新高考数学解答题核心考点预测word和pdf双版含答案

13年高考数学老师,在线+面授上千学生
私信答疑解惑
95%以上文件为Word版本,可编辑/无水印/且解析详细,加群联系微信:shuwuzhijing咨询进群。
高中数学资料QQ群,包含高中数学资料(含公众号历史资料),入群费用99元,入群既享受永久更新,自己可随时下载,资料部分目录点击后台“数学资料”查看,如下图。
高中物理资料QQ群,高中化学资料QQ群,高中语文资料QQ群,高中英语资料QQ群,高中生物资料qq群,高中地理资料qq群,初中数学资料QQ群,初中物理资料QQ群,初中化学资料qq群,初中英语资料qq群,入群既享受永久更新,自己可随时下载,每科入群限时费99元,资料部分目录点击后台对应资料查看,如下图。
固定布局 工具条上设置固定宽高背景可以设置被包含可以完美对齐背景图和文字以及制作自己的模

95%以上文件为Word版本,可编辑/无水印/且解析详细,加群联系微信:shuwuzhijing咨询进群。
固定布局 工具条上设置固定宽高背景可以设置被包含可以完美对齐背景图和文字以及制作自己的模板
数无止境第20260414期资料分享:
2025版高考数学题型大全
基础版word和PDF
本期资料获取方式2021-04
公众号后台回复:“20260414
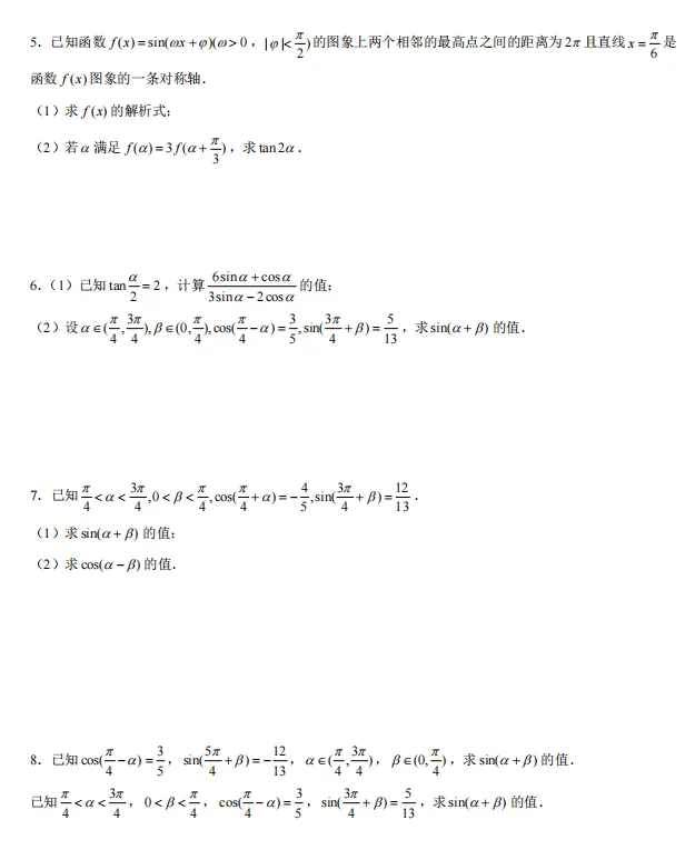
正文









本期料获取方式2021-04
公众号后台回复:“20260414
注:文件内容来源于网络,如有涉及版权,联系除

,可通过公众号查看
2021考前数学最后指导/最后一课/多考20分
高考前一周必看高中数学公式及常用结论大全
《金版教程》2022新教材·数学·一轮卷讲义及课件
初升高衔接教材讲义系列
2019-2020-2021高一高二高三分整理全国数学试题2744套
2021高考选填题最易分的8大命题角度
2021年高考考前总复习-数学131页,适合最后的梳理-最后含押题卷
2021年高考数学最后一课ppt228页
小升初数学暑假冲刺讲义
暑假初升高精品数学讲义
加油!2021届高考考前全科最后一卷
2021年最新数学模拟好题分类汇编17讲
高考预测:2021高考14个易错点 56个易错题型 含典例
2021高考预测:选择题满分冲刺6讲 21道例题搞定21种题型
2021届高考数学考前20天回归课本知识技法精细过
2022届优化方案高考一轮总复习—数学新高考
(新高考and非新高考)2021高考全科押题卷系列
2021年5月全国高三数学最新试卷及猜题卷汇总
2021届高考样题样卷新高考及非新高考
2021年全国高三数学试卷1025套汇总
北京市2021年初三一模试卷及答案汇总-14区
2021高考数学解题技巧及题型培优讲义
2021高考解答题分类练习
挑战满分大题2021届高三高考数学三轮复习
