当前位置:首页>文档>专题突破卷18圆锥曲线中焦半径和焦点弦公式的应用(解析版)_02高考数学_2025年新高考资料_一轮复习_2025年高考数学一轮复习考点通关卷(新高考通用)

专题突破卷18圆锥曲线中焦半径和焦点弦公式的应用(解析版)_02高考数学_2025年新高考资料_一轮复习_2025年高考数学一轮复习考点通关卷(新高考通用)

  • 2026-04-14 14:49:53 2026-04-14 14:49:53

文档预览

专题突破卷18圆锥曲线中焦半径和焦点弦公式的应用(解析版)_02高考数学_2025年新高考资料_一轮复习_2025年高考数学一轮复习考点通关卷(新高考通用)
专题突破卷18圆锥曲线中焦半径和焦点弦公式的应用(解析版)_02高考数学_2025年新高考资料_一轮复习_2025年高考数学一轮复习考点通关卷(新高考通用)
专题突破卷18圆锥曲线中焦半径和焦点弦公式的应用(解析版)_02高考数学_2025年新高考资料_一轮复习_2025年高考数学一轮复习考点通关卷(新高考通用)
专题突破卷18圆锥曲线中焦半径和焦点弦公式的应用(解析版)_02高考数学_2025年新高考资料_一轮复习_2025年高考数学一轮复习考点通关卷(新高考通用)
专题突破卷18圆锥曲线中焦半径和焦点弦公式的应用(解析版)_02高考数学_2025年新高考资料_一轮复习_2025年高考数学一轮复习考点通关卷(新高考通用)
专题突破卷18圆锥曲线中焦半径和焦点弦公式的应用(解析版)_02高考数学_2025年新高考资料_一轮复习_2025年高考数学一轮复习考点通关卷(新高考通用)
专题突破卷18圆锥曲线中焦半径和焦点弦公式的应用(解析版)_02高考数学_2025年新高考资料_一轮复习_2025年高考数学一轮复习考点通关卷(新高考通用)
专题突破卷18圆锥曲线中焦半径和焦点弦公式的应用(解析版)_02高考数学_2025年新高考资料_一轮复习_2025年高考数学一轮复习考点通关卷(新高考通用)
专题突破卷18圆锥曲线中焦半径和焦点弦公式的应用(解析版)_02高考数学_2025年新高考资料_一轮复习_2025年高考数学一轮复习考点通关卷(新高考通用)
专题突破卷18圆锥曲线中焦半径和焦点弦公式的应用(解析版)_02高考数学_2025年新高考资料_一轮复习_2025年高考数学一轮复习考点通关卷(新高考通用)
专题突破卷18圆锥曲线中焦半径和焦点弦公式的应用(解析版)_02高考数学_2025年新高考资料_一轮复习_2025年高考数学一轮复习考点通关卷(新高考通用)
专题突破卷18圆锥曲线中焦半径和焦点弦公式的应用(解析版)_02高考数学_2025年新高考资料_一轮复习_2025年高考数学一轮复习考点通关卷(新高考通用)
专题突破卷18圆锥曲线中焦半径和焦点弦公式的应用(解析版)_02高考数学_2025年新高考资料_一轮复习_2025年高考数学一轮复习考点通关卷(新高考通用)
专题突破卷18圆锥曲线中焦半径和焦点弦公式的应用(解析版)_02高考数学_2025年新高考资料_一轮复习_2025年高考数学一轮复习考点通关卷(新高考通用)
专题突破卷18圆锥曲线中焦半径和焦点弦公式的应用(解析版)_02高考数学_2025年新高考资料_一轮复习_2025年高考数学一轮复习考点通关卷(新高考通用)
专题突破卷18圆锥曲线中焦半径和焦点弦公式的应用(解析版)_02高考数学_2025年新高考资料_一轮复习_2025年高考数学一轮复习考点通关卷(新高考通用)
专题突破卷18圆锥曲线中焦半径和焦点弦公式的应用(解析版)_02高考数学_2025年新高考资料_一轮复习_2025年高考数学一轮复习考点通关卷(新高考通用)
专题突破卷18圆锥曲线中焦半径和焦点弦公式的应用(解析版)_02高考数学_2025年新高考资料_一轮复习_2025年高考数学一轮复习考点通关卷(新高考通用)
专题突破卷18圆锥曲线中焦半径和焦点弦公式的应用(解析版)_02高考数学_2025年新高考资料_一轮复习_2025年高考数学一轮复习考点通关卷(新高考通用)
专题突破卷18圆锥曲线中焦半径和焦点弦公式的应用(解析版)_02高考数学_2025年新高考资料_一轮复习_2025年高考数学一轮复习考点通关卷(新高考通用)
专题突破卷18圆锥曲线中焦半径和焦点弦公式的应用(解析版)_02高考数学_2025年新高考资料_一轮复习_2025年高考数学一轮复习考点通关卷(新高考通用)
专题突破卷18圆锥曲线中焦半径和焦点弦公式的应用(解析版)_02高考数学_2025年新高考资料_一轮复习_2025年高考数学一轮复习考点通关卷(新高考通用)
专题突破卷18圆锥曲线中焦半径和焦点弦公式的应用(解析版)_02高考数学_2025年新高考资料_一轮复习_2025年高考数学一轮复习考点通关卷(新高考通用)
专题突破卷18圆锥曲线中焦半径和焦点弦公式的应用(解析版)_02高考数学_2025年新高考资料_一轮复习_2025年高考数学一轮复习考点通关卷(新高考通用)
专题突破卷18圆锥曲线中焦半径和焦点弦公式的应用(解析版)_02高考数学_2025年新高考资料_一轮复习_2025年高考数学一轮复习考点通关卷(新高考通用)
专题突破卷18圆锥曲线中焦半径和焦点弦公式的应用(解析版)_02高考数学_2025年新高考资料_一轮复习_2025年高考数学一轮复习考点通关卷(新高考通用)
专题突破卷18圆锥曲线中焦半径和焦点弦公式的应用(解析版)_02高考数学_2025年新高考资料_一轮复习_2025年高考数学一轮复习考点通关卷(新高考通用)
专题突破卷18圆锥曲线中焦半径和焦点弦公式的应用(解析版)_02高考数学_2025年新高考资料_一轮复习_2025年高考数学一轮复习考点通关卷(新高考通用)
专题突破卷18圆锥曲线中焦半径和焦点弦公式的应用(解析版)_02高考数学_2025年新高考资料_一轮复习_2025年高考数学一轮复习考点通关卷(新高考通用)
专题突破卷18圆锥曲线中焦半径和焦点弦公式的应用(解析版)_02高考数学_2025年新高考资料_一轮复习_2025年高考数学一轮复习考点通关卷(新高考通用)
专题突破卷18圆锥曲线中焦半径和焦点弦公式的应用(解析版)_02高考数学_2025年新高考资料_一轮复习_2025年高考数学一轮复习考点通关卷(新高考通用)
