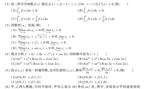
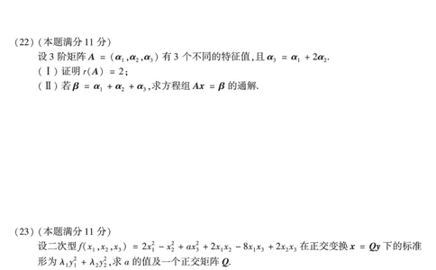
当前位置:首页>文档>2017考研数学二真题公众号“考研小舟”持续更新中公众号:考研小舟_27考研真题_考研数学一、二、三历年真题+考研数学资料(1994-2026)_考研数学真题(1987-2026)_数学二

2017考研数学二真题公众号“考研小舟”持续更新中公众号:考研小舟_27考研真题_考研数学一、二、三历年真题+考研数学资料(1994-2026)_考研数学真题(1987-2026)_数学二

  • 2026-04-16 18:33:50 2026-04-16 13:24:01

文档预览

2017考研数学二真题公众号“考研小舟”持续更新中公众号:考研小舟_27考研真题_考研数学一、二、三历年真题+考研数学资料(1994-2026)_考研数学真题(1987-2026)_数学二
2017考研数学二真题公众号“考研小舟”持续更新中公众号:考研小舟_27考研真题_考研数学一、二、三历年真题+考研数学资料(1994-2026)_考研数学真题(1987-2026)_数学二
2017考研数学二真题公众号“考研小舟”持续更新中公众号:考研小舟_27考研真题_考研数学一、二、三历年真题+考研数学资料(1994-2026)_考研数学真题(1987-2026)_数学二
2017考研数学二真题公众号“考研小舟”持续更新中公众号:考研小舟_27考研真题_考研数学一、二、三历年真题+考研数学资料(1994-2026)_考研数学真题(1987-2026)_数学二
2017考研数学二真题公众号“考研小舟”持续更新中公众号:考研小舟_27考研真题_考研数学一、二、三历年真题+考研数学资料(1994-2026)_考研数学真题(1987-2026)_数学二
2017考研数学二真题公众号“考研小舟”持续更新中公众号:考研小舟_27考研真题_考研数学一、二、三历年真题+考研数学资料(1994-2026)_考研数学真题(1987-2026)_数学二
2017考研数学二真题公众号“考研小舟”持续更新中公众号:考研小舟_27考研真题_考研数学一、二、三历年真题+考研数学资料(1994-2026)_考研数学真题(1987-2026)_数学二
2017考研数学二真题公众号“考研小舟”持续更新中公众号:考研小舟_27考研真题_考研数学一、二、三历年真题+考研数学资料(1994-2026)_考研数学真题(1987-2026)_数学二

文档信息

文档格式
pdf
文档大小
0.797 MB
文档页数
4 页
上传时间
2026-04-16 13:24:01