当前位置:首页>文档>专题09立体几何(5大易错点分析+解题模板+举一反三+易错题通关)-备战2024年高考数学考试易错题(新高考专用)(解析版)_2024年3月_02按日期_16号

专题09立体几何(5大易错点分析+解题模板+举一反三+易错题通关)-备战2024年高考数学考试易错题(新高考专用)(解析版)_2024年3月_02按日期_16号

  • 2026-04-10 11:15:58 2026-02-15 02:40:08

文档预览

专题09立体几何(5大易错点分析+解题模板+举一反三+易错题通关)-备战2024年高考数学考试易错题(新高考专用)(解析版)_2024年3月_02按日期_16号
专题09立体几何(5大易错点分析+解题模板+举一反三+易错题通关)-备战2024年高考数学考试易错题(新高考专用)(解析版)_2024年3月_02按日期_16号
专题09立体几何(5大易错点分析+解题模板+举一反三+易错题通关)-备战2024年高考数学考试易错题(新高考专用)(解析版)_2024年3月_02按日期_16号
专题09立体几何(5大易错点分析+解题模板+举一反三+易错题通关)-备战2024年高考数学考试易错题(新高考专用)(解析版)_2024年3月_02按日期_16号
专题09立体几何(5大易错点分析+解题模板+举一反三+易错题通关)-备战2024年高考数学考试易错题(新高考专用)(解析版)_2024年3月_02按日期_16号
专题09立体几何(5大易错点分析+解题模板+举一反三+易错题通关)-备战2024年高考数学考试易错题(新高考专用)(解析版)_2024年3月_02按日期_16号
专题09立体几何(5大易错点分析+解题模板+举一反三+易错题通关)-备战2024年高考数学考试易错题(新高考专用)(解析版)_2024年3月_02按日期_16号
专题09立体几何(5大易错点分析+解题模板+举一反三+易错题通关)-备战2024年高考数学考试易错题(新高考专用)(解析版)_2024年3月_02按日期_16号
专题09立体几何(5大易错点分析+解题模板+举一反三+易错题通关)-备战2024年高考数学考试易错题(新高考专用)(解析版)_2024年3月_02按日期_16号
专题09立体几何(5大易错点分析+解题模板+举一反三+易错题通关)-备战2024年高考数学考试易错题(新高考专用)(解析版)_2024年3月_02按日期_16号
专题09立体几何(5大易错点分析+解题模板+举一反三+易错题通关)-备战2024年高考数学考试易错题(新高考专用)(解析版)_2024年3月_02按日期_16号
专题09立体几何(5大易错点分析+解题模板+举一反三+易错题通关)-备战2024年高考数学考试易错题(新高考专用)(解析版)_2024年3月_02按日期_16号
专题09立体几何(5大易错点分析+解题模板+举一反三+易错题通关)-备战2024年高考数学考试易错题(新高考专用)(解析版)_2024年3月_02按日期_16号
专题09立体几何(5大易错点分析+解题模板+举一反三+易错题通关)-备战2024年高考数学考试易错题(新高考专用)(解析版)_2024年3月_02按日期_16号
专题09立体几何(5大易错点分析+解题模板+举一反三+易错题通关)-备战2024年高考数学考试易错题(新高考专用)(解析版)_2024年3月_02按日期_16号
专题09立体几何(5大易错点分析+解题模板+举一反三+易错题通关)-备战2024年高考数学考试易错题(新高考专用)(解析版)_2024年3月_02按日期_16号
专题09立体几何(5大易错点分析+解题模板+举一反三+易错题通关)-备战2024年高考数学考试易错题(新高考专用)(解析版)_2024年3月_02按日期_16号
专题09立体几何(5大易错点分析+解题模板+举一反三+易错题通关)-备战2024年高考数学考试易错题(新高考专用)(解析版)_2024年3月_02按日期_16号
专题09立体几何(5大易错点分析+解题模板+举一反三+易错题通关)-备战2024年高考数学考试易错题(新高考专用)(解析版)_2024年3月_02按日期_16号
专题09立体几何(5大易错点分析+解题模板+举一反三+易错题通关)-备战2024年高考数学考试易错题(新高考专用)(解析版)_2024年3月_02按日期_16号
专题09立体几何(5大易错点分析+解题模板+举一反三+易错题通关)-备战2024年高考数学考试易错题(新高考专用)(解析版)_2024年3月_02按日期_16号
专题09立体几何(5大易错点分析+解题模板+举一反三+易错题通关)-备战2024年高考数学考试易错题(新高考专用)(解析版)_2024年3月_02按日期_16号
专题09立体几何(5大易错点分析+解题模板+举一反三+易错题通关)-备战2024年高考数学考试易错题(新高考专用)(解析版)_2024年3月_02按日期_16号
专题09立体几何(5大易错点分析+解题模板+举一反三+易错题通关)-备战2024年高考数学考试易错题(新高考专用)(解析版)_2024年3月_02按日期_16号
专题09立体几何(5大易错点分析+解题模板+举一反三+易错题通关)-备战2024年高考数学考试易错题(新高考专用)(解析版)_2024年3月_02按日期_16号
专题09立体几何(5大易错点分析+解题模板+举一反三+易错题通关)-备战2024年高考数学考试易错题(新高考专用)(解析版)_2024年3月_02按日期_16号
专题09立体几何(5大易错点分析+解题模板+举一反三+易错题通关)-备战2024年高考数学考试易错题(新高考专用)(解析版)_2024年3月_02按日期_16号
专题09立体几何(5大易错点分析+解题模板+举一反三+易错题通关)-备战2024年高考数学考试易错题(新高考专用)(解析版)_2024年3月_02按日期_16号
专题09立体几何(5大易错点分析+解题模板+举一反三+易错题通关)-备战2024年高考数学考试易错题(新高考专用)(解析版)_2024年3月_02按日期_16号
专题09立体几何(5大易错点分析+解题模板+举一反三+易错题通关)-备战2024年高考数学考试易错题(新高考专用)(解析版)_2024年3月_02按日期_16号
专题09立体几何(5大易错点分析+解题模板+举一反三+易错题通关)-备战2024年高考数学考试易错题(新高考专用)(解析版)_2024年3月_02按日期_16号
专题09立体几何(5大易错点分析+解题模板+举一反三+易错题通关)-备战2024年高考数学考试易错题(新高考专用)(解析版)_2024年3月_02按日期_16号
专题09立体几何(5大易错点分析+解题模板+举一反三+易错题通关)-备战2024年高考数学考试易错题(新高考专用)(解析版)_2024年3月_02按日期_16号
专题09立体几何(5大易错点分析+解题模板+举一反三+易错题通关)-备战2024年高考数学考试易错题(新高考专用)(解析版)_2024年3月_02按日期_16号
专题09立体几何(5大易错点分析+解题模板+举一反三+易错题通关)-备战2024年高考数学考试易错题(新高考专用)(解析版)_2024年3月_02按日期_16号
专题09立体几何(5大易错点分析+解题模板+举一反三+易错题通关)-备战2024年高考数学考试易错题(新高考专用)(解析版)_2024年3月_02按日期_16号
专题09立体几何(5大易错点分析+解题模板+举一反三+易错题通关)-备战2024年高考数学考试易错题(新高考专用)(解析版)_2024年3月_02按日期_16号
专题09立体几何(5大易错点分析+解题模板+举一反三+易错题通关)-备战2024年高考数学考试易错题(新高考专用)(解析版)_2024年3月_02按日期_16号
专题09立体几何(5大易错点分析+解题模板+举一反三+易错题通关)-备战2024年高考数学考试易错题(新高考专用)(解析版)_2024年3月_02按日期_16号
专题09立体几何(5大易错点分析+解题模板+举一反三+易错题通关)-备战2024年高考数学考试易错题(新高考专用)(解析版)_2024年3月_02按日期_16号
专题09立体几何(5大易错点分析+解题模板+举一反三+易错题通关)-备战2024年高考数学考试易错题(新高考专用)(解析版)_2024年3月_02按日期_16号
专题09立体几何(5大易错点分析+解题模板+举一反三+易错题通关)-备战2024年高考数学考试易错题(新高考专用)(解析版)_2024年3月_02按日期_16号
专题09立体几何(5大易错点分析+解题模板+举一反三+易错题通关)-备战2024年高考数学考试易错题(新高考专用)(解析版)_2024年3月_02按日期_16号
专题09立体几何(5大易错点分析+解题模板+举一反三+易错题通关)-备战2024年高考数学考试易错题(新高考专用)(解析版)_2024年3月_02按日期_16号
专题09立体几何(5大易错点分析+解题模板+举一反三+易错题通关)-备战2024年高考数学考试易错题(新高考专用)(解析版)_2024年3月_02按日期_16号
专题09立体几何(5大易错点分析+解题模板+举一反三+易错题通关)-备战2024年高考数学考试易错题(新高考专用)(解析版)_2024年3月_02按日期_16号
专题09立体几何(5大易错点分析+解题模板+举一反三+易错题通关)-备战2024年高考数学考试易错题(新高考专用)(解析版)_2024年3月_02按日期_16号
专题09立体几何(5大易错点分析+解题模板+举一反三+易错题通关)-备战2024年高考数学考试易错题(新高考专用)(解析版)_2024年3月_02按日期_16号
专题09立体几何(5大易错点分析+解题模板+举一反三+易错题通关)-备战2024年高考数学考试易错题(新高考专用)(解析版)_2024年3月_02按日期_16号
专题09立体几何(5大易错点分析+解题模板+举一反三+易错题通关)-备战2024年高考数学考试易错题(新高考专用)(解析版)_2024年3月_02按日期_16号
专题09立体几何(5大易错点分析+解题模板+举一反三+易错题通关)-备战2024年高考数学考试易错题(新高考专用)(解析版)_2024年3月_02按日期_16号
专题09立体几何(5大易错点分析+解题模板+举一反三+易错题通关)-备战2024年高考数学考试易错题(新高考专用)(解析版)_2024年3月_02按日期_16号
专题09立体几何(5大易错点分析+解题模板+举一反三+易错题通关)-备战2024年高考数学考试易错题(新高考专用)(解析版)_2024年3月_02按日期_16号
专题09立体几何(5大易错点分析+解题模板+举一反三+易错题通关)-备战2024年高考数学考试易错题(新高考专用)(解析版)_2024年3月_02按日期_16号
专题09立体几何(5大易错点分析+解题模板+举一反三+易错题通关)-备战2024年高考数学考试易错题(新高考专用)(解析版)_2024年3月_02按日期_16号
专题09立体几何(5大易错点分析+解题模板+举一反三+易错题通关)-备战2024年高考数学考试易错题(新高考专用)(解析版)_2024年3月_02按日期_16号
专题09立体几何(5大易错点分析+解题模板+举一反三+易错题通关)-备战2024年高考数学考试易错题(新高考专用)(解析版)_2024年3月_02按日期_16号
专题09立体几何(5大易错点分析+解题模板+举一反三+易错题通关)-备战2024年高考数学考试易错题(新高考专用)(解析版)_2024年3月_02按日期_16号
专题09立体几何(5大易错点分析+解题模板+举一反三+易错题通关)-备战2024年高考数学考试易错题(新高考专用)(解析版)_2024年3月_02按日期_16号
专题09立体几何(5大易错点分析+解题模板+举一反三+易错题通关)-备战2024年高考数学考试易错题(新高考专用)(解析版)_2024年3月_02按日期_16号
专题09立体几何(5大易错点分析+解题模板+举一反三+易错题通关)-备战2024年高考数学考试易错题(新高考专用)(解析版)_2024年3月_02按日期_16号
专题09立体几何(5大易错点分析+解题模板+举一反三+易错题通关)-备战2024年高考数学考试易错题(新高考专用)(解析版)_2024年3月_02按日期_16号
专题09立体几何(5大易错点分析+解题模板+举一反三+易错题通关)-备战2024年高考数学考试易错题(新高考专用)(解析版)_2024年3月_02按日期_16号
专题09立体几何(5大易错点分析+解题模板+举一反三+易错题通关)-备战2024年高考数学考试易错题(新高考专用)(解析版)_2024年3月_02按日期_16号
专题09立体几何(5大易错点分析+解题模板+举一反三+易错题通关)-备战2024年高考数学考试易错题(新高考专用)(解析版)_2024年3月_02按日期_16号
专题09立体几何(5大易错点分析+解题模板+举一反三+易错题通关)-备战2024年高考数学考试易错题(新高考专用)(解析版)_2024年3月_02按日期_16号
专题09立体几何(5大易错点分析+解题模板+举一反三+易错题通关)-备战2024年高考数学考试易错题(新高考专用)(解析版)_2024年3月_02按日期_16号
专题09立体几何(5大易错点分析+解题模板+举一反三+易错题通关)-备战2024年高考数学考试易错题(新高考专用)(解析版)_2024年3月_02按日期_16号
专题09立体几何(5大易错点分析+解题模板+举一反三+易错题通关)-备战2024年高考数学考试易错题(新高考专用)(解析版)_2024年3月_02按日期_16号
专题09立体几何(5大易错点分析+解题模板+举一反三+易错题通关)-备战2024年高考数学考试易错题(新高考专用)(解析版)_2024年3月_02按日期_16号
专题09立体几何(5大易错点分析+解题模板+举一反三+易错题通关)-备战2024年高考数学考试易错题(新高考专用)(解析版)_2024年3月_02按日期_16号