专题突破卷18圆锥曲线中焦半径和焦点弦公式的应用(解析版)_02高考数学_2025年新高考资料_一轮复习_2025年高考数学一轮复习考点通关卷(新高考通用)
专题突破卷18圆锥曲线中焦半径和焦点弦公式的应用(解析版)_02高考数学_2025年新高考资料_一轮复习_2025年高考数学一轮复习考点通关卷(新高考通用)
专题突破卷18圆锥曲线中焦半径和焦点弦公式的应用(解析版)_02高考数学_2025年新高考资料_一轮复习_2025年高考数学一轮复习考点通关卷(新高考通用)
专题突破卷18圆锥曲线中焦半径和焦点弦公式的应用(解析版)_02高考数学_2025年新高考资料_一轮复习_2025年高考数学一轮复习考点通关卷(新高考通用)
专题突破卷18圆锥曲线中焦半径和焦点弦公式的应用(解析版)_02高考数学_2025年新高考资料_一轮复习_2025年高考数学一轮复习考点通关卷(新高考通用)
专题突破卷18圆锥曲线中焦半径和焦点弦公式的应用(解析版)_02高考数学_2025年新高考资料_一轮复习_2025年高考数学一轮复习考点通关卷(新高考通用)
专题突破卷18圆锥曲线中焦半径和焦点弦公式的应用(解析版)_02高考数学_2025年新高考资料_一轮复习_2025年高考数学一轮复习考点通关卷(新高考通用)
专题突破卷18圆锥曲线中焦半径和焦点弦公式的应用(解析版)_02高考数学_2025年新高考资料_一轮复习_2025年高考数学一轮复习考点通关卷(新高考通用)
专题突破卷18圆锥曲线中焦半径和焦点弦公式的应用(解析版)_02高考数学_2025年新高考资料_一轮复习_2025年高考数学一轮复习考点通关卷(新高考通用)
专题突破卷18圆锥曲线中焦半径和焦点弦公式的应用(解析版)_02高考数学_2025年新高考资料_一轮复习_2025年高考数学一轮复习考点通关卷(新高考通用)
专题突破卷18圆锥曲线中焦半径和焦点弦公式的应用(解析版)_02高考数学_2025年新高考资料_一轮复习_2025年高考数学一轮复习考点通关卷(新高考通用)
专题突破卷18圆锥曲线中焦半径和焦点弦公式的应用(解析版)_02高考数学_2025年新高考资料_一轮复习_2025年高考数学一轮复习考点通关卷(新高考通用)
专题突破卷18圆锥曲线中焦半径和焦点弦公式的应用(解析版)_02高考数学_2025年新高考资料_一轮复习_2025年高考数学一轮复习考点通关卷(新高考通用)
专题突破卷18圆锥曲线中焦半径和焦点弦公式的应用(解析版)_02高考数学_2025年新高考资料_一轮复习_2025年高考数学一轮复习考点通关卷(新高考通用)
专题突破卷18圆锥曲线中焦半径和焦点弦公式的应用(解析版)_02高考数学_2025年新高考资料_一轮复习_2025年高考数学一轮复习考点通关卷(新高考通用)
专题突破卷18圆锥曲线中焦半径和焦点弦公式的应用(解析版)_02高考数学_2025年新高考资料_一轮复习_2025年高考数学一轮复习考点通关卷(新高考通用)
专题突破卷18圆锥曲线中焦半径和焦点弦公式的应用(解析版)_02高考数学_2025年新高考资料_一轮复习_2025年高考数学一轮复习考点通关卷(新高考通用)
专题突破卷18圆锥曲线中焦半径和焦点弦公式的应用(解析版)_02高考数学_2025年新高考资料_一轮复习_2025年高考数学一轮复习考点通关卷(新高考通用)
专题突破卷18圆锥曲线中焦半径和焦点弦公式的应用(解析版)_02高考数学_2025年新高考资料_一轮复习_2025年高考数学一轮复习考点通关卷(新高考通用)
专题突破卷18圆锥曲线中焦半径和焦点弦公式的应用(解析版)_02高考数学_2025年新高考资料_一轮复习_2025年高考数学一轮复习考点通关卷(新高考通用)
专题突破卷18圆锥曲线中焦半径和焦点弦公式的应用(解析版)_02高考数学_2025年新高考资料_一轮复习_2025年高考数学一轮复习考点通关卷(新高考通用)
专题突破卷18圆锥曲线中焦半径和焦点弦公式的应用(解析版)_02高考数学_2025年新高考资料_一轮复习_2025年高考数学一轮复习考点通关卷(新高考通用)
专题突破卷18圆锥曲线中焦半径和焦点弦公式的应用(解析版)_02高考数学_2025年新高考资料_一轮复习_2025年高考数学一轮复习考点通关卷(新高考通用)
专题突破卷18圆锥曲线中焦半径和焦点弦公式的应用(解析版)_02高考数学_2025年新高考资料_一轮复习_2025年高考数学一轮复习考点通关卷(新高考通用)
专题突破卷18圆锥曲线中焦半径和焦点弦公式的应用(解析版)_02高考数学_2025年新高考资料_一轮复习_2025年高考数学一轮复习考点通关卷(新高考通用)
专题突破卷18圆锥曲线中焦半径和焦点弦公式的应用(解析版)_02高考数学_2025年新高考资料_一轮复习_2025年高考数学一轮复习考点通关卷(新高考通用)
专题突破卷18圆锥曲线中焦半径和焦点弦公式的应用(解析版)_02高考数学_2025年新高考资料_一轮复习_2025年高考数学一轮复习考点通关卷(新高考通用)
专题突破卷18圆锥曲线中焦半径和焦点弦公式的应用(解析版)_02高考数学_2025年新高考资料_一轮复习_2025年高考数学一轮复习考点通关卷(新高考通用)
专题突破卷18圆锥曲线中焦半径和焦点弦公式的应用(解析版)_02高考数学_2025年新高考资料_一轮复习_2025年高考数学一轮复习考点通关卷(新高考通用)
专题突破卷18圆锥曲线中焦半径和焦点弦公式的应用(解析版)_02高考数学_2025年新高考资料_一轮复习_2025年高考数学一轮复习考点通关卷(新高考通用)
专题突破卷18圆锥曲线中焦半径和焦点弦公式的应用(解析版)_02高考数学_2025年新高考资料_一轮复习_2025年高考数学一轮复习考点通关卷(新高考通用)
专题突破卷18圆锥曲线中焦半径和焦点弦公式的应用(解析版)_02高考数学_2025年新高考资料_一轮复习_2025年高考数学一轮复习考点通关卷(新高考通用)
专题突破卷18圆锥曲线中焦半径和焦点弦公式的应用(解析版)_02高考数学_2025年新高考资料_一轮复习_2025年高考数学一轮复习考点通关卷(新高考通用)
专题突破卷18圆锥曲线中焦半径和焦点弦公式的应用(解析版)_02高考数学_2025年新高考资料_一轮复习_2025年高考数学一轮复习考点通关卷(新高考通用)

文档信息

文档格式
docx
文档大小
