当前位置:首页>文档>专题01空间几何体的外接球与内切球问题(典型题型归类训练)(解析版)_2025年新高考资料_二轮复习_解题思路训练2025年高考数学复习解答题提优秘籍(新高考专用)

专题01空间几何体的外接球与内切球问题(典型题型归类训练)(解析版)_2025年新高考资料_二轮复习_解题思路训练2025年高考数学复习解答题提优秘籍(新高考专用)

  • 2026-04-14 15:04:11 2026-04-14 15:04:11

文档预览

专题01空间几何体的外接球与内切球问题(典型题型归类训练)(解析版)_2025年新高考资料_二轮复习_解题思路训练2025年高考数学复习解答题提优秘籍(新高考专用)
专题01空间几何体的外接球与内切球问题(典型题型归类训练)(解析版)_2025年新高考资料_二轮复习_解题思路训练2025年高考数学复习解答题提优秘籍(新高考专用)
专题01空间几何体的外接球与内切球问题(典型题型归类训练)(解析版)_2025年新高考资料_二轮复习_解题思路训练2025年高考数学复习解答题提优秘籍(新高考专用)
专题01空间几何体的外接球与内切球问题(典型题型归类训练)(解析版)_2025年新高考资料_二轮复习_解题思路训练2025年高考数学复习解答题提优秘籍(新高考专用)
专题01空间几何体的外接球与内切球问题(典型题型归类训练)(解析版)_2025年新高考资料_二轮复习_解题思路训练2025年高考数学复习解答题提优秘籍(新高考专用)
专题01空间几何体的外接球与内切球问题(典型题型归类训练)(解析版)_2025年新高考资料_二轮复习_解题思路训练2025年高考数学复习解答题提优秘籍(新高考专用)
专题01空间几何体的外接球与内切球问题(典型题型归类训练)(解析版)_2025年新高考资料_二轮复习_解题思路训练2025年高考数学复习解答题提优秘籍(新高考专用)
专题01空间几何体的外接球与内切球问题(典型题型归类训练)(解析版)_2025年新高考资料_二轮复习_解题思路训练2025年高考数学复习解答题提优秘籍(新高考专用)
专题01空间几何体的外接球与内切球问题(典型题型归类训练)(解析版)_2025年新高考资料_二轮复习_解题思路训练2025年高考数学复习解答题提优秘籍(新高考专用)
专题01空间几何体的外接球与内切球问题(典型题型归类训练)(解析版)_2025年新高考资料_二轮复习_解题思路训练2025年高考数学复习解答题提优秘籍(新高考专用)
专题01空间几何体的外接球与内切球问题(典型题型归类训练)(解析版)_2025年新高考资料_二轮复习_解题思路训练2025年高考数学复习解答题提优秘籍(新高考专用)
专题01空间几何体的外接球与内切球问题(典型题型归类训练)(解析版)_2025年新高考资料_二轮复习_解题思路训练2025年高考数学复习解答题提优秘籍(新高考专用)
专题01空间几何体的外接球与内切球问题(典型题型归类训练)(解析版)_2025年新高考资料_二轮复习_解题思路训练2025年高考数学复习解答题提优秘籍(新高考专用)
专题01空间几何体的外接球与内切球问题(典型题型归类训练)(解析版)_2025年新高考资料_二轮复习_解题思路训练2025年高考数学复习解答题提优秘籍(新高考专用)
专题01空间几何体的外接球与内切球问题(典型题型归类训练)(解析版)_2025年新高考资料_二轮复习_解题思路训练2025年高考数学复习解答题提优秘籍(新高考专用)
专题01空间几何体的外接球与内切球问题(典型题型归类训练)(解析版)_2025年新高考资料_二轮复习_解题思路训练2025年高考数学复习解答题提优秘籍(新高考专用)
专题01空间几何体的外接球与内切球问题(典型题型归类训练)(解析版)_2025年新高考资料_二轮复习_解题思路训练2025年高考数学复习解答题提优秘籍(新高考专用)
专题01空间几何体的外接球与内切球问题(典型题型归类训练)(解析版)_2025年新高考资料_二轮复习_解题思路训练2025年高考数学复习解答题提优秘籍(新高考专用)