专题09立体几何(5大易错点分析+解题模板+举一反三+易错题通关)-备战2024年高考数学考试易错题(新高考专用)(解析版)_2024年3月_02按日期_16号
专题09立体几何(5大易错点分析+解题模板+举一反三+易错题通关)-备战2024年高考数学考试易错题(新高考专用)(解析版)_2024年3月_02按日期_16号
专题09立体几何(5大易错点分析+解题模板+举一反三+易错题通关)-备战2024年高考数学考试易错题(新高考专用)(解析版)_2024年3月_02按日期_16号
专题09立体几何(5大易错点分析+解题模板+举一反三+易错题通关)-备战2024年高考数学考试易错题(新高考专用)(解析版)_2024年3月_02按日期_16号
专题09立体几何(5大易错点分析+解题模板+举一反三+易错题通关)-备战2024年高考数学考试易错题(新高考专用)(解析版)_2024年3月_02按日期_16号
专题09立体几何(5大易错点分析+解题模板+举一反三+易错题通关)-备战2024年高考数学考试易错题(新高考专用)(解析版)_2024年3月_02按日期_16号
专题09立体几何(5大易错点分析+解题模板+举一反三+易错题通关)-备战2024年高考数学考试易错题(新高考专用)(解析版)_2024年3月_02按日期_16号
专题09立体几何(5大易错点分析+解题模板+举一反三+易错题通关)-备战2024年高考数学考试易错题(新高考专用)(解析版)_2024年3月_02按日期_16号
专题09立体几何(5大易错点分析+解题模板+举一反三+易错题通关)-备战2024年高考数学考试易错题(新高考专用)(解析版)_2024年3月_02按日期_16号
专题09立体几何(5大易错点分析+解题模板+举一反三+易错题通关)-备战2024年高考数学考试易错题(新高考专用)(解析版)_2024年3月_02按日期_16号
专题09立体几何(5大易错点分析+解题模板+举一反三+易错题通关)-备战2024年高考数学考试易错题(新高考专用)(解析版)_2024年3月_02按日期_16号
专题09立体几何(5大易错点分析+解题模板+举一反三+易错题通关)-备战2024年高考数学考试易错题(新高考专用)(解析版)_2024年3月_02按日期_16号
专题09立体几何(5大易错点分析+解题模板+举一反三+易错题通关)-备战2024年高考数学考试易错题(新高考专用)(解析版)_2024年3月_02按日期_16号
专题09立体几何(5大易错点分析+解题模板+举一反三+易错题通关)-备战2024年高考数学考试易错题(新高考专用)(解析版)_2024年3月_02按日期_16号
专题09立体几何(5大易错点分析+解题模板+举一反三+易错题通关)-备战2024年高考数学考试易错题(新高考专用)(解析版)_2024年3月_02按日期_16号
专题09立体几何(5大易错点分析+解题模板+举一反三+易错题通关)-备战2024年高考数学考试易错题(新高考专用)(解析版)_2024年3月_02按日期_16号
专题09立体几何(5大易错点分析+解题模板+举一反三+易错题通关)-备战2024年高考数学考试易错题(新高考专用)(解析版)_2024年3月_02按日期_16号
专题09立体几何(5大易错点分析+解题模板+举一反三+易错题通关)-备战2024年高考数学考试易错题(新高考专用)(解析版)_2024年3月_02按日期_16号
专题09立体几何(5大易错点分析+解题模板+举一反三+易错题通关)-备战2024年高考数学考试易错题(新高考专用)(解析版)_2024年3月_02按日期_16号
专题09立体几何(5大易错点分析+解题模板+举一反三+易错题通关)-备战2024年高考数学考试易错题(新高考专用)(解析版)_2024年3月_02按日期_16号
专题09立体几何(5大易错点分析+解题模板+举一反三+易错题通关)-备战2024年高考数学考试易错题(新高考专用)(解析版)_2024年3月_02按日期_16号
专题09立体几何(5大易错点分析+解题模板+举一反三+易错题通关)-备战2024年高考数学考试易错题(新高考专用)(解析版)_2024年3月_02按日期_16号
专题09立体几何(5大易错点分析+解题模板+举一反三+易错题通关)-备战2024年高考数学考试易错题(新高考专用)(解析版)_2024年3月_02按日期_16号
专题09立体几何(5大易错点分析+解题模板+举一反三+易错题通关)-备战2024年高考数学考试易错题(新高考专用)(解析版)_2024年3月_02按日期_16号
专题09立体几何(5大易错点分析+解题模板+举一反三+易错题通关)-备战2024年高考数学考试易错题(新高考专用)(解析版)_2024年3月_02按日期_16号
专题09立体几何(5大易错点分析+解题模板+举一反三+易错题通关)-备战2024年高考数学考试易错题(新高考专用)(解析版)_2024年3月_02按日期_16号
专题09立体几何(5大易错点分析+解题模板+举一反三+易错题通关)-备战2024年高考数学考试易错题(新高考专用)(解析版)_2024年3月_02按日期_16号

文档信息

文档格式
docx
文档大小
5.341 MB
文档页数
98 页
上传时间
2026-02-15 02:40:08

文档内容

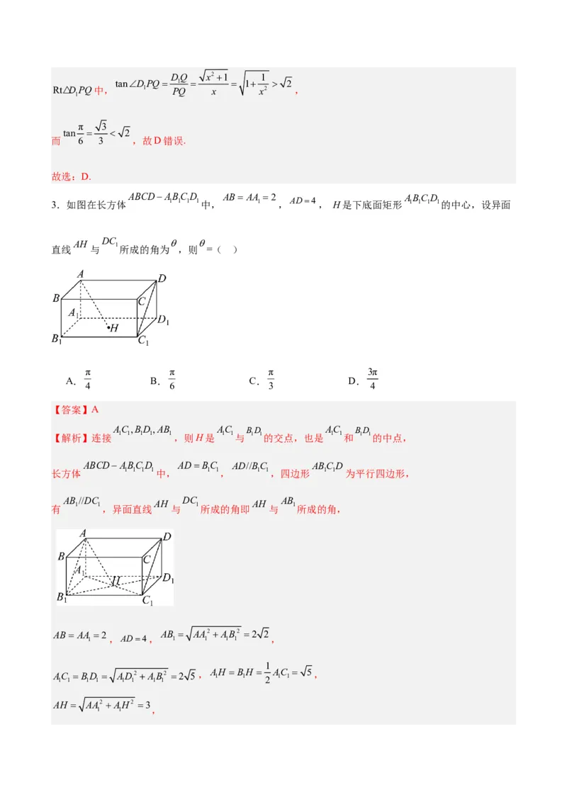
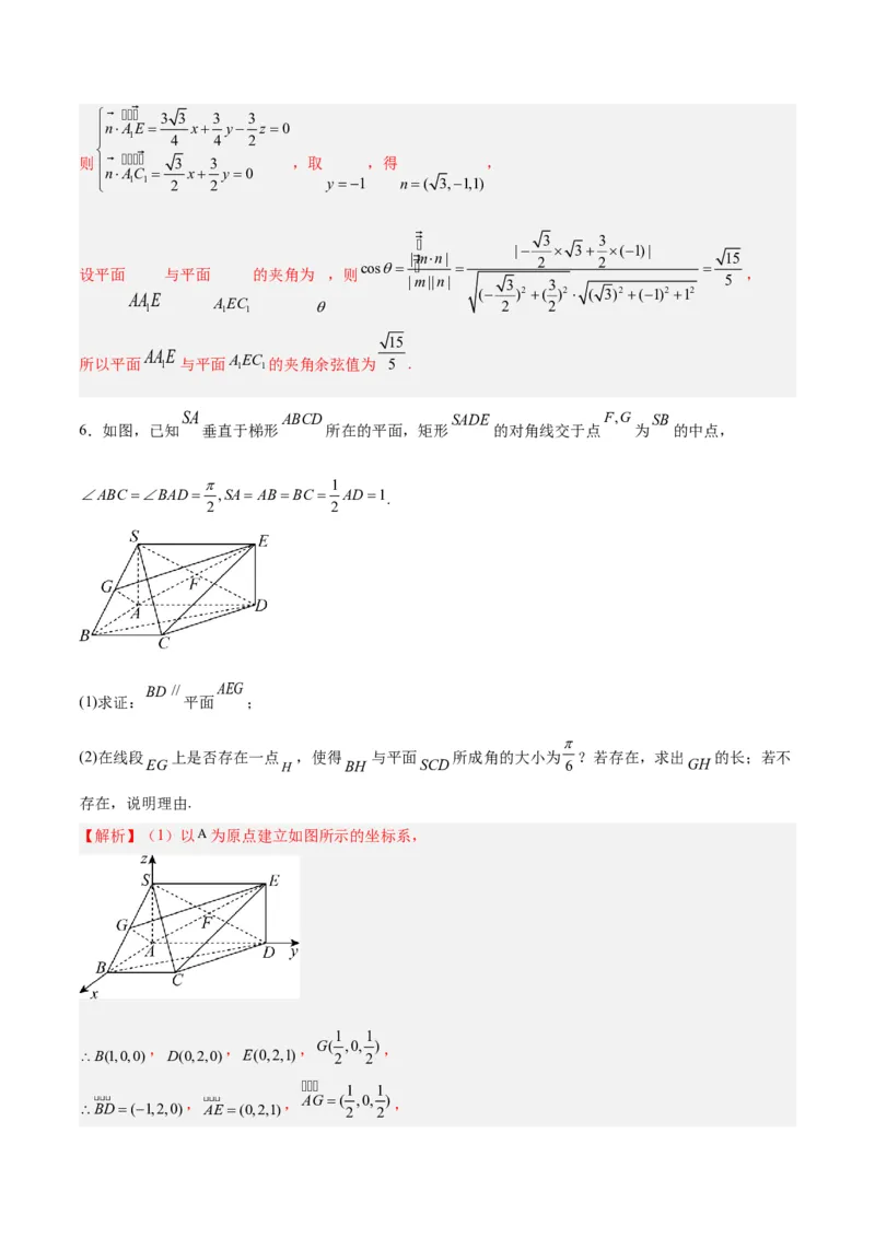
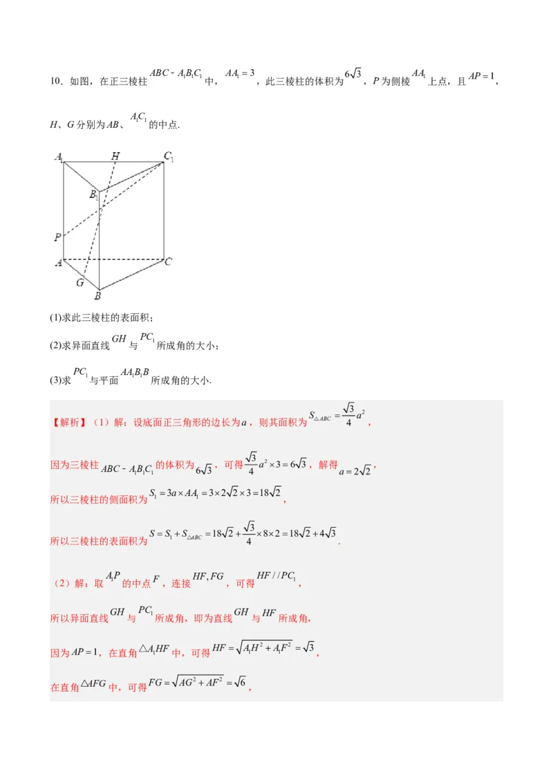
专题 09 立体几何 易错点一:对斜二测法规则掌握不牢(斜二测求算面积及周长) 水平放置的平面图形的直观图的画法 用斜二测画法画水平放置的平面图形的直观图的步骤 空间几何体直观图的画法 立体图形直观图的画法步骤 (1)画轴:与平面图形的直观图画法相比多了一个z 轴,直观图中与之对应的是 z ′轴. (2)画底面:平面 x ′ O ′ y ′表示水平平面,平面 y ′ O ′ z ′和 x ′ O ′ z ′表示竖直平面,按照平面图形的画法, 画底面的直观图. (3)画侧棱:已知图形中平行于z轴(或在z轴上)的线段,在其直观图中平行性和长度都不变. (4)成图:去掉辅助线,将被遮挡的部分改为 虚线 . 易错提醒:①建立坐标系;②“位置规则”——与坐标轴的平行的线段平行关系不变;③“长度规则”——图形中平行于x轴的线段,在直观图中保持长度不变,平行于y轴的线段,长度减为原来的一半. 例.如图矩形O'A'B'C'是水平放置的一个平面四边形OABC的直观图,其中O'A'=3,O'C'=1, (1)判断平面四边形OABC的形状并求周长; (2)若该四边形OABC以OA为旋转轴,旋转一周,求旋转形成的几何体的体积及表面积. 【解析】(1)将直观图还原得 ,如下图, 所以 , 所以平面四边形 为菱形,其周长为 . (2)四边形 以 为旋转轴,旋转一周,得到一个圆柱和两个一样的圆锥, , , 所以 . A B C D 变形1.如图,梯形 1 1 1 1是一水平放置的平面图形 在斜二测画法下的直观图.若 平行于 轴, ,求梯形 的面积.【解析】如图,根据直观图画法的规则, 直观图中 平行于 轴, , 原图中 , ⇒ 从而得出AD⊥DC,且 , 直观图中 , , 原图中 , , ⇒ 即四边形ABCD上底和下底边长分别为2,3,高为2,如图. 故其面积 . 变形2.如图所示,正方形 是一个水平放置的平面图形OABC的直观图,其中 . (1)求原图形的面积; (2)将原图形以OA所在的直线为轴,旋转一周得到一个几何体,求该几何体的表面积与体积.(注:图形 OABC与正方形 的各点分别一对应,如OB对应直观图中的 ) 【解析】(1)原图形OABC是个平行四边形,如下图所示 底为OA=2,高为 , ∴ ;(2)得到的几何体是一个组合体,其形状是圆柱一侧挖去一个圆锥,另一侧有多出一个相同的圆锥, ∴几何体体积 ∴几何体表面积 变形3.(1)如图, A′B′C′是水平放置的平面图形的斜二测直观图,将其恢复成原图形; △ (2)在(1)中若 , 轴且 ,求原平面图形 ABC的面积. △ 【解析】(1)画法:①画直角坐标系xOy,在x轴上取 ,即 . ②在题图中,过 作 轴,交x′轴于 ,在x轴上取 ,过D作 轴,并使 . ③连接AB,BC,则 ABC即为 A′B′C′原来的图形,如图. △ △ (2)∵ ,∴BD⊥AC. 又 且 ,∴ .∴ . 1.如图, 是水平放置的平面图形的斜二测直观图, (1)画出它的原图形, (2)若 的面积是 ,求原图形中 边上的高和原图形的面积. 【解析】(1)画出平面直角坐标系 ,在 轴上取 ,即 , 在图①中,过 作 轴,交 轴于 ,在 轴上取 , 过点 作 轴,并使 , 连接 , ,则 即为 原来的图形,如图②所示: (2)由(1)知,原图形中, 于点 ,则 为原图形中 边上的高,且 , 在直观图中作 于点 ,则 的面积 , 在直角三角形 中, ,所以 , 所以 . 故原图形中 边上的高为 ,原图形的面积为 . 2.画出图中水平放置的四边形 的直观图 ,并求出直观图中三角形 的面积. 【解析】根据题意,结合斜二测画法的规则,可得水平放置的四边形 的直观图 , 如图所示,则 的面积为 . 3.用斜二测画法画一个水平放管的平面图,其直观图如图所示,已知 , , ,且 . (1)求原平面图形ABCD的面积; (2)将原平面图形ABCD绕BC旋转一周,求所形成的几何体的表面积和体积. 【解析】(1)还原平面图形ABCD,如图, 因为 , , ,且 ,所以 , , ,且 , , 原平面图形ABCD为直角梯形,故 ; (2)将原平面图形ABCD绕BC旋转一周,所得几何体是一个圆柱挖去一个圆锥,如图, 其中圆柱的底面半径为3,高为6,圆锥的底面半径为3,高为4,母线长为5, 所以几何体的表面积为 , 几何体的体积为 4.如图所示,正方形 是一个水平放置的平面图形 的直观图,其中 . (1)求原图形的面积; (2)将原图形以 所在的直线为轴,旋转一周得到一个几何体,求该几何体的表面积与体积.(注:图形 与正方形 的各点分别对应,如 对应直观图中的 ) 【解析】(1)原图形 是个平行四边形,如下图所示,底为 ,高为 .. (2)得到的几何体是一个组合体,其形状是圆柱一侧挖去一个圆锥, 另一侧有多出一个相同的圆锥. 几何体表面积 . 几何体体积 . 5.用斜二测画法画一个水平放置的平面图形的直观图为如图所示,已知 , 且 . (1)求原平面图形 的面积; (2)将原平面图形 绕 旋转一周,求所形成的几何体的体积. 【解析】(1)将直观图复原为原图,如图,作 , 则 , , 则 , ,即原图形 为直角梯形, 故原平面图形 的面积为 . (2)将原平面图形 绕 旋转一周, 所形成的几何体是一个以 为底面半径的圆锥和一个以 为底面半径的圆柱组成的组合体, 其体积为 . 6.用斜二测画法画一个水平放置的平面图形的直观图,如图所示.已知 ,且 ∥ . (1)在平面直角坐标系中作出原平面图形ABCD并求面积; (2)将原平面图形ABCD绕BC旋转一周,求所形成的几何体的表面积和体积. 【解析】(1)如图所示:梯形ABCD为还原的平面图形,作 交AD于点, 因为 ,所以 , 所以 . (2)将原平面图形ABCD绕BC旋转一周,所得几何体是一个以AB为底面半径的圆柱挖去一个以EC为 底面半径的圆锥, , , , 所以所形成的几何体的表面积为 ,, , 所形成的几何体的体积为 . 7.如图,梯形 是水平放置的四边形 的斜二测画法的直观图,已知 , , . (1)在下面给定的表格中画出四边形 (不需写作图过程); (2)若四边形 以 所在直线为轴,其余三边旋转一周形成的面围成一个几何体,说出该几何体的结 构特征,并求该几何体的体积. 【解析】(1)因为 与 轴重合,则 与 轴重合,且 ; 与 轴平行,则 与 轴平行,且 ; 与 轴重合,则 与 轴重合,且 ; 连接 ,即可得四边形 . (2)如图所示,所得几何体的上半部分为圆锥,下半部分为圆柱截取一个圆锥, 故体积为 .8.如图,一个水平放置的平面图形的直观图 是边长为2的菱形,且 ,求原平面图形的周 长. 【解析】由题可知, , ,∴ . 还原直观图可得原平面图形,如图所示: 则 , , , ∴ , ∴原平面图形的周长为 . 9.如图所示, 为四边形OABC的斜二测直观图,其中 , , . (1)画出四边形OABC的平面图并标出边长,并求平面四边形OABC的面积; (2)若该四边形OABC以OA为旋转轴,旋转一周,求旋转形成的几何体的体积及表面积. 【解析】(1)解:在直观图中 , , .所以在平面图形中 , , , 所以 , 所以平面四边形 的平面图形如下图所示: 由上图可知,平面四边形 为直角梯形, 所以面积为 . (2)旋转而成的几何体可以看成圆柱加上一个同底的圆锥, 由(1)可知几何体底面圆半径为 ,圆柱母线长和高都为1,即 ; 圆锥的高为 ,母线长为 所以体积 ; 所以表面积 . 10.如图,矩形 是用斜二测画法画出的水平放置的一个平面四边形 的直观图,其中 , . (1)画出平面四边形 的平面图,并计算其面积; (2)若该四边形 以 为轴,旋转一周,求旋转形成的几何体的体积和表面积. 【解析】(1)如图1,设 与 交点为 , 因为 , ,所以 , . 的平面图如图2所示: 则 , . (2)由(1)可得,在 中,有 , 所以, ,所以 . 如图3,分别过点 作 及其延长线的垂线,垂足为 . 矩形 绕 及其延长线,旋转一周得到一个底面半径 ,母线 的圆柱; 绕 ,旋转一周得到一个底面半径 ,母线 ,高 的圆锥; 绕 及其延长线,旋转一周得到一个底面半径 ,母线 ,高 的圆锥. 所以,旋转形成的几何体为圆柱挖去一个同底的圆锥,与一个同底的圆锥构成的组合体. 则旋转形成的几何体的体积即等于圆柱的体积,减去挖去的圆锥体积,加上组合的圆锥的体积,所以,旋转形成的几何体的体积 . 旋转形成的几何体的表面积即等于圆柱的侧面积,加上两个圆锥的侧面积之和, 所以 . 11.