当前位置:首页>文档>第25讲解三角形(精讲)一轮复习讲义2024年高考数学高频考点题型归纳与方法总结(新高考通用)解析版_02高考数学_新高考复习资料_2024年新高考资料_一轮复习资料

第25讲解三角形(精讲)一轮复习讲义2024年高考数学高频考点题型归纳与方法总结(新高考通用)解析版_02高考数学_新高考复习资料_2024年新高考资料_一轮复习资料

  • 2026-04-18 09:00:21 2026-04-18 08:20:13

文档预览

第25讲解三角形(精讲)一轮复习讲义2024年高考数学高频考点题型归纳与方法总结(新高考通用)解析版_02高考数学_新高考复习资料_2024年新高考资料_一轮复习资料
第25讲解三角形(精讲)一轮复习讲义2024年高考数学高频考点题型归纳与方法总结(新高考通用)解析版_02高考数学_新高考复习资料_2024年新高考资料_一轮复习资料
第25讲解三角形(精讲)一轮复习讲义2024年高考数学高频考点题型归纳与方法总结(新高考通用)解析版_02高考数学_新高考复习资料_2024年新高考资料_一轮复习资料
第25讲解三角形(精讲)一轮复习讲义2024年高考数学高频考点题型归纳与方法总结(新高考通用)解析版_02高考数学_新高考复习资料_2024年新高考资料_一轮复习资料
第25讲解三角形(精讲)一轮复习讲义2024年高考数学高频考点题型归纳与方法总结(新高考通用)解析版_02高考数学_新高考复习资料_2024年新高考资料_一轮复习资料
第25讲解三角形(精讲)一轮复习讲义2024年高考数学高频考点题型归纳与方法总结(新高考通用)解析版_02高考数学_新高考复习资料_2024年新高考资料_一轮复习资料
第25讲解三角形(精讲)一轮复习讲义2024年高考数学高频考点题型归纳与方法总结(新高考通用)解析版_02高考数学_新高考复习资料_2024年新高考资料_一轮复习资料
第25讲解三角形(精讲)一轮复习讲义2024年高考数学高频考点题型归纳与方法总结(新高考通用)解析版_02高考数学_新高考复习资料_2024年新高考资料_一轮复习资料
第25讲解三角形(精讲)一轮复习讲义2024年高考数学高频考点题型归纳与方法总结(新高考通用)解析版_02高考数学_新高考复习资料_2024年新高考资料_一轮复习资料
第25讲解三角形(精讲)一轮复习讲义2024年高考数学高频考点题型归纳与方法总结(新高考通用)解析版_02高考数学_新高考复习资料_2024年新高考资料_一轮复习资料
第25讲解三角形(精讲)一轮复习讲义2024年高考数学高频考点题型归纳与方法总结(新高考通用)解析版_02高考数学_新高考复习资料_2024年新高考资料_一轮复习资料
第25讲解三角形(精讲)一轮复习讲义2024年高考数学高频考点题型归纳与方法总结(新高考通用)解析版_02高考数学_新高考复习资料_2024年新高考资料_一轮复习资料
第25讲解三角形(精讲)一轮复习讲义2024年高考数学高频考点题型归纳与方法总结(新高考通用)解析版_02高考数学_新高考复习资料_2024年新高考资料_一轮复习资料
第25讲解三角形(精讲)一轮复习讲义2024年高考数学高频考点题型归纳与方法总结(新高考通用)解析版_02高考数学_新高考复习资料_2024年新高考资料_一轮复习资料
第25讲解三角形(精讲)一轮复习讲义2024年高考数学高频考点题型归纳与方法总结(新高考通用)解析版_02高考数学_新高考复习资料_2024年新高考资料_一轮复习资料
第25讲解三角形(精讲)一轮复习讲义2024年高考数学高频考点题型归纳与方法总结(新高考通用)解析版_02高考数学_新高考复习资料_2024年新高考资料_一轮复习资料
第25讲解三角形(精讲)一轮复习讲义2024年高考数学高频考点题型归纳与方法总结(新高考通用)解析版_02高考数学_新高考复习资料_2024年新高考资料_一轮复习资料
第25讲解三角形(精讲)一轮复习讲义2024年高考数学高频考点题型归纳与方法总结(新高考通用)解析版_02高考数学_新高考复习资料_2024年新高考资料_一轮复习资料
第25讲解三角形(精讲)一轮复习讲义2024年高考数学高频考点题型归纳与方法总结(新高考通用)解析版_02高考数学_新高考复习资料_2024年新高考资料_一轮复习资料
第25讲解三角形(精讲)一轮复习讲义2024年高考数学高频考点题型归纳与方法总结(新高考通用)解析版_02高考数学_新高考复习资料_2024年新高考资料_一轮复习资料
第25讲解三角形(精讲)一轮复习讲义2024年高考数学高频考点题型归纳与方法总结(新高考通用)解析版_02高考数学_新高考复习资料_2024年新高考资料_一轮复习资料
第25讲解三角形(精讲)一轮复习讲义2024年高考数学高频考点题型归纳与方法总结(新高考通用)解析版_02高考数学_新高考复习资料_2024年新高考资料_一轮复习资料
第25讲解三角形(精讲)一轮复习讲义2024年高考数学高频考点题型归纳与方法总结(新高考通用)解析版_02高考数学_新高考复习资料_2024年新高考资料_一轮复习资料
第25讲解三角形(精讲)一轮复习讲义2024年高考数学高频考点题型归纳与方法总结(新高考通用)解析版_02高考数学_新高考复习资料_2024年新高考资料_一轮复习资料
第25讲解三角形(精讲)一轮复习讲义2024年高考数学高频考点题型归纳与方法总结(新高考通用)解析版_02高考数学_新高考复习资料_2024年新高考资料_一轮复习资料
第25讲解三角形(精讲)一轮复习讲义2024年高考数学高频考点题型归纳与方法总结(新高考通用)解析版_02高考数学_新高考复习资料_2024年新高考资料_一轮复习资料
第25讲解三角形(精讲)一轮复习讲义2024年高考数学高频考点题型归纳与方法总结(新高考通用)解析版_02高考数学_新高考复习资料_2024年新高考资料_一轮复习资料
第25讲解三角形(精讲)一轮复习讲义2024年高考数学高频考点题型归纳与方法总结(新高考通用)解析版_02高考数学_新高考复习资料_2024年新高考资料_一轮复习资料
第25讲解三角形(精讲)一轮复习讲义2024年高考数学高频考点题型归纳与方法总结(新高考通用)解析版_02高考数学_新高考复习资料_2024年新高考资料_一轮复习资料
第25讲解三角形(精讲)一轮复习讲义2024年高考数学高频考点题型归纳与方法总结(新高考通用)解析版_02高考数学_新高考复习资料_2024年新高考资料_一轮复习资料
第25讲解三角形(精讲)一轮复习讲义2024年高考数学高频考点题型归纳与方法总结(新高考通用)解析版_02高考数学_新高考复习资料_2024年新高考资料_一轮复习资料
第25讲解三角形(精讲)一轮复习讲义2024年高考数学高频考点题型归纳与方法总结(新高考通用)解析版_02高考数学_新高考复习资料_2024年新高考资料_一轮复习资料
第25讲解三角形(精讲)一轮复习讲义2024年高考数学高频考点题型归纳与方法总结(新高考通用)解析版_02高考数学_新高考复习资料_2024年新高考资料_一轮复习资料
第25讲解三角形(精讲)一轮复习讲义2024年高考数学高频考点题型归纳与方法总结(新高考通用)解析版_02高考数学_新高考复习资料_2024年新高考资料_一轮复习资料
第25讲解三角形(精讲)一轮复习讲义2024年高考数学高频考点题型归纳与方法总结(新高考通用)解析版_02高考数学_新高考复习资料_2024年新高考资料_一轮复习资料
第25讲解三角形(精讲)一轮复习讲义2024年高考数学高频考点题型归纳与方法总结(新高考通用)解析版_02高考数学_新高考复习资料_2024年新高考资料_一轮复习资料
第25讲解三角形(精讲)一轮复习讲义2024年高考数学高频考点题型归纳与方法总结(新高考通用)解析版_02高考数学_新高考复习资料_2024年新高考资料_一轮复习资料
第25讲解三角形(精讲)一轮复习讲义2024年高考数学高频考点题型归纳与方法总结(新高考通用)解析版_02高考数学_新高考复习资料_2024年新高考资料_一轮复习资料
第25讲解三角形(精讲)一轮复习讲义2024年高考数学高频考点题型归纳与方法总结(新高考通用)解析版_02高考数学_新高考复习资料_2024年新高考资料_一轮复习资料
第25讲解三角形(精讲)一轮复习讲义2024年高考数学高频考点题型归纳与方法总结(新高考通用)解析版_02高考数学_新高考复习资料_2024年新高考资料_一轮复习资料
第25讲解三角形(精讲)一轮复习讲义2024年高考数学高频考点题型归纳与方法总结(新高考通用)解析版_02高考数学_新高考复习资料_2024年新高考资料_一轮复习资料
第25讲解三角形(精讲)一轮复习讲义2024年高考数学高频考点题型归纳与方法总结(新高考通用)解析版_02高考数学_新高考复习资料_2024年新高考资料_一轮复习资料
第25讲解三角形(精讲)一轮复习讲义2024年高考数学高频考点题型归纳与方法总结(新高考通用)解析版_02高考数学_新高考复习资料_2024年新高考资料_一轮复习资料
第25讲解三角形(精讲)一轮复习讲义2024年高考数学高频考点题型归纳与方法总结(新高考通用)解析版_02高考数学_新高考复习资料_2024年新高考资料_一轮复习资料
第25讲解三角形(精讲)一轮复习讲义2024年高考数学高频考点题型归纳与方法总结(新高考通用)解析版_02高考数学_新高考复习资料_2024年新高考资料_一轮复习资料
第25讲解三角形(精讲)一轮复习讲义2024年高考数学高频考点题型归纳与方法总结(新高考通用)解析版_02高考数学_新高考复习资料_2024年新高考资料_一轮复习资料
第25讲解三角形(精讲)一轮复习讲义2024年高考数学高频考点题型归纳与方法总结(新高考通用)解析版_02高考数学_新高考复习资料_2024年新高考资料_一轮复习资料
第25讲解三角形(精讲)一轮复习讲义2024年高考数学高频考点题型归纳与方法总结(新高考通用)解析版_02高考数学_新高考复习资料_2024年新高考资料_一轮复习资料
第25讲解三角形(精讲)一轮复习讲义2024年高考数学高频考点题型归纳与方法总结(新高考通用)解析版_02高考数学_新高考复习资料_2024年新高考资料_一轮复习资料
第25讲解三角形(精讲)一轮复习讲义2024年高考数学高频考点题型归纳与方法总结(新高考通用)解析版_02高考数学_新高考复习资料_2024年新高考资料_一轮复习资料
第25讲解三角形(精讲)一轮复习讲义2024年高考数学高频考点题型归纳与方法总结(新高考通用)解析版_02高考数学_新高考复习资料_2024年新高考资料_一轮复习资料
第25讲解三角形(精讲)一轮复习讲义2024年高考数学高频考点题型归纳与方法总结(新高考通用)解析版_02高考数学_新高考复习资料_2024年新高考资料_一轮复习资料
第25讲解三角形(精讲)一轮复习讲义2024年高考数学高频考点题型归纳与方法总结(新高考通用)解析版_02高考数学_新高考复习资料_2024年新高考资料_一轮复习资料
第25讲解三角形(精讲)一轮复习讲义2024年高考数学高频考点题型归纳与方法总结(新高考通用)解析版_02高考数学_新高考复习资料_2024年新高考资料_一轮复习资料
第25讲解三角形(精讲)一轮复习讲义2024年高考数学高频考点题型归纳与方法总结(新高考通用)解析版_02高考数学_新高考复习资料_2024年新高考资料_一轮复习资料
第25讲解三角形(精讲)一轮复习讲义2024年高考数学高频考点题型归纳与方法总结(新高考通用)解析版_02高考数学_新高考复习资料_2024年新高考资料_一轮复习资料
第25讲解三角形(精讲)一轮复习讲义2024年高考数学高频考点题型归纳与方法总结(新高考通用)解析版_02高考数学_新高考复习资料_2024年新高考资料_一轮复习资料
第25讲解三角形(精讲)一轮复习讲义2024年高考数学高频考点题型归纳与方法总结(新高考通用)解析版_02高考数学_新高考复习资料_2024年新高考资料_一轮复习资料
第25讲解三角形(精讲)一轮复习讲义2024年高考数学高频考点题型归纳与方法总结(新高考通用)解析版_02高考数学_新高考复习资料_2024年新高考资料_一轮复习资料
第25讲解三角形(精讲)一轮复习讲义2024年高考数学高频考点题型归纳与方法总结(新高考通用)解析版_02高考数学_新高考复习资料_2024年新高考资料_一轮复习资料
第25讲解三角形(精讲)一轮复习讲义2024年高考数学高频考点题型归纳与方法总结(新高考通用)解析版_02高考数学_新高考复习资料_2024年新高考资料_一轮复习资料
第25讲解三角形(精讲)一轮复习讲义2024年高考数学高频考点题型归纳与方法总结(新高考通用)解析版_02高考数学_新高考复习资料_2024年新高考资料_一轮复习资料
第25讲解三角形(精讲)一轮复习讲义2024年高考数学高频考点题型归纳与方法总结(新高考通用)解析版_02高考数学_新高考复习资料_2024年新高考资料_一轮复习资料
第25讲解三角形(精讲)一轮复习讲义2024年高考数学高频考点题型归纳与方法总结(新高考通用)解析版_02高考数学_新高考复习资料_2024年新高考资料_一轮复习资料
第25讲解三角形(精讲)一轮复习讲义2024年高考数学高频考点题型归纳与方法总结(新高考通用)解析版_02高考数学_新高考复习资料_2024年新高考资料_一轮复习资料
第25讲解三角形(精讲)一轮复习讲义2024年高考数学高频考点题型归纳与方法总结(新高考通用)解析版_02高考数学_新高考复习资料_2024年新高考资料_一轮复习资料
第25讲解三角形(精讲)一轮复习讲义2024年高考数学高频考点题型归纳与方法总结(新高考通用)解析版_02高考数学_新高考复习资料_2024年新高考资料_一轮复习资料
第25讲解三角形(精讲)一轮复习讲义2024年高考数学高频考点题型归纳与方法总结(新高考通用)解析版_02高考数学_新高考复习资料_2024年新高考资料_一轮复习资料
第25讲解三角形(精讲)一轮复习讲义2024年高考数学高频考点题型归纳与方法总结(新高考通用)解析版_02高考数学_新高考复习资料_2024年新高考资料_一轮复习资料
第25讲解三角形(精讲)一轮复习讲义2024年高考数学高频考点题型归纳与方法总结(新高考通用)解析版_02高考数学_新高考复习资料_2024年新高考资料_一轮复习资料
第25讲解三角形(精讲)一轮复习讲义2024年高考数学高频考点题型归纳与方法总结(新高考通用)解析版_02高考数学_新高考复习资料_2024年新高考资料_一轮复习资料
第25讲解三角形(精讲)一轮复习讲义2024年高考数学高频考点题型归纳与方法总结(新高考通用)解析版_02高考数学_新高考复习资料_2024年新高考资料_一轮复习资料
第25讲解三角形(精讲)一轮复习讲义2024年高考数学高频考点题型归纳与方法总结(新高考通用)解析版_02高考数学_新高考复习资料_2024年新高考资料_一轮复习资料

文档信息

文档格式
docx
文档大小
4.131 MB
文档页数
69 页
上传时间
2026-04-18 08:20:13

文档内容

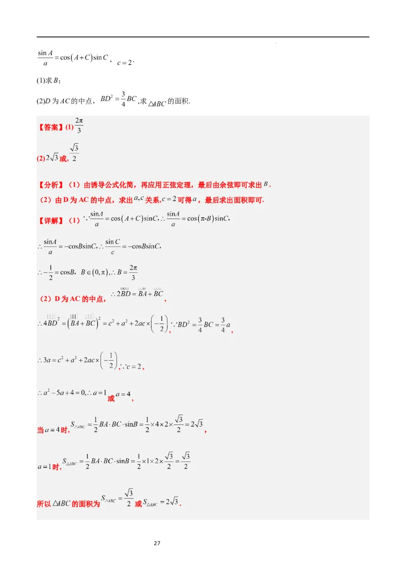
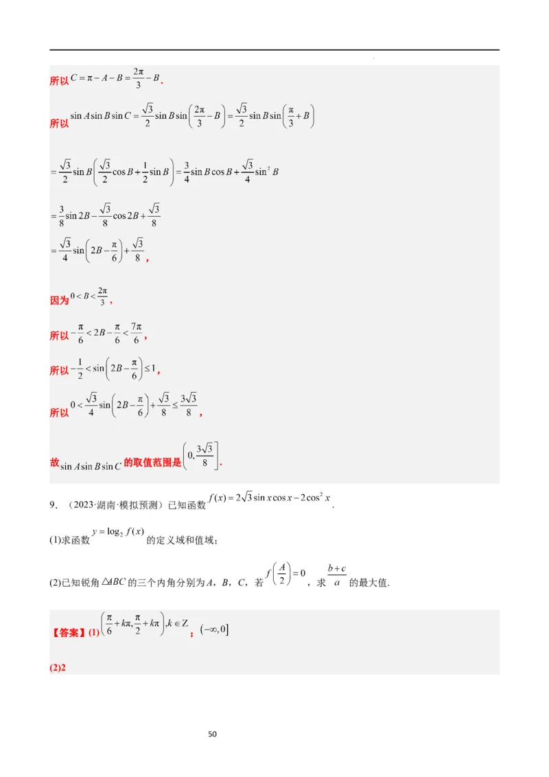
【一轮复习讲义】2024年高考数学高频考点题型归纳与方法总结(新高考通用) 第 25 讲 解三角形(精讲) 题型目录一览 ①正弦、余弦定理的应用 ②解三角形面积问题 ③判断三角形形状 ④解三角形与三角函数综合 ⑤解三角形的实际应用 一、知识点梳理 一、正余弦定理和面积公式 (1)正余弦定理:在△ABC中,角A,B,C所对的边分别是a,b,c,R为△ABC外接圆半径,则 定理 正弦定理 余弦定理 ; 公式 ; . (1) , , ; ; 常见变形 (2) , , ; ; . (2)面积公式: (r是三角形内切圆的半径,并可由此计算R,r. ) 二、公式的相关应用 (1)正弦定理的应用 ①边化角,角化边 ②大边对大角 大角对大边 学科网(北京)股份有限公司 1③合分比: (2) 内角和定理: ① ② ; ③在 中,内角 成等差数列 . 三、解三角形的实际应用 (1)仰角和俯角 在视线和水平线所成的角中,视线在水平线上方的角叫仰角,在水平线下方的角叫俯角(如图①). (2)方位角 从指北方向顺时针转到目标方向线的水平角,如B点的方位角为α(如图②). (3)方向角:相对于某一正方向的水平角. (1)北偏东α,即由指北方向顺时针旋转α到达目标方向(如图③). (2)北偏西α,即由指北方向逆时针旋转α到达目标方向. (3)南偏西等其他方向角类似. (4)坡角与坡度 (1)坡角:坡面与水平面所成的二面角的度数(如图④,角θ为坡角). (2)坡度:坡面的铅直高度与水平长度之比(如图④,i为坡度).坡度又称为坡比. 【常用结论】 1.解三角形多解情况 在△ABC中,已知a,b和A时,解的情况如下: A为锐角 A为钝角或直角 图形 关系式 解的个数 一解 两解 一解 一解 无解 2.(1)在解三角形题目中,若已知条件同时含有边和角,但不能直接使用正弦定理或余弦定理得到答案, 学科网(北京)股份有限公司 2要选择“边化角”或“角化边” (2)含有面积公式的问题,要考虑结合余弦定理使用; (3)同时出现两个自由角(或三个自由角)时,要用到 . 二、题型分类精讲 题型 一 正弦、 余弦 定理的应用 策略方法 正余弦定理解三角形 (1)已知两角A,B与一边a,由A+B+C=π及==,可先求出角C及b,再求出c. (2)已知两边b,c及其夹角A,由a2=b2+c2-2bccos A,先求出a,再求出角B,C. (3)已知三边a,b,c,由余弦定理可求出角A,B,C. (4)已知两边a,b及其中一边的对角A,由正弦定理=可求出另一边b的对角B,由C=π-(A +B),可求出角C,再由=可求出c,而通过=求角B时,可能有一解或两解或无解的情况. 【典例1】(单选题) 的内角 的对边分别为 ,若 ,则 ( ) A. B. C. 或 D. 或 【答案】D 【分析】利用正弦定理以及大边对大角即可求解. 【详解】因为 , 则由正弦定理可得: , 又 ,且 , 所以 或 . 故选: . 【典例2】(单选题)在 中,角 、 、 的对边分别为 、 、 .若 , 则 ( ) A. B. C. D. 【答案】D 学科网(北京)股份有限公司 3【分析】利用正弦定理结合余弦定理可求得 的值. 【详解】因为 ,由正弦定理可得 , 设 ,则 , , 由余弦定理可得 . 故选:D. 【典例3】(单选题)在 中,若 , ,则 ( ) A. B. C. D. 【答案】C 【分析】根据题意,结合正弦定理求得 ,再由余弦定理,即可求解. 【详解】因为 ,由正弦定理可得 ,且 , 由余弦定理可得: . 故选:C. 【题型训练】 一、单选题 1.(2023·全国·高三专题练习)在 中, ,则 ( ) A. B. C. D. 【答案】B 【分析】利用正弦定理的边角变换与余弦定理即可得解. 【详解】因为 , 所以由正弦定理得 ,即 , 则 ,故 , 又 ,所以 . 故选:B. 2.(2023·全国·高三专题练习)在 中,若 ,则 最大角和最小角之 学科网(北京)股份有限公司 4和为( ) A. B. C. D. 【答案】D 【分析】利用正弦定理,推出三条边的比值,通过余弦定理求解中间角的大小,即可得出结果. 【详解】由正弦定理得, , 所以最大角为 ,最小角为 , 所以设 , , 则由余弦定理得, , 又 ,所以 , . 故选:D 3.(2023·四川南充·阆中中学校考二模)设△ 的内角A,B,C所对的边分别为a,b,c,若3a=b, ,则 的值为( ) A. B. C. D. 【答案】B 【分析】先利用正弦定理求得 的值,再利用二倍角的余弦公式即可求得 的值. 【详解】由正弦定理可知 , 故选:B. 4.(2023春·广东茂名·高三统考阶段练习)在 中,内角A,B,C的对边分别是a,b,c,若 , ,则A=( ) A. B. C. D. 学科网(北京)股份有限公司 5【答案】B 【分析】由正弦定理得到 ,利用余弦定理得到 ,求出答案. 【详解】 ,由正弦定理得 , 因为 ,所以由余弦定理得 , 因为 ,所以 . 故选:B 5.(2023·河南·洛宁县第一高级中学校联考模拟预测)△ABC的内角A,B,C的对边分别为a,b,c,已 知 , ,则c=( ) A.4 B.6 C. D. 【答案】D 【分析】根据正弦定理化边为角有 ,再利用两角和与差的正弦公式有 ,再利用正弦定理进行化角为边有 . 【详解】因为 ,根据正弦定理得 , 移项得 , 即 ,即 , 则根据正弦定理有 . 故选:D. 6.(2023·全国·高三专题练习)在 中,内角 的对边分别是 ,若 ,且 学科网(北京)股份有限公司 6,则 ( ) A. B. C. D. 【答案】C 【分析】首先利用正弦定理边化角,然后结合诱导公式和两角和的正弦公式求得 的值,最后利用三角 形内角和定理可得 的值. 【详解】由题意结合正弦定理可得 , 即 , 整理可得 ,由于 ,故 , 据此可得 , 则 . 故选:C. 7.(2023春·湖南·高三校联考阶段练习)在 中,内角 的对边分别为 ,且满足 ,若 ,则 外接圆的半径长为( ) A. B.1 C. D. 【答案】B 【分析】由余弦定理结合题意可得出 ,再由正弦定理即可求出 外接圆的半径长. 【详解】由 可得 , 再由余弦定理可得: , 故 ,因为 ,所以 则 . 故选:B. 学科网(北京)股份有限公司 78.(2023·河南·襄城高中校联考三模)在 中,角A,B,C的对边分别为a,b,c,若 且 , ,则 ( ) A. B. C.8 D.4 【答案】D 【分析】由 可得 ,求出 ,利用正弦定理可得答案. 【详解】在 中,由 可得 , 即 所以 ,因为 , 所以 ,且 , 所以 ,又 ,可得 , 由正弦定理可得 . 故选:D. 二、多选题 9.(2023·全国·高三专题练习)已知 中,角A,B,C所对的边分别为a,b,c,下列条件中,能使 的形状唯一确定的有( ) A. B. C. D. 【答案】ACD 【分析】利用余弦定理可判断A;利用正弦定理可判断B、D;利用三角形的内角和以及正弦定理可判断 C. 【详解】对于A,由余弦定理可得 ,解得 ,故A正确; 对于B,根据正弦定理: ,可得 , 学科网(北京)股份有限公司 8又因为 ,所以 ,所以 或 ,故B不正确; 对于C,由三角形的内角和可知 ,又 ,利用正弦定理 ,可知 均有唯一 值,故C正确; 对于D,根据正弦定理: ,可得 , 又因为 ,所以 ,所以 只能是锐角,故D正确; 故选:ACD 10.(2023春·河北承德·高三河北省隆化存瑞中学校考阶段练习)在 中,内角 所对的边分别 为 ,下列命题中,正确的是( ) A.在 中,若 ,则 B.在 中,若 , ,则 C.在 中,若 ,则 D.在 中, 【答案】ABD 【分析】利用正弦定理边角互化计算判断ABD;由sin2A=sin2B确定角A,B的关系判断C作答. 【详解】在△ABC中,由sin A=sinB及正弦定理得:a=b,因此A=B,A正确; 在△ABC中,由sinC=2sinA及正弦定理得:AB=2BC=2√5,B正确; 在△ABC中,0