专题01空间几何体的外接球与内切球问题(典型题型归类训练)(解析版)_2025年新高考资料_二轮复习_解题思路训练2025年高考数学复习解答题提优秘籍(新高考专用)
专题01空间几何体的外接球与内切球问题(典型题型归类训练)(解析版)_2025年新高考资料_二轮复习_解题思路训练2025年高考数学复习解答题提优秘籍(新高考专用)
专题01空间几何体的外接球与内切球问题(典型题型归类训练)(解析版)_2025年新高考资料_二轮复习_解题思路训练2025年高考数学复习解答题提优秘籍(新高考专用)
专题01空间几何体的外接球与内切球问题(典型题型归类训练)(解析版)_2025年新高考资料_二轮复习_解题思路训练2025年高考数学复习解答题提优秘籍(新高考专用)
专题01空间几何体的外接球与内切球问题(典型题型归类训练)(解析版)_2025年新高考资料_二轮复习_解题思路训练2025年高考数学复习解答题提优秘籍(新高考专用)
专题01空间几何体的外接球与内切球问题(典型题型归类训练)(解析版)_2025年新高考资料_二轮复习_解题思路训练2025年高考数学复习解答题提优秘籍(新高考专用)
专题01空间几何体的外接球与内切球问题(典型题型归类训练)(解析版)_2025年新高考资料_二轮复习_解题思路训练2025年高考数学复习解答题提优秘籍(新高考专用)
专题01空间几何体的外接球与内切球问题(典型题型归类训练)(解析版)_2025年新高考资料_二轮复习_解题思路训练2025年高考数学复习解答题提优秘籍(新高考专用)
专题01空间几何体的外接球与内切球问题(典型题型归类训练)(解析版)_2025年新高考资料_二轮复习_解题思路训练2025年高考数学复习解答题提优秘籍(新高考专用)
专题01空间几何体的外接球与内切球问题(典型题型归类训练)(解析版)_2025年新高考资料_二轮复习_解题思路训练2025年高考数学复习解答题提优秘籍(新高考专用)
专题01空间几何体的外接球与内切球问题(典型题型归类训练)(解析版)_2025年新高考资料_二轮复习_解题思路训练2025年高考数学复习解答题提优秘籍(新高考专用)
专题01空间几何体的外接球与内切球问题(典型题型归类训练)(解析版)_2025年新高考资料_二轮复习_解题思路训练2025年高考数学复习解答题提优秘籍(新高考专用)
专题01空间几何体的外接球与内切球问题(典型题型归类训练)(解析版)_2025年新高考资料_二轮复习_解题思路训练2025年高考数学复习解答题提优秘籍(新高考专用)
专题01空间几何体的外接球与内切球问题(典型题型归类训练)(解析版)_2025年新高考资料_二轮复习_解题思路训练2025年高考数学复习解答题提优秘籍(新高考专用)

文档信息

文档格式
docx
文档大小
2.068 MB
文档页数
28 页
上传时间
2026-04-14 15:04:11

文档内容

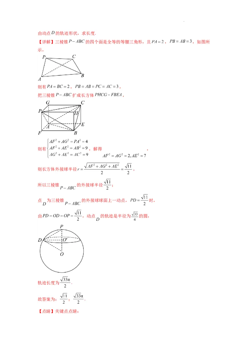
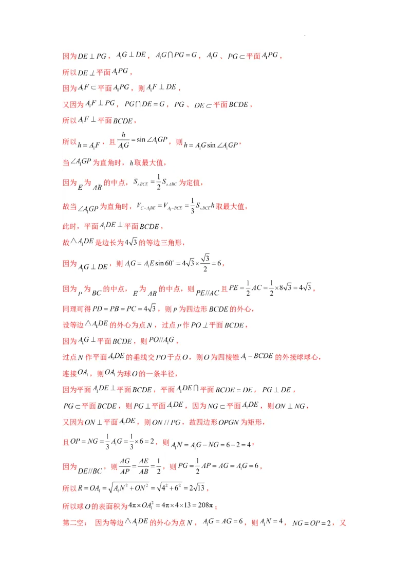
专题 01 空间几何体的外接球与内切球问题 (典型题型归类训练) 目录 一、必备秘籍..............................................1 二、典型题型..............................................3 题型一:内切球等体积法.................................3 题型二:内切球独立截面法...............................6 题型三:外接球公式法...................................9 题型四:外接球补型法..................................10 题型五:外接球单面定球心法............................13 题型六:外接球双面定球心法............................16 三、专项训练.............................................19 一、必备秘籍 1.