在 中,角 所对边分别为 ,若 . (1)证明: 为等边三角形; (2)若(1)中的等边 边长为2,试用斜二测法画出其直观图,并求直观图面积. 注:只需画出直观图并求面积,不用写出详细的作图步骤. 【解析】(1)由题及余弦定理知, 即 又因为 ,所以 ,即 , . 因此, 为等边三角形. (2)画法:①如图(1),在等边 中,取 所在直线为 轴, 的垂直平分线为 轴,两轴相交于 点 ; 在图(2)中,画相应的 轴与 轴,两轴相交于点 ,使 ; 1 ②在图(2)中,以 为中点,在 轴上取 BCBC ,在 y轴上取OA 2 OA; AB,AC x y ABC ABC ③连接 ,擦去辅助线 轴和 轴,得等边 的直观图 (图(3)).ABC ABBC 2 BC h 3 因为 是边长为2的正三角形,所以 , 边上的高为 , 1 3 在 中, ,所以BCBC 2,AO AO , AOC AOC45 2 2 3 2 6 边上的高h AOsinAOC   , BC 2 2 4 1 1 6 6 故S  BCh 2  , △ABC 2 2 4 4 6 故直观图ABC面积 4 . 易错点二:空间点、线、面位置关系不清(点、线、面之间的关系)  结论:①要证线∥面,条件为3个,其中必有《线 面》 ②要证线⊥面,条件为2个,其中必有《线∥线或面∥面》 ③要证线∥线(面∥面),条件为2或3个,其中必有《两个线⊥面》 ④要证线⊥线(面⊥面),条件为2个,其中必有《⊥、∥()》  、、  ⑤要证线⊥线(面⊥面),条件为3个,其中必有《  线面、∥∥》 易错提醒:空间点、线、面位置关系的组合判断是考查学生对空间点、线、面位置关系判断和性质掌握程 度的重要题型。解决这类问题的基本思路有两条:一是逐个寻找反例作出否定的判断,逐个进行逻辑证明 作出肯定的判断;二是结合长方体模型或实际空间位置(如教室、课桌、灯管)作出判断。 a,b , a b 例 .已知 为两条不同的直线, 为两个不同的平面,且 , ,则下列命题中的假命题是 r r a//b //  ab A.若 ,则 B.若 ,则a,b , , a,b C.若 相交,则 相交 D.若 相交,则 相交 a b   a b 【解析】解:由 、 为两条不同的直线, 、 为两个不同的平面,且 , , a//b a a // 若 ,我们可得 且 ,由垂直于同一直线的两个平面平行,可得 ,故A正确; r r  a// a ab 若 ,则 或 ,此时 ,故B正确; a b a b     若 、 相交,则表示 , 不平行,则 , 也不平行,则 、 相交,故C正确;   a b 若 、 相交,则 、 既可以是相交直线,也可以是异面直线.故D错误 故选:D. l m n    变式1.在空间中,已知 , , 为不同的直线, , , 为不同的平面,则下列判断正确的是( ) m m//n n// m m//  A.若 , ,则 B.若 且 ,则 l m l n m n l    // C.若 , , , ,则 D.若 , ,则 m m//n n// n A m m//  B 【解析】若 , ,则 或 ,故 错误; 若 且 ,则 ,故 正确;若 l m,l n,m,n,则l与相交或l,故C错误;若,,则,不一定平行, 故D错误. 故选:B a,b , 变式2.已知 为两条不同的直线, 为两个不同的平面,则( ) a b   a b ①若 , ,且 ∥ ,则 ∥ ; r r a b    ab ②若 , ∥ ,且 ∥ ,则 ; ③若a∥,b,且,则a∥b; r r a b  ab ④若 , ,且 ,则 . 其中真命题的个数是( ) A.4 B.3 C.2 D.1 【解析】由b且∥,可得b,而垂直同一个平面的两条直线相互平行,故①正确;  由于∥,a,所以a,则ab,故②正确;  a , ab 若 与平面 的交线平行,则 , 故不一定有a∥b,故③错误; l  cl 设 ,在平面 内作直线 , ,则c,又a,所以aPc, b,c bc ba 3 ,所以 ,从而有 ,故④正确.因此,真命题的个数是 .故选:B 变式3.若l,m为两条不同的直线,为平面,且l//,则“m”是“ml” ( ) A.充分不必要条件 B.必要不充分条件 C.充要条件 D.既不充分也不必要条件 【解析】由l//且m,能推出ml,充分性成立; 若l//且ml,则m或m//或m与相交,必要性不成立, ∴“m”是“ml”的充分不必要条件. 故选:A. 1.已知不同直线a,b,不同平面α,β,γ,下列说法正确的是 ( ) a,b,a∥,b∥ ∥ A.若 ,则 a∥b,a∥,b bP B.若 ,则 ,,a a C.若 ,则 a,ab,b  D.若 ,则 【答案】BC a,b,a∥,b∥ , 【解析】对于A,若 ,此时 可能相交,如下图所示:l,a,b l , 当 都与 平行时, 相交,故A错误; aP c aPc c 对于B,由 ,利用线面平行的性质可知存在直线 满足 ,且 , ab bPc b bP 又 ,所以 ,又 ,所以可得 ,即B正确; ,,a m,n 对于C,若 ,不妨设 , 如下图所示: 假设a不成立, 过直线a上一点A作ABn于点B,作AC m于点C; ,,m,n AB,AC  由 可知, , 这与“过平面外一点有且仅有一条直线与该平面垂直”矛盾, AB,AC a a 所以 应重合为交线 ,所以 ,可得C正确; 对于D,如图所示: a ab b , 若 , , ,此时 可能斜交,不一定垂直,所以D错误; 故选:BC, m,n,l 2.已知 为两个不同的平面, 为三条不同的直线,则下列结论中不一定成立的是( ) ,l// l// A.若 ,则 l ,l  // B.若 ,则 l m,l n l,m,n  C.若 ,且 ,则 l//m,l//n m,n // D.若 ,且 ,则 【答案】ACD ,l// l// l, 【解析】对于选项A:若 ,则 或 相交, ABCDABCD ABCD ADDA 例如在正方体 1 1 1 1中,平面 平面 1 1, BC,BD ABCD BC// ADDA BD ADDA D 且 平面 ,可知 平面 1 1, 平面 1 1 ,故A不一定成立; l ,l  ∥ 对于选项B:若 ,由线面垂直的性质可知 ,故B成立; l m,l n l,m,n , 对于选项C:若 ,且 ,则 不一定垂直, ABCDABCD ABCD ABC D 例如在正方体 1 1 1 1中,平面 ∥平面 1 1 1 1, BC,AD ABCD AB  ABC D AB BC,AB  AD 且 平面 , 1 1 平面 1 1 1 1, 1 1 1 1 ,故C不一定成立; l//m,l//n m,n // 对于选项D:若 ,且 ,则 不一定成立, ABCDABCD ABCD ADDA  AD 例如在正方体 1 1 1 1中,平面 平面 1 1 ,BC ABCD AD  ADDA BC//AD,AD //AD 且 平面 , 1 1 平面 1 1,可知 1 1 ,故D不一定成立; 故选:ACD. m,n , m,n 3.设 是两条不同的直线, 是两个不同的平面,且 ,则下列命题正确的为( ) m∥,n∥ ∥ m  A.若 ,则 ; B.若 ,则 ; ∥ m∥,n∥  m,n C.若 ,则 ; D.若 ,则 . 【答案】BC m∥,n∥ , 【解析】对A, ,但 位置关系不能确定,故A错误; m m  对B,由面面垂直的判定可得,因为 , ,则 ,故B正确; ∥ m m n∥ 对C,由面面平行的性质可得若 , ,则 ,同理 ,故C正确;  l m,n l m,n 对D,若 ,且交于 ,但 不一定垂直于 ,则 不成立,故D错误. 故选:BC l m n    4.已知 , , 为三条不同的直线, , , 为三个不同的平面,则下列说法中正确的有( ) A.若l ,ml,则m//   l l  B.若 , , ,则 // l m   l//m C.若 , , 分别与 , 所成的角相等,则 l m I n lmP l m n P D.若 , , ,且 ,则 , , 交于点 【答案】BD 【解析】对于A,当l ,ml时,m//或m,所以A错误, a,b  ma  nb a,b l 对于B,如图,设 ,在平面 内作 ,在平面 内作 ,且 与 不重合,因  a ma m m n m n m n 为 , , , ,所以 ,同理可得 ,所以 ∥ ,因为 , ,n  n l n l n l  所以 ∥ ,因为 , ,所以 ∥ ,因为 ,所以 ,所以B正确, // l m   l m  l m 对于C,当 , , 分别与 , 所成的角相等时,则 , 与 所成的角相等,所以可将 , 看成 正三棱锥PABC的两条侧棱所在的直线,平面为该正三棱锥的底面ABC所在的平面,则l,m与所 成的角相等,但直线l,m相交,所以C错误, l m lmP P,P I n Pn 对于D,因为 , , ,所以 ,因为 ,所以由公理3可得 , 所以D正确, 故选:BD   5.设l是直线, , 是两个不同的平面,下列命题中正确的是( ) l// l// //  l// l  A.若 , ,则 B.若 , ,则 l  l  // // l  l  C.若 , ,则 D.若 , ,则 【答案】CD   【解析】l是直线, , 是两个不同的平面,知:l// l//   在A中,若 , ,则 与 相交或平行,故A错误,  l// l l// l  在B中,若 , ,则 或 或 与 相交,相交也不一定垂直,故B错误, l  l  // 在C中,若 , ,由直线与平面垂直的性质,可得 ,故C正确, // l  l  在D中, , ,由直线与平面垂直的性质,可得 ,故D正确, 故选:CD   e  l n,n , , 6.已知 为直线 的方向向量, 1 2 分别为平面 的法向量( 不重合),那么下列说法中正确的有 ( )     e n l// n n  A. 1 B. 1 2     n //n // e n l  C. 1 2 D. 1 【答案】BC   e  l n,n , , 【解析】因为 为直线 的方向向量, 1 2 分别为平面 的法向量( 不重合),   e n l// l 1 或 ,故A、D错误;   n n  1 2 ,B正确;   n // n // 1 2 ,C正确; 故选:BC  m 7.已知平面 平面 ,则下列结论一定正确的是( ) a  a  A.存在直线 平面 ,使得直线 平面 a  a//  B.存在直线 平面 ,使得直线 平面 a  b  a b C.存在直线 平面 ,直线 平面 ,使得直线 直线 a  b  a// b D.存在直线 平面 ,直线 平面 ,使得直线 直线【答案】BCD a  a   【解析】A. 若存在直线 平面 ,使得直线 平面 ,则 ,故错误; a//m a,m a// B.当 时,又 ,所以 ,故正确; r r am,b,b//m ab C.当 时, ,故正确; a//m,b,b//m a//b D. 当 时, ,故正确; 故选:BCD   8.设m,n是两条不同的直线, , 是两个不同的平面,则下列说法中正确的有( )  m nm n A.若 , , ,则 m// m//n n // B.若 , , ,则 m//n n m  C.若 , , ,则 m n // mn D.若 , , ,则 【答案】CD 【解析】A.缺少n这个条件,故A错误; m// m//n n // B. 若 , , ,则 或相交,故B错误; m//n n m m  C. 若 , ,则 ,又 ,则 ,故C正确; m // m n mn D.若 , ,则 ,又 ,则 ,故D正确. 故选:CD m n    9.若 , 为空间中两条不同的直线, , , 为空间三个不同的平面,则下列结论正确的是( )   // m m//  A.若 , ,则 B.若 , ,则 m// n mn // m// n m//n C.若 , ,则 D.若 , , ,则 【答案】BC   【解析】对于A,若 , ,则可能 ,故A错误; m//  b b/ /m 对于B,因为 ,则能在 内找一条直线 ,使得 , m b b  因为 ,则 ,因为 ,由面面垂直的判定定理可得 ,故B正确; 对于C,若m//,则能在内找一条直线c,使得c//m, n,c,则mc,又因为c//m,所以mn,故C正确; // m// n m,n 对于D,若 , , ,则 可能异面,故D错误. 故选:BC. m n   10. 、 是两条不同的直线, 、 是两个不重合的平面,下列说法正确的是( ) m n m// m// n// n// // A. 、 是异面直线,若 , , , ,则 // m// m// B.若 , ,则 mn m n  C.若 , , ,则 m m//n n//  D.若 , , ,则 【答案】AD 【解析】对于A选项,在直线m上取一点O,过点O作直线n,使得n//n, 过直线n作平面  ,使得 a ,如下图所示: 因为n//, n , a ,则a//n,又因为n//n,则a//n, 因为n,a,则n//,设直线m、n确定平面, m// mnO m n // // // 因为 , , 、 ,所以, ,同理可证 ,故 ,A对;// m// m// m 对于B选项,若 , ,则 或 ,B错; mn m n   对于C选项,若 , , ,则 、 相交(不一定垂直)或平行,C错; 对于D选项,因为m,m//n,则n, 过直线n作平面,使得b,如下图所示: n// n b b//n 因为 , , ,则 , n b b  因为 ,则 ,又因为 ,所以, ,D对. 故选:AD. m,n , 11.已知 为两条不同的直线, 为两个不同的平面,则下列说法中正确的是( ) m//,n m//n m,n// mn A.若 ,则 B.若 ,则 mα,n β,α//β m//n mn,n, m C.若 ,则 D.若 ,则 【答案】BC m//,n m//n m n 【解析】对于A,若 ,则 ,或 与 异面,故A错误; m,n// mn 对于B,若 ,则 ,故B正确; mα,n β,α//β m//n 对于C,若 ,则 ,故C正确; mn,n, m m m// m  对于D,如下图,在长方体中, ,则 , , 或 与 相交,故D错误. 