2021年新高考数学最新模拟考试试卷
高中生物新教材同步课件+讲义全套
备战2021年中考物理考点一遍过
2021年中考化学复习考点精讲(人教版)
2021年新高考数学解答题核心考点预测
2021年物理二轮之试卷题型精讲解密
冲刺2021年中考化学精选真题重组卷
2021年高三四月下旬最新优秀数学试卷80套
2021高三四月最新 数学/语文/英语/物理试卷各20套
2021年新高考数学之导数综合讲义25讲
2021山东/广东各市县高三一模数学试题分类汇编
2021年中考数学统一命题省份压轴模拟试卷
2021年三月-四月高三一模二模英语最新试卷66套
2010-2020高考真题分类汇编文科数学/理科数学
2020-2021强基计划相关试题内容整理-优等生必看
2021年3-4月份最新高三一模二模试卷汇总80套
2021北京市各区一模数学测试卷word版
2021导数压轴题型归类总结
2021年高考数学微专题复习(新高考地区专用))
高中数学新教材及教师用书人教A版人教B版
2020-2021学年七八九年级数学下册尖子生同步培优题典
2020-2021高中生物新教材同步课件+讲义全套
2021人教版九年级上下册化学-课件PPT
2021中考英语模拟练习及听力基础能力巩固练习
2021新高考语文【热点·重点·难点】专练(适合2轮)
2021年数学文化专项习题集110题(含解析)
2021年新高考数学大题专项练习6讲(含解析)
2021年中考数学第一轮总复习课件(全国通用)
备战2021年高考英语二轮复习题型专练(全国通用)
备战2021年中考数学考点一遍过24讲
小题专练20-2021届高考数学二轮复习新高考版(含解析)24讲
精选2021高考数学3月模拟评估卷30套—全国一二三文理科/新高考
助力2021高二期中考试精选2020高二下期中考试试卷60套
决胜2021新高考数学命题卷6套试卷版解析版
助力2021高一期中考试精选2020高一下期中考试试卷60套
2021高三二轮复习之高考重难点大题专题训练-含答案
2021年高三二轮备考策略讲座ppt汇总
最新精品高中艺考课程英语77讲-学生版/教师版
2021高考热身之历年高考真题高频考点分类精编
高中数学教师必备200篇高中数学论文word版
最新精品高中艺考课程数学全套讲义
2021高中全套秒杀数学精品讲义
最新中考几何模型2021版-分基础与提优秀
2021年高考冲刺之二轮专题精讲精析
最新衡水中学高中全部同步学案教师版
千题百炼——高考数学100个热点问题
100位数学老师的优质课课件教案素材
高中数学竞赛讲义系列之高中数学竞赛专题讲座
精品|高中数学竞赛辅导讲义系列
2021年高考数学压轴题解法分析与强化训练
备战2021高考数学二轮复习专题冲刺双一流培优26讲精编
2021中考数学知识点大全
2021高三百日复习数学特色专题破译十讲!
