当前位置:首页>文档>信息必刷卷03(北京专用)参考答案_02高考数学_2025年新高考资料_2025考前信息卷_2025年高考数学考前信息必刷卷(北京专用)3430957

信息必刷卷03(北京专用)参考答案_02高考数学_2025年新高考资料_2025考前信息卷_2025年高考数学考前信息必刷卷(北京专用)3430957

  • 2026-04-15 00:31:22 2026-04-15 00:31:22

文档预览

信息必刷卷03(北京专用)参考答案_02高考数学_2025年新高考资料_2025考前信息卷_2025年高考数学考前信息必刷卷(北京专用)3430957
信息必刷卷03(北京专用)参考答案_02高考数学_2025年新高考资料_2025考前信息卷_2025年高考数学考前信息必刷卷(北京专用)3430957
信息必刷卷03(北京专用)参考答案_02高考数学_2025年新高考资料_2025考前信息卷_2025年高考数学考前信息必刷卷(北京专用)3430957
信息必刷卷03(北京专用)参考答案_02高考数学_2025年新高考资料_2025考前信息卷_2025年高考数学考前信息必刷卷(北京专用)3430957
信息必刷卷03(北京专用)参考答案_02高考数学_2025年新高考资料_2025考前信息卷_2025年高考数学考前信息必刷卷(北京专用)3430957
信息必刷卷03(北京专用)参考答案_02高考数学_2025年新高考资料_2025考前信息卷_2025年高考数学考前信息必刷卷(北京专用)3430957
信息必刷卷03(北京专用)参考答案_02高考数学_2025年新高考资料_2025考前信息卷_2025年高考数学考前信息必刷卷(北京专用)3430957
信息必刷卷03(北京专用)参考答案_02高考数学_2025年新高考资料_2025考前信息卷_2025年高考数学考前信息必刷卷(北京专用)3430957
信息必刷卷03(北京专用)参考答案_02高考数学_2025年新高考资料_2025考前信息卷_2025年高考数学考前信息必刷卷(北京专用)3430957
信息必刷卷03(北京专用)参考答案_02高考数学_2025年新高考资料_2025考前信息卷_2025年高考数学考前信息必刷卷(北京专用)3430957
信息必刷卷03(北京专用)参考答案_02高考数学_2025年新高考资料_2025考前信息卷_2025年高考数学考前信息必刷卷(北京专用)3430957
信息必刷卷03(北京专用)参考答案_02高考数学_2025年新高考资料_2025考前信息卷_2025年高考数学考前信息必刷卷(北京专用)3430957
信息必刷卷03(北京专用)参考答案_02高考数学_2025年新高考资料_2025考前信息卷_2025年高考数学考前信息必刷卷(北京专用)3430957