故选:BC.易错点三: 忽略异面直线的夹角与向量的夹角范围不同(异面直线成角问 题) 常规方法: 第一步:将所求直线中的一条用刻度尺进行平移然后与另一条直线衔接出现三角形 第二步:将三角形画到草稿纸上并利用空间图求出各边的长 第三步:利用余弦定理求出待求角 第四步:检查若求出的角为锐角或直角则即为所求,若求出的角为钝角则补角即为所求 秒杀: 四面体的任何一组对棱都是异面直线,因此以四面体为载体,把异面直线放在四面体对棱所在的位置, 利用四面体对棱夹角公式处理异面直线角度问题 ABCD AC BD  结论:在四面体 中,若 与 所成的角为     AB2 CD2  BC2 DA2 cos 四面体对棱夹角公式: 2ACDB ACDB 2ACDB cos AC,DB   证明如下: AC  DB 2AC  DB     2ACBD ACBDCADB AC DA AB CA BCCD 因为  ACDA ACABCABCCACD ACAB ACBCCACDCADA              AC ABBC CA CDDA  ABBC  ABBC  CDDA  CDDA2 2  2 2 2 2  2 2  AB BC CD DA  AB  CD  BC  DA      2 2  2 2 AB  CD  BC  DA   AB2 CD2    BC2 DA2    所以cos AC,DB   2AC  DB 2ACDB  易错提醒:两异面直线所成角的范围是(0, ]。两向量的夹角的范围是 ,需要注意两者的区别与联 2 [0,] 系. 例 .已知正四面体ABCD,M为AB中点,则直线CM与直线BD所成角的余弦值为( ) 2 3 21 4 21 A.3 B. 6 C. 21 D. 21 【解析】如图,设正四面体ABCD的棱长为2,取AD的中点F ,连接MF、CF, 1 因为 、 分别为 、 的中点,则 且MF  BD1, M F AB AD MF//BD 2 因此CMF或其补角为直线CM 与直线BD所成的角, ABC M AB CM AB CM  ACsin60  3 因为 为等边三角形, 为 的中点,则 ,且 , 1 1 MF 同理 ,在等腰 中,cosCMF  2  2  3 , CF  3 CMF MC 3 6 3 所以直线CM与直线BD所成角的余弦值为 6 . 故选:BABCD,ABEF N AB M,O EF,AC 变式1.如图,正方形 的边长均为2,动点 在线段 上移动, 分别为线段 中 点,且MO平面ABCD,则当MNO取最大值时,异面直线MN与FC所成角的余弦值为( ) 2 2 3 3 A. 4 B. 2 C. 2 D. 3 【解析】因为MO平面ABCD,ON 平面ABCD,所以MOON , 所以MNO为直角三角形,所以当NO最短时,MNO取最大值, 可知NO AB,即N 为AB的中点时,MNO取最大值, 因为M,O分别固定在线段EF,AC的中点处, ON 1 所以 ,所以cosMNO  , ON 1,MN 2 MN 2 MNO MNO60 OM  3 因为 为锐角,所以 ,所以 , 取AD的中点G,连接OG,GC,GF , M,N EF,AB AN FM AN  FM MN AF 因为 分别为线段 的中点,则 ∥ ,且 ,且 ∥ , 可知异面直线MN与FC所成角为AFC(或其补角) O,G AC,AD OG CD OG CD 且 分别为线段 的中点,则 ∥ ,且 , 且AB∥CD,且AB CD,可得OG∥FM ,且OG FM ,可知OMFG为平行四边形,则GF ∥OM ,且GF  OM , 又因为MO平面ABCD,则GF 平面ABCD, 由GC平面ABCD,可得GFGC, AC 2 2,GC  5,CF  GC2GF2 2 2 可得 , AF2FC2AC2 488 2 cosAFC   在△AFC中,由余弦定理可得 2AFFC 222 2 4 , 2 所以异面直线MN与FC所成角的余弦值为 4 . 故选:A PABC PA ABC AB2 AC 2 BC 2 2 PA3 PB 变式2.已知三棱锥 中, 平面 , , , , ,D为 的中点, 则异面直线AD与PC所成角的余弦值为( ) 2 15 5 3 5 9 A. 15 B. 12 C.14 D.13 【解析】如图所示,取BC的中点E,连接AE,DE, 则DE//PC,ADE或其补角即为异面直线AD与PC所成的角. AB2 AC 2 BC 2 2 AB2AC2 BC2 ABAC 由 , , ,则有 ,所以 , AE 2 E为BC的中点,则 , 1 13 DE PC  PA平面ABC,Rt△PAC中,PC  PA2AC2  94  13,∴ 2 2 13 中, ,∴DA , RtPAB PB PA2AB2  94  13 213 13  2 AD2DE2AE2 4 4 9 cosADE   在 中,根据余弦定理可得 2ADDE 13 13. 2 VADE 4 9 所以异面直线AD与PC所成角的余弦值为 . 13 故选:D 变式3.在四棱锥PABCD中,PD平面ABCD,四边形ABCD为菱形,PD AB,DAB60,点E 为PD的中点,则异面直线CE与PB所成角的余弦值为( ) 2 5 10 A. 5 B. 5 10 2 5   C. 5 D. 5 【解析】解:如图所示: AC,BD O EO 连接 交于点 ,连接 , 因为EO//PB, 所以CEO(补角)是异面直线CE与PB所成角. 因为PD平面ABCD,AC平面ABCD, 所以PD AC, 又因为四边形ABCD为菱形, BD AC BDPDD AC  所以 ,又 ,所以 平面PBD, 又EO平面PBD,所以AC EO,则△EOC为直角三角形, PD AB2a △EOC EO 2a,OC  3a EC  5a 设 ,在 中, ,EO 10 cosCEO  所以 EC 5 ,故选:B. 1.在正方体ABCDA 1 B 1 C 1 D 1 中,若点N 是棱BB 1 上的动点,点M 是线段A 1 C 1 (不含线段的端点)上的动 点,则下列说法正确的是( ) π A.存在直线 MN ,使MN//B 1 C B.异面直线 CM 与 AB 所成的角可能为 3 π C.直线 CM 与平面 BND 所成的角为 3 D.平面 BMC// 平面C 1 NA 【答案】B  BC BCCB MN BCCB N 【解析】对于A, 1 平面 1 1, 平面 1 1 ,  当 N 与 B 1重合时, MN 与 B 1 C 相交;当 N 与 B 1不重合时, MN 与 B 1 C 异面; MN BC 即不存在直线 与直线 1 平行,A错误; 对于B,过点 M 作 MH//A 1 B 1,交 B 1 C 1于点 H ,连接 CH , AB//AB //MH CMH CM,AB 1 1 , 或其补角即为异面直线 所成角; QAB 平面 BCC 1 B 1, MH  平面 BCC 1 B 1,又 CH  平面 BCC 1 B 1, MH CH ; MH CH  BC MH x 设正方体的棱长为1, MH x0x1 ,则 1 A 1 B 1 1 1 , CH 1x2 tanCMH   HC 1x2 ,, MH x , π 1x2 2 CMH   3 x 0,1 若 3,则 x ,解得: 2 , π 异面直线 所成的角可以为 ,B正确;  CM,AB 3 对于C,连接AC,交BD于点O,连接MO,  BB  ABCD AC ABCD BB  AC 1 平面 , 平面 , 1 ,  四边形 ABCD 为正方形, ACBD ,又 BDBB 1 B , BD,BB 1  平面 BND , AC平面BND,CMO即为直线CM 与平面BND所成角, 2 CM a  0a 2  CO 设正方体棱长为1, 1 ,则 2 ,CM  1a2 , CO 2 sinCMO  CM 2 1a2 , π 2 3 CMO  若 3,则2 1a2 2 ,方程无解,π 直线 与平面 所成的角不能为 ,C错误;  CM BND 3 MG//BC AB G BG 对于D,作 1 1,交 1 1于点 ,连接 ,  MG//BC //BC M,G,B,C 1 1 , 四点共面,  BG,AN  ABBA BG AN BG AN 平面 1 1, 与 不平行, 与 相交, BMC CNA 即平面 与平面 1 总是相交,D错误. 故选:B. 2.棱长为1的正方体 ABCDA₁B₁C₁D₁中,若点P为线段A₁B上的动点(不含端点),则下列结论错误的是 ( ) A.平面A₁D₁P平面AA₁P B.四面体D₁B₁CP的体积是定值 π C.△APD 1 可能是钝角三角形 D.直线 D₁P 与 AB 所成的角可能为 6 【答案】D ABCDABCD AB 【解析】在正方体 1 1 1 1中, P 为线段 1 上的动点(不含端点), DA AB DA AA AB AAA AB AA AAP DA  AAP 1 1 1 1, 1 1 1 , 1 1 1 1, 1 1, 1 平面 1 , 1 1 平面 1 ,D 1 A 1  平面 A 1 D 1 P ,  平面 A 1 D 1 P 平面 AA 1 P ,故A正确; 连接CD,BD,BP,BC,PC, 1 1 1 1 1 BP//CD BP BDC CD  BDC BP// BDC 因为 1, 平面 1 1 , 1 平面 1 1 ,所以 平面 1 1 , PBDC 因此四面体 1 1 的底面是确定的,高也是定值,其体积为定值, 所以四面体D₁B₁CP的体积是定值,故B正确; AD AB 2 因为正方体的棱长为1,所以 1 1 , 1 2 AP AB 若P是A 1 B上靠近A 1 的一个四等分点,则 1 4 1 4 , 2  2 9 DP2 AD2AP2 1   所以 1 1 1 1  4  8,   2  2 2 2 5 AP2 AA2AP22AA APcos4512   21   此时 1 1 1 1  4  4 2 8,   DP2AP2AD2 DPA △APD 因为 1 1 ,此时 1 为钝角, 1是钝角三角形,故C正确; PQ//AB AA Q 过 P 点作 ,交 1 于 , 正方体中 AB 平面 ADD 1 A 1,则 PQ 平面 ADD 1 A 1, DQ ADDA PQDQ DPQ 1 平面 1 1, 1 ,直线 D₁P 与 AB 所成的角为 1 , 设 PQx ,则 0x1 ,有 A 1 Qx , D 1 Q x21 ,DQ x21 1 tanDPQ 1   1  2 RtDPQ中, 1 PQ x x2 , 1 π 3 tan   2 而 6 3 ,故D错误. 故选:D. ABCDABCD AB AA 2 ABC D 3.如图在长方体 1 1 1 1中, 1 , AD4 , H是下底面矩形 1 1 1 1的中心,设异面 直线 AH 与 DC 1所成的角为  ,则  =( ) π π π 3π A. B. C. D. 4 6 3 4 【答案】A AC ,BD,AB AC BD AC BD 【解析】连接 1 1 1 1 1,则H是 1 1与 1 1的交点,也是 1 1和 1 1的中点, ABCDABCD ADBC AD//BC ABCD 长方体 1 1 1 1中, 1 1, 1 1,四边形 1 1 为平行四边形, AB //DC DC AB 有 1 1,异面直线 AH 与 1所成的角即 AH 与 1所成的角, AB AA 2 AB  AA2AB2 2 2 1 ,AD4, 1 1 1 1 , 1 A 1 C 1 B 1 D 1  A 1 D 1 2A 1 B 1 2 2 5,A 1 H B 1 H  2 A 1 C 1  5, AH  AA2AH2 3 1 1 ,ABH 1 中,由余弦定理得, AB2AH2BH2 2 π π cosBAH  1 1  BAH   1 2AB AH 2 ,则 1 4,即 4. 1 故选:A 4.在正四面体PABC中,棱长为2,且E是棱AB中点,则异面直线PE与BC夹角的余弦值为( ) 3 3 3 3   A. 6 B. 6 C. 3 D. 3 【答案】B AC G EG,PG 【解析】取 的中点 ,连接 , 易得EG//BC,故PEG或其补角为异面直线PE与BC夹角, PEPG 3,EG1 又正四面体棱长为2,故 , PE2EG2PG2 1 3 cosPEG   2PEEG 2 3 6 , 3 故异面直线PE与BC夹角的余弦值为 6 . 故选:B. ABCDABCD 5.已知正方体 1 1 1 1的棱长为1, P 是空间中任意一点,则下列说法中错误的是( ) 3 π A.该正方体外接球的体积为 2 2 B.若M 是棱C 1 D 1 中点,则异面直线AM与CC 1 夹角的余弦值为 3AD CPCB C.若点 P 在线段 1上运动,则始终有 1 1 1 D.若点 在线段 上运动,则三棱锥 体积为定值 P AD 1 DBPC 1 12 【答案】D 3 【解析】对于A:正方体外接球的直径为体对角线,即 ,所以R , 2R 3 2 4 3 V  πR3  π 所以 3 2 ,A正确; 对于B:如图所示,异面直线 AM 和 CC 1所成角即为 A 1 AM , AA 1 2 cosAAM  1   所以 1 AM 1 2 3 ,所以B正确; 1212  2 BC BC BC BBCC 对于C:如图所示,连接 1,则 1 1 ,又 AB 平面 1 1 , BC BBCC ABBC 而 1 平面 1 1 ,所以 1 , ABI BC B ABCD BC  ABCD 因为 1 ,且 AB 平面 1 1, 1 平面 1 1, BC ABCD 所以 1 平面 1 1, CP ABCD BC CP 而 1 平面 1 1,所以 1 1 ,C正确; AD//BC AD  BCD AD // BCD AD BCD 对于D:因为 1 1, 1 平面 1 ,所以 1 平面 1 ,所以直线 1上的点到平面 1 距离相 等, 1 1 1 V V V V  111  所以 DBPC 1 PBC 1 D ABC 1 D C 1 ABD 3 2 6 ,所以D错误,故选:D ABC- ABC BCA90,D,F AB,AC BC CACC BD AF 6.