球与多面体的接、切 定义1;若一个多面体的各顶点都在一个球面上,则称这个多面体是这个球的内接多面 体,这个球是多面体的外接球。 定义2;若一个多面体的各面都与一个球的球面相切,则称这个多面体是这个球的外切多 面体,这个球是多面体的内切球。 类型一 球的内切问题(等体积法) 例如:在四棱锥 中,内切球为球 ,求球半径 .方法如下: 即 : , 可 求 学科网(北京)股份有限公司出 . 类型二 球的外接问题 1、公式法 正方体或长方体的外接球的球心为其体对角线的中点 2、补形法(补长方体或正方体) ①墙角模型(三条线两个垂直) 题设:三条棱两两垂直(重点考察三视图) P P P c c c A b C C C a b B A a B b A a B 图1 图2 图3 ②对棱相等模型(补形为长方体) 题设:三棱锥(即四面体)中,已知三组对棱分别相等,求外接球半径( AB=CD,AD=BC,AC=BD) 3、单面定球心法(定+算) 步骤:①定一个面外接圆圆心:选中一个面如图:在三棱锥 中,选 中底面 ,确定其外接圆圆心 (正三角形外心就是中心,直角三角形外心在斜边 中点上,普通三角形用正弦定理定外心 ); ②过外心 做(找)底面 的垂线,如图中 面 ,则球心一定在直线(注 意不一定在线段 上) 上; ③计算求半径 :在直线 上任取一点 如图:则 ,利用公式 可计算出球半径 . P 4、双面定球心法(两次单面定球心) O 2 O A 如图:在三棱锥 中: O H 1 B C 学科网(北京)股份有限公司①选定底面 ,定 外接圆圆心 ②选定面 ,定 外接圆圆心 ③分别过 做面 的垂线,和 做面 的垂线,两垂线交点即为外接球球心 . 二、典型题型 题型一:内切球等体积法 1.(2024·全国·模拟预测)将菱形 沿对角线 折起,当四面体 体积最大 时,它的内切球和外接球表面积之比为 . 【答案】 / 【分析】 当平面 平面 时,四面体 的高最大,并利用导函数讨论体积的最大 值,构造长方体求外接球的半径,利用等体积法求内切球的半径,进而可求解. 【详解】 不妨设菱形的边长为 , , , 外接球半径为 ,内切球半径为 , 取 中点为 ,连接 , 因为 ,所以 , 当平面 平面 时,平面 平面 , 平面 ,所以 平面 , 此时四面体 的高最大为 , 因为 ,所以 学科网(北京)股份有限公司所以 , , 令 解得 , 令 解得 , 所以 在 单调递增, 单调递减, 所以当 时 最大,最大体积为 , 此时 , 以四面体的顶点构造长方体,长宽高为 , 则有 解得 ,所以 , 所以外接球的表面积为 , 又因为 , 所以 , , 所以 , 所以 , 所以 ,及内切球的表面积为 , 所以内切球和外接球表面积之比为 . 故答案为: 2.(23-24高三下·山东济宁·开学考试)三棱锥 中, 是边长为 的正三角 形,顶点 在底面 上的射影是 的中心,且 .三棱锥 的内切球为 学科网(北京)股份有限公司球 ,外接球为球 ,若球 的半径为 ,球 的半径为 ,则 ;若 为 球 上任意一点, 为球 上任意一点,则线段 的最小值为 【答案】 【分析】将三棱锥放入正方体中,利用等体积法可得内切球半径,根据正方体的外接球求 解 ,进而可求解空1,根据两球的关系,结合半径的关系即可求解空2. 【详解】由题易知,三棱锥 为棱长为1的立方体的一部分,如图 由等体积法求 , ,即 . 又由 ,即 ,所以 ; 的外接圆半径为 ,故点 到平面 的距离为 , 由于 ,所以 在三棱锥的外部, 故球 内含于球 ,且 , 所以 . 