3.573 MB
文档页数
61 页
上传时间
2026-04-14 14:49:53

文档内容

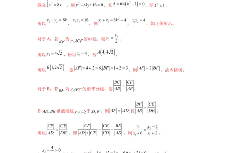
专题突破卷 18 圆锥曲线中焦半径和焦点弦公式的应 用 题型一:圆锥曲线中焦半径的应用 1.已知抛物线 的焦点为 ,点 在抛物线上,且 ,过点 作 轴于点 ,则( ) A. B.抛物线的准线为直线 C. D. 的面积为 【答案】AD 【分析】根据焦半径公式求得 判断A,进而利用抛物线方程求解准线及点的坐标判断 BC,利用三角形面积公式求解面积判断D. 【详解】抛物线 的准线为直线 ,设点 在第一象限, 过点 向准线作垂线垂足为 ,由抛物线的定义可知 ,解得 ,则抛物线的方程为 ,准线为直线 ,故A正确,B错误; 将 代入抛物线方程,解得 ,故C错误; 焦点 ,点 ,即 , 所以 ,故D正确; 故选:AD. 2.已知抛物线 的焦点为 ,点 与点 关于原点对称,过点 的直线 与抛物 线 交于 两点(点 和点 在点 的两侧),则( ) A.若 为 的中线,则 B.若 为 的角平分线,则 C.存在直线 ,使得 D.对于任意直线 ,都有 【答案】BD 【分析】首先设直线 的方程,并联立抛物线,根据韦达定理,再根据各项描述,抛物线 的定义,即可判断选项. 【详解】设题意可得 ,则 ,设 ,不妨令 , 都 2 原创精品资源学科网独家享有版权,侵权必究!在第一象限, 联立 ,则 ,且 ,即 , 所以 , ,则 , ,如上图所示, 对于A:若 为 的中线,则 , 所以 ,所以 ,故 , 所以 ,则 ,则 ,故A错误; 对于B:若 为 的角平分线,则 , 作 垂直准线 于 ,则 且 , 所以 ,即 ,则 , 将 代入整理,得 ,则 , 所以 ,故B正确; 对于C:若 ,即 ,即 为等腰直角三角形, 此时 ,即 ,所以 ,所以 ,所以 ,所以 ,则此时 为同一点,不合题设,故C错 误; 对于D: ,而 , 结合 ,可得 ,即 恒成立,故D正确. 故选:BD 3.已知抛物线Γ: 的焦点为F,P为Γ上一动点.过F且斜率大于0的直线与Γ交 于不同的两点A,B,且满足 , .则下列说法错误的是( ) A.直线AB的倾斜角大于60° B.若 ,则 C.点P可能在第一象限 D.直线PB的横截距不可能是 【答案】AC 【分析】设直线 方程为 , ,代入 找出 与 的关系 式 ,判断AC;根据抛物线的几何性质判断B;最后取 ,假设直 线 与抛物线Γ交于点 ,计算 判断D. 【详解】抛物线Γ: 的焦点为F(1,0), 4 原创精品资源学科网独家享有版权,侵权必究!直线 过F且斜率大于0,设直线 方程为 , , 联立 ,化简得 , 由韦达定理 , 设 , , , 代入韦达定理得 , 又点 不在直线 上,则 ,即只有 , 当 ,即 时,有实数解 , 且存在点 , 又 ,则点 在第四象限,故C错误. 设直线 的斜率为 ,则 ,直线 的倾斜角小于等于 ,故A错误. 若 ,则 , , 代入 ,解得 , , 所以 ,即 ,故B正确. 取 ,则直线 的直线方程为 ,联立 ,化简得 , 方程其中一个根为点 纵坐标 ,则另一根为 , 若另一根为点 纵坐标,则 ,此时 , 代入方程 无解,所以 与 无法垂直, 则不存在这样过 的直线 ,即直线 的横截距不可能是 ,故D正确. 故选:AC. 4.抛物线 的焦点为 , 为其上一动点,当 运动到 时, ,直线 与抛物线相交于 两点,下列结论正确的是( ) A.抛物线的方程为: B.抛物线的准线方程为: C.当直线 过焦点 时,以AF为直径的圆与 轴相切 D. 【答案】BC 【分析】根据焦半径即可求解A,根据准线方程即可求解B,求解圆心和半径即可判断 C,设出直线 方程,与抛物线方程联立,韦达定理,利用焦半径公式求出 ,即 可判断D. 【详解】对于A:当 运动到 时, ,故 ,即抛物线为 ,故 A错误; 6 原创精品资源学科网独家享有版权,侵权必究!对于B:由 ,故抛物线的准线方程为: ,故B正确; 对于C:当直线 过焦点 时,设 为 ,则 , 故以 为直径的圆的半径为 ,又F(0,1),故以 为直径的圆的圆心坐标为 , 圆心到 轴的距离与该圆半径相等,即该圆与 轴相切,故C正确; 对于D:由题意直线 斜率存在,设 的方程为 ,联立 , 整理得 , ,即 , 所以 , 所以 , , 所以 , 不能确定什么时候最小,则D错误. 故选:BC 5.已知 为坐标原点,抛物线 的焦点为 ,经过点 且斜率为 的直 线 与抛物线 交于 两点(点 在第一象限),若 ,则以下结论正确的是 ( )A. B. C. D. 【答案】ACD 【分析】利用倾斜角和抛物线定义,分别求出点 的横坐标即可得 ,可判断A;求出 直线方程,联立抛物线方程求出点 横坐标,利用定义即可得 ,然后可判断B;根据 点 的横坐标求出 即可判断C;将 代入直线方程,求出纵坐标,然后由 可得面积,可判断D. 【详解】选项A:过点 作 轴的垂线,垂足为 ,则 , 所以 ,所以 , 由抛物线定义可得, ,所以 , 解得 ,故A正确. 选项B:由A得抛物线 的方程为 , ,直线 的方程为 , 8 原创精品资源学科网独家享有版权,侵权必究!联立直线方程与抛物线 的方程并化简,得 ,得 或 , 所以 ,故 ,故 ,B错误. 选项C:由 , ,得 ,故C正确. 选项D:由上知 ,得 , 故 ,故D正确. 故选:ACD 6.设拋物线 的焦点为 ,过点 的直线与抛物线 相交于点 , 与 轴相交于点 ,则( ) A. 的准线方程为 B. 的值为2 C. D. 的面积与 的面积之比为9 【答案】BD 【分析】设直线 的方程为 ,A(x ,y ),B(x ,y ),利用根与系数的关系及抛 1 1 2 2 物线的性质进行计算,从而判定各选项. 【详解】设直线 的方程为 ,A(x ,y ),B(x ,y ), 1 1 2 2 联立 ,可得 , 所以 , , 因为 ,所以 ,故 ,因为 ,由抛物线定义可得, , , 则 ,解得 或 , 因为 ,所以 ,则 的准线方程为 ,故B正确,A错误; 又 的方程为 , , , 把 代入 可得 , , 不妨设 ,则 ,故C错误; 设 到直线 的距离为 , 的面积 , 的面积 , 则 的面积与 的面积之比 ,故D正确. 故选:BD. 7.