在直三棱柱 1 1 1中, 1 1分别是 1 1 1 1的中点, 1,则 1与 1 所成角的余弦值是( ) 30 30 15 1 A. 10 B.2 C. 15 D. 10 【答案】A    C CB,CA,CC x,y,z 【解析】以点 为原点,以 1为 轴的正方向建立空间直角坐标系, BC CACC 2 A0,2,0 A 0,2,2 B2,0,0 B 2,0,2 D 1,1,2 设 1 ,则 , 1 , , 1 , 1 ,   C 0,0,2 F 0,1,2 BD 1,1,2 AF 0,1,2 1 , 1 ,所以 1 , 1 ,     AF BD 1122 3 30 cosAF,BD  1 1    所以 1 1 AF BD 6 5 30 10 , 1 1 故选:A. 2 ABCD BD ABD CBD 120 7.把边长为 的正方形 对角线 折起,使得平面 与平面 所成二面角的大小为 ,则 异面直线AD与BC所成角的余弦值为( ) 1 1 3 3 A. B. C. D. 4 4 4 4 【答案】D 【解析】取BD中点O,连接AO,CO,以OC,OB分别为x, y 轴,垂直面BOC的直线为z轴,建立空oxyz 间直角坐标系 ,如图所示, ABCD 2 OAOBOC1 因为 是边长为 的正方形,所以 , B(0,1,0) C(1,0,0) D(0,1,0) 则 , , , 又易知,OABD,OC BD,所以AOC为二面角ABDC的平面角,  1 3 A ,0,  由题知, ,所以 ,则  2 2  AOC 120 A0Z 30    A  D  ( 1 ,1, 3 )  所以, 2 2 ,BC (1,1,0),   1 3   ADBC 2 1 2 3 cos AD,BC       故 AD  BC 1 3 2 4, 1  2 4 4 3 所以,异面直线 与 所成角的余弦值为 . AD BC 4 故选:D. 8.如图,在棱长为1的正方体中,下列结论不正确的是( ) BC A.异面直线AC与 1所成的角为60°AB ABCD B.直线 1与平面 1 1所成角为45° ABCB 2 C.二面角 1 的正切值为 3 π D.四面体D ABC的外接球的体积为 2 1 1 【答案】B AC//AC BC ACB 【解析】选项A,由正方体性质易得 1 1,因此异面直线AC与 1所成的角为 1 1 或其补角, △ACB AC B60 1 1 是等边三角形, 1 1 ,A正确; 选项B,由 AB 平面 BCC 1 B 1, B 1 C 平面 BCC 1 B 1,得 ABB 1 C ,又 B 1 C BC 1, ABI BC 1 B , AB,BC  ABCD 1 平面 1 1, BC ABCD BCBC M BAM AB ABCD 所以 1 平面 1 1,设 1 1 ,则 1 是直线 1与平面 1 1所成角, 由 B 1 C 平面 ABC 1 D 1, AM  平面 ABC 1 D 1,可得 B 1 C  AM , BM 1 sinB AM  1  在直角ABM 中, 1 AB 2,BAM 30,B错; 1 1 1AB 选项C,由上分析得 是二面角 的平面角,由 得tanAMB  2,C正确; AMB AB 1 CB ABBC 1 BM D ABC ABCDABCD 选项D,四面体 1 1 的外接球即为正方体 1 1 1 1的外接球,由正方体性质知其外接球半径 3 4 3 3 π( )3  π 为 2 ,因此体积为3 2 2 ,D正确; 故选:B. 9.如图,在四棱锥PABCD中,PA底面ABCD,PA2,底面ABCD为边长为2的正方形,E为PD 的中点,则异面直线BD与AE所成的角的余弦值为( ) 1 2 3 1 A.3 B.2 C. 3 D. 3 【答案】B 【解析】如图所示:取BP中点为F ,连接EF,AF , △PBD E,F PB,PD EF∥BD 在 中, 分别为 中点,故 , FEA即为异面直线BD与AE所成的角(或补角), 1 1 1 在 中,AF  BP 2 ,AE PD 2,EF  BD 2, △AEF 2 2 21 即 为等边三角形, ,cosFEA . △AEF FEA60 2 故选:B. ABC- ABC AB2,BB  2 AC BC 10.如图,在正三棱柱 1 1 1中,若 1 ,则 1与 1 所成角的大小为 ( ) 135 105 90 60 A. B. C. D. 【答案】C CC ,BC ,AC D,E,F DE,DF,EF 【解析】如图所示,分别取 1 1 1 的中点 ,连接 , DE//BC DF//AC 可得 1 且 1, 所以异面直线 AC 1与 B 1 C 所成的角,即为直线 DE 与 DF 所成的角,设 EDF  , ABC- ABC 因为三棱柱 1 1 1为正三棱柱, AB2,BB  2 因为 1 , 2  2 6 在直角 中,可得DF  CD2CF2      12  , 2 2 CDF   2  2 6 在直角 △CDE 中,可得DE C 1 D2C 1 E2     2    12  2 , 1 再取 BC 的中点 M ,连接 EM,FM ,可得 EM //BB 1, 因为 BB 1  底面 ABC ,所以 EM  底面 ABC , 在直角Rt△EFM 中,EF  FM2EM2  12( 2)2  3 可得 , 3 3  3 DE2DF2EF2 2 2 cos  0 所以 2DEDF 6 6 ,所以 , 2  2 2 90 AC BC 90 所以异面直线 1与 1 所成的角为 . 故选:C. ABCDABCD BC AB 11.棱长为2的正方体 1 1 1 1中, P 是 1中点,则异面直线 PD 与 1 所成角的余弦值是 ( ) 3 2 3 2 A. 6 B. 6 C. 3 D. 3 【答案】A AC AC O PO,DO 【解析】解法一:连接 1 1,取 1 1的中点 ,连接 ,如图所示, O,P 分别是 A 1 C 1 ,BC 1的中点, PO//A 1 B ,则 DPO 是异面直线 PD 与 A 1 B 所成角或其补角. 2 2 正方体棱长为2,面对角线长为 ,由正方体的结构可知,Rt△ DCP 中,DC2, PC  2 ,则 DP DC2PC2  6 , 1 同理 ,在 中, ,OP AB 2, DO 6 DPO DODP 6 2 1 DP2OP2DO2 626 3 cosDPO   由余弦定理可知 2DPOP 2 6 2 6 . 3 所以异面直线PD与A 1 B所成角的余弦值是 6 .    解法二:以 D 为原点, DA,DC,DD 1的方向为 x 轴, y 轴, z 轴正方向,建立如图所示的空间直角坐标系, B2,2,0,D0,0,0,A 2,0,2,P1,2,1 则 1 ,     DPAB 2 3   cos DP,AB   1   有 AB0,2,2,DP1,2,1, 1 DP AB 2 2 6 6 , 1 1 3 所以异面直线PD与A 1 B所成角的余弦值是 6 . 故选:A. 易错点四: 线面角与向量夹角转化不清等问题(求线面角) 线与面的夹角 ①定义:平面上的一条斜线与它在平面的射影所成的锐角即为斜线与平面的线面角. ②范围:[0, ] 2 ③求法: 常规法:过平面外一点B做BB平面,交平面于点B';连接 AB,则BAB即为直线 AB与 BB h 平面 的夹角.接下来在 中解三角形.即sinBAB  (其中 即点 到面 的距  Rt△ABB AB 斜线长 h B  离,可以采用等体积法求h,斜线长即为线段AB的长度);  ABn    cossin 0,  向量法:线面角    AB  n   2  AB  AB 提示: 是线 与平面法向量的夹角, 是线 与平面的夹角    a n  a n 易错提醒:若直线与平面所成的角为 ,直线的方向向量为 ,平面的法向量为 ,则sin =|cos< , >|。容易出错的是①误以为直线的方向向量与平面的法向量所成角就是线面角;②误以为直线的方向向量 与平面的法向量所成角的余弦就是线面角的正弦,而忘了加绝对值. 例.如图,在四棱锥PABCD中,底面ABCD是正方形,侧棱PD底面ABCD,E,F 分别是PC,AD的 中点. (1)求证:DE//平面PFB; PB PCD 30 PB2 FPBC (2)若 与平面 所成角为 , ,求二面角 的正弦值. 【解析】(1)取PB的中点G,连接GE,FG,又E是PC的中点, 1 所以 ,且GE BC, GE//BC 2 又F是AD 的中点,底面ABCD是正方形,1 1 所以FD AD BC,且 2 2 FD//BC 所以FDGE,FD//GE, 故四边形FDEG为平行四边形,则DE//FG, 又DE平面PFB,FG平面PFB,所以DE//平面PFB. (2)因为PD底面ABCD,所以PDBC, 又CDBC,CDPDD, CD平面PCD,且PD平面PCD, 所以BC⊥平面PCD,则PC即PB在平面PCD内的射影, 所以BPC是PB与平面PCD所成角,即BPC 30, RtPBC PB2 BC 1,PC  3 且在 中, ,则 , 又底面ABCD为正方形, RtPDC PC  3 CD1 PD 2 在 中, , ,则 .    DA DC DP 以D为原点, , , 的方向分别为x轴、y轴、z轴的正方向,建立如图所示的空间直角坐标系. 1    D(0,0,0),B(1,1,0),C(0,1,0),F ,0,0,P 0,0, 2 则 2  ,  P  B    1,1, 2  ,  F  B      1 2 ,1,0   , C  B  1,0,0 , C  P    0,1, 2  , r nx,y,z 令 为平面PFB的法向量,   nPBxy 2z0    1 则 nFB xy0 ,令 ,得 n    4,2, 2 ,  2 x4 ma,b,c 令 为平面PBC的法向量,    mCBa0, 则  m  C  P  b 2c0, 令 c 2 ,得m    0,2, 2 ,    mn 2 33 cos m,n     所以 m n 6 22 33 , 2  33 4 66 设二面角 的大小为θ,则sin 1      , 33 33 FPBC   4 66 所以二面角FPBC 的正弦值为 33 . 变式1.如图,在四棱锥PABCD中,底面ABCD为直角梯形,AD//BC,ADDC,PAPDPB, 1 BCDC AD2, 为 的中点,且 .记 的中点为 ,若 在线段 上(异于 、 两 2 E AD PE4 PE N M BC B C 点). (1)若点M 是BC中点,证明:MN//平面PCD; 3 (2)若直线MN与平面PAB所成角的正弦值为 9 ,求线段BM 的长. 【解析】(1) 证明:取线段PD的中点G,连接NG、CG,1 因为 ,BC  AD,因为 为 的中点,则 且 , AD//BC 2 E AD BC//DE BC DE 1 因为 为 的中点,则 且CM  DE, M BC CM//DE 2 1 因为 、 分别为 、 的中点,所以, 且NG DE, N G PE PD NG//DE 2 所以,CM//NG且CM NG, 所以,四边形CGNM 为平行四边形,则MN//CG, 因为MN平面PCD,CG平面PCD,所以,MN//平面PCD. (2)连接BE, 1 因为 ,BC  AD, 为 的中点,则 且 , AD//BC 2 E AD BC//DE BC DE  AE 所以,四边形BCDE为平行四边形,所以,BE//CD,且BECD, 1 因为CD AD AE,则 ,又因为 ,则 , 2 AEBE ADCD BE  AD 因为PAPD,E为AD的中点,则PEAD, 因为PAPB,EAEB,PEPE,所以,△PAE≌△PBE, PEBPEA90 PEBE 所以, ,则 , 又因为ADBEE,AD、BE平面ABCD,所以,PE平面ABCD, 以点 E 为坐标原点, EA 、 EB 、 EP 所在直线分别为 x 、 y 、z轴建立空间直角坐标系, 则 A2,0,0 、 B0,2,0 P0,0,4 N0,0,2 、 、 , BM a0a2 Ma,2,0 设 ,则 ,    AB2,2,0 AP2,0,4 mx,y,z , ,设平面PAB的法向量为 ,    mAB2x2y0 则  m    A  P  2x4z0 ,取 x2 ,可得  m  2,2,1,  3 MN a,2,2 ,若直线MN与平面PAB所成角的正弦值为 9 ,    MNn 2a2 3 则 cos MN,n      ,整理可得 , MN  n a283 9 11a224a40 2 2 因为 ,解得a ,故BM  . 0a2 11 11 ABC- ABC AA 4 AC  ABC ACB90 AC  AC 变式2.如图,三棱柱 1 1 1中, 1 , 1 底面 , , 1 . A BCCB (1)求点 1到平面 1 1的距离; AA BB BCCB (2)若直线 1与 1距离为4,求 AB 与平面 1 1所成角的正弦值. AC  ABC BC ABC AC BC 【解析】(1)因为 1 底面 , 平面 ,所以 1 , BC  AC AC AC ACC A ACAC C BC ACC A 又 , 1 、 平面 1 1, 1 ,所以 平面 1 1, BC BCCB ACC A  BCCB 又 平面 1 1,所以平面 1 1 平面 1 1, A AOCC CC O ACC A  BCCB CC AO ACC A 过 1作 1 1交 1于 ,又平面 1 1 平面 1 1 1, 1 平面 1 1, AO BCCB AO A BCCB 所以 1 平面 1 1,则 1 的长为点 1到平面 1 1的距离. Rt△ACC AC  AC AA CC 4 AO2 在 1 1中, 1 1 1, 1 1 ,则 1 . A BCCB 所以点 1到平面 1 1的距离为2. AB AC  AC BC  AC BC  AC (2)连结 1 ,因为 1 , 1 , , Rt△ACB≌Rt△ACB BABA 所以 1 ,所以 1, BD AA AA AA 过 B 作 1,交 1于 D ,则 D 为 1中点,AA BB 由直线 1与 1距离为4,所以 BD4 , AD2 AB2 5 BCCB 因为 1 ,所以 ,又点 A 到平面 1 1距离也为2, 2 1 5 sin   设AB与平面BCC 1 B 1 所成角为,则 2 5 5 5 . 