故答案为: , 【点睛】方法点睛:解决与球相关的切、接问题,其通法是作出截面,将空间几何问题转 化为平面几何问题求解,其解题思维流程如下: (1)定球心:如果是内切球,球心到切点的距离相等且为球的半径;如果是外接球,球心 到接点的距离相等且为半径; (2)作截面:选准最佳角度做出截面(要使这个截面尽可能多的包含球、几何体的各种元 素以及体现这些元素的关系),达到空间问题平面化的目的; (3)求半径下结论:根据作出截面中的几何元素,建立关于球的半径的方程,并求解. 3.(23-24高二上·江西景德镇·期中)我国古典数学著作《九章算术》中记载,四个面都为 直角三角形的四面体称之为鳖臑 现有一个“鳖臑”, 底面 , ,且 学科网(北京)股份有限公司,则该四面体的外接球的表面积为 ,该四面体内切球表面积 为 . 【答案】 / 【分析】由题意确定四面体外接球的球心,进而求得外接球半径,即可求得四面体的外接 球的表面积;利用等体积法求得四面体内切球的半径,即可求得四面体内切球的表面积. 【详解】由题意可知 底面 , 底面 , 故 ,又 , 平面 ,故 平面 , 平面 ,故 , 取PB的中点为O,则 , 即O为四面体的外接球的球心, 又 ,则 , 则四面体外接球半径为 , 故该四面体的外接球的表面积为 ; 设四面体的内切球球心为 ,半径为r,则 , 即 , 解得 ,则四面体内切球表面积为 , 故答案为: ; 题型二:内切球独立截面法 1.(23-24高一下·河南三门峡·期中)已知三棱锥 的棱长均为4,先在三棱锥 内放入一个内切球 ,然后再放入一个球 ,使得球 与球 及三棱锥 学科网(北京)股份有限公司的三个侧面都相切,则球 的表面积为( ) A. B. C. D. 【答案】A 【分析】利用等体积可求得内切球 半径,再取截面并根据比例求得球 的半径,则可 求得球 的表面积. 【详解】取三棱锥 过内切球球心 的截面,如图所示: 依题意得 , 底面 的外接圆半径为 ,解得 ; 点 到平面 的距离为 , 所以 , 所以 , 设球 的半径为 , 所以 , 则 ,得 , 设球 的半径为 ,则 ,又 ,得 , 所以球 的表面积为 . 故选:A. 2.(2024·广东深圳·二模)已知圆锥的内切球半径为1,底面半径为 ,则该圆锥的表面 积为 . 学科网(北京)股份有限公司注:在圆锥内部,且与底面和各母线均有且只有一个公共点的球,称为圆锥的内切球. 【答案】 【分析】借助过圆锥的轴以及内切球球心的截面图求出圆锥的母线长,即可求出圆锥表面 积. 【详解】由题过圆锥的轴以及内切球球心的截面图如下: 设圆锥高为 ,母线长为 , 则在三角形 中有 ,即 ①, 又由 得 ,即 ②, 所以由①②得 , 所以圆锥的表面积为 . 故答案为: . 3.(2024高三·全国·专题练习)圆台内有一个内切球,球的表面积和圆台的侧面积的比为 ,求球和圆台的体积之比. 【答案】 【分析】 法一、利用圆台及球体的特征先作出轴截面,由勾股定理及直线与圆的位置关系结合几何 体的表面积、侧面积、体积公式计算即可;法二、通过设角解三角形,利用三角函数表示 线段长,根据几何体的表面积、侧面积、体积公式计算即可. 【详解】如图,作轴截面,其中 都是切点. 法一、设 . 由圆的切线的性质可知, , , . 学科网(北京)股份有限公司, . , . 法二、设 ,则 , ∴ , , . . 因此, . 题型三:外接球公式法 1.(2024·天津·二模)已知正方体 的外接球的体积为 ,点 为棱 的中点,则三棱锥 的体积为( ). A. B. C. D. 【答案】B 【分析】由正方体的特征及球的体积公式可计算正方体棱长,再根据三棱锥的体积公式计 算即可. 【详解】由题意可知正方体的外接球直径为正方体的体对角线, 所以 , 所以 . 故选:B 2.(23-24高一下·浙江宁波·期中)已知 是球O表面上不同的点, 平面 学科网(北京)股份有限公司, , , ,若球 的体积为 ,则 ( ) A. B.1 C. D. 【答案】B 【分析】由已知易得 四点均为长宽高分别为 三边长的长方体的顶点, 由长方体外接球的直径等于长方体对角线,利用球的体积公式可得答案. 【详解】因为 平面 , , 所以四面体 的外接球半径等于以 为长宽高的长方体的顶点的外接球, 又球 的体积为 ,即 ,所以 , 所以 , 所以 . 故选:B. 题型四:外接球补型法 1.(2024·河南信阳·模拟预测)把 沿三条中位线折叠成四面体 ,其中 , , ,则四面体 的外接球表面积为( ) A. B. C. D. 【答案】D 【分析】由条件分析四面体 的结构特征,由此考虑构造长方体,结合长方体的外接 球的半径的与长宽高的关系结合条件求出 ,再由球的表面积公式求球的表面积即可. 【详解】如图,记 的中点分别为 , 学科网(北京)股份有限公司因为 , , , 由中位线性质可得 , 翻折后的四面体如图: 由翻折的性质可得 , 所以四面体 对棱相等, 故可以考虑将四面体 补形为长方体如下; 四面体 的外接球即长方体的外接球, 设其外接球半径为 , , 则 , 因为 ,所以 , 所以 , 所以四面体 的外接球表面积 , 故选:D. 2.(2024·黑龙江·二模)已知三棱锥 的四个面是全等的等腰三角形,且 , ,则三棱锥 的外接球半径为 ;点 为三棱锥 的外接球 球面上一动点, 时,动点 的轨迹长度为 . 【答案】 / 【分析】 由三棱锥的结构特征,可扩成长方体,利用长方体的外接球半径得三棱锥的外接球半径; 学科网(北京)股份有限公司由动点 的轨迹形状,求长度. 【详解】三棱锥 的四个面是全等的等腰三角形,且 , ,如图所 示, 则有 , , 把三棱锥 扩成长方体 , 则有 ,解得 , 则长方体外接球半径 , 所以三棱锥 的外接球半径 ; 点 为三棱锥 的外接球球面上一动点, 时, 由 ,动点 的轨迹是半径为 的圆, 轨迹长度为 . 故答案为: ; . 【点睛】关键点点睛: 学科网(北京)股份有限公司三组对棱分别相等的四面体(三棱锥)——补形为长方体(四面体的棱分别是长方体各面的对 角线). 题型五:外接球单面定球心法 1.(2024·全国·模拟预测)在正三棱锥 中, , ,则三棱锥 的外接球表面积为( ) A. B. C. D. 【答案】C 【分析】根据正三棱锥的结构特征可求解高的长度,进而根据勾股定理即可求解半径,即 可由表面积公式求解,或者利用空间直角坐标系求解半径. 【详解】方法一:如图,取正三角形 的中心为 ,连接 , 则三棱锥 的外接球球心 在 上,连接 . 在正三角形 中, ,所以 . 在 中, ,所以 . 设外接球的半径为 , 由 , ,解得 , 所以三棱锥 的外接球表面积 . 故选:C. 方法二:在正三棱锥 中,过点 作 底面 于点 , 则 为底面正三角形 的中心, 因为正三角形 的边长为2,所以 . 学科网(北京)股份有限公司因为 ,所以 . 如图,以 为坐标原点建立空间直角坐标系, 则 , . 设三棱锥 的外接球球心为 ,半径为 . 由 ,得 ,解得 , 所以 , 则三棱锥 的外接球表面积 . 故选:C. 2.(2024·四川凉山·二模)已知在三棱锥 中, , ,底面 是边长为1的正三角形,则该三棱锥的外接球表面积为( ) A. B. C. D. 【答案】B 【分析】 根据给定条件,证得 平面 ,再确定三棱锥外接球球心,并求出球半径及表面积. 【详解】在三棱锥 中, , ,正 的边长为1, 则 ,即有 ,同理 ,而 平面 , 于是 平面 ,令正 的外心为 ,三棱锥 外接球球心为 , 则 平面 ,显然球心 在线段 的中垂面上,取 的中点 ,则 , 而 ,则四边形 是矩形, , 学科网(北京)股份有限公司所以球半径 ,表面积 . 故选:B 3.(2024·浙江嘉兴·二模)在四面体 中, ,且 与 所成的角为 .若四面体 的体积为 ,则它的外接球半径的最小值为 . 【答案】3 【分析】根据题意,将四面体 补形为直三棱柱 ,设 ,由 求得 ,在 中,勾股定理得 ,由余弦定理可得 ,结合基本不等式求解. 【详解】依题意,可将四面体 补形为如图所示的直三棱柱 ,因为 与 所成的角为 , 所以 或 ,设 ,外接球半径记为 , 外接球的球心如图点 . 易知 平面 ,所以点 到平面 的距离等于点 到平面 的距离, ,得 , 在 中, , 在 中,由余弦定理得 , 所以当 时,外接球的半径会更小. 所以 , 所以 , 所以 . 故答案为:3. 学科网(北京)股份有限公司【点睛】关键点点睛:本题关键是将求四面体 补形为直三棱柱 ,转化为 求直三棱柱外接球半径的最小值. 题型六:外接球双面定球心法 1.(2024·四川绵阳·模拟预测)已知长方体 中,侧面 的面积为2, 若在棱 上存在一点 ,使得 为等边三角形,则四棱锥 外接球表面积 的最小值为 . 【答案】 【分析】根据几何体的特征,确定四棱锥外接球的球心,结合长度和几何关系,基本不等 式确定半径的最小值,即可求解. 【详解】如图,由对称性可知,点 是 的中点,设 ,则 , ,点 是 的中点, 由底面矩形 的对角线的交点 作底面 的垂线,过等边三角形 的中心 作平面 的垂线,两条垂线交于点 ,点 是四棱锥 外接球的球心, , ,则 , 学科网(北京)股份有限公司当 ,即 时,等号成立,则 的最小值为 , 所以四棱锥 外接球表面积的最小值为 . 故答案为: 2.(23-24高二上·江西九江·期中)如图, 是边长为 的正三角形 的一条中位 线,将 沿 翻折至 ,当三棱锥 的体积最大时,四棱锥 外接球 的表面积为 ;过 靠近点 的三等分点 作球 的截面,则所得截 面圆面积的最小值是 【答案】 【分析】先判断当平面 平面 时,三棱锥 的体积最大,求得 , 再找出四棱锥 外接球的球心,由勾股定理求得半径,进而得到表面积;当 垂直于截面圆时,截面圆半径最小,面积最小即得答案. 【详解】第一空:设点 到平面 的距离为 , 在 中,取 的中点 ,连接 交 于点 ,连接 , 因为 为等边三角形, 为 的中点,则 , 由题意可知, 、 分别为 、 的中点,则 ,则 , , 翻折后,则有 ,所以二面角 的平面角为 , 过点 在平面 内作 或其延长线上, 学科网(北京)股份有限公司因为 , , , 、 平面 , 所以 平面 , 因为 平面 ,则 , 又因为 , , 、 平面 , 所以 平面 , 所以 ,且 ,则 , 当 为直角时, 取最大值, 因为 为 的中点, 为定值, 故当 为直角时, 取最大值, 此时,平面 平面 , 故 是边长为 的等边三角形, 因为 ,则 , 因为 为 的中点, 为 的中点,则 且 , 同理可得 ,则 为四边形 的外心, 设等边 的外心为点 ,过点 作 平面 , 因为 平面 ,则 , 过点 作平面 的垂线交 于点 ,则 为四棱锥 的外接球球心, 连接 ,则 为球 的一条半径, 因为平面 平面 ,平面 平面 , , 平面 ,则 平面 ,因为 平面 ,则 , 又因为 平面 ,则 ,故四边形 为矩形, 且 ,则 , 因为 ,则 ,则 , 所以 , 所以球 的表面积为 ; 第二空: 因为等边 的外心为点 , ,则 , ,又 学科网(北京)股份有限公司, , 则 , 当过点 的截面与 垂直时,截面圆的半径 取最小值, 且 , 因此,过 的三等分点作 球 的截面,则所得截面圆面积的最小值是 . 故答案为: ; . 三、专项训练 一、单选题 1.(2024·全国·模拟预测)已知三棱柱 的侧棱垂直于底面,且 , , , ,若该三棱柱的各顶点都在同一球面上,则此球的表面积等 于( ). A. B. C. D. 【答案】A 【分析】根据余弦定理求 ,结合正弦定理求解 外接圆半径,再根据三棱柱的 外接球球半径与三棱柱的高以及 外接圆半径的关系得出结果. 【详解】如图所示,在 中, , , , 由余弦定理可得 ,所以 , 由正弦定理可得 外接圆半径 , 设此圆圆心为 ,球心为 ,在 中, ,易得球半径 , 故此球的表面积为 . 故选:A. 学科网(北京)股份有限公司2.(2024高三·全国·专题练习)在三棱锥 中, , ,则三棱锥 外接球的表面积为( ) A. B. C. D. 【答案】D 【分析】由 是直角三角形得 的中点 是 的外心 ,再由等腰三角形结合 勾股定理得到 平面 ,平面 平面 ;结合 是等边三角形确定三棱 锥 外接球的位置,求得半径,最后得到表面积. 【详解】 如图,设 是 的中点,连接 ,由于 , 所以 是 的外心, . 