已知抛物线 的焦点为F,准线为l且与x轴交于点Q,P是l上一点,直线PF与 抛物线交于M,N两点,若 ,则( ) A. B. C. D. 10 原创精品资源学科网独家享有版权,侵权必究!【答案】ABC 【分析】先根据题意写出直线的方程,再将直线的方程与抛物线 联立,消去 得到 关于 的二次方程,最后利用根与系数的关系结合抛物线的定义即可求逐项判断. 【详解】对C:抛物线 的焦点为 , ,准线为 ,易知 ,则 ,C正确; 对D,设 , , , , , 到准线的距离分别为 , , 由抛物线的定义可知 , ,于是 . ,则 直线 的倾斜角为 或 ,斜率为 ,因为 ,故 ,D错误; 对AB: , , 直线 的方程为 , 将 ,代入方程 ,并化简得 , , 于是 . ,故AB正确; 故选:ABC.8.已知抛物线E: 的焦点为F,点F与点C关于原点对称,过点C的直线l与抛物 线E交于A,B两点(点A和点C在点B的两侧),则下列命题正确的是( ) A.若BF为 的中线,则 B.若BF为 的角平分线,则 C.存在直线l,使得 D.对于任意直线l,都有 【答案】ABD 【分析】 首先设直线 的方程,并联立抛物线,根据韦达定理,再根据各项描述,抛物线的定义, 即可判断选项. 【详解】设题意,设 ,不妨令A(x ,y ),B(x ,y )都在第一象限,C(−2,0), 1 1 2 2 , 联立 ,则 ,且 ,即 , 所以 , ,则 , ,如上图所示, A.若 为 的中线,则 , 12 原创精品资源学科网独家享有版权,侵权必究!所以 ,所以 ,故 , 所以 ,则 ,则 ,故A正确; B.若 为 的角平分线,则 , 作 垂直准线 于 ,则|AF|=|AD|且 , 所以 ,即 ,则 , 将 代入整理,得 ,则 , 所以 ,故B正确; C.若 ,即 ,即 为等腰直角三角形, 此时 ,即 ,所以 , 所以 ,所以 ,所以 ,则此时 为同一点,不合题设,故C错 误; D. ,而 , 结合 ,可得 ,即 恒成立,故D正确. 故选:ABD 9.已知抛物线 的焦点为 ,直线 交抛物线于 , 两点,以线段 为 直径的圆交 轴于 , 两点,交准线 于 点,则下面结论正确的是:( ) A.以 为直径的圆与 轴相切 B.C. D. 的最小值为 【答案】ACD 【分析】A选项,设A(x ,y ),B(x ,y ),由焦半径公式得到 ,求出 的中 1 1 2 2 点 的横坐标为 ,得到相切关系;B选项,联立直线与抛物线方程,得到 与 ,故 ;C选项,证明出 为直径 的圆与准线 相切,故切点为 ,得到 ,结合向量数量积公式得到C正确; D选项,由垂径定理求出 ,求出最小值. 【详解】A选项,由题意得 ,准线 , 设A(x ,y ),B(x ,y ),由焦半径可得 , 1 1 2 2 设 的中点为 ,则 ,显然 到 轴的距离等于 , 故以 为直径的圆与 轴相切,A正确; B选项,直线 过点 , 联立 与 得 , 设A(x ,y ),B(x ,y ),则 , 1 1 2 2 故 , , 由A选项知, ,同理可得 , 14 原创精品资源学科网独家享有版权,侵权必究!故 ,B错误; C选项,由B选项得 , 设 的中点为 ,则 , 故点 到准线 的距离为 , 故 为直径的圆与准线 相切,故切点为 , 故 ,则 ,C正确; D选项,点 到 轴的距离为 , 由垂径定理得 , 故当 时,|MN|取得最小值,最小值为 ,D正确. 故选:ACD 10.已知抛物线 的准线方程为 ,焦点为 ,点 是抛物线上的两点,抛物线在 两点的切线交于点 ,则下列结论一定正确的( ) A.抛物线的方程为: B. C.当直线 过焦点时,三角形 面积的最小值为1 D.若 ,则 的最大值为 【答案】ABD 【分析】对于A,由抛物线准线列方程求出参数 即可判断;对于B,由抛物线定义即可 判断;对于C,设出直线 方程,联立抛物线方程,由韦达定理求弦长,结合点到直线距 离公式得三角形 面积表达式,进一步由基本不等式即可判断;对于D,设出直线 方程,联立抛物线方程,由韦达定理求弦长,结合已知得 或 ,进一 步由余弦定理基本不等式可得 ,由此即可判断. 【详解】对于A,抛物线 的准线方程为 ,所以 ,解得 ,所 以抛物线的方程为: ,故A正确; 对于B,因为点A(x ,y )在抛物线上,所以由抛物线定义可知 ,故B正确; 1 1 对于C,由题意抛物线焦点坐标为(0,1),显然过焦点的直线 斜率存在,如图所示: 不妨取直线 的方程为 ,且 , 16 原创精品资源学科网独家享有版权,侵权必究!联立抛物线方程 ,得 , 所以 , 所以 , , 点O(0,0)到直线 的距离为 , 所以三角形 面积为 ,等号成立当且仅当 , 即三角形 面积的最小值为2,故C错误; 对于D,显然直线 斜率存在,不妨取直线 的方程为 ,且 ,如图 所示: 联立抛物线方程 ,得 , 所以 , 所以 , , 因为 , 所以 , 解得 或 , 即 或 ,而 , 等号成立当且仅当 ,解得 , 此时 或 ,且此时满足 , 即 ,所以 的最大值为 ,故D正确. 故选:ABD. 题型二:圆锥曲线中焦点弦公式的应用 11.已知抛物线 的焦点为 ,过点 的直线 与抛物线相交于 , 两 点,线段 的中点为 .过点 , 分别向 的准线作垂线,垂足分别为点 , ,过 点 向 的准线作垂线,交抛物线于点 ,交准线于点 , 为坐标原点,则( ) A.以 为直径的圆与直线 相切 B. C.当 时,点 , , 共线 D. 【答案】ABC 【分析】设直线 : ,代入抛物线方程,利用一元二次方程根与系数的关系,得 到各点的坐标,利用向量的方法进行判断各选项的真假. 【详解】如图: 18 原创精品资源学科网独家享有版权,侵权必究!设直线 : ,带入 ,并整理得: . 设A(x ,y ),B(x ,y ),则 , , . 1 1 2 2 所以 , , , , . 则 , . 所以 , ,所以以 为直径的圆与直线 相切,故A正确; 又 , ,所以 ,故B正确; , ,因为 ,所以直线 与直线 不平 行,所以 不成立,故D错误; 对D:如图:当 时,因为 ,所以 为等边三角形,又 ,所以 或 , 当 时, ,则 , , , 所以 , , 因为 ,所以点 , , 共线; 当 时,同理可证点 , , 共线. 故C正确. 故选:ABC 12.