当前位置:首页>文档>课文15《一分钟》(教学设计)-(统编版.2024)_一年级语文下册(统编版)_教学设计

课文15《一分钟》(教学设计)-(统编版.2024)_一年级语文下册(统编版)_教学设计

  • 2026-04-02 11:59:24 2026-01-31 11:39:18

文档预览

课文15《一分钟》(教学设计)-(统编版.2024)_一年级语文下册(统编版)_教学设计
课文15《一分钟》(教学设计)-(统编版.2024)_一年级语文下册(统编版)_教学设计
课文15《一分钟》(教学设计)-(统编版.2024)_一年级语文下册(统编版)_教学设计
课文15《一分钟》(教学设计)-(统编版.2024)_一年级语文下册(统编版)_教学设计
课文15《一分钟》(教学设计)-(统编版.2024)_一年级语文下册(统编版)_教学设计
课文15《一分钟》(教学设计)-(统编版.2024)_一年级语文下册(统编版)_教学设计
课文15《一分钟》(教学设计)-(统编版.2024)_一年级语文下册(统编版)_教学设计
课文15《一分钟》(教学设计)-(统编版.2024)_一年级语文下册(统编版)_教学设计

文档信息

文档格式
docx
文档大小
0.936 MB
文档页数
4 页
上传时间
2026-01-31 11:39:18

文档内容

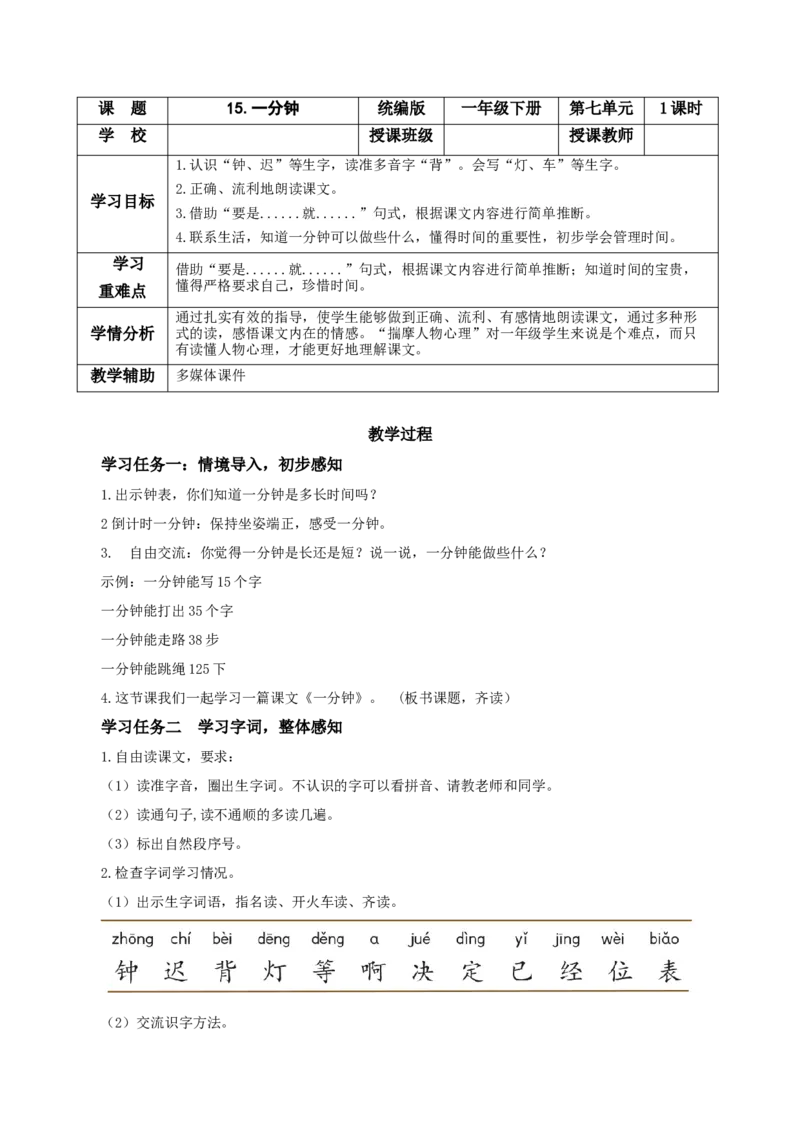
课 题 15.一分钟 统编版 一年级下册 第七单元 1课时 学 校 授课班级 授课教师 1.认识“钟、迟”等生字,读准多音字“背”。会写“灯、车”等生字。 2.正确、流利地朗读课文。 学习目标 3.借助“要是......就......”句式,根据课文内容进行简单推断。 4.联系生活,知道一分钟可以做些什么,懂得时间的重要性,初步学会管理时间。 学习 借助“要是......就......”句式,根据课文内容进行简单推断;知道时间的宝贵, 懂得严格要求自己,珍惜时间。 重难点 通过扎实有效的指导,使学生能够做到正确、流利、有感情地朗读课文,通过多种形 学情分析 式的读,感悟课文内在的情感。“揣摩人物心理”对一年级学生来说是个难点,而只 有读懂人物心理,才能更好地理解课文。 教学辅助 多媒体课件 教学过程 学习任务一:情境导入,初步感知 1.出示钟表,你们知道一分钟是多长时间吗? 2倒计时一分钟:保持坐姿端正,感受一分钟。 3. 自由交流:你觉得一分钟是长还是短?说一说,一分钟能做些什么? 示例:一分钟能写15个字 一分钟能打出35个字 一分钟能走路38步 一分钟能跳绳125下 4.这节课我们一起学习一篇课文《一分钟》。 (板书课题,齐读) 学习任务二 学习字词,整体感知 1.自由读课文,要求: (1)读准字音,圈出生字词。不认识的字可以看拼音、请教老师和同学。 (2)读通句子,读不通顺的多读几遍。 (3)标出自然段序号。 2.检查字词学习情况。 (1)出示生字词语,指名读、开火车读、齐读。 (2)交流识字方法。对比:已——己 表——衣 决——快——块 钟——种 经——轻 熟字组新词: 钟:钟头 时钟 一分钟 定:一定 肯定 约定 决:决心 坚决 决定 表:钟表 表现 表达 (3)学习多音字“背”。 (4)同桌玩抽卡认读生字的游戏。 4.再读课文,整体感知 齐读课文,边读边思考《一分钟》这篇课文讲了一件什么事呢?(元元因为多睡了一分钟,所以他迟 到了二十分钟。) 学习任务三:指导朗读,理解课文 1.探究原因,引发质疑 为什么元元多睡了一分钟,却迟到了二十分钟呢? (元元因为多睡了一分钟,上学路上经历的两件事,结果导致上学迟到了二十分钟。) 2. “丁零零”是个ABB式词语。这样的词语你还能说出几个吗? 示例:哗啦啦 轰隆隆 闹哄哄 笑哈哈 胖乎乎 美滋滋 亮晶晶 黄澄澄 绿油油 3.学习第2自然段。 (1)自由读,思考:元元差多久就能赶上绿灯了?你从哪儿知道的? (2)我们替元元着急呢,元元自己呢? (3)指导朗读。 3.品读第2-6自然段。 (1)分自然段朗读,想一想:从以下词句中,你体会到了什么?该怎样朗读这些词句呢? (2)交流: ①“刚想走过去,红灯亮了。”(板书:遇到红灯)“要是早一分钟就好了。”(读出沮丧、后悔的语 气) ②“等了一会儿”“才”“跑”“眼看”“车子开了”(板书:汽车开了)“要是早一分钟就好了。” (读出焦急、后悔、自责的语气) ③第4自然段:“等啊等”“一直不见公共汽车的影子”,元元只好“决定走到学校去”。(板书: 走路上学读出十分焦急的语气) 4.自由读第5自然段,想想李老师的话应该怎样读。(指名读、范读、练读、齐读) 5.联系课文填一填。 要是早一分钟就能赶上绿灯了。  要是赶上绿灯,就能及时通过路口了。  要是及时通过路口,就能赶上公共汽车了。  要是能赶上公共汽车,就不会迟到了。  练习使用“要是……就……”说话。 示例:要是我好好听课,就不用做作业总问妈妈了。 5.发散思维:元元非常后悔的时候心里会怎么想? (1)借助插图观察元元的表情,联系上下文理解“后悔”一词。 元元非常后悔。我不该 。 (2)引导学生结合生活实际用“后悔”说一句话。 如,今天我和妹妹吵架了,我十分后悔。 6.讨论交流:你觉得一分钟重要吗? 学习任务四:展开讨论,体会“一分钟”的重要 1.你们有没有和元元类似的经历?你们想对元元说些什么呢? 2.想象故事:“第二天的元元”。 经历了这一次迟到,元元第二天会怎么做呢?你们能想象一下吗?自己先想一想、说一说,然后同桌 之间互相交流一下。 3. 一分钟能做什么?(课后3题) 计时 内容 数量统计 读课文 写字 一分钟 做口算 拍拍球 跳绳 4. 珍惜时间的名言:一寸光阴一寸金,寸金难买寸光阴 盛年不重来,一日难再晨。 少年易学老难成,一寸光阴不可轻。 少壮不努力,老大徒伤悲。 课堂总结:在经历了这次迟到事件后,相信元元以后再也不会迟到了。“一寸光阴一寸金,寸金难买 寸光阴”,可见时间对我们多么重要。我们应该珍惜时间,让每一分钟都过得有意义。 学习任务五:书写指导1.学习本课生字。 指导书写生字“灯、车、站、课、坐、老、师”。 (1)观察笔画的占格位置及生字结构。 (2)教师范写,学生书空、描红、临写。 2.书写指导。 (1)请大家仔细观察,写好这个字,要注意什么? 灯:火字旁的笔顺是:点、短撇、长撇、点,最后一笔竖钩的钩和左半部分的点相对。 车:横向笔画平行,注意长短不一,间距适当。最后一笔是竖,居于竖中线。 站:立字旁的提要写得短。右下的“口”要写得稍大一些。 课:“果”要注意笔顺,最后写“木”,“木”的撇要穿插到言字旁的下面。 坐:先写“两个小人”,位于横中线上方,分列于竖中线两边。第六笔竖的起笔高于“两个小人”的 撇,最后一笔舒展。 老:第三笔长横从横中线起笔,略向上斜。第四笔长撇从右上格斜穿田字格中心撇向左下格。 师:左窄右宽,左半部分第二笔是竖撇。右半部分首笔是横,不要写成撇。 3.书写展示,评价。 自主作业: 1.朗读课文。 2.看着钟表,感受一分钟时间。 3.搜集关于珍惜时间的故事和名人。 4.和家人聊一聊,一分钟能做什么? 板书设计: 15.一分钟 一分钟 二十分钟 多 睡 迟 到 珍惜时间