当前位置:首页>文档>2008年高考数学试卷(理)(陕西)(空白卷)_1.高考2025全国各省真题+答案_01.2008-2024全国高考真题(按省份分类)_17.陕西_2008-2024·(陕西)数学高考真题

2008年高考数学试卷(理)(陕西)(空白卷)_1.高考2025全国各省真题+答案_01.2008-2024全国高考真题(按省份分类)_17.陕西_2008-2024·(陕西)数学高考真题

  • 2026-04-08 19:44:36 2026-02-06 01:31:40

文档预览

2008年高考数学试卷(理)(陕西)(空白卷)_1.高考2025全国各省真题+答案_01.2008-2024全国高考真题(按省份分类)_17.陕西_2008-2024·(陕西)数学高考真题
2008年高考数学试卷(理)(陕西)(空白卷)_1.高考2025全国各省真题+答案_01.2008-2024全国高考真题(按省份分类)_17.陕西_2008-2024·(陕西)数学高考真题
2008年高考数学试卷(理)(陕西)(空白卷)_1.高考2025全国各省真题+答案_01.2008-2024全国高考真题(按省份分类)_17.陕西_2008-2024·(陕西)数学高考真题
2008年高考数学试卷(理)(陕西)(空白卷)_1.高考2025全国各省真题+答案_01.2008-2024全国高考真题(按省份分类)_17.陕西_2008-2024·(陕西)数学高考真题
2008年高考数学试卷(理)(陕西)(空白卷)_1.高考2025全国各省真题+答案_01.2008-2024全国高考真题(按省份分类)_17.陕西_2008-2024·(陕西)数学高考真题
2008年高考数学试卷(理)(陕西)(空白卷)_1.高考2025全国各省真题+答案_01.2008-2024全国高考真题(按省份分类)_17.陕西_2008-2024·(陕西)数学高考真题
2008年高考数学试卷(理)(陕西)(空白卷)_1.高考2025全国各省真题+答案_01.2008-2024全国高考真题(按省份分类)_17.陕西_2008-2024·(陕西)数学高考真题
2008年高考数学试卷(理)(陕西)(空白卷)_1.高考2025全国各省真题+答案_01.2008-2024全国高考真题(按省份分类)_17.陕西_2008-2024·(陕西)数学高考真题

文档信息

文档格式
doc
文档大小
0.397 MB
文档页数
4 页
上传时间
2026-02-06 01:31:40

文档内容

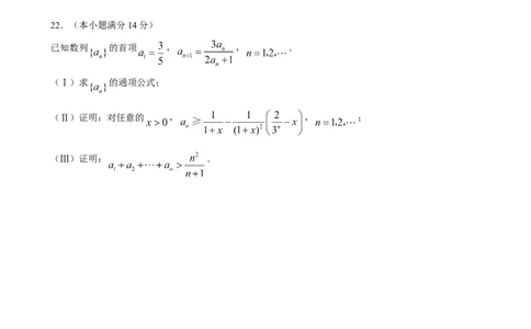
2008年普通高等学校招生全国统一考试(陕西卷) 理科数学(必修+选修Ⅱ) 一、选择题:在每小题给出的四个选项中,只有一项是符合题目要求的(本大题共 12小题,每小题5分, 共60分). 1.复数 等于( ) A. B. C.1 D. 2 . 已 知 全 集 , 集 合 , , 则 集 合 中元素的个数为( ) A.1 B.2 C.3 D.4 3. 的内角 的对边分别为 ,若 ,则 等于 ( ) A. B.2 C. D. 4.已知 是等差数列, , ,则该数列前10项和 等于( ) A.64 B.100 C.110 D.120 5.直线 与圆 相切,则实数 等于( ) A. 或 B. 或 C. 或 D. 或 6.“ ”是“对任意的正数 , ”的( ) A.充分不必要条件 B.必要不充分条件 C.充要条件 D.既不充分也不必要条件 7.已知函数 , 是 的反函数,若 ( ),则 的值为( ) A. B.1 C.4 D.10 8.双曲线 ( , )的左、右焦点分别是 ,过 作倾斜角为 的直线交双 曲线右支于 点,若 垂直于 轴,则双曲线的离心率为( ) A. B. C. D. 第1页 | 共4页9.如图, 到 的距离分别是 和 , 与 所成的角 分别是 和 , 在 内的射影分别是 和 ,若 ,则( ) A. B.  A  C. D. a B b l 10.已知实数 满足 如果目标函数 的最小值为 ,则实数 等于( ) A.7 B.5 C.4 D.3 11.定义在 上的函数 满足 ( ), ,则 等于( ) A.2 B.3 C.6 D.9 12.为提高信息在传输中的抗干扰能力,通常在原信息中按一定规则加入相关数据组成传输信息.设定 原信息为 ( ),传输信息为 ,其中 , 运算规则为: , , , ,例如原信息为111,则传输信息为01111.传 输信息在传输过程中受到干扰可能导致接收信息出错,则下列接收信息一定有误的是( ) A.11010 B.01100 C.10111 D.00011 二、填空题:把答案填在答题卡相应题号后的横线上(本大题共4小题,每小题4分,共16分). 13. ,则 . 14.长方体 的各顶点都在球 的球面上,其中 . 两点 的球面距离记为 , 两点的球面距离记为 ,则 的值为 . 15.关于平面向量 .有下列三个命题: ①若 ,则 .②若 , ,则 . ③非零向量 和 满足 ,则 与 的夹角为 . 其中真命题的序号为 .(写出所有真命题的序号) 16.某地奥运火炬接力传递路线共分6段,传递活动分别由6名火炬手完成.如果第一棒火炬手只能从甲、 乙、丙三人中产生,最后一棒火炬手只能从甲、乙两人中产生,则不同的传递方案共有 种. (用数字作答). 三、解答题:解答应写出文字说明,证明过程或演算步骤(本大题共6小题,共74分) 17.(本小题满分12分) 已知函数 . 第2页 | 共4页(Ⅰ)求函数 的最小正周期及最值; (Ⅱ)令 ,判断函数 的奇偶性,并说明理由. 18.(本小题满分12分) 某射击测试规则为:每人最多射击3次,击中目标即终止射击,第 次击中目标得 分,3 次均未击中目标得0分.已知某射手每次击中目标的概率为0.8,其各次射击结果互不影响. (Ⅰ)求该射手恰好射击两次的概率; (Ⅱ)该射手的得分记为 ,求随机变量 的分布列及数学期望. 19.(本小题满分12分) 三棱锥被平行于底面 的平面所截得的几何体如图所示,截面为 , , 平 面 , , , , , . (Ⅰ)证明:平面 平面 ; A 1 C 1 B (Ⅱ)求二面角 的大小. 1 A C B D 20.(本小题满分12分) 已知抛物线 : ,直线 交 于 两点, 是线段 的中点,过 作 轴的垂 线交 于点 . (Ⅰ)证明:抛物线 在点 处的切线与 平行; (Ⅱ)是否存在实数 使 ,若存在,求 的值;若不存在,说明理由. 21.(本小题满分12分) 第3页 | 共4页已知函数 ( 且 , )恰有一个极大值点和一个极小值点,其中一个是 . (Ⅰ)求函数 的另一个极值点; (Ⅱ)求函数 的极大值 和极小值 ,并求 时 的取值范围. 22.(本小题满分14分) 已知数列 的首项 , , . (Ⅰ)求 的通项公式; (Ⅱ)证明:对任意的 , , ; (Ⅲ)证明: . 第4页 | 共4页