已知抛物线 的焦点为 ,圆 与抛物线 交于 , 两点, 点 为劣弧 上不同于 , 的一个动点,过点 作平行于 轴的直线 交抛物线 于点 ,则( ) A.点 的纵坐标的取值范围是 B. 等于点 到抛物线 的准线的距离 C.圆 的圆心到抛物线 的准线的距离为2 D. 周长的取值范围是 【答案】BCD 【分析】根据题意可知圆心C(0,1)和抛物线的焦点F(0,1)重合,联立两曲线方程可得A错 误,由抛物线的定义可得B正确,C正确,利用焦半径公式可判断D正确. 20 原创精品资源学科网独家享有版权,侵权必究!【详解】如下图所示: ∵圆 的圆心为C(0,1),半径 , 因此圆 与 轴正半轴的交点为 , ∵抛物线 的焦点为F(0,1),准线方程为 , 由 ,得 ,故点 的纵坐标 ,故A错误; 由抛物线的定义可得 等于点 到抛物线 的准线的距离,故B正确; 易知圆 的圆心C(0,1)到抛物线 的准线 的距离为2,故C正确; 的周长为 ,故D正确. 故选:BCD 13.设抛物线 , 为其焦点, 为抛物线上一点,则下列结论正确的是( ) A.抛物线的准线方程是 B.焦点到准线的距离为4 C.若 ,则 的最小值为3 D.以线段 为直径的圆与 轴相切 【答案】ACD 【分析】选项A,选项B,由抛物线概念即可判断,选项C: P为动点,根据几何关系, 当P、A、F三点共线时取最小值;选项D:求出圆的半径与圆心,比较圆心横坐标和半径 即可知是否与y轴相切﹒【详解】A:抛物线的准线为 ,故A正确; B:焦点到准线距离为 ,故B错误; C:当横坐标为2时抛物线上位于第一象限内的点为 ,此点位于点 的上面, 故A在抛物线内部, 当直线 垂直准线时 取最小值,即为 ,故C正确; D:根据题意,可得抛物线 的焦点为F(1,0), 设 的中点为 ,可得 , 由抛物线的定义,得 ,则 ,即点 到 轴的距离等于以 为 直径的圆的半径, 因此,以 为直径的圆与 轴相切,故D正确﹒ 故选:ACD 14.抛物线 的焦点为 为抛物线上一动点,当 运动到 时, , 直线 与抛物线相交于 两点,则下列结论正确的是( ) A.抛物线的方程为: B.抛物线的准线方程为: 22 原创精品资源学科网独家享有版权,侵权必究!C.当直线 过焦点 时,以 为直径的圆与 轴相切 D.当直线 过焦点 时,以 为直径的圆与准线相切 【答案】ACD 【分析】对于A,B,根据抛物线的定义即可求解p,进而知道抛物线方程和准线方程;对于 C,D,由抛物线的性质易知该结论正确.证明过程见详解. 【详解】对于A,如图所示,过点 作准线 的垂线,垂足为 , 则由抛物线的定义可知: , 解得 . 抛物线 的方程为: ,故 正确; 对于 ,抛物线的准线方程为 ,故 错误; 对于 ,如图所示,取 的中点C,过点C作x轴的垂线,垂足为D, 易知抛物线的焦点 ,设 ,则 , , 所以 ,所以以 为直径的圆与 轴相切,故C正确; 对于 , 当直线 过抛物线的焦点 且与抛物线相交于 两点时,直线 的斜率存在, 假设 ,设 ,AB的中点为 ,则 , 如图所示,作 垂直于准线于点 ,则 , 联立 ,消去 并整理可得 , 所以 , 所以 所以 , , , , 以 AB 为直经的圆与准线相切,故D正确. 故选:ACD. 15.(多选)设抛物线 的焦点为 ,点 在抛物线 上, ,若 24 原创精品资源学科网独家享有版权,侵权必究!轴上存在点 ,使得 ,则 的值可以为( ) A.2 B.4 C.6 D.8 【答案】AD 【分析】设点M(x,y),由抛物线定义知 ,可得圆心横坐标为 ,可得圆的半径也为 ,则点 ,代入抛物线方程,即可求出 的值. 【详解】 由题意, ,则以 为直径的圆过点(0,2), , 设点M(x,y),由抛物线定义知 ,可得 , 因为圆心是 的中点, 所以根据中点坐标公式可得,圆心横坐标为 , 由已知可得圆的半径也为 , 据此可知该圆与 轴相切于点 , 故圆心纵坐标为2,则 点纵坐标为4,即点 , 代入抛物线方程得 ,解得 或 .故选:AD. 16.已知抛物线 的焦点为F,过F的直线l交C于A,B两点(A在第一象限), O为坐标原点,则( ) A. B.当 时,直线l的倾斜角为 C.以 为直径的圆与y轴相切 D. 【答案】ACD 【分析】先由直线和抛物线联立得出根与系数的关系求出数量积判断A,应用焦点弦关系得 出倾斜角判断B,应用抛物线性质判断直线和圆的位置关系判断C,根据向量夹角判断D. 【详解】由题意得,抛物线的焦点为F(1,0),准线方程为 ,设A(x ,y ),B(x ,y ), 1 1 2 2 直线与抛物线交于两点,所以直线的斜率不能为0, 设直线 的方程为 ,联立 ,整理得 , , 则 , 所以 , 则 ,故A正确; 设直线I的倾斜角为 ,由 得, ,解得 ,所以 ,故B错误; 设 中点为P,过A,P分别向y轴引垂线,垂足分别为 , , 则 ,所以以 为直径的圆与y轴相切,故C正确; 26 原创精品资源学科网独家享有版权,侵权必究!因为 , 所以 ,所以 ,故D正确. 故选:ACD. 17.已知抛物线 的焦点为 ,过点 的动直线与 交于M,N两 点,则下列说法正确的是( ) A. B.若 ,则 C. 为定值 D. 为钝角三角形 【答案】BCD 【分析】根据题意得到抛物线方程为 ,对于A,设过点 的动直线 的方程为 ,联立抛物线方程,由韦达定理有 , ,结合弦长公式判断 即可;对于BC,由已知得 的值,结合抛物线定义、韦达定理即可判断;对于D,只需判 断 是否成立即可.【详解】由题意可知, ,所以 ,则 ,其准线方程为 . 对于A,设过点 的动直线 的方程为 ,代入 得, , , 设M(x ,y ),N(x ,y ),则 , , 1 1 2 2 则 ,当且仅当 时等号成立,A错误; 对于B,由 得, ,解得 , 所以 ,B正确; 对于C, 为定 值,C正确; 对于D, ,所以 为钝角,D正确. 故选:BCD. 28 原创精品资源学科网独家享有版权,侵权必究!18.已知抛物线y2=2px(p>0)上三点A(x ,y ), , ,F为抛物线的焦点, 1 1 则下列说法正确的是( ) A.抛物线的准线方程为 B.若 ,则 C.若 三点共线,则 D.若 ,则 的中点到 轴距离的最小值为2 【答案】ABD 【分析】将点B的坐标代入抛物线方程即可求得 ,从而求出准线方程判断A;利用向 量坐标运算得 ,进而利用焦半径公式即可判断B;设直线 : ,与抛 物线方程联立,利用根与系数关系求解即可判断C;结合焦半径公式,利用 及焦半径公式即可判断D. 【详解】对A,把点 代入抛物线 ,得 , 所以抛物线的准线方程为 ,故A正确; 对B,因为A(x ,y ), , ,F(1,0), 1 1 所以 , , , 又由 ,得 , 所以 ,故B正确; 对C,因为 三点共线,所以线段 是焦点弦, 设直线 : , 联立 得 ,所以 ,故C不正确; 对D,设 的中点为 , 因为 , , 所以 ,得 , 即 的中点到 轴距离的最小值为 ,故D正确. 故选:ABD 19.已知抛物线y2=2px(p>0)的焦点为 ,AB是经过抛物线焦点 的弦, 是线段AB 的中点,经过点 作抛物线的准线 的垂线 ,垂足分别是 ,其中 交抛物线于点 ,连接 ,则下列说法正确的是( ) A. B. C.Q是线段 的一个三等分点 D. 【答案】ABD 【分析】利用抛物线的定义及平面几何性质逐一判断即可. 【详解】如图,由抛物线的定义, 对于A,得 , ,又 ,则 , A正确; 30 原创精品资源学科网独家享有版权,侵权必究!对于B,由 , ,得 ,所以 . 而 ,所以 ,所以 , 可知 ,所以 ,B正确; 对于D,在 中, ,可知 ,所以 ,D正 确; 对于C,由 ,可知 ,所以 ,即Q是 的中点,C 不正确. 故选:ABD. 20.已知抛物线 与圆 交于A,B两点,且 .过焦点 的直线 与抛物线 交于M,N两点,点 是抛物线 上异于顶点的任意一点,点 是抛 物线 的准线与坐标轴的交点,则( ) A.若 ,则直线 的斜率为 B. 的最小值为18 C. 为钝角 D.点 与点 的横坐标相同时, 最小 【答案】BCD 【分析】根据抛物线与圆的方程可得 ,代入抛物线方程可得 ,即可根据向量 的坐标关系求解坐标,由斜率公式即可求解A,根据焦点弦的性质 , 结合基本不等式即可求解B,联立直线与抛物线方程,根据数量积即可求解C,根据焦半 径公式以及点点距离公式可得 ,即可结合不等式求解D. 【详解】因为抛物线C: 与圆O: 交于A,B两点,且 , 则第一象限内的交点A的纵坐标为 ,代入圆方程得横坐标为2,即 ,所以 , ,即抛物线方程为 ,焦点为 . 设 , 对A,由 得 , 则 ,又因为 ,解得 , 所以直线l的斜率为 ,故A错误; 对B,由抛物线定义得 , 所以 , 当且仅当 ,即 时等号成立, 因此 的最小值为 ,故B正确; 对C,如图,不妨设 在第一象限, 32 原创精品资源学科网独家享有版权,侵权必究!设 ,设直线 ,联立抛物线的方程消 , 得 ,又 , 所以 , , , 为钝角,故C正确; 对D, , ,设 ,则 , 由抛物线的定义可得 , , 又 , 则 , , 当且仅当 时取等号,所以 的最小值为 ,故D正确. 故选:BCD. 题型三:圆锥曲线中焦点弦中垂线的应用 21.已知椭圆 ,直线 过椭圆的左焦点 交椭圆于 两点,下列说法正确的 是( ) A. 的取值范围为B.以 为直径的圆与 相离 C.若 ,则 的斜率为 D.若弦 的中垂线与长轴交于点 ,则 为定值 【答案】BCD 【分析】对于A,弦长公式求出表达式进一步即可判断;对于B,只需判断点 到直线 的距离与 的大小关系即可判断;对于C,结合韦达定理即可得解;对于D,先 得点 坐标,进一步即可判断. 【详解】 由题意 , 对于A,直线 斜率不存在时,将 代入 ,得 ,此时 , 直线 斜率存在时,设 , 联立椭圆方程 ,化简整理得 , 显然 , , 所以 34 原创精品资源学科网独家享有版权,侵权必究!, 因为 ,所以 ,所以 ,故A错误; 对于B,直线 斜率不存在时,以 为直径的圆 与 相离,满足题意; 直线 斜率存在时,设 中点为 ,则 ,即 , 点 到直线 的距离满足 ,故B正 确; 对于C,直线 斜率不存在时,显然不满足题意, 直线 斜率存在时,若 ,则 ,又 , 所以 ,解得 ,所以 的斜率为 ,故C正确; 对于D,直线 斜率不存在时,显然不满足题意,当 时,点 与原点重合, , 直线 斜率存在且不为0时,弦 的中垂线方程为 , 令 ,得 ,所以 ,即 为定 值 ,故D正确. 故选:BCD.22.已知 、 是椭圆 : 上两个不同的动点(不关于两坐标轴及原 点 对称), 是左焦点, 为离心率.则下列结论正确的是( ) A.直线 的斜率为1时, 在 轴上的截距小于 B. 周长的最大值是 C.当直线 过点 ,且 中点纵坐标的最大值为 时,则 D.当 时,线段 的中垂线与两坐标轴所围成三角形面积的取值范围是 【答案】ABD 【分析】由题意,设出直线 的方程,将直线 的方程与椭圆方程联立,结合根的判别 式以及 和 的关系即可判断选项A;设椭圆的右焦点为 ,得到 周长的表达式, 进而可判断选项B;设出 中点 的坐标,利用斜率公式以及离心率公式即可判断选项 C;设出线段 的中垂线所在的直线方程,得到三角形面积,设出直线 的方程,将直 线 的方程与椭圆方程联立,得到线段 的中点坐标,结合所求三角形面积再进行整理, 进而可判断选项D. 【详解】对于A,设 : ,联立 ,消去 并整理得: ,由 , 又 , ,即 ,故A正确; 对于B,设右焦点为 ,则 周长 , 等号当且仅当直线 过点 时取到,故B正确; 对于C,设 中点为 ,由点差法可知 ,即 , 36 原创精品资源学科网独家享有版权,侵权必究!设M(x,y),则 , ,而 ,故 ,故C错误; 另解:易知 轨迹是以 为长轴,离心率为 的椭圆, ,即该椭圆的短半轴长为 ,故 ,故C错误; 对于D,显然直线 存在斜率且不为零. 设线段 的中垂线所在的直线方程为 ,则 . 设直线 的方程为 ,联立 : , 即 , , 线段 的中点坐标为 , 代入 ,即 . . 又仅当 、 关于原点对称时, ,故 , ,故D正确. 另解:设线段 中点坐标为 ,易得 , 线段 的中垂线方程为 . 令 ,得 ,令 ,得 ..又 , , . 显然 , ,故D正确. 故选:ABD. 23.已知抛物线 的焦点为 ,则 ;若斜率为 的直线 过焦点 且 与抛物线交于 两点, 的中垂线交 轴于点 ,则 . 【答案】 8 2 【分析】由抛物线的焦点坐标可得 的值;设直线 的方程与抛物线联立,可得 的中点 的坐标,进行求出 的中垂线的方程,进行求出 的值,再由抛物线的性质可得|AB| 的值,即可求解. 