文档信息

文档格式
docx
文档大小
0.527 MB
文档页数
9 页
上传时间
2026-04-15 00:31:22

文档内容

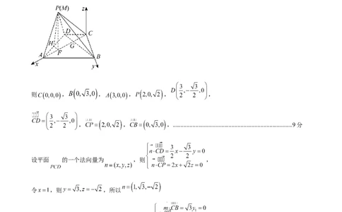
2025 年高考考前信息必刷卷 03(北京专用) 数 学·参考答案 一、单项选择题:本题共10小题,每小题4分,共40分,在每小题给出的四个选项中,只有一项是符合 要求的。 1 2 3 4 5 6 7 8 9 10 D C A B A B D A A B 二、填空题:本题共5小题,每小题5分,共25分。 11. 12.2 13. . 14. 15.①③④ 三、解答题:本题共6小题,共85分,解答应写出必要的文字说明、证明过程及验算步骤。 16.【详解】(1)若选①, 由 可得 ,......................................................................................2分 由正弦定理可得 , 因此 ,.................................................................4分 由于在三角形中, ,故 ,..................................................................................................6分 ,...........................................................................................................................................7分 若选②, 由正弦定理可得 ,.....................................................................................2分 故 , 故 ,............................................................................................................................5分 ,...........................................................................................................................................7分 若选③,由正弦定理以及二倍角公式可得 ,..........................2分 由于在三角形中, ,故 , 所以 ,...............................................................................................................................................5分 ,...........................................................................................................................................7分 (2)由 可得 , ............................................................................9分 由 ,.....................................................................11分 联立可得 .......................................................................................................................................13分 17.【详解】(1) , , 为正三角形, ,则 为 中点,.........................................................................................................................1分 设 , , ,故 ,故 为 的三等分点, , 为 的三等分点,即F为 的中点,故 , 平面 , 平面 ,故 平面 ............................................................................4分 (2)由题设易得 , , , 故 ,即 , ,故 , , ,PH、HF在面PHF内,故 平面 ....................................................6分PF在面PHF内,故 ,又 , ,AC、AD在面ABCD内,故 平面 . 在 中, , 由题意易得∠ABC=60°,∠BAC=30°,则∠ACB=90°,故 ,......................................................8分 过点 作平面 的垂线为z轴,以 分别为 轴、 轴正方向,建立如图所示坐标系. 则 , , , , , , , ,...............................................................................9分 设平面 的一个法向量为 ,则 , 令 ,则 ,所以 设平面 的一个法向量为 ,则 , 令 ,则 , ,所以 ,...............................................................................11分 设平面 和平面 的夹角为 , , 则 , ,所以平面 和平面 的夹角为 ..........................................................................................................13分 18.【详解】(1)由题意 的可能取值为 ,.....................................................................................1分 则有 , , , ,............................................................................................3分 所以随机变量 的分布列为 0 1 2 3 ..............................................................................................................................................................................5分 所以随机变量 的期望为 ;........................................................7分 (2)由题意可知首次达标的概率为 , 首次不达标第二次达标的概率为 ,...................................................................................................8分 所以两位学生都首次就达标的概率为 , 两位学生一位首次达标,另一位首次不达标而第二次达标的概率为 , 两位学生首次都不达标,第二次达标的概率为 ,............................................................12分 所以至多两次测试后,两位学生全部达标的概率为 ..................................................14分 19.【详解】(1)由题意可知 , 因为离心率为 , 所以 ,...........................................................................................................................................1分所以 ,故 是正三角形,如图所示: 若直线 ,则直线 垂直平分线段 , 所以 ,........................................................................................................................................3分 由于 的周长为 ,故 的周长为 , 由定义可知: , 所以 的周长为 ,故 , 所以 ,故 ,......................................................................................................................................5分 所以椭圆 的方程: .......................................................................................................................6分 (2)由题意可设直线 的方程为 , ,则 ,如图所示: 可得直线 的方程为: ,........................................................................................7分因为 , 将其代入直线 方程,可得 , 可整理得: ,........................................................................................9分 联立方程 得 , 则 , 所以 ,即 ,................................................................................................12分 将其代入 式中,可得直线 方程为: , 可见直线 过定点 , 所以直线 过定点,坐标为 ...............................................................................................................15分 20.【详解】(1) , 当 时, , ,............................................................................................1分 当 时, , ,.................................................................................................................2分 函数 在 处的切线方程为 ;..........................................................................................3分 (2)函数 的定义域为 , , ①当 时, 恒成立,令 ,则 , 若 ,则 ;若 ,则 ,所以 在 单调递减,在 单调递增;..................................................................................5分 ②当 时, , 令 ,则 或 ,.............................................................................................................6分 (ⅰ)当 ,即 时, 若 ,则 或 ;若 ,则 , 所以 在 和 上单调递增,在 上单调递减;..........................................7分 (ⅱ)当 ,即 时, 恒成立, 在 上递增;...............................................8分 (ⅲ)当 ,即 时, 若 ,则 或 ,若 ,则 , 所以 在 和 上单调递增,在 上单调递减.............................................9分 综上所述,当 时, 在 单调递减,在 单调递增; 当 时, 在 和 上单调递增,在 上单调递减; 当 时, 在 上递增; 当 时, 在 和 上单调递增,在 上单调递减;.........................10分 (3) 的定义域为 , 由 得 恒成立,即 恒成立, 设 , ,则 , 因为 ,同构可得 ,令 ,因为 ,所以 ,.......................................................................................................12分 下面证 . 设 , ,于是 , 令 ,则 ,当 时, ;当 时, , 所以 在 上单调递减,在 上单调递增, 所以 ,即 ,当且仅当 时等号成立. 所以 ,即 , 所以 , 所以 ,即 , 所以实数 的取值范围为 .....................................................................................................................15分 21.【详解】(1)当 时,若数列 具有性质 , 则集合 中至少有一个元素 ,使得 验证可得,不存在 ,使得 ,所以数列 不具有性质 ...............................................................2分 对于数列 , 集合 中存在元素 时, 满足 ,所以数列 具有性质 .............................................................................................4分 (2)因为数列 和 均为等差数列,且 , , 所以数列 , 所以任意相邻两项的差绝对值都是奇数,......................................................................................................6分 所以当 为偶数时,在集合 中不存在元素 使得 ,故对于所有的偶数 ,数列 不具有性质 ..............................................................................8分 (3)设数列 为任意一个不具有性质 的数列, 因为 为 的一个排列, 所以在 中有且仅有一项 ,使得 . 在数列 中,将 项移到 项的前面,其余项的顺序保持不变, 得到新数列 ,新数列 为 的一个新排列,...................................11分 显然数列 具有性质 ,且任意一个与 不同的不具有性质 的数列通过上述移动首项方法都得不到数列 . 结合数列 为任意一个不具有性质 的数列,且根据 可以构造一个符合题意的具有性质 的数列 , 可得 ...........................................................................................................................................................13分 又因为数列 具有性质 , 且任何一个不具有性质 的数列都不可能通过上述移动首项方法得到数列 , 所以 ...........................................................................................................................................................15分