2021年高三物理复习讲义及对应课后练习
备战2021年中考数学一轮复习易错题
2021高三数学二轮复习春季特训13讲
2021年高考物理实验方法大全
2021届中考数学压轴大题专项训练
备战2021年中考数学查缺补漏再训练26个微专题
2021年新高考数学名校地市选填压轴题好题汇编
2021届中考数学压轴大题专项训练
新教材高中数学人教A版全部同步讲义及课件
2021学年高考复习高分套路系列——导数专题
初中数学/物理/化学/英语近几年真题及真题汇编
2021高考总复习优化设计 二轮复习数学讲义
备战2021年中考几何压轴题分类导练
最新新高考专项-2021届高三精准提分专题
经典高考数学压轴难题专题汇总
2020-2021全国最佳模拟试题汇编文理各100套含新高考卷
2020-2021学年最新高三数学寒假辅导讲义
2016-2020数学/英语/物理/化学/生物五科全国高考真题分类汇编word版本
2021最新版高考数学大二轮复习全套讲义及课件
2021与名师对话-高考数学二轮用书
2021年高三百所名校好题分项解析汇编之全国通用专版
2021年高考数学1月模拟评估卷
2021年高考英语学霸笔记
2021年新高考数学难点解题方法突破
近5年(2016-2020)中考英语试题分项详解(全国版)
备战2021年新高考英语听力模拟训练
小学 初中 高中 各科 思维导图
2021年高三高考二轮复习课件+检测
冲刺985优等生拔高系列讲义—专治各种学霸不服
2021届全国高三数学最全考试试卷整理超1500份
2020-2021高三全国各地期末测试卷汇总
2020-2021高一全国各地期末测试卷汇总
2021年高考二轮培优45讲(二轮复习培优讲义)
2021学年高三二轮复习方法技巧专题30讲
最全|北京市初高中数学试卷整理集合
备战2021年高考精选考点专项突破集—物理
1951-2020各省市高考数学真题最全汇总596份
超详小学 初中 高中 知识点归纳汇总
2021中考数学一二三论讲义/课件
2021届新高考二轮复习多选题分类练习
2021届高中化学新教材同步讲义/课件全
衡水一中2021年全科一轮复习用书
2021学年高三寒假解答题提分特训10讲
12/1月高中数学试卷汇总
2021届高三《新题速递·数学》
【2020年】山东省高考数学模拟卷汇总
二轮复习方法技巧专题讲义
2021学年新高考地区高三期末考前必刷模拟卷
步步高大二轮专题复习(2021新高考)
2021届高考物理二轮总复习课件+检测
2016-2020近五年全国化学真题分类汇编
艺术生高考数学专题讲义(60套)
三维设计2021一轮复习讲义及PPT
2021学年高考复习高分套路系列——统计概率专题
强基必备|清华北大近十年自招真题/夏令营/强基计划
高一/高二/高三数学寒假讲义
精品讲义|2021精品一轮复习完美题型讲义
2021学年高考数学六大模块解答题精练6讲
2021年中考数学必会题型及中考压轴30讲讲义
2021学年导数满分突破11讲
衡水中学高中各科学霸手写笔记分享
衡水中学初中各科学霸手写笔记分享
2021高一化学全国最新月考及联考
2021高中物理最新月考试卷及2020新高考期末试卷
2021高中数学学霸必刷100题系列
2020-2021年10-12月最新高三优质月测试卷集合
2020-2021第二次月考数学试卷合集
第一届新教材地区高一期末测试卷及答案集合
2020-2021浙江省“10+7”小题狂练疾风40卷
2017-2020上海高三一模、二模试卷及解析汇总
高一/高二/高三教师说课稿最全
海淀/西城/东城/朝阳期末考试测试卷试卷及解析
2020-2021高一高二数学《寒假讲义》
2020年全国各地区、重点高中优质数学试卷合集!