【详解】如图所示: 由抛物线的方程可得焦点坐标为 , 38 原创精品资源学科网独家享有版权,侵权必究!由题意可得 ,所以 ; 所以抛物线的方程为: , 设直线 的方程为: ,设A(x ,y ),B(x ,y ), 1 1 2 2 联立直线与抛物线的方程: ,整理可得: , , 则 ,所以 的中点的横坐标为 , 所以 的中点的纵坐标为: , 所以 的中垂线的方程为: , 令 ,可得 ,所以N的横坐标为: , 所以 , 由抛物线的性质可得, , 所以 , 故答案为:8,2 24.已知抛物线C: 的焦点为F,准线为l,过F的直线交抛物线C于A,B两点, 的中垂线分别交l与x轴于D,E两点(D,E在 的两侧).若四边形 为菱形,则 【答案】 / 【分析】由抛物线定义及菱形性质得 为等边三角形,联立直线与抛物线由焦点弦长 公式直接求解. 【详解】由题意,四边形 为菱形,则 ,且 由抛物线定义知: ,故 为等边三角形, 由对称性不妨设直线 , 与 联立得 , 设A(x ,y ),B(x ,y ),则 , 1 1 2 2 故 . 故答案为: 25.已知 是椭圆 的左、右焦点, 是 上一点,线段 的 中垂线 过点 ,与椭圆 相交于 两点,且 ,则椭圆 的离心率为 . 【答案】 【分析】设直线 方程 ,然后与椭圆联立,再利用根与系数关系求出弦长 , 再结合题中几何关系得到以 为中间元的关于 的等式,化简从而求解. 【详解】由题意得 , ,设直线 的方程为 , , 40 原创精品资源学科网独家享有版权,侵权必究!, 联立方程 ,得 , 由根与系数关系得 , , 所以弦长 , 由题意知,设直线 与 的交点为 ,如图,所以在 中, , 又由椭圆定义知 ,因为直线 是 的中垂线, 所以 , , 所以 , 联立 得 ,所以 ,解得 或 (舍). 故答案为: . 26.已知斜率为k的直线与椭圆 交于A、B两点,弦AB的中垂线交 轴于点,则 的取值范围是 . 【答案】 【分析】设直线 的方程为 ,联立方程组可得 ,根据根与系数的关系 求出设 的中点的坐标,求出直线 的方程,即可求出 ,根据 , 即可求出 的取值范围. 【详解】当 时,弦AB的中垂线为 轴,此时 , 当 时,设直线 的方程为 , 联立方程组可得 ,消 可得 , ,解得 , , , 设 的中点为 ,则 , , 直线 的方程为 令 ,解得 , , 解得 ,且 42 原创精品资源学科网独家享有版权,侵权必究!综上 故答案为: 27.已知过抛物线 : 的焦点 的直线 与 交于 、 两点,线段 的中垂线 与 的准线交于点 ,若 ,则直线 的方程为 . 【答案】 或 【分析】根据抛物线的定义可求出中垂线的斜率,即可得到直线 的方程. 【详解】取线段 中点 ,连接 ,过点 作 准线于 ,如图, 则在 中, ,可得 , 分别作 垂直准线于 , 则由抛物线定义知, , 则在 中, ,所以 , 所以线段 的中垂线 的斜率为 ,故直线 的斜率为 , 又直线 过抛物线焦点F ,所以直线方程为 , 即 : 或 . 故答案为: 或28.如图所示, 是椭圆 的右焦点,过点 作一条与坐标轴不垂直的直线交椭 圆于点 ,线段 的中垂线 交 轴于点 ,则 的值为 . 【答案】4 【分析】 方法一:设直线AB的方程 , ,联立方程,利用韦达定理求解 ,求出 直线方程,令 ,求出 ,得到 ,得到结论. 方法二:设 ,利用椭圆的焦半径角度可得到 , ,得到结论. 【详解】 方法一:设直线AB的方程 , , 则 ,得 ,则 , 故 , , 所以 的直线方程 ,令 ,则 , 44 原创精品资源学科网独家享有版权,侵权必究!故 , ,故 . 方法二:设 ,则 ,由椭圆的焦半径角度式可知 , 从而 . 设 的中点为 ,则 , 即 . 在 中, ,所以 . 故答案为:4 29.若直线 过抛物线 的焦点 且与抛物线交于 两点, 的中垂线交 轴于 点 ,则 . 【答案】 【分析】设 ,其中点为C,将A,B两点代入抛物线方程,结合斜率公 式与 , 可得 ,即可得 ,后由抛物线定义可得|AB|,即可得答案. 【详解】设 ,其中点为C,坐标为 .将A,B两点代入抛物线方程,有 , 两式相减可得: ,设 , 则 ,因 , 则 . 又F(1,0),则 . 又准线方程为 ,过A,B两点分别做准线垂线,垂足为 , 则由抛物线定义,可得 .故 . 故答案为: . 30.已知抛物线 : ( )的焦点 与圆 的圆心重合,过 的直线 与 交于 、 两点,对于下列命题: ① ; 46 原创精品资源学科网独家享有版权,侵权必究!②以 , 两点为切点引 的两条切线,两条切线交于一点 , 点必在 上; ③ 的中垂线与 轴交于点 ,则 ; ④ 为坐标原点,点 、 在 上且满足 ( , 均不与 重合)则 , 的中点轨迹方程: . 以上说法中正确的有 . 【答案】①②④. 【分析】①选项:先求圆的标准方程得到圆心,进一步得到答案; ②选项:设直线 方程,通过与抛物线方程联立得, ,分别求出经过 A,B点的切线方程,两方程联解得到结论; ③选项:将中垂线方程写出,并求出 ,进一步求出 从而得出答案; ④选项:过M,N的直线与抛物线方程联立得 ,根据 ,即 ,从而得出结论. 【详解】①选项:圆 化为标准方程得 ∴圆心是 , ∴ ,即 ,故①正确; ②选项:抛物线 : 设直线 方程为 与抛物线方程联立得 , 设 根据韦达定理可以得到 ,即 ,不妨设 > 0,当 > 0时, , 所以得到经过A点的切线方程为 , 同理求出经过B点的切线方程为 , 两方程联解得到 , 所以以 , 两点为切点引 的两条切线,两条切线交于一点 , 点必在 上,故 ②正确; ③选项: 由②选项可得, 的中垂线方程为: , 与 轴的交点 ,即 , 故 显然不成立,故③错误; ④选项:设 ,以及经过M,N的直线方程为 ,( ) 与抛物线方程联立得 , 根据韦达定理可以得到 ,即 , 又∵ , ,解得 (舍去), ∴ , 设 , 的中点坐标为 , 即 , 化简得 ,故④正确. 故答案为:①②④. 48 原创精品资源学科网独家享有版权,侵权必究!1.如图过抛物线 的焦点 作直线 与抛物线 交于 , 的中垂线 交 轴于 ,且 , ,则 . 【答案】 【分析】设 , ,根据抛物线的定义可得 ,求出直线 的中垂线的方程,令 可得 点的横坐标为 ,从而可得 即 |AB|=4,再由 可得 , , ,从而可得 ,由抛 物线的定义可得 ,由此可求出 的值. 【详解】设 , ,则 的中点坐标为 则根据抛物线的定义可得 由 , ,可得所以 ,又直线 的斜率 所以直线 的中垂线的方程为 令 得 ,所以 点的横坐标为 ,又 所以 ,所以 所以|AB|=4,又 ,所以 , 又 , ,所以 , 因为 ,所以 ,所以 ,所以 所以 ,所以 故答案为: 2.设抛物线 : 的焦点为 , 、 为 上纵坐标不相等的两点,满足 ,则线段 的中垂线被 轴截得的截距为 . 【答案】3 【分析】设 , ,则 ,即可得到 ,故 的中垂 线方程为 即可求出直线在 轴上的截距. 50 原创精品资源学科网独家享有版权,侵权必究!【详解】解:设 , ,则 ,即 ,设 、 的中点的 坐标为 ,则 则 故 的中垂线方程为 令 ,则有 ,故 的中垂线被 轴截得的截距为 故答案为: 3.过抛物线 的焦点 的直线交 于 , 两点, , 是 的准线 上两点, 以 为直径的圆与 切于点 ,且以 , , , 为顶点的四边形的面积为64,则 直线 的斜率为 . 【答案】 【详解】 设抛物线的准线 与 轴交于一点 ,过 作 于一点 , 过 作 于一点 ,连接 , , 由抛物线的定义知, , , , , 又 , , , 因此, , ,又 , 则 , 设 的中点为 ,则 ,因此 , ,即 , 因此以 为直径的圆与 切于点 ,且 为圆的半径, 而过 直线与 垂直时,在准线 只有唯一的交点,这个交点即为与 切于点 的圆的 圆心, 因此在准线 只有一个圆与 切于点 , 故要使以 的准线 上两点 为直径的圆与 切于点 , 则 与 重合, 与 重合, 因此四边形 为直角梯形, 由题意知,直线 的斜率存在且不为0,设直线 的方程为 , 则 ,联立可得 , 整理得 , 则 , , 因此 , 又 的符号相反,因此, , 则 , 又 , 又梯形 的面积为64,则 , 52 原创精品资源学科网独家享有版权,侵权必究!即 ,整理得, , 解得 , 因此,直线 的斜率为 . 故答案为: . 4.已知抛物线 的焦点为 ,过点 的直线 与抛物线 交于 两点, 若 ,则直线 的斜率为 . 【答案】 【分析】设 ,利用弦长公式 求解. 【详解】抛物线的焦点 ,设直线l的方程为: , 联立方程 ,消去y得, , 设 ,则 , 因为 ,所以 , 即 ,得 , 故答案为:5.已知抛物线 上有两个不同的点 ,线段 的垂直平分线交 轴于 点,且 的最大值为6,则 . 【答案】2 【分析】涉及中点弦,用 中点 的坐标以及 (点差法)表示线段 的垂直平分线 的斜率,结合题意可列方程消去参数得, ,结合三角形三边关系得|AB|的最大 值,进一步可列方程求出 . 【详解】设A(x ,y ),B(x ,y ),线段 的中点为 ,易知直线 的斜率存在 1 1 2 2 且不为0. 设直线 的斜率为 ,则 , 故 . 则 . 设 的焦点为 ,连接 ,则有 . 又因为|AB|的最大值为6, 所以根据抛物线性质和三角形三边关系知, ,等号成立当且仅 当 为焦点弦; 则 . 54 原创精品资源学科网独家享有版权,侵权必究!故答案为:2. 6.已知抛物线 ,从抛物线内一点 出发平行于 轴的光线经过抛物线上点 反射后交抛物线于点 ,直线 与 轴交点横坐标为 ; 的面积 为 . 【答案】 /0.5 【分析】根据抛物线求出交点横坐标,再结合面积公式结合抛物线的焦点弦的性质求解. 【详解】 , 设切线与 轴交于点 ,由抛物线的光学性质可知, 过焦点 ,即 与 轴交点横坐标为 ; ,直线 的斜率为 直线 的倾斜角为60°,且 , 即 , .故答案为: 7.已知抛物线 的焦点为 ,过点 的直线 与抛物线 交于 两点, 分别过 作准线的垂线,垂足分别为 .若 ,四边形 的面积为 , 则 . 【答案】 【分析】设出 的方程,与抛物线方程联立,可得 , 横坐标的积,结合已知向量等 式求解 , 的坐标,即可由面积公式求解. 【详解】由题意可知直线 有斜率且不为0,设 所在直线方程为 , 联立 ,得 . 不妨设 在第一象限, , , , , 则 , 56 原创精品资源学科网独家享有版权,侵权必究!又 , ,即 , 联立 ,解得 或 (舍 , 则 ,即 ,进而可得 所以 解得 , 故答案为: 8.已知抛物线 的焦点 到准线的距离为4,抛物线的方程为 .直线 过点 且与抛物线交于 两点,若 是线段 的中点,则 . 【答案】 【分析】借助抛物线定义可得空一;借助线段 中点纵坐标可得直线 方程,结合抛物线 焦点弦的性质计算即可得空二. 【详解】∵抛物线 的焦点 到准线的距离为4 ,∴根据抛物线定义可得 ,则抛物线方程为 ; 则有 ,又∵ 是线段 的中点, ∴ ,即 , 由 可得, ,故直线 的方程为 , 由 , 则 ,故 . 故答案为: ; . 9.如图,已知过抛物线 ( )的焦点 的直线与抛物线交于 两点,过点 A作抛物线的准线的垂线 ,垂足为 ,抛物线的准线与 轴交于点 , 为坐标原点, 记 , , 分别为 , , 的面积.若 ,则直线 的斜率 为 . 【答案】 【分析】设直线 倾斜角为 , ,可得, 58 原创精品资源学科网独家享有版权,侵权必究!, ,用 表示 ,结合题意运算求解即可. 【详解】设直线 倾斜角为 , , 可知: , 且 ,解得 , 则 , 同理可得 , 可知: , , , 因为 ,则 , 整理得 ,解得 或 , 且 ,则 ,可得 , 所以直线 的斜率为 . 故答案为: . 10.抛物线有一条重要性质:从焦点发出的光线,经过抛物线上的一点反射后,反射光线 平行于抛物线的轴.如图所示,从抛物线 的焦点 向 轴上方发出的两条光线 分别经抛物线上的 两点反射,已知两条入射光线与 轴所成角均为 ,且 ,则两条反射光线 之间的距离为 . 【答案】 【分析】延长 交抛物线C于 ,判断 和A关于x轴对称,利用直线方程和抛物线方 程求出 的坐标的表达式,结合 可求出p的值,求出 的值,即得 答案. 【详解】如图,延长 交抛物线C于 , 因为两条入射光线与 轴所成角均为 ,故 , 即 和A关于x轴对称,所以 , 则 , 60 原创精品资源学科网独家享有版权,侵权必究!又 ,则直线 的方程为 , 联立 ,则 , 解得 或 ,结合图示可知 , 将 代入 ,可得 ,同理求得 , 则 ,即得 , 故 , 即两条反射光线 之间的距离为 , 故答案为: