B卷常考2022-2023学年八年级数学下册压轴题攻略(北师大版,成都专用)
期末考试B卷压轴题模拟训练(三)(解析版)_北师大初中数学_8下-北师大版初中数学_旧版-可参考_06专项讲练_B卷常考2022-2023学年八年级数学下册压轴题攻略(北师大版,成都专用)
期末考试B卷压轴题模拟训练(三)(解析版)_北师大初中数学_8下-北师大版初中数学_旧版-可参考_06专项讲练_B卷常考2022-2023学年八年级数学下册压轴题攻略(北师大版,成都专用)
期末考试B卷压轴题模拟训练(三)(解析版)_北师大初中数学_8下-北师大版初中数学_旧版-可参考_06专项讲练_B卷常考2022-2023学年八年级数学下册压轴题攻略(北师大版,成都专用)
期末考试B卷压轴题模拟训练(三)(解析版)_北师大初中数学_8下-北师大版初中数学_旧版-可参考_06专项讲练_B卷常考2022-2023学年八年级数学下册压轴题攻略(北师大版,成都专用)
期末考试B卷压轴题模拟训练(三)(解析版)_北师大初中数学_8下-北师大版初中数学_旧版-可参考_06专项讲练_B卷常考2022-2023学年八年级数学下册压轴题攻略(北师大版,成都专用)
期末考试B卷压轴题模拟训练(三)(解析版)_北师大初中数学_8下-北师大版初中数学_旧版-可参考_06专项讲练_B卷常考2022-2023学年八年级数学下册压轴题攻略(北师大版,成都专用)
期末考试B卷压轴题模拟训练(三)(解析版)_北师大初中数学_8下-北师大版初中数学_旧版-可参考_06专项讲练_B卷常考2022-2023学年八年级数学下册压轴题攻略(北师大版,成都专用)
期末考试B卷压轴题模拟训练(三)(解析版)_北师大初中数学_8下-北师大版初中数学_旧版-可参考_06专项讲练_B卷常考2022-2023学年八年级数学下册压轴题攻略(北师大版,成都专用)
期末考试B卷压轴题模拟训练(三)(解析版)_北师大初中数学_8下-北师大版初中数学_旧版-可参考_06专项讲练_B卷常考2022-2023学年八年级数学下册压轴题攻略(北师大版,成都专用)
期末考试B卷压轴题模拟训练(三)(解析版)_北师大初中数学_8下-北师大版初中数学_旧版-可参考_06专项讲练_B卷常考2022-2023学年八年级数学下册压轴题攻略(北师大版,成都专用)
期末考试B卷压轴题模拟训练(三)(解析版)_北师大初中数学_8下-北师大版初中数学_旧版-可参考_06专项讲练_B卷常考2022-2023学年八年级数学下册压轴题攻略(北师大版,成都专用)
期末考试B卷压轴题模拟训练(三)(解析版)_北师大初中数学_8下-北师大版初中数学_旧版-可参考_06专项讲练_B卷常考2022-2023学年八年级数学下册压轴题攻略(北师大版,成都专用)
期末考试B卷压轴题模拟训练(三)(解析版)_北师大初中数学_8下-北师大版初中数学_旧版-可参考_06专项讲练_B卷常考2022-2023学年八年级数学下册压轴题攻略(北师大版,成都专用)
期末考试B卷压轴题模拟训练(三)(解析版)_北师大初中数学_8下-北师大版初中数学_旧版-可参考_06专项讲练_B卷常考2022-2023学年八年级数学下册压轴题攻略(北师大版,成都专用)
期末考试B卷压轴题模拟训练(三)(解析版)_北师大初中数学_8下-北师大版初中数学_旧版-可参考_06专项讲练_B卷常考2022-2023学年八年级数学下册压轴题攻略(北师大版,成都专用)
期末考试B卷压轴题模拟训练(三)(解析版)_北师大初中数学_8下-北师大版初中数学_旧版-可参考_06专项讲练_B卷常考2022-2023学年八年级数学下册压轴题攻略(北师大版,成都专用)

文档信息

文档格式
docx
文档大小
0.499 MB
文档页数
14 页
上传时间
2026-04-14 05:37:38

文档内容

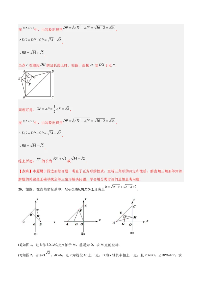
期末考试B卷压轴题模拟训练(三) 一、填空题 19.已知a=b﹣2 ,则代数式 的值为_____. 【答案】12 【分析】由已知等式得出 ,代入到原式 计算可得答案. 【详解】解: , 故答案为:12. 【点睛】本题主要考查了完全平方的运算,其中熟练掌握完全平方公式是解题的关键. 20.不等式组 的解集是x≤3,那么a的取值范围_____. 【答案】a>1 【分析】先求出两个不等式的解集,再求其公共解,然后根据不等式的同小取小列出不等式,然后求解即 可. 【详解】解: , 解不等式②得,x≤3, ∵不等式组的解集是x≤3, ∴2a+1>3, 解得a>1, ∴a的取值范围a>1. 故答案为a>1. 【点睛】本题主要考查了一元一次不等式组解集的求法,其简便求法就是用口诀求解.求不等式组解集的 口诀:同大取大,同小取小,大小小大中间找,大大小小找不到(无解). 21.若一次函数 的图象经过第一,三,四象限,且关于 的分式方程的解为非负数,则满足条件 的取值范围为_________. 【答案】 且 【分析】根据一次函数 经过第一、三、四象限则 得到 ;再解分式方程得到 ,结合分式方程解得情况求解即可. 【详解】解:∵一次函数 的图象经过第一,三,四象限, ∴ ,解得 ; 去分母得: ,去括号得: ,∴ , ∵关于 的分式方程 的解为非负数,∴ ,解得 且 , 综上所述, 且 , 故答案为: 且 . 【点睛】本题主要考查了一次函数图象与系数的关系,根据分式方程解的情况求参数,解一元一次不等式 组,灵活运用所学知识是解题的关键. 22.如图,已知四边形ABCD是平行四边形,将边AD绕点D逆时针旋转60°得到DE,线段DE交边BC于点 F,连接BE.若∠C+∠E=150°,BE=2,CD=2 ,则线段BC的长为_____. 【答案】2 【分析】过C作CM⊥DE于M,过E作EN⊥BC于N,根据平行四边形的性质得到BC∥AD,根据平行线的性 质得到∠BFE=∠DFC=∠ADE,根据旋转的性质得到∠BFE=∠DFC=∠ADE=60°,推出∠DCM=∠EBN,根据相似三角形的性质得到CM= BN,DM= EN,得到FM=BN,设FM=BN=x,EN=y,则DM= y,CM= x,根据 勾股定理即可得到结论. 【详解】解:过C作CM⊥DE于M,过E作EN⊥BC于N, ∵四边形ABCD是平行四边形, ∴BC∥AD, ∴∠BFE=∠DFC=∠ADE, ∵将边AD绕点D逆时针旋转60°得到DE, ∴∠BFE=∠DFC=∠ADE=60°, ∴∠FCM=∠FBN=30°, ∵∠DCF+∠BEF=150°, ∴∠DCM+∠BEN=90°, ∵∠BEN+∠EBN=90°, ∴∠DCM=∠EBN, ∴ = = , ∴CM= BN,DM= EN, 在Rt△CMF中,CM= FM, ∴FM=BN, 设FM=BN=x,EN=y,则DM= y,CM= x, ∴CF=2x,EF= y, ∵BC=AD=DE, ∴ y+x+ y=2x+ y+x,∴x= y,∵x2+y2=4, ∴y= ,x= , ∴BC=2 , 故答案为:2 . 【点评】本题考查了平行四边形的性质,相似三角形的判定和性质,勾股定理,旋转的性质,正确的作出 辅助线是解题的关键. 23.如图,在 中, , , 于点D, 平分 交 于点E,交 于点G,过点A作 于点H,交 于点F,下列结论:① ;② ;③ ;④ ,其中正确的序号有______. 【答案】①③④ 【分析】根据角平分线定义得到 ,根据余角的性质得到 ,等量代换得到 ,故①正确;如图,连接 ,根据全等三角形的性质得到 ,根据线段垂直平分 线的性质得到 ,求得 ,故②错误;根据全等三角形的性质得到 ,根 据等腰直角三角形的性质得到 ,求得 ,故③正确;根据全等三角 形的性质得到 ,推出 ,得到 ,于是得到 .故 ④正确. 【详解】解:∵ 平分 交 于点E, ∴ , ∵ , ∴ ,∴ , ∴ , ∵ , ∴ ,故①正确; 如图,连接 , ∵ , , , ∴ , ∴ , ∴ 垂直平分 , ∴ , ∴ , ∵ , ∴ , ∴ , ∴ ,故②错误; ∵ 垂直平分 , ∴ , ∴ , ∴ , ∴ 是等腰直角三角形, ∴ , ∵ , ∴ ,故③正确; ∵ , , ∴ ,∵ , , ∴ , ∴ , ∵ , , ∴ , ∵ , , ∴ , ∴ , ∵ , ∴ , ∴ .故④正确; 综上所述:正确的是①③④. 故答案为:①③④. 【点睛】本题是三角形的综合题,考查了全等三角形的判定和性质,等腰直角三角形的性质,线段垂直平 分线的性质,熟练掌握全等三角形的性质和判定定理是解题的关键. 二、解答题 24.沙坪坝区2017年已经成功创建国家卫生城区,现在正全力争创全国文明城区(简称“创文”),某街 道积极响应“创文”活动,投入一定资金用于绿化一块闲置空地,购买了甲、乙两种树木共72棵,其中甲 种树木每棵90元,乙种树木每棵80元,共用去资金6160元. (1)求甲、乙两种树木各购买了多少棵? (2)经过一段时间后,种植的这批树木成活率高,绿化效果好,该街道决定再购买一批这两种树木绿化 另一块闲置空地,两种树木的购买数量均与第一批相同,购买时发现甲种树木单价上涨了 ,乙种树木 单价下降了 ,且总费用不超过6804元,求 的最大值. 【答案】(1)甲种40棵,乙种32棵,(2)25. 【分析】(1)设甲种树苗购买了 棵,乙种树苗购买了 棵,根据总费用 单价 数量结合“购买了甲、 乙两种树木共72棵,共用去资金6160元”,即可得出关于 , 的二元一次方程组,解之即可得出结论;(2)根据总费用 单价 数量结合总费用不超过6804元,即可得出关于 的一元一次不等式,解之取其中 的最大值即可得出结论. 【详解】解:(1)设甲种树苗购买了 棵,乙种树苗购买了 棵, 根据题意得: , 解得: . 答:甲种树苗购买了40棵,乙种树苗购买了32棵. (2)根据题意得: , 解得: . 答: 的最大值为25. 【点睛】本题考查了二元一次方程组的应用以及一元一次不等式的应用,解题的关键是:(1)找准等量 关系,正确列出二元一次方程组;(2)根据各数量之间的关系,正确列出一元一次不等式. 25.正方形ABCD和正方形AEFG的边长分别为6和2,将正方形AEFG绕点A逆时针旋转. (1)当旋转至图1位置时,连接BE,DG,线段BE和DG是否相等且垂直?请说明理由; (2)在图1中,连接BD,BF,DF,请直接写出在旋转过程中 的面积最大值; (3)在旋转过程中,当点G,E,D在同一直线上时,请求出线段BE的长. 【答案】(1)相等且垂直,理由见解析 (2)30 (3)BE的长为 或 【分析】(1)如图,证明 ,可得结论;(2)如图,取 的中点 ,连接 、 、 ,过点 作 于点 ,根据三角形的三边关系, 推出 的最大值,由此可得结论; (3)分两种情形:如图,当点 在线段 上时.如图当点 在线段 的延长线上时,利用勾股定理即 可得出结论. 【详解】(1)解:(1)数量关系: ,位置关系: , 理由如下:如图,设 与 交于点 ,连接 , ∵四边形 、四边形 都是正方形, ∴ , , , ∴ 即 , 在 和 中, , , , , , 即 , , 故 与 的数量关系为: ,位置关系为: ; (2)解:如图,取 的中点 ,连接 、 、 ,过点 作 于点 ,, 为 中点, , , , , 四边形 是正方形 , , , 即 的最大值为 , , 当 最大时, 的面积也最大, 面积的最大值为 ; (3)解:当点 在线段 上时,如图,连接 交 于点 , 四边形 是正方形, , ,在 中,由勾股定理得 , , , 当点 在线段 的延长线上时,如图,连接 交 于点 , 同理可得: , 在 中,由勾股定理得 , , , 综上所述, 的长为 或 . 【点睛】本题属于四边形综合题,考查了正方形的性质,全等三角形的判定和性质,解直角三角形等知识, 解题的关键是正确寻找全等三角形解决问题,学会用分类讨论的思想思考问题. 26.如图,在直角坐标系中,A(-a,0),B(b,0),C(0,c),且满足 . (1)如图1,过B作BD⊥AC,交y轴于M,垂足为D,求M点的坐标. (2)如图2,若a=3 ,AC=6,点P为线段AC上一点,D为x轴负半轴上一点,且PD=PO,∠DPO=45°,求点D的坐标. (3)如图3,M在OC上,E在AC上,满足∠CME=∠OMA,EF⊥AM交AO于G,垂足为F,试猜想线段 OG,OM,CM三者之间的数量关系,并给出证明. 【答案】(1)M(0,2);(2)D( ,0);(3)OG+OM=CM,证明见解析. 【分析】(1)由被开方数大于等于0,可得a=c,b=2,则B点坐标为(2,0),易得△OAC和△OBM为等 腰直角三角形,所以OM=OB=2,从而得到M点坐标; (2)由“一线三等角”模型,易证△PAD≌△OCP,从而得到AP=OC,AD=PC,即可求出OD的长度,进而 得到D点坐标; (3)设OM=m,则M点坐标为(0,m),分别求出AC、AM、EM的解析式,将EM与AC联立求得E点 坐标,再根据EF⊥AM,可得EF的斜率,进而求出EF的解析式,然后求出G点坐标即可得出关系. 【详解】解:(1)由题意得 , ∴ , ∴OA=OC,B点坐标(2,0) ∴∠OAC=∠OCA=45°, 又∵BD⊥AC ∴∠OBM=45°, ∴∠OMB=∠OBM=45°, ∴OM=OB=2 ∴M点的坐标为(0,2) (2)∵∠APO=∠APD+∠DPO=∠PCO+∠POC,且∠DPO=∠PCO=45° ∴∠APD=∠POC 在△PAD和△OCP中, ∴△PAD≌△OCP(AAS) ∴AP=OC= ,AD=PC∴PC=AC-AP= =AD ∴OD=OA-AD= ∵D点在x轴负半轴, ∴D点坐标为( ,0) (3)OG+OM=CM,证明如下: 设OM=m,则M点坐标为(0,m) 由(1)可知OA=OC=a,A点坐标为(-a,0),C点坐标为(0,a) ∴AC直线解析式为: AM直线解析式为: 如图,延长EM,AO交于点H, ∵∠CME=∠OMA,∠CME=∠OMH ∴∠OMA=∠OMH 又∵MO⊥AH ∴OA=OH=a ∴直线EH解析式为: 将直线AC与直线EH联立得 解得 ∴E点坐标为( , ) ∵EF⊥AM∴k ·k =-1 EF AM ∴k = EF 设EF解析式为: 将E点坐标( , )代入得 = ,解得 设EF解析式为: 当y=0时, 解得 ∴G点坐标为( ,0) ∵G在x轴的负半轴 ∴OG= ∴OG+OM= 又∵CM=OC-OM= ∴OG+OM=CM 【点睛】本题考查了坐标系中的几何问题,熟练掌握几何模型,以及一次函数的图像与性质,是解决本题 的关键,难度较大,需要综合运用所学知识.