当前位置:首页>文档>第19练三角恒等变换(精练:基础+重难点)一轮复习讲义2024年高考数学高频考点题型归纳与方法总结(新高考通用)原卷版_02高考数学_新高考复习资料_2024年新高考资料

第19练三角恒等变换(精练:基础+重难点)一轮复习讲义2024年高考数学高频考点题型归纳与方法总结(新高考通用)原卷版_02高考数学_新高考复习资料_2024年新高考资料

  • 2026-04-18 03:55:23 2026-04-18 03:55:23

文档预览

第19练三角恒等变换(精练:基础+重难点)一轮复习讲义2024年高考数学高频考点题型归纳与方法总结(新高考通用)原卷版_02高考数学_新高考复习资料_2024年新高考资料
第19练三角恒等变换(精练:基础+重难点)一轮复习讲义2024年高考数学高频考点题型归纳与方法总结(新高考通用)原卷版_02高考数学_新高考复习资料_2024年新高考资料
第19练三角恒等变换(精练:基础+重难点)一轮复习讲义2024年高考数学高频考点题型归纳与方法总结(新高考通用)原卷版_02高考数学_新高考复习资料_2024年新高考资料
第19练三角恒等变换(精练:基础+重难点)一轮复习讲义2024年高考数学高频考点题型归纳与方法总结(新高考通用)原卷版_02高考数学_新高考复习资料_2024年新高考资料
第19练三角恒等变换(精练:基础+重难点)一轮复习讲义2024年高考数学高频考点题型归纳与方法总结(新高考通用)原卷版_02高考数学_新高考复习资料_2024年新高考资料
第19练三角恒等变换(精练:基础+重难点)一轮复习讲义2024年高考数学高频考点题型归纳与方法总结(新高考通用)原卷版_02高考数学_新高考复习资料_2024年新高考资料
第19练三角恒等变换(精练:基础+重难点)一轮复习讲义2024年高考数学高频考点题型归纳与方法总结(新高考通用)原卷版_02高考数学_新高考复习资料_2024年新高考资料
第19练三角恒等变换(精练:基础+重难点)一轮复习讲义2024年高考数学高频考点题型归纳与方法总结(新高考通用)原卷版_02高考数学_新高考复习资料_2024年新高考资料
第19练三角恒等变换(精练:基础+重难点)一轮复习讲义2024年高考数学高频考点题型归纳与方法总结(新高考通用)原卷版_02高考数学_新高考复习资料_2024年新高考资料
第19练三角恒等变换(精练:基础+重难点)一轮复习讲义2024年高考数学高频考点题型归纳与方法总结(新高考通用)原卷版_02高考数学_新高考复习资料_2024年新高考资料

文档信息

文档格式
docx
文档大小
0.330 MB
文档页数
6 页
上传时间
2026-04-18 03:55:23

文档内容

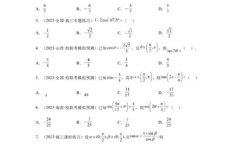
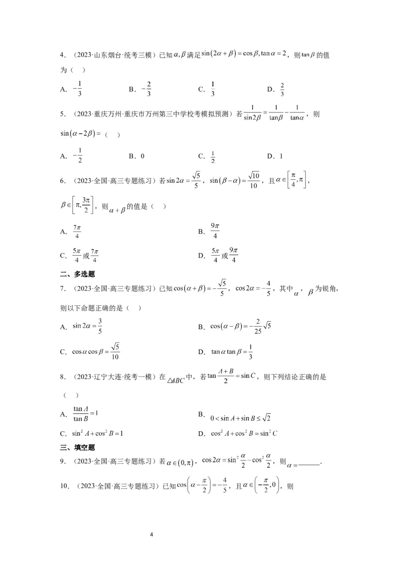
【一轮复习讲义】2024年高考数学高频考点题型归纳与方法总结(新高考通 用) 第 19 练 三角恒等变换(精练) 【A组 在基础中考查功底】 一、单选题 1.(2023·安徽蚌埠·统考二模) ( ) A. B. C. D. 2.(2023·全国·高三专题练习)已知 , ,则 ( ) A. B.- C.- D. 3.(2023·全国·高三专题练习) ( ) A. B. C. D. 4.(2023·山西·校联考模拟预测)已知 ,且 ,则 ( ). A. B. C. D. 5.(2023·全国·校联考模拟预测)已知 ,其中 ,则 ( ) A. B. C. D. 6.(2023·海南·校联考模拟预测)已知 ,则 ( ) A. B. C. D. 7.(2023·高三课时练习)设 且 则 A. B. C. D. 8.(2023·全国·高三专题练习) ( ) A. B. C. D.2 9.(2023·全国·高三专题练习)已知 ,则 ( ) 1A. B. C. D. 10.(2023·海南省直辖县级单位·统考模拟预测)已知 , , 均为锐角,则 ( ) A. B. C. D. 11.(2023·河南·校联考模拟预测)已知 , ,则 ( ) A. B. C. D. 12.(2023·陕西安康·陕西省安康中学校考模拟预测)已知 为锐角, ,则 ( ) A. B. C. D. 13.(2023·广东·高三专题练习)已知 ,且 ,则 ( ) A. B. C. D. 二、多选题 14.(2023·全国·高三专题练习)下列化简正确的是( ) A. B. C. D. 15.(2023·全国·高三专题练习)若 ∈[0,2π],sin sin cos cos 0,则 的值 是( ) A. B. C. D. 16.(2023春·重庆沙坪坝·高三重庆八中校考阶段练习)已知 ,则( ) 2A. B. C. D. 三、填空题 17.(2023春·上海嘉定·高三上海市育才中学校考阶段练习)函数 的最小正周期 为_______. 18.(2023·高三课时练习)若 则tanβ=____. 19.(2023·湖南娄底·娄底市第三中学校联考三模)若 ,则 ___________. 20.(2023·全国·高三专题练习) __________. 21.(2023·广东汕头·金山中学校考模拟预测)已知 为锐角, , ,则 ______ 【B组 在综合中考查能力】 一、单选题 1.(2023·江西·校联考二模)已知 ,则 ( ) A. B. C. D. 2.(2023·全国·高三专题练习)已知函数 ,则下列说法正确的 是( ) A. 为奇函数 B. 为奇函数 C. 为偶函数 D. 为偶函数 3.(2023·山东泰安·统考模拟预测)已知 为锐角, , , 则 ( ) A. B. C. D. 34.(2023·山东烟台·统考三模)已知 满足 ,则 的值 为( ) A. B. C. D. 5.(2023·重庆万州·重庆市万州第三中学校考模拟预测)若 ,则 ( ) A. B.0 C. D.1 6.(2023·全国·高三专题练习)若 , ,且 , ,则 的值是( ) A. B. C. 或 D. 或 二、多选题 7.(2023·全国·高三专题练习)已知 , ,其中 , 为锐角, 则以下命题正确的是( ) A. B. C. D. 8.(2023·辽宁大连·统考一模)在 中,若 ,则下列结论正确的是 ( ) A. B. C. D. 三、填空题 9.(2023·全国·高三专题练习)若 , ,则 ______. 10.(2023·全国·高三专题练习)已知 ,且 ,则 4的值是______. 11.(2023·山东泰安·统考二模)已知 ,则 _______. 12.(2023·辽宁沈阳·东北育才学校校考模拟预测)已知 ,则 的值为___________. 13.(2023·全国·高三专题练习)已知 ,且 ,求 的值为_____. 【C组 在创新中考查思维】 一、单选题 1.(2023·全国·高三专题练习)已知 , ,且 , ,则 ( ) A. B. C. D. 2.(2023秋·江苏南京·高三统考阶段练习)已知 ,且 ,则 可能为( ) A. B. C. D. 3.(2023·全国·高三专题练习)已知 是互不相同的锐角,则在 三个值中,大于 的个数的最大值是( ) A.0 B.1 C.2 D.3 二、填空题 4.(2023·辽宁·辽宁实验中学校考模拟预测)在 中,若 ,则 的最大值为______. 5.(2023春·甘肃张掖·高三高台县第一中学校考阶段练习)已知 , ,则 的最大值为________. 6.(2023·全国·高三专题练习)已知 , ,则正常数p 5的值为________. 6