当前位置:首页>文档>知识点45:验证机械能守恒定律(拔尖原卷版)_04高考物理_新高考复习资料_2024新高考复习资料_一轮复习资料_拔尖版2024届高考物理一轮复习讲义及对应练习

知识点45:验证机械能守恒定律(拔尖原卷版)_04高考物理_新高考复习资料_2024新高考复习资料_一轮复习资料_拔尖版2024届高考物理一轮复习讲义及对应练习

  • 2026-04-20 01:36:18 2026-04-20 01:36:18

文档预览

知识点45:验证机械能守恒定律(拔尖原卷版)_04高考物理_新高考复习资料_2024新高考复习资料_一轮复习资料_拔尖版2024届高考物理一轮复习讲义及对应练习
知识点45:验证机械能守恒定律(拔尖原卷版)_04高考物理_新高考复习资料_2024新高考复习资料_一轮复习资料_拔尖版2024届高考物理一轮复习讲义及对应练习
知识点45:验证机械能守恒定律(拔尖原卷版)_04高考物理_新高考复习资料_2024新高考复习资料_一轮复习资料_拔尖版2024届高考物理一轮复习讲义及对应练习
知识点45:验证机械能守恒定律(拔尖原卷版)_04高考物理_新高考复习资料_2024新高考复习资料_一轮复习资料_拔尖版2024届高考物理一轮复习讲义及对应练习
知识点45:验证机械能守恒定律(拔尖原卷版)_04高考物理_新高考复习资料_2024新高考复习资料_一轮复习资料_拔尖版2024届高考物理一轮复习讲义及对应练习
知识点45:验证机械能守恒定律(拔尖原卷版)_04高考物理_新高考复习资料_2024新高考复习资料_一轮复习资料_拔尖版2024届高考物理一轮复习讲义及对应练习
知识点45:验证机械能守恒定律(拔尖原卷版)_04高考物理_新高考复习资料_2024新高考复习资料_一轮复习资料_拔尖版2024届高考物理一轮复习讲义及对应练习
知识点45:验证机械能守恒定律(拔尖原卷版)_04高考物理_新高考复习资料_2024新高考复习资料_一轮复习资料_拔尖版2024届高考物理一轮复习讲义及对应练习
知识点45:验证机械能守恒定律(拔尖原卷版)_04高考物理_新高考复习资料_2024新高考复习资料_一轮复习资料_拔尖版2024届高考物理一轮复习讲义及对应练习
知识点45:验证机械能守恒定律(拔尖原卷版)_04高考物理_新高考复习资料_2024新高考复习资料_一轮复习资料_拔尖版2024届高考物理一轮复习讲义及对应练习
知识点45:验证机械能守恒定律(拔尖原卷版)_04高考物理_新高考复习资料_2024新高考复习资料_一轮复习资料_拔尖版2024届高考物理一轮复习讲义及对应练习
知识点45:验证机械能守恒定律(拔尖原卷版)_04高考物理_新高考复习资料_2024新高考复习资料_一轮复习资料_拔尖版2024届高考物理一轮复习讲义及对应练习
知识点45:验证机械能守恒定律(拔尖原卷版)_04高考物理_新高考复习资料_2024新高考复习资料_一轮复习资料_拔尖版2024届高考物理一轮复习讲义及对应练习

文档信息

文档格式
docx
文档大小
1.290 MB
文档页数
9 页
上传时间
2026-04-20 01:36:18

文档内容

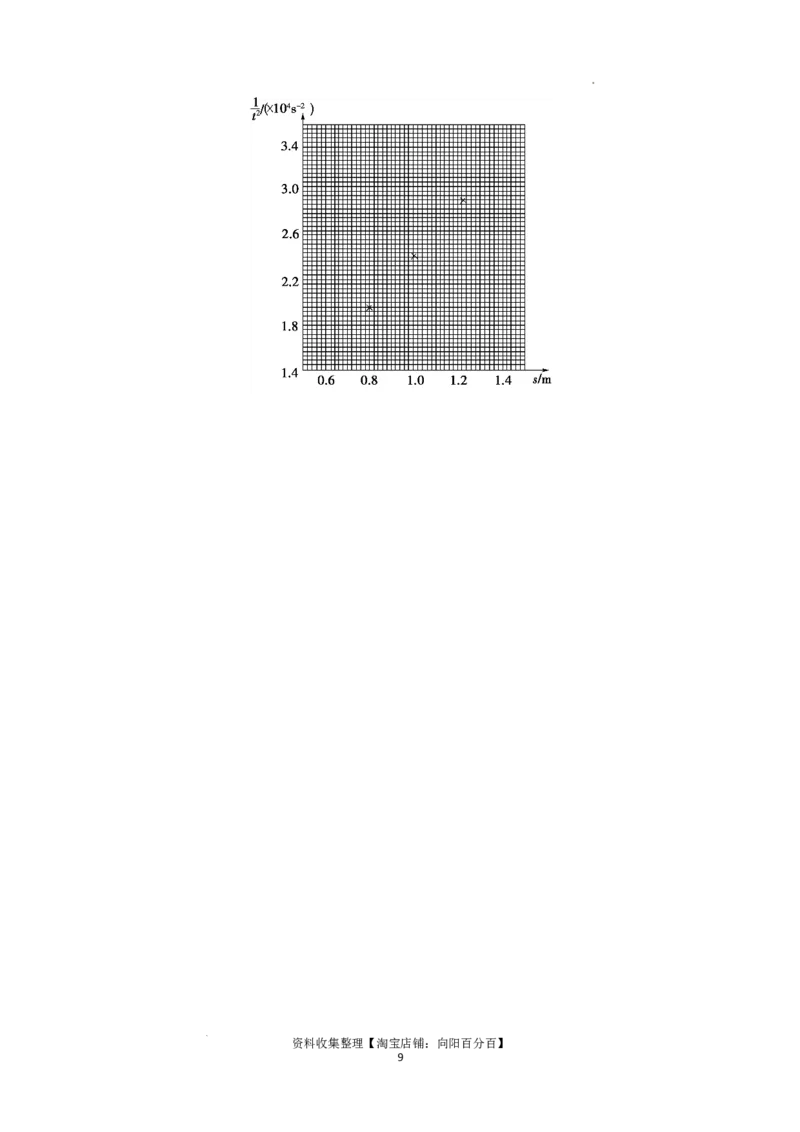
知识点 45:验证机械能守恒定律 考点一:教材原型实验 【知识思维方法技巧】 【典例1拔尖题】 “验证机械能守恒定律”的实验装置如图甲所示,图乙为实验所得的一 资料收集整理【淘宝店铺:向阳百分百】 1 学科网(北京)股份有限公司条纸带,在纸带上选取了点迹清晰的连续的 7个点,若只测出了点4与点0之间的距离为 h 以及点6与点0的距离h ,已知打点周期为T,当地重力加速度为g.(以下的三个结论均 4 6 由题中所给符号表示) (1)打点5时重物的速度v=________; (2)由已知条件从理论上计算点5到点0的距离h=________; 5 (3)若打点0时重物的速度为零,则要验证从点 0到点5间重物下落过程中机械能守恒的等 式为________________. 【典例1拔尖题对应练习】在“验证机械能守恒定律”实验中,小王用如图1所示的装置, 让重物从静止开始下落,打出一条清晰的纸带,其中的一部分如图2所示.O点是打下的 第一个点,A、B、C和D为另外4个连续打下的点. (1)为了减小实验误差,对体积和形状相同的重物,实验时选择密度大的理由是______. (2)已知交流电频率为50 Hz,重物质量为200 g,当地重力加速度g=9.80 m/s2,则从O点 到C点,重物的重力势能变化量的绝对值|ΔE |=________ J、C点的动能E =________ p kC J(计算结果均保留三位有效数字).比较E 与|ΔE |的大小,出现这一结果的原因可能是 kC p 资料收集整理【淘宝店铺:向阳百分百】 2 学科网(北京)股份有限公司________. A.工作电压偏高 B.存在空气阻力和摩擦力 C.接通电源前释放了纸带 考点二:实验器材的改进 【知识思维方法技巧】 速度测量方法的创新: 从测量纸带上各点速度→ 题型一:应用落体法+光电门或频闪摄影(手机)验证机械能守恒定律 【典例1拔尖题】某兴趣小组的实验装置如图所示,通过电磁铁控制的小球从A点自由下 落,下落过程中经过光电门B时,通过与之相连的毫秒计时器(图中未画出)记录下挡光时 间t,测出A、B之间的距离h.实验前应调整光电门位置使小球下落过程中球心通过光电门 中的激光束. (1)若用该套装置验证机械能守恒,已知重力加速度为g,还需要测量的物理量为________. A.A点与地面间的距离H B.小球的质量m C.小球从A到B的下落时间t AB D.小球的直径d (2)用游标卡尺测得小球直径如图所示,则小球直径为________ cm,某次小球通过光电门毫 秒计数器的读数为3 ms,则该次小球通过光电门B时的瞬时速度大小为v=________ m/s. (3)若用该套装置进行“探究做功和物体速度变化关系”的实验,大家提出以下几种猜想: W∝v;W∝v2;W∝….然后调节光电门B的位置,计算出小球每次通过光电门B的速度 v 、v 、v 、v…,并测出小球在A、B间的下落高度h 、h 、h 、h…,然后绘制了如图 1 2 3 4 1 2 3 4 所示的h-v图象.若为了更直观地看出h和v的函数关系,他们下一步应该重新绘制( 资料收集整理【淘宝店铺:向阳百分百】 3 学科网(北京)股份有限公司) A.h-v2图象 B.h- 图象 C.h- 图象 D.h- 图象 【典例1拔尖题对应练习】某同学用如图所示的装置验证机械能守恒定律。 实验步骤如下: (1)用电磁铁吸住一个小铁球,将光电门A固定在立柱上,小铁球底部处于同一竖直位置, 光电门B固定在立柱上的另一位置; (2)切断电磁铁电源,小铁球开始下落,数字计时器测出小铁球通过光电门 A和光电门B的 时间分别为t 、t 。 A B 请回答下列问题: (1)切断电磁铁电源之前,需要调节底座螺丝,使立柱处于__________,以确保小铁球能通 过两个电光门。 (2)实验中还需要测量的物理量是__________(填选项前的字母)。 A.小铁球的质量m B.小铁球的直径d C.光电门A、B间的距离h (3)小铁球经过光电门B时的速度可表示为v =______(用测量的物理量表示)。 B (4)在误差允许范围内,若满足关系式________________,即可验证机械能守恒(用测量的物 理量和重力加速度g表示)。 资料收集整理【淘宝店铺:向阳百分百】 4 学科网(北京)股份有限公司题型二:应用物摆法验证机械能守恒定律 【典例2拔尖题】为了验证小球在竖直平面内摆动过程的机械能是否守恒,利用如图(a)装 置,不可伸长的轻绳一端系住一小球,另一端连接力传感器,小球质量为m,球心到悬挂 点的距离为L,小球释放的位置到最低点的高度差为h,实验记录轻绳拉力大小随时间的 变化如图(b),其中F 是实验中测得的最大拉力值,重力加速度为g,请回答以下问题: m (1)小球第一次运动至最低点的过程,重力势能的减少量ΔE =__________________,动 p 能的增加量ΔE =_______________________。(均用题中所给字母表示) k (2)观察图(b)中拉力峰值随时间变化规律,试分析造成这一结果的主要原因: _______________________________________________________。 (3)为减小实验误差,实验时应选用密度_____________(选填“较大”或“较小”)的小 球。 【典例2拔尖题对应练习】某同学设计了一个用拉力传感器验证机械能守恒定律的实验. 一根轻绳一端连接固定的拉力传感器,另一端连接小钢球,如图甲所示.拉起小钢球至某 一位置由静止释放,使小钢球在竖直平面内摆动,记录钢球摆动过程中拉力传感器示数的 最大值T 和最小值T .改变小钢球的初始释放位置,重复上述过程.根据测量数据在直 max min 角坐标系中绘制的T -T 图像是一条直线,如图乙所示. max min (1)若小钢球摆动过程中机械能守恒.则图乙中直线斜率的理论值为________. (2)由图乙得:直线的斜率为________,小钢球的重力为________ N.(结果均保留2位有效 数字) (3)该实验系统误差的主要来源是________(单选,填正确答案标号). 资料收集整理【淘宝店铺:向阳百分百】 5 学科网(北京)股份有限公司A.小钢球摆动角度偏大 B.小钢球初始释放位置不同 C.小钢球摆动过程中有空气阻力 考点三:测量物理量的变更:验证连接体机械能守恒 题型一:应用打点计时器验证轻绳连接体机械能守恒定律 【典例1拔尖题】某实验小组利用铁架台、弹簧、钩码、打点计时器、刻度尺等器材验证 系统机械能守恒定律,实验装置如图甲所示.弹簧的劲度系数为k,原长为L ,钩码的质 0 量为m.已知弹簧的弹性势能表达式为E=kx2,其中k为弹簧的劲度系数,x为弹簧的形变 量,当地的重力加速度大小为g. (1)在弹性限度内将钩码缓慢下拉至某一位置,测得此时弹簧的长度为 L.接通打点计时器电 源.从静止释放钩码,弹簧收缩,得到了一条点迹清晰的纸带.钩码加速上升阶段的部分 纸带如图乙所示,纸带上相邻两点之间的时间间隔均为T(在误差允许范围内,认为释放钩 码的同时打出 A 点).从打出 A 点到打出 F 点时间内,弹簧的弹性势能减少量为 ________________,钩码的动能增加量为________________,钩码的重力势能增加量为 ________________. (2)利用计算机软件对实验数据进行处理,得到弹簧弹性势能减少量、钩码的机械能增加量 分别与钩码上升高度h的关系,如图丙所示.由图丙可知,随着h增加,两条曲线在纵向 的间隔逐渐变大,主要原因是__________________________________________________. 资料收集整理【淘宝店铺:向阳百分百】 6 学科网(北京)股份有限公司题型二:应用光电门验证连接体机械能守恒定律 【典例2拔尖题】某同学将小球a、b分别固定于一轻杆的两端,杆呈水平且处于静止状态, 释放轻杆使a、b两球随轻杆逆时针转动,用如图甲所示装置验证机械能守恒定律,已知重 力加速度大小为g。 (1)若实验中没有现成的遮光条,用现有的等质量的遮光片替代,用螺旋测微器测量A遮光 片的宽度如图乙所示,其读数为________ mm;用20分度的游标卡尺测量B遮光片的宽度 如图丙所示,其读数为 ________ mm。为了减小实验误差,实验中应选用________遮光片 作为遮光条(选填“A”或“B”)。 (2)若选用遮光片的宽度为d,测出小球a、b(b的质量含遮光片)质量分别为m 和m ,光电 a b 门记录遮光片挡光的时间为Δt,转轴O到a、b球的距离l 和l,光电门在O的正下方,与 a b O 的距离为 l ,如果系统(小球 a、b 以及杆)的机械能守恒,应满足的关系式为 b _________(用题中测量的字母表示)。 题型三:应用光电门+气垫导轨验证连接体机械能守恒定律 【典例3拔尖题】利用气垫导轨验证机械能守恒定律,实验装置如图甲所示,水平桌面上 固定一倾斜的气垫导轨,导轨上A点处有一带长方形遮光片的滑块,其总质量为M,左端 由跨过轻质光滑定滑轮的细绳与一质量为m的小球相连;遮光片两条长边与导轨垂直;导 轨上B点有一光电门,可以测量遮光片经过光电门时的挡光时间t,用d表示A点到光电门 B处的距离,b表示遮光片的宽度,将遮光片通过光电门的平均速度看做滑块通过B点时 的瞬时速度,实验时滑块在A处由静止开始运动. 资料收集整理【淘宝店铺:向阳百分百】 7 学科网(北京)股份有限公司甲 乙 丙 (1)用游标卡尺测量遮光片的宽度b,结果如图乙所示,由此读出b=_____________ mm. (2)滑块通过B点的瞬时速度可表示为__________________. (3)某次实验测得倾角θ=30°,重力加速度用g表示,滑块从A处到达B处时m和M组 成的系统动能增加量可表示为ΔE =______________________________,系统的重力势能 k 减少量可表示为ΔE =_____________________________________,在实验误差允许的范围 p 内,若ΔE =ΔE ,则可认为系统的机械能守恒. k p (4)在上述实验中,某同学改变A、B间的距离,作出的v2-d图象如图丙所示,并测得M =m,则重力加速度g=_____________ m/s2. 【典例3拔尖题对应练习】现要通过实验验证机械能守恒定律.实验装置如图所示水平桌 面上固定一倾斜的气垫导轨;导轨上A点处有一带长方形遮光片的滑块,其总质量为M, 左端由跨过轻质光滑定滑轮的细绳与一质量为m的砝码相连;遮光片两条长边与导轨垂直; 导轨上B点有一光电门,可以测量遮光片经过光电门时的挡光时间t,用d表示A点到导轨 底端C点的距离,h表示A与C的高度差,b表示遮光片的宽度,s表示A、B两点的距离, 将遮光片通过光电门的平均速度看作滑块通过B点时的瞬时速度.用g表示重力加速度. 完成下列填空和作图. (1)若将滑块自A点由静止释放,则在滑块从A运动至B的过程中,滑块、遮光片与砝码组 成的系统重力势能的减小量可表示为______.动能的增加量可表示为________.若在运动 过程中机械能守恒,与s的关系式为=________. (2)多次改变光电门的位置,每次均令滑块自同一点(A点)下滑,测量相应的s与t值.结果 如表所示: 1 2 3 4 5 s/m 0.600 0.800 1.000 1.200 1.400 t/ms 8.22 7.17 6.44 5.85 5.43 /×104 s-2 1.48 1.95 2.41 2.92 3.39 以s为横坐标,为纵坐标,在坐标纸中描出第1和第5个数据点;根据5个数据点作直线, 求得该直线的斜率k=__________×104 m-1·s-2(保留3位有效数字).由测得的h、d、b、 M和m数值可以计算出-s直线的斜率k ,将k和k 进行比较,若其差值在实验允许的范 0 0 围内,则可认为此实验验证了机械能守恒定律. 资料收集整理【淘宝店铺:向阳百分百】 8 学科网(北京)股份有限公司资料收集整理【淘宝店铺:向阳百分百】 9 学科网(北京)股份有限公司