由于 , 是 的中点,则 , , , 则 ,则 . 又 , 平面 , 所以 平面 .而 平面 ,所以平面 平面 . 由于 是等边三角形,设 是 的外心,则 , 又因为 在 上,所以 ,则 也是三棱锥 外接球的球心. 设外接球的半径为 ,根据等边三角形的性质可知 , 学科网(北京)股份有限公司所以外接球的表面积为 . 故选:D. 3.(2024·四川泸州·三模)已知圆锥的体积为 ,其侧面展开图为一个半圆,则该圆锥 的内切球的表面积为( ) A. B. C. D. 【答案】D 【分析】设圆锥的底面半径为 ,高为 ,由题意可得 ,可求得 , ,进而 可得轴截面是等边三角形,求得等边三角形的内切圆的半径即可求得圆锥的内切球的表面 积. 【详解】设圆锥的底面半径为 ,高为 ,母线长为 , 由题意可得 ,解得 , 所以母线长为 ,底面圆直径为 , 可得圆锥的轴截面为等边三角形,该等边三角形内切圆的半径即为圆锥内切球的半径, 由等边三角形的性质可得内切球的半径 , 所以圆锥内切球的表面积为 . 故选:D. 4.(2024·黑龙江双鸭山·模拟预测)已知四面体ABCD的各顶点均在球 的球面上,平面 平面 ,则球 的表面积为( ) A. B. C. D. 【答案】C 【分析】先找 和 的外接圆的圆心,过圆心分别作两个三角形所在平面的垂 学科网(北京)股份有限公司线,两垂线的交点就是球心. 【详解】如图,取BC的中点为E,BD的中点为 ,所以 为 的外心, 连接AE,EF,设 的外心为 , 因为 ,即 为等边三角形, 所以点 在AE上,且设球心为 ,连接OG,OF, 则 平面 平面BCD, 因为平面 平面BCD,所以 , 因为 为等边三角形, 为BC的中点,所以 , 因为平面 平面BCD,平面 平面 , 面 , 所以 平面BCD,则 ,又 平面BCD,所以 , 同理 平面ABC,所以 ,故四边形OGEF是矩形. 由 ,可得 ,故 , 又 , 设球 的半径为 ,则 , 所以球 的表面积 . 故选:C. 5.(23-24高二下·湖南衡阳·阶段练习)将一个母线长为 ,底面半径为 的圆锥木头 加工打磨成一个球状零件,则能制作的最大零件的表面积为( ) A. B. C. D. 【答案】A 【分析】原问题可转化为求该圆锥的内切球表面积,由圆锥的结构特征可得其内切球的半 径与该圆锥过顶点与底面直径的轴截面的内切圆半径相等,借助等面积法求出该半径,结 合球的表面积公式即可得. 【详解】原问题可转化为求该圆锥的内切球表面积, 该内切球的半径与该圆锥过顶点与直径的轴截面的内切圆半径相等, 画出该轴截面如图, 学科网(北京)股份有限公司由母线长为 ,底面半径为 可得该圆锥的高 , 设内切球的半径为 ,则有 , 解得 ,即内切球表面积为 . 故选:A. 6.(2024·广西·二模)已知轴截面为正方形的圆柱 的体积与球 的体积之比为 ,则 圆柱 的表面积与 球的表面积之比为( ) A.1 B. C.2 D. 【答案】B 【分析】根据已知,结合圆柱和球的体积公式,可得圆柱 底面圆半径 和球 的半径 相等,再利用圆柱和球的表面积公式可解. 【详解】设圆柱 底面圆半径为 ,球 的半径为 , 则圆柱 的高为 ,由 ,可得 , 所以圆柱 的表面积与 球的表面积之比为 . 故选:B 7.(2024·广东·二模)已知球 与圆台 的上、下底面和侧面均相切,且球 与圆台 的体积之比为 ,则球 与圆台 的表面积之比为( ) A. B. C. D. 【答案】D 【分析】由球 与圆台 的体积之比为 ,得到圆台的上、下底面半径分别为 ,球 的半径 之间的关系,代入表面积公式化简,即可得到答案. 【详解】 学科网(北京)股份有限公司由题意,作出圆台的轴截面 , 设圆台的上、下底面半径分别为 ,球的半径 , 则 ,过A作 于点 , 由 ,得 ,化简得 , 由球的体积公式 , 圆台的体积公式 , 已知球 与圆台 的体积之比为 ,则 , 化简得 , 则 ,得 , 又球的表面积 ,圆台的表面积 , 所以 , 故选:D. 8.(2024·陕西安康·模拟预测)在四棱锥 中,底面四边形 为等腰梯形, , , 是边长为2的正三角形, ,则 四棱锥 外接球的表面积为( ) A. B. C. D. 【答案】C 【分析】取 的中点 ,连接 、 ,即可证明 平面 ,从而得到平面 平面 ,再取 的中点 ,连接 、 、 ,推导出 为 外接圆 的圆心,再设 的外接圆的圆心为 ,四棱锥 外接球的球心为 ,即可求 出外接球的半径,从而求出球的表面积. 【详解】取 的中点 ,连接 、 ,因为 是边长为2的正三角形, 学科网(北京)股份有限公司所以 , , 又 , , ,所以 , 在 中,由余弦定理 , 即 ,又 ,所以 , 所以 , 又 , 平面 ,所以 平面 , 又 平面 ,所以平面 平面 , 取 的中点 ,连接 、 、 ,则 、 及 均为等边三角形, 易知 且 ,又平面 平面 , 平面 平面 , 平面 ,所以 平面 , 所以等腰梯形 外接圆的圆心为 ,设 的外接圆的圆心为 ,则 , 设四棱锥 外接球的球心为 ,连接 、 、 , 则 平面 , 平面 , 所以 , ,所以四边形 为平行四边形, 所以 ,所以外接球的半径 , 所以外接球的表面积 . 故选:C 【点睛】方法点睛:与球有关的组合体问题,一种是内切,一种是外接.解题时要认真分 析图形,明确切点和接点的位置,确定有关元素间的数量关系,并作出合适的截面图,如 球内切于正方体,切点为正方体各个面的中心,正方体的棱长等于球的直径;球外接于正 方体,正方体的顶点均在球面上,正方体的体对角线长等于球的直径. 9.(23-24高一下·浙江金华·期中)已知三棱锥 的三条侧棱 , , 两两互 相垂直,且 , ,则此三棱锥外接球的体积为( ) 学科网(北京)股份有限公司A. B. C. D. 【答案】A 【分析】根据三棱锥的三条侧棱两两垂直,知其外接球就是所在长方体的外接球,设出棱 长,求出体对角线,即可得出球的直径得解. 【详解】三棱锥 的三条侧棱 , , 两两互相垂直, 其外接球就是以 为长、宽、高的长方体的外接球, 设 , 则有 ,可求得 , 即长方体的对角线的长为 ,所以球的直径是 ,半径为 , 所以外接球的体积 . 故选:A. 二、填空题 10.(2024·全国·模拟预测)已知圆锥的底面半径为3,母线长为5,则该圆锥内半径最大 的球的体积为 . 【答案】 【分析】首先作出半径最大的球与圆锥组合体的截面图,根据几何关系,列式求解. 【详解】如图所示,设圆锥底面圆的圆心为 ,圆锥的顶点为 ,则圆锥 的轴截面为 等腰 . 设球的球心为 ,则球 的体积最大时,球 的轴截面是 的内切圆. 由题意知 , ,设球 的半径为 , 由 得 ,即 ,解得 , 所以球 的体积的最大值为 学科网(北京)股份有限公司故答案为: 11.(2024·全国·模拟预测)在菱形 中, , ,将 沿 翻 折,使二面角 的余弦值为 ,则四面体 的外接球的表面积为 . 【答案】 【分析】根据题意,取 的中点 ,然后根据菱形的性质求解出 , ,得 到 是二面角 的平面角.根据余弦值为 ,求解出 ,判断 是 正四面体,放置在正方体中,进而求出外接球的表面积. 【详解】如图所示,取 的中点 ,连接 , ,则 , , 故 是二面角 的平面角, 因为 ,所以 , 在 中,由余弦定理 ,得 ,故四面体 是正四面体. 如图所示,将其放置在正方体中,使得 , , , 是正方体的四个顶点, 则正方体的棱长为 ,体对角线长 ,即四面体 的外接球的半径为 , 所以外接球的表面积为 . 故答案为: 12.(23-24高三下·河南·阶段练习)直三棱柱 的各顶点都在同一球面上,若 ,则此球的表面积等于 . 【答案】 / 【分析】由余弦定理求得 ,根据正弦定理求出 的外接圆半径,结合勾股定 理和球的表面积公式计算即可求解. 学科网(北京)股份有限公司【详解】在 中,由余弦定理得 , 由 ,得 ,设 的外接圆半径为r, 由正弦定理得 ,则 , 设三棱柱的外接球半径为R,则 , 所以球O的表面积 . 故答案为: 学科网(北京)股份有限公司