2021学年圆锥曲线满分突破13讲
2021年高考26种网红压轴题精讲精编
2021届新高考“8+4+4”多选小题狂练45卷
2020-2021高中数学解题模板大全27讲
高中数学对点培优20讲
2021年高考一轮补充—高中数学微专题讲义
2021高考数学压轴题讲义
2020-2021衡水中学高三全科一轮复习讲义/教案
2020届高中化学新教材同步必修第一册
高中选填25种方法+高考选填4大常考模块18个考点65种题型梳理
2020届全国各地最新模拟试题
高考数学33个网红考点精讲精练
2021高考数学一轮复习易错题
精品系列2018-2020年近三年全国中考数学真题分类汇编
2020-2021新教材高一数学同步教案和课件
2020新课标版物理二轮总复习课件/课后练习
2020年人大附中高中数学新教材学生内部练习册
2021届高三数学复习专项练习
高考数学培优专题库教师版
2021艺体生基础生考点培优讲义考点教师版学生版
2016-2020近五年高考真题分类汇编之物理
2016-2020近五年高考真题分类汇编之理科数学
2021高考数学解答题提分特训讲义
2021版新高考新教材【单元双基&训练金卷】
2021版新高考《大一轮复习讲义》——新高考人教
2020届新高考高三优质数学试题分项汇编(最新)
2021版新高考数学一轮复习教师用书打包73份
2020年最全高一高二各科新教材课本电子版
艺术生高考数学专题讲义(60套)
2020全国中考数学最全汇总
志愿填报必读之张雪峰·高考志愿填报必读
2021《 A版 高考数学复习讲义》山东专用 课件
2020高考数学123卷/北京/上海/浙江/天津/山东/海南数学真题及答案
数学|高二最新全国6月份优秀试卷汇总
高考冲刺|冲刺演练-冲刺2020年高考数学全真模拟
高考冲刺|2020高考热点答题必刷题型总结汇编
高考冲刺|2020-2021新高三新高考一轮复习课件
初高衔接|黄冈中学初高中数学衔接教材
高考冲刺|2020年高考数学(理科)最后冲刺指导
高考冲刺|2020年高考数学(文科)最后冲刺指导
2020年新高考新题型多项选择题专项训练
2020年高考数学命题趋势与备考建议
1952年—2019年物理高考真题全集
2020高考前30天冲刺:高中数学100个核心考点
2020北京数学高三一模16题汇编
重难点突破 高中生快速解题必会的18个解题模板
2020全国中考真题卷+真题分类汇编+复习PPT
2020届全国各地最新模拟试题分类汇编
2020初中5科学习最全思维导图(语数英化物)
2020年高考数学选择填空题冲刺必刷题
高中数学、英语清北学霸手写笔记
『2020版衡中』高考二轮 — 数学 — 课件PPT+讲义Word+电子教材
2020年春季培训学校开学“三案九制”(WORD版)
厚积薄发,迎接挑战 ——考前最后阶段的科学安排
2020高三高考数学填空题的解题策略
2020高中数学备考知识点全梳理配例题
助力2020年初中中考高频错题集锦系列
高中数学考试中常用结论及应注意的问题
1981年~2019年全国高中数学联赛试题分类汇编
助力2020年高考之高中数学最全二级子结论
新课标全国Ⅰ卷文科数学2011-2019年高考分析及
2020年安徽省江南十校综合素质检测全科试题答案
2020年高考数学函数与导数专题复习《把握数学本质 培养解题》
2020年高考数学复习讲座《把握方向,精准备考》课件
衡水中学2020高三下学期七调试题+答案+英语听力
2020年最新高考二轮热点难点微专题15讲
2020年最新中考数学复习全套课件ppt
2020年4月北京市西城高三一模全科试卷及完整答案解析
全国优质公开课课件资料集合
2020年全国各地区、重点高中优质数学试卷合集!
冲刺高考数学二轮复习核心考点特色突破专题
高考数学二轮复习(理)讲义及题型归纳(拔高)
高考数学二轮复习(理)讲义及题型归纳(基础)
高考数学压轴难题归纳总结提高培优专题
备战2020年高考选择题的解法与策略
高中数学的各种版本教材
最新2020年高考全国卷(123)数学备考策略全
最新2020中考数学专项复习16讲
高考数学压轴题命题区间探究与突破
2020高考数学高频压轴十五大专题突破
全科高考状元提分笔记
2020二轮复习全书word&2020届高三物理大一轮
决胜中考数学压轴题全揭秘精品(压轴题)
2020年高考——高考数学冲刺双一流讲义
干货—2019中考数学分类汇编47讲
2020高考备考数学选择填空狂练之模拟练习(理)
2020高考备考数学选择填空狂练之模拟练习(文)
2019-2020学年人教版数学必修第三、四册
2019年北京市初中各区初三二模数学试题合集
小题精品练!2020年高考数学选填仿真限时训练文理各50卷
2020年物理中考复习PPT课件31个专题
2019-2020清北自、南大、中科大等主招生各学科营真题大全
北京市2019-2020年度所有区县期末试卷汇总大全
人教A版2020届高考数学二轮复习(理)讲义及题型归纳
备考2020高考之衡水中学2019年高三数学模考分项汇编教师学生完
2020高考九科考点大汇总
全国各地各校最新高一(上)期末数学试卷100份含答案
高中数学必修1-5各单元全套单元测试卷
2019(2020届高三)年下半年至今全国各地优秀高考模拟试题
高中物理最全分模块讲义及易错题解析
尖子生培优突破高考全十章
化学自主招生资料大全
2020年最全高考数学选择填空必备解题技巧总结
最全北京市历年各区,各年级期末试卷汇总含解析
1988年-2019年中国化学奥林匹克试题及答案解析
物理会考题真题考点分类汇编
38套历年高考英语阅读真题+100篇模拟试题
冲刺985优等生拔高系列讲义—专治各种学霸不服
高中全科纠错笔记(打印版)
近10年全国高考数学真题
高考数学限时规范检测全集
最全高中数学解题思想方法汇编
全国第八、九届青年数学教师优质课展示课件与教学设计
2020届高考数学一轮复习:讲义全集
高中数学常见题型解法归纳含详解
1981-2019历年高中数学联赛真题汇编
2019-2020北京市所有学校期中考试试卷最全合集
百校联盟试卷+衡水金卷+衡水中学数学一轮+衡水中学化学一轮
2019年高三高质量试卷集合+解析
衡水一中2020届高三所有科目近期测试卷汇总
全国历年初中考试试卷500份汇总
小学、初中、高中最全各学科电子教材
2020届高考数学刷题首选卷:专题突破练
七、八、九年级期中期末试卷合集
衡水中学高三模拟卷数学(理科)精品80套40套原卷+40套解析卷)
高三年级期中期末试卷合集
高二年级期中期末试卷合集
高一年级期中期末试卷合集
1981-2018历年全国数学高联真题合集
2019人教版高中物理教材(3必修+3选必)
1-35届全国物理竞赛预赛决赛试题及详解
高中物理分模块讲解及易错题突破
冲刺2019年高考数学压轴题微切口突破
2020版黄冈名师数学(理)大一轮
高考数学拉分题型通关全归纳
2012-2019年北京高考真题分类汇编
2019年高考真题和模拟题分项汇编英语
初中小蓝本&高中小蓝本电子版教材
2019年秋季新高一人教版数学教材及对应同步讲解练习内容
各学校、年级分班测试卷汇总
2020版高考数学一轮复习
2010-2019高考试题汇编整理
2019-2020年度暑假初升高衔接课讲义
2019名校自主招生试题锦集(内含清华、北大、浙大、交大等)
2019年全国中考数学试卷最新集
2019年全国高考数学试卷及答案合集
清北及各高校自主招生历年真题及讲义资料
全国数学2010-2018高考真题分类汇编
100份2018年高考模拟试题精选
全国各名校历年自主招生试题分类汇编
2019精品模拟试卷及答案汇总
突破高考理综必胜方法分享|历年高考分析及2019年高考考题预测
高中化学知识点大全
高三二轮三轮复习如何刷高考真题|历年高考分析及2019年高考考题
全国少年班试卷等资料
2019年各地高考模拟试卷收集汇总
高考二轮复习语法篇
高中数学所有章节ppt版课件
初高中衔接教材17讲
高考数学总复习之典型例题突破(压轴题系列)
高中数学知识点归纳总结教师版
中国古代诗歌散文欣赏基础知识点总结
2019年北京市各区高三一模试卷大全
2019年高考数学知识点清单
衡水中学2019届高三独家秘笈
2009-2017全国高 中数学联赛分类汇编
高考总复习之《填空题解法与对策》
中考数学黄金知识点系列word版
2019年高考数学精讲二轮(课件+讲义+精选试题)
2018年全国中考数学试卷(100份)
2018年高考题和高考模拟题物理分项版汇编
高考英语3500词汇注释解析
2000-2012全国高中数学联赛分类汇编
一到六年级期末试题汇总大全
2019年大二轮精准提分讲义
2019衡水名师原创文科数学专题卷及答案
2019衡水名师原创理科数学专题卷及答案
……
商务合作
商务合作微信:shuwuzhijing
投稿:2388132465@qq.com
(资料整理不易,希望大家给予支持,谢谢大家的转发)

公众号
数无止境
长按识别左边二维码关注我们
夜雨聆风