变式3.如图,在四棱锥PABCD中,底面ABCD为矩形,AD平面ABP,AD2AB2BP4,E为 BC的中点. (1)证明:平面PED平面PAD. 4 5 (2)若点A到平面PED的距离为 5 ,求直线PA与平面PCD所成角的正弦值. 【解析】(1)如图,取PD的中点F,PA的中点G,连接EF,FG,BG. ∵AD平面ABP,BG平面ABP,∴ADBG. ∵ABBP,∴BG AP. ∵AP,AD平面PAD,APAD A,∴BG平面PAD 1 1 ∵ ,FG AD, ,BE AD, FG//AD 2 BE//AD 2 ∴FG//BE,FGBE,∴四边形BEFG是平行四边形,∴EF//BG, ∴EF平面PAD,又EF 平面PED,∴平面PED平面PAD.(2)取AB的中点H,连接PH,AC.∵BC平面ABP,BP平面ABP, BC BP PE PB2BE2 DE CD2CE2 2 2 ∴ ,∴ , EF DP PD 42AP2 ∴ ,易得 . 1 1 4 5 1 1 V   PDEF V   4APEF ∵ APED 3 2 5 EPAD 3 2 ,∴AP2. ∵AD平面ABP,AD平面ABCD,∴平面ABCD平面ABP. 又PAPB,∴PH  AB,∴PH 平面ABCD PH  3 CD2 PD2 5 PC 2 5 易得 , , , , 1 ∴S △PCD  2 2 201 19. 设点A到平面PCD的距离为h, 1 1 1 4 57 V   24 3V   19h h ∵ PACD 3 2 APCD 3 ,得 19 , h 2 57  ∴直线PA与平面PCD所成角的正弦值为PA 19 . 1.已知三棱锥PABC中,ABAC,PA平面ABC, PAAB3, AC4,M 为BC中点,过点M 分别作平行于 平面PAB的直线交AC、PC于点E、F.(1)求直线PM 与平面ABC所成的角的正切值; (2)证明:平面MEF//平面PAB,并求直线ME到平面PAB的距离. 【解析】(1) 因为PA平面ABC,连接AM , 则PMA即为直线PM 与平面ABC所成的角, 又PA AB3,AC 4,ABAC, 5 为 中点,可得 ,AM  , M BC BC5 2 PA 6 所以tanPMA  , AM 5 6 即直线 与平面 所成的角的正切值为 . PM ABC 5 (2)由题知,ME//平面PAB,MF //平面PAB, MEMF M ,ME,MF 平面MEF , 所以平面MEF//平面PAB. 因为PA平面ABC,AC平面ABC, 所以PA AC, AC  AB AB,PA PAB ABPA A 又 , 平面 , , 所以AC 平面PAB,又ME//平面PAB, 所以AE就是直线ME到平面PAB的距离, 又M 为BC中点, 1 则AE  AC 2, 2即直线ME到平面PAB的距离为2. 2 3 ABCDABCD △AAC 2.如图,在体积为 的四棱柱 1 1 1 1中,底面ABCD是正方形, 1 是边长为2的正三角 形. ACC A  BDDB (1)求证:平面 1 1 平面 1 1. AC BDDB (2)求 1 与平面 1 1所成角的正弦值. ABCDABCD 【解析】(1)设四棱柱 1 1 1 1的高为h. ABCDABCD 因为四棱柱 1 1 1 1的底面ABCD是正方形,且 AC 2 , ABCDABCD 2 3 所以正方形ABCD的面积为2.因为四棱柱 1 1 1 1的体积为 , 所以 2h2 3 ,得 h 3 ,即点 A 1到平面ABCD的距离为 3 . AO △AAC AO 3 连接 1 .因为 1 是边长为2的正三角形,所以 1 , AO A AO 即 1 为点 1到平面ABCD的距离,所以 1 平面ABCD. BC AOBD BD AC 因为 平面ABCD,所以 1 .在正方形ABCD中, . AOAC O ACC A BDDB 因为 1 ,所以 BD 平面 1 1.因为 BD 平面 1 1, BDDB  ACC A 所以平面 1 1 平面 1 1. OA (2)方法一由(1)知,OA,OB, 1两两垂直,如图(1), OA 以点O为坐标原点,分别以OA,OB, 1所在直线为x轴、y轴、z轴,Oxyz O0,0,0 A1,0,0 B0,1,0 建立空间直角坐标系 ,则 , , ,       C1,0,0 A 0,0, 3 AC  1,0, 3 OB0,1,0 , 1 ,所以 1 , , uuur uuur    BB  AA  1,0, 3 BDDB nx,y,z 1 1 .设平面 1 1的法向量为 ,    nOB0,  y0, 则   所以  令 ,则   . nBB 1 0, x 3z0. z1 n 3,0,1 图(1)   ACn sin  1   设 与平面 所成角为 ,则 A 1 C BDD 1 B 1  A 1 C n 1 300   3  1 3   1202   3 2   3 2 0212 2 , 3 所以AC与平面BDDB 所成角的正弦值为 2 . 1 1 1 AC BD O OO OO 方法二 如图(2),设 1 1与 1 1交于点 1,连接 1,则直线 1 BDDB ACC A BDDB  ACC A 就是平面 1 1与平面 1 1的交线.因为平面 1 1 平面 1 1, A BDDB OO AC ACC A 所以点 1在平面 1 1上的射影必在直线 1上.又因为 1 平面 1 1, AC OO OEC AC BDDB 所以直线 1 与直线 1的夹角 就是直线 1 与平面 1 1所成的角.图(2) AC OO OEC AAC △AAC 设 1 与 1交于点E,则 1 .因为 1 是边长为2的正三角形, 3 所以 ,所以直线 与平面 所成角的正弦值为sin60 . AAC 60 AC BDDB 1 1 1 1 2 3.如图,已知四棱锥PABCD中,PA平面ABCD,ABAD,AD//BC,PA AB AD2BC 2, E为PD中点. (1)求证:CE//平面PAB; (2)求直线CE与平面PAC 所成角的正弦值. 【解析】(1) 取PA中点F ,连接EF,BF, 1 因为F,E分别为 PA,PD 的中点,所以 EF∥AD ,EF  2 AD, 因为AD∥BC,AD2BC,所以FE∥BC,EF BC, 所以四边形EFBC为平行四边形,BFCE, 因为BF平面PAB,CE平面PAB,所以CE∥平面PAB. (2)过点B作BH  AC于点H,连接FH , 因为BFCE,所以直线CE与平面PAC 所成角和直线BF与平面PAC 所成角相等,因为PA平面ABCD,BH 平面ABCD,所以BH PA, 因为PAAC  A,PA,AC平面PAC ,所以BH 平面PAC , 所以BFH 为直线BF与平面PAC 所成角, 12 2 5 BH   BF  2212  5,AC  221 5, 5 5 , 2 5 所以 BH 5 2, sinBFH    BF 5 5 2 所以直线 与平面 所成角的正弦值为 . CE PAC 5 4.如图,在四棱锥PABCD中,底面ABCD为正方形,PE AB,PAPD,PAPD,E为AD的中 点. (1)求证:PE平面ABCD; (2)求直线PE和平面PBC 所成角的正弦值. 【解析】(1)在四棱锥PABCD中,由PAPD,E为AD的中点,得PEAD, 而PE AB,ADAB A,AD,AB平面ABCD, 所以PE平面ABCD. BC F EF,PF ABCD E AD EF//AB (2)取 中点 ,连接 ,由 是正方形, 为 的中点,得 , 而ABBC,则EFBC,由(1)知PE平面ABCD,BC平面ABCD,则PEBC, PEEF E,PE,EF  PEF BC PEF BC PBC 而 平面 ,于是 平面 ,又 平面 , 则平面PEF 平面PBC ,因此PE在平面PBC 上的射影为平面PEF与平面PBC 的交线PF, 则EPF为直线PE和平面PBC 所成的角,1 1 由 , , 为 的中点,得PE AD EF , PAPD PAPD E AD 2 2 5 PF  PE2EF2  EF 由PE平面ABCD,EF 平面ABCD,得PEEF, 2 , EF 2 5 sinEPF   所以直线PE和平面PBC 所成的角的正弦值为 PF 5 . ABCDABCD ABBC CA 3 ADCD1 AACC  ABCD 5.如图,在四棱柱 1 1 1 1中, , ,平面 1 1 平面 , AA  AB 1 . AA  ABCD (1)求证: 1 平面 ; AAE (2)若E为线段BC的中点,直线 A 1 E 与平面ABCD所成角为45°,求平面 1 与平面 A 1 EC 1的夹角的余弦 值. 【解析】(1)连接BD,设ACBDF, 由BABC,DADC,得BD是线段AC的垂直平分线,即有BD AC, 平面 AA 1 C 1 C  平面 ABCD ,平面 AA 1 C 1 C 平面 ABCD AC , BD 平面 ABCD ,于是 BD 平面 AA 1 C 1 C , AA  AACC AA BD AA  AB AB,BD ABCD ABBDB 而 1 平面 1 1 ,则 1 ,又 1 , 平面 , , AA  ABCD 所以 1 平面 .1 3 AF  AC  (2)由ABBC CA 3,得BAC 60,又ADCD1,AC  3, 2 2 ,则 DAC 30 ,      于是DAB90,又 AA 1  AB ,AA 1 AD,则以 AB,AD,AA 1 为正交基底,建立空间直角坐标系Axyz, 3 3 AE AB 在ABC中,E为BC中点,即有 2 2, 3 由AA 平面 ABCD ,得AEA为AE与平面 ABCD 所成角,即AEA45,有AA 1  AE 2 , 1 1 1 1  3 3 3 3 3 3 3 3 3 A 0,0,  E( , ,0) C ( , , ) C( , ,0) 则 1  2, 4 4 , 1 2 2 2 ,B( 3,0,0), 2 2 , AA  ABCD BC ABCD BC  AA 由 1 平面 , 平面 ,得 1, AAE AAE 又BC  AE, AE,AA 1  平面 1 , AEAA 1  A ,则BC平面 1 ,   3 3 mBC ( , ,0) 于是平面AAE的一个法向量为 2 2 , 1  3 3 3 3  3 3 设平面AEC 的一个法向量为 n r x,y,z , A 1 E( 4 , 4 , 2 ) , A 1 C 1 ( 2 , 2 ,0) , 1 1  3 3 3 3 nAE  x y z0  1 4 4 2  则  3 3 ,取 ,得 , nAC  x y0    1 1 2 2 y1 n( 3,1,1)   3 3 |  3 (1)| cos |   mn|  2 2  15 设平面 与平面 的夹角为 ,则 , |m||n| 3 3 5 AAE ( )2( )2  ( 3)2(1)212 1 A 1 EC 1  2 2 15 AAE 所以平面 1 与平面A 1 EC 1 的夹角余弦值为 5 . SA ABCD SADE F,G SB 6.如图,已知 垂直于梯形 所在的平面,矩形 的对角线交于点 为 的中点,  1 ABC BAD ,SA ABBC  AD1. 2 2 BD // AEG (1)求证: 平面 ;  (2)在线段 上是否存在一点 ,使得 与平面 所成角的大小为 ?若存在,求出 的长;若不 EG H BH SCD 6 GH 存在,说明理由. 【解析】(1)以A为原点建立如图所示的坐标系, 1 1 , , ,G( ,0, ), B(1,0,0) D(0,2,0) E(0,2,1) 2 2  ,  ,  A  G  ( 1 ,0, 1 ), BD(1,2,0) AE(0,2,1) 2 2 AEG m(x,y,z) 设面 的法向量为 , 2yz0  1 1  1  x z0,令 ,则m(1, ,1), 2 2 x1 2   BDm0 ,    BD AEG BDm0 平面 , , BD// AEG 平面 ;   1 1 (2)假设存在点 ,设GH GE( ,2, ), H 2 2    1 1 1 1 则BH BGGE (  ,2,  ), 2 2 2 2  SCD n(a,b,c) 设面 法向量 ,    SC (1,1,1) CD(1,1,0) , , abc0   ab0 ,令a1,则n(1,1,2), 1 1    | 2  2 21| 1 sin |cosn,BH |  6 1 2 , 6 42 (1)2 2 (1)2 0 1 ,即 ,  1 1 GH ( ,2, ), 2 2  3 2 |GH ||GH | 故存在满足题意的点H,此时 2 . P ABCD PA ABCD PA AB2,BC 1 7.如图, 是矩形 所在平面外一点,且 平面 .已知 .(1)求二面角PBCD的大小; (2)求直线PB与平面PAC 所成角的大小. 【解析】(1)因为底面ABCD为矩形,所以BC  AB, 又因为PA平面ABCD,AB、BC平面ABCD, 所以PABC,PA AB, PAAB A,PA、AB PAB BC PAB 平面 ,所以 平面 , 又PB平面PAB,所以PBBC, 易知二面角PBCD即二面角PBCA, 因为PBBC,BC  AB,所以PBA即其平面角, PA π 由题意易知tanPBA 1PBA , AB 4 π 故二面角 的大小为 ; PBCD 4 (2)如图所示,过B作BOAC交AC于点O,连接PO, 根据已知PA平面ABCD,BO平面ABCD,所以PABO, PAAC =A,PA、AC� PAC 因为 平面 , 所以BO平面APC, 由直线与平面的夹角的定义可知直线PB与平面PAC 所成角为BPO, 2 矩形 中,易知BOAC  ABBCBO ,又易知 , ABCD 5 PB 2AB2 2 BO 2 1 10 sinBPO    所以 BP 5 2 2 10 ,10 arcsin 所以直线PB与平面PAC 所成角大小为 10 . PABCD ABCD ADC 45,AD AC 1 O AC 8.如图,在四棱锥 中,底面 为平行四边形, , 为 中点, PO平面ABCD,PO2,M 为PD中点. (1)证明:PB //平面ACM ; (2)证明:AD平面PAC ; (3)求直线AM 与平面ABCD所成角的余弦值. 【解析】(1)连接BD,OM , 因为底面ABCD为平行四边形,O为AC中点, 故BD与AC相交于O, 因为M 为PD的中点, 则OM // PB, 因为OM 平面ACM ,PB平面ACM , 所以PB //平面ACM ;ADC 45,AD AC 1 (2)因为 , AD2 CD2  AC2 1CD21 由余弦定理得cosADC  ,即cos45 , 2ADCD 2CD CD 2 解得 , 因为AD2AC2 CD2,所以AD⊥AC, 因为PO⊥平面ABCD,AD平面ABCD,所以PO⊥AD, AC,PO PAC ACPOO 因为 平面 , , 所以AD平面PAC ; OD N MN,AN MN // OP (3)取 的中点 ,连接 ,则 , 因为PO⊥平面ABCD,所以MN⊥平面ABCD, 则MAN 为直线AM 与平面ABCD所成角, 1 其中 ,故MN  OP1, PO2 2 1 1 1 5 AO AC  OD AD2AO2  1  因为AD⊥AC, 2 2 ,由勾股定理得 4 2 , 1 5 AN  OD 故 2 4 , 21 AM  AN2MN2  由勾股定理得 4 , 5 AN 4 105 cosMAN    所以 . AM 21 21 4PABCD PA ABCD ADCD,AB∥CD,PA ADCD1,AB2 9.如图,在四棱锥 中, 平面 , ,点 M 是PB的中点. (1)证明:PB2CM ; (2)求直线DM 与平面ACM 所成的角的正弦值. 【解析】(1)取AB中点F ,连接CF,如图所示,, 则AF CD1,又因为AB∥CD AF∥CD, 所以四边形AFCD是平行四边形, 又ADCD,ADCD, 所以平行四边形AFCD为正方形, 所以ABCF,即ABC是等腰三角形, AC BC  2 AC2BC2 4 AB2 则 ,所以 , 即ACBC, 因为PA平面ABCD,BC平面ABCD, 所以PABC, 又因为PA,AC平面PAC ,PAAC  A, 所以BC平面PAC , 因为PC平面PAC ,所以BC PC,又因为点M 是PB的中点, 所以由直角三角形性质易得PB2CM . (2)因为PA平面ABCD,AD,AB平面ABCD, 所以PA AD,PA AB, 又因为四边形AFCD是正方形,所以ADAB,      AD,AB,AP 如图,以 为正交基底建立空间直角坐标系Axyz,  1 A0,0,0,C1,1,0,D1,0,0,M0,1,  则  2,   1    1 DM 1,1, ,AC 1,1,0,AM 0,1,  所以  2  2,  ACM nx,y,z 设平面 的一个法向量为 ,    xy0  n AC  nAC 0       1 则n AM nAM 0  y z0,  2  x1 y1,z2 n1,1,2 令 ,即 ,  π 0  设直线DM 与平面ACM 所成的角为  2,     nDM 1 6 sin cos n,DM      所以 n DM 9 9 , 6 4 6 所以直线DM 与平面ACM 所成的角的正弦值为 9 .10.如图,在正三棱柱 ABC- A 1 B 1 C 1中, AA 1 3 ,此三棱柱的体积为 6 3 ,P为侧棱 AA 1上点,且 AP1 , AC H、G分别为AB、 1 1的中点. (1)求此三棱柱的表面积; GH PC (2)求异面直线 与 1所成角的大小; PC AABB (3)求 1与平面 1 1 所成角的大小. 3 S  a2 【解析】(1)解:设底面正三角形的边长为a,则其面积为 △ABC 4 , 3 因为三棱柱 的体积为 ,可得 a236 3,解得 , ABC- A 1 B 1 C 1 6 3 4 a2 2 S 3aAA 32 2318 2 所以三棱柱的侧面积为 1 1 , 3 S S S 18 2 8218 24 3 所以三棱柱的表面积为 1 ABC 4 . (2)解:取 A 1 P 的中点 F ,连接 HF,FG ,可得 HF//PC 1, 所以异面直线 GH 与 PC 1所成角,即为直线 GH 与 HF 所成角, △AHF HF  AH2AF2  3 因为AP1,在直角 1 中,可得 1 1 , 在直角AFG 中,可得 FG AG2AF2  6 ,AC M GM,HM △GHM GH  GM2HM2  11 取 的中点 ,连接 ,在直角 中,可得 , 3116 4 33 cosGHF   在HFG中,由余弦定理得 2 3 11 33 , 4 33 arccos 所以异面直线GH 与PC 所成角的大小为 33 . 1 AB CE  AB (3)解:取 1 1的中点 E ,可得 1 1 1, ABC- ABC ABC  ABBA 在正三棱柱 1 1 1中,可得平面 1 1 1 平面 1 1, ABC � ABBA  AB CE ABBA 且平面 1 1 1 平面 1 1 1 1,可得 1 平面 1 1, PCE PC ABBA 所以 1 为直线 1与平面 1 1所成的角, ! APE PE AP2AE2  6 CE 6 在直角 1 中, 1 1 ,且 1 , CE 在直角△PCE中,可得tanPC 1 E P 1 E 1,所以PCE45. 1 1 ABCDABCD ABBC 2 AA 3 (了解一下)11.如图,在长方体 1 1 1 1中,已知 , 1 .(1)若点 P 是棱 DD 1上的中点,求证: AC 与 BP 垂直; AB ACC A (2)求直线 1与平面 1 1的夹角大小. 【解析】(1) AC,BD,BP,BD,AC BD I AC O 如图1,连接 1 1 1 1,且 1 1 1 1 , 因为ABBC 2,由已知可得,ABCD为正方形, 所以,ACBD. AC BD 同理可得, 1 1 1 1. DD  ABCD 根据长方体的性质可得, 1 平面 , 又AC平面ABCD, DD  AC 所以, 1 . DD,BD DBBD DD I BDD 因为 1 平面 1 1, 1 , AC  DBBD 所以, 平面 1 1. DBBD 因为 BP 平面 1 1, 所以,AC BP. (2)AB,AD,AO 如图2,连接 1 1 . AC BD 由(1)知, 1 1 1 1. AA  ABC D BD  ABC D 因为 1 平面 1 1 1 1, 1 1 平面 1 1 1 1, AA BD 所以, 1 1 1. AA,AC  ACC A 因为 1 1 1 平面 1 1, BD  ACC A 所以, 1 1 平面 1 1. BAO AB ACC A 所以, 1 即为直线 1与平面 1 1的夹角. ABBC 2 AA 3 因为 , 1 , BD 2 2 AB  AD  13 所以 1 1 , 1 1 . O BD OB  2 因为 是 1 1的中点,所以 1 , OB 2 26 sinBAO 1   在RtBOA中,有 1 AB 13 13 , 1 1 26 arcsin 所以,直线AB 与平面ACC A 的夹角大小为 13 . 1 1 1 易错点五: 忽略二面角范围有重新的规定(求二面角) 二面角的求法 法一:定义法 在棱上取点,分别在两面内引两条射线与棱垂直,这两条垂线所成的角的大小就是二面角的平面角, 如图在二面角l的棱上任取一点O,以O为垂足,分别在半平面和内作垂直于棱的射线OA和 OB,则射线OA和OB所成的角称为二面角的平面角(当然两条垂线的垂足点可以不相同,那求二面角就 相当于求两条异面直线的夹角即可).法二:三垂线法 在面或面内找一合适的点A,作AO于O,过A作ABc于B,则BO为斜线AB在面内 的射影,ABO为二面角c的平面角.如图1,具体步骤: ①找点做面的垂线;即过点A,作AO于O; ②过点(与①中是同一个点)做交线的垂线;即过A作ABc于B,连接BO; ③计算:ABO为二面角c的平面角,在Rt△ABO中解三角形. A C A B a A' C' B O B' b b 图1 图2 图3 法三:射影面积法 凡二面角的图形中含有可求原图形面积和该图形在另一个半平面上的射影图形面积的都可利用射影面积公 S S cos 射 = A'B'C' 式( S S ,如图2)求出二面角的大小; 斜 ABC n n cos 1 2    0,  法四:向量法 二面角的平面角 n  n 1 2  cos 提示: 是二面角的夹角,具体 取正取负完全用眼神法观察,二面角不存在钝角之说.  cos cosa,b 易错提醒:若两个平面的法向量分别为a,b,若两个平面所成的锐二面角为,则 ;  规定两个平面所成二面角范围  0,900  ,则 cos cosa,b 。 例 .如图(1),六边形ABCDEF 是由等腰梯形ADEF 和直角梯形ABCD拼接而成,且 BADADC 90 AB AF EF ED2,ADCD4 ADBADADC 90 AB AF EF ED2,ADCD4 AD , ,沿 进行翻折,得到的图形如图(2)所 AEC 90 示,且 . (1)求证:CD平面ADEF . (2)求二面角CAED的余弦值; 【解析】(1)在等腰梯形ADEF中,作EM  AD于M, ADEF 则DM  1,AM 3,EM  3,可得 , 2 AE 39 2 3 AC 4 2 连接AC,则 , AEC90 EC 2 5 因为 ,可得 , 由ED2DC2 EC2,可得CDED, CD AD,ADI EDD AD,ED ADEF CD ADEF 且 , 平面 ,所以 平面 . (2)由(1)可知CD平面ADEF,且AE平面ADEF ,可得CD AE, CE AE CECDC CE,CD CDE AE CDE 且 , , 平面 ,可得 平面 , 且DE平面CDE,可得AEDE, 又AECE,可知CED就是二面角CAED的平面角, DE 2 5 cosCDE   在Rt△CDE,可得 CE 2 5 5 ,5 所以二面角 的余弦值为 . CAED 5 PABC PA ABC PABC2 ABPC  5 变式1.如图,在三棱锥 中, 平面 , , . (1)求点B到平面PAC 的距离; (2)设点E为线段PB的中点,求二面角ACEB的正弦值. PA ABC AB ABC BC ABC 【解析】(1)因为 平面 ,又 平面 , 平面 , PA AB,PABC 所以 , PA2,AB 5 PB 22 ( 5)2 3 又 ,由勾股定理得 , BC 2,PC  5,PB3 又 , 所以BC2PC2 PB2,故BC PC, BC PC,BC PA PCPAP,PC,PA PCA 因为 , 平面 , 所以BC平面PCA,则BC为点B到平面PAC 的距离, 故点B到平面PAC 的距离为2. ABC A BC AF PA AC,PA AF,AC  AF (2)在平面 内过点 作 的平行线 ,则 , 以A为坐标原点,以AC所在直线为x轴,AF 所在直线为 y 轴,AP所在直线为z轴建立空间直角坐标系, AC  PC2PA2  54 1 由勾股定理得: , 1  C(1,0,0),B(1,2,0),P(0,0,,2),E ,1,1 则 2 ,  1    CE ,1,1,AC (1,0,0),CB(0,2,0)  2  ,  ACE m(x,y ,z ) 设平面 的法向量为 1 1 1 , 则      A C     C  E  · · m m     0 0 ,即       x 1 2  x 0 1 y 1 z 1 0 ,取 y 1 ,则 z 1,  m  (0,1,1) , 1 1 1  BCE n(x ,y ,z ) 设平面 的法向量为 2 2 2 , 则      B C    C  E  · · n n     0 0 , , 即       y 2 1 2  x 0 2 y 2 z 2 0 ,取x 2 2,则 z 2 1,n  (2,0,1) ,   m·n 1 10 cosm,n    所以 m· n 2 5 10 , 1 3 10 sin 1  记二面角ACEB的大小为,则 10 10 , 3 10 故二面角ACEB的正弦值为 10 . 变式2.在正方体 ABCDA 1 B 1 C 1 D 1中,设 M , N 分别为棱 C 1 D 1, A 1 D 1的中点.(1)证明:CM//平面BND; (2)求二面角ABDN 的余弦值. 【解析】(1)连接 AC 交 BD 于 O ,连接 ON , MN , A 1 C 1. AC AA//CC AA CC ACC A 在正方体 1中, 1 1, 1 1,四边形 1 1是平行四边形, AC//AC AC  AC 所以 1 1, 1 1. 正方形ABCD中,ACBDO,故O是AC的中点, 1 所以 ,且OC  AC , OC//AC 2 1 1 1 1 在 D 1 A 1 C 1中, M , N 分别是 C 1 D 1, A 1 D 1的中点, 1 所以MN//AC ,且MN  2 A 1 C 1 , 1 1 所以MN//OC,且MN OC, 故四边形MNOC是平行四边形,故CM//ON , 又ON 平面BND,CM  平面BND, 所以CM//平面BND.(2)法一:以 D 为坐标原点, DA , DC , DD 1所在直线分别为 x 轴, y 轴, z 轴建立如图所示的空间直 Dxyz 角坐标系 . AC D0,0,0 A2,0,0 B2,2,0 A 2,0,2 N1,0,2 不妨设正方体 1的棱长为2,故 , , , 1 , .  在正方体 AC 1中, AA 1  平面 ABCD ,故 AA 1 0,0,2 是平面ABD的一个法向量.    mx,y,z DB2,2,0 DN 1,0,2 BDN 设 是平面 的法向量, , ,    mDB, 2x2y0, 故   即 mDN, x2z0, y2,  取x2,则z1,  m2,2,1 BDN 所以 是平面 的一个法向量.     AA m 020221 1 cos AA,m  1    故 1 AA m 020222  222212 3, 1 设二面角ABDN 的大小为,   1 据图可知,coscos AA,m  , 1 3 1 所以二面角 的余弦值为 . ABDN 3 法二:取AD的中点E,OD的中点H,连接NE,EH ,NH .AC AD //AD AD  AD 在正方体 1中, 1 1 , 1 1 , 又 N , E 分别是 A 1 D 1, AD 的中点,故 ND 1 //ED , ND 1 ED , NEDD NE//DD 四边形 1是平行四边形,所以 1, 又 DD 1  AD , DD 1 CD ,故 NE AD , NE CD , ADCDD AD,CD ABCD NE ABCD 因为 , 平面 ,所以 平面 , 又BD平面ABCD,故NE BD. 在正方形ABCD中,AOBD, 在DAO中,E,H分别是AD,OD的中点,故EH//AO,所以EH BD, NEEH E NE,EH  NEH BD NEH 又 , 平面 ,所以 平面 , 因为NH 平面,所以BDNH . 所以NHE是二面角ABDN 的平面角. AC 不妨设正方体 1的棱长为2, 1 1 2 EH  AO AC  在Rt△NEH 中,NE  AA 2, 2 4 2 , 1 2 EH 2 1 cosNHE   故 ,所以 , 3 2 NH 3 2 3 NH  NE2EH2  2 2 1 所以二面角 的余弦值为 . ABDN 3ABC E,D BC,AC DE △DCE 变式3.如图1, 为等边三角形,边长为4, 分别为 的中点,以 为折痕,将 C C BC 2 3 折起,使点 到 1的位置,且 1 ,如图2. ADC BEC l l ABC (1)设平面 1与平面 1的交线为 ,证明: 平面 1; C DEA (2)求二面角 1 的余弦值. AD,BE C CC 【解析】(1)延长 交于点 ,连接 1,如图, D,E AC,BC CDCDDA,CECE EB 依题意, 分别为 的中点,则 1 1 , ACC ,BCC AC,BC 因此 1 1分别是以 为斜边的直角三角形, CC  AC,CC BC AC BC C AC  ABC ,BC  ABC 即 1 1 1 1,又 1 1 1, 1 平面 1 1 平面 1, CC  ABC ADC  BEC l l CC 于是 1 平面 1,而平面 1 平面 1 ,显然直线 与 1重合, l ABC 所以 平面 1. (2)取 AB 的中点 N ,连接 CN 交 DE 于点 M ,则 M 为 DE 中点,连接 C 1 M,C 1 N , 由 ABC 为等边三角形,得 C 1 M DE,MN DE ,则 C 1 MN 为二面角 C 1 DEA 的平面角, CM MN  3 RtCBC BC 4,BC 2 3 CC 2 1 ,在 1中, 1 ,则 1 , CC  ABC CN  ABC CC C N CN 2 3 CN 2 2 由 1 平面 1, 1 平面 1,得 1 1 ,又 ,于是 1 , CM2MN2C N2 1 cosCMN  1 1  在CMN 中,由余弦定理得 1 2CMMN 3, 1 1 1 所以二面角 的余弦值为 . C DEA 3 1 1 . 如 图 所 示 , 在 三 棱 柱 ABC- ABC 中 , 侧 棱 AA  底 面 ABC,ABBC,D为 AC的 中 点 . 1 1 1 1 AA  AB4,BC 6. 1 AB  BCD (1)证明: 1 平面 1 ; C BDC (2)求二面角 1 的余弦值.【解析】(1) BC BC 连接 1 交 1于 E ,连接 DE , 在 VAB 1 C 中, E 为 B 1 C 中点, D 为 AC 中点, DE∥AB 所以 1, 又因为 AB 1  平面 BC 1 D , DE 平面 BC 1 D AB  BCD 所以 1 平面 1 . AA  ABC BB  ABC BB  AB,BB BC (2)由题意侧棱 1 底面 ,所以 1 底面 ,即 1 1 , BB  AB 1  ABBC  AB 又 ,所以 平面 ,  ABBC BB 1 BC B BB 1 C 1 C 所以可建立空间直角坐标系如图: 以 B 为原点,以 BB 1, BC , BA 分别为 x 轴, y 轴, z 轴, B(0,0,0) A(0,0,4) A(4,0,4) C (4,6,0) C(0,6,0) D(0,3,2) 则 , , 1 , 1 , , ,    BD(0,3,2) BC (4,6,0) AA (4,0,0) 所以 , 1 , 1 CBD n(x,y,z) 设平面 1 的法向量为 ,    BDn0 3y2z0 则    B  C  n  0    4x6y0, 1 y=2 x3,z3 取 则  CBD n(3,2,3) 所以平面 1 的一个法向量为 , AA  ABC 因为 1 底面 ,  BDC AA (4,0,0) 所以平面 的一个法向量为 1 , C BDC  设二面角 1 大小为 ,   AA n 3 3 22 cos   1   则 , AA  n 22 22 1 3 22 C BDC 所以二面角 的余弦值为 22 . 1 PABCD AB3 AD2 PA2 PD2 2 2.如图,在四棱锥 中,底面ABCD是矩形.已知 , , , , PAB60. (1)证明AD平面PAB; (2)求异面直线PC与AD所成的角的正切值; (3)求二面角PBDA的正切值. PAD PA2 PD2 2 PA2AD2 PD2 【解析】(1)证明:在 中,由题设 , 可得 . 于是ADPA. 在矩形ABCD中,ADAB.又PAAB A,PA,AB平面PAB, 所以AD平面PAB. (2)证明:由题设,BC∥AD,所以∠PCB(或其补角)是异面直线PC与AD所成的角. 在PAB中,由余弦定理得 PB PA2AB22PAABcosPAB  7 由(1)知AD平面PAB,PB平面PAB, 所以ADPB,因而BC PB,于是PBC是直角三角形, PB 7 tanPCB  故 BC 2 . PB 7 tanPCB  所以异面直线PC与AD所成的角的正切值为 BC 2 . 解法二: 由(1)可知,AD平面PAB,AD平面ABCD, 所以平面PAB平面ABCD, 作PM AB于M,MNAB交CD于N 点, 因为平面PAB平面ABCD AB, PM 平面PAB, 所以PM 平面ABCD, 又MN平面ABCD,所以PM MN,    MB,MN,MP x,y,z 以M为原点,分别以 为 轴建立空间直角坐标系,   P 0,0, 3 A1,0,0 B2,0,0 C2,2,0 D1,2,0 则 , , , , ,     PC  2,2, 3 AD0,2,0 所以 , , 设异面直线PC与AD所成的角为,  2 7 cos cos PC,AD  sin 11,则 11. 7 所以异面直线PC与AD所成的角的正切值为 2 (3) 过点M做MEBD于E,连接PE. 因为PM 平面ABCD,BD平面ABCD,所以BDPM . 又PM ME M ,因而BD平面PME, 又PE平面PME,所以BDPE 从而PEM 是二面角PBDA的平面角. 由题设可得, PM PAsin60 3 AM PAcos601 , , BM  ABAM 2 BD AB2AD2  13 , , AD 4 ME BM  , BD 13 PM 39 tanPEM   于是在Rt△PME中, ME 4 . 39 所以二面角PBDA的正切值为 4 .       PB 2,0, 3 PD 1,2, 3 解法二:由(2)知 , .  mx,y,z 设平面PBD的一个法向量为 ,    PBm0  2x 3z0 则   ,即  , PDm0 x2y 3z0x2 3 y3 3,z4 令 ,则 ,    m 2 3,3 3,4 所以 ,  n0,0,1 又平面ABD的一个法向量可以是 . 由图知二面角PBDA的大小为锐角,   4   39 cos m,n  sin m,n  所以 55 ,则 55 39 所以二面角PBDA的正切值为 4 . ABC- ABC AB AA 6 ABB 60 BB 3.如图,三棱柱 1 1 1的底面是等边三角形, 1 , 1 ,D,E,F分别为 1, CC BC 1 , 的中点. AA G FG// ADE (1)在线段 1上找一点 ,使 平面 1 ,并说明理由; AABB ABC ADE ABC (2)若平面 1 1 平面 ,求平面 1 与平面 所成二面角的正弦值. 【解析】(1)如图所示: G AA FG// ADE 当点 为 1的中点时, 平面 1 ,证明如下:FH, AH 设 H 为 DE 中点,连接 1 . ABC- ABC BB //CC //AA 因为在三棱柱 1 1 1中, 1 1 1, D, E, F, G BB, CC , BC, AA 分别为 1 1 1的中点, FH//EC//AG FH=EC=AG 所以 1 ,且 1 , AGFH 所以四边形 1 为平行四边形. FG//AH 所以 1 , AH  ADE FG ADE 又因为 1 平面 1 , 平面 1 , FG// ADE 所以 平面 1 . (2)如图所示: 取 AB 中点 O ,连接 OB 1 , AB 1 , OC . AB AA BB ABB 60 因为 1 1, 1 , ABB BO AB 所以 1为正三角形,所以 1 . 又因为平面 AA 1 B 1 B 平面 ABC ,平面 AA 1 B 1 B� 平面 ABC  AB , B 1 O 平面 AA 1 B 1 B , BO ABC 所以 1 平面 , CO,AO ABC 又 平面 , BOCO,BO AO 所以 1 1 ,因为ABC为等边三角形,所以OCAB. 以 O 为原点,分别以 OC, OA, OB 1所在直线为 x 轴, y 轴, z 轴建立空间直角坐标系,  3 3 3 A(0,3,0), B(0,3,0), C(3 3,0,0), A(0,6,3 3), B(0,0,3 3),D0, ,  依题意得 1 1  2 2 ,     15 3 3 所以 DA 1    0, 2 , 2    ,  D  E  B  C  (3 3,3,0) .  ADE n(x,y,z) 设平面 1 的法向量 ,     15 y 3 3 z0  nDA 0  2 2 则由 n    D  E 1 0 ,得  3 3x3y0 ,令 x1 ,得 n    1, 3,5 .  ABC m(0,0,1) 取平面 的法向量 , ADE ABC  设平面 1 与平面 所成二面角的大小为 ,    m  n 5 5 29 cos cos m,n      则 m  n 1 29 29 . 2 29 sin 1cos2 所以 29 , 2 29 所以平面ADE与平面ABC所成二面角的正弦值为 29 . 1 4.如图,在四棱锥P ABCD中,PA平面ABCD,四边形ABCD为菱形,ADC 60,PA AD4, E为AD的中点. (1)求证:平面PCE 平面PAD;(2)求二面角APDC的平面角的正弦值. 【解析】(1)由题意, 因为四边形ABCD为菱形,所以DA=DC. 连接AC. 因为ADC=60, 所以△ADC为等边三角形,从而CA=CD. 在△ADC中,E是AD的中点, 所以CE  AD. 因为PA平面ABCD,CE平面ABCD, 所以CEPA. ∵PAAD=A,PA面PAD,AD平面PAD,CE面PAD, ∴EC 平面PAD. 又CE平面PCE, ∴平面PCE⊥平面PAD (2)由题意及(1)得, 在平面PAD中,过点E作EM PD,垂足为M ,连接CM . 因为EC 平面PAD,PD平面PAD,所以EC PD. EM CE=E EM  EMC CE EMC PD EMC 又 , 平面 , 平面 ,所以 平面 . 又CM 平面EMC,所以PDCM ,从而∠EMC是二面角A PD C的平面角. 在RtEMD中,ED=2,ADP=45, EM MD 2 △ CMD MD 2 CD4 所以 .在Rt 中, , , CM  CD2MD2  14 所以 . 在Rt△CME中, CE 2 3 42 CE2 3,sinEMC   , CM 14 7 42 所以二面角A PD C的平面角的正弦值为 7 . PO AB PO=3 AB=4 BAC 30 M BC 5.如图,在圆锥 中, 是底面的直径,且 , , , 是 的中点. (1)求证:平面PBC平面POM ; (2)求二面角O-PB-C的余弦值. 【解析】(1)如图,由题意,AB是底面的直径,AC BC, O为AB的中点,M 为BC的中点,则OM //AC, OM BC PO ABC,BC ABC 则 ,而 平面 平面 , 则POBC, 又POOM O,PO平面POM ,OM 平面POM BC 平面POM , 又BC平面PBC,平面PBC平面POM ; (2)在平面ABC中,过M 作ME AB,垂足为E, 在平面PAB中,过E作EF PB,垂足为F , 连接MF,PO ABC,ME ABC POME ∵ 平面 平面 , , 又ABPOO,AB平面PAB,PO平面PAB, ME平面PAB,PB平面PAB,MEPB, EFME E,ME平面EFM ,EF 平面EFM 则PB平面EFM ,可得MFE为二面角OPBC的平面角. AC 2 3,BC 2,,BM 1 PB PO2OB2  13 由已知可得, , , BE ME BM ,   , RtBEM RtBCA BC AC AB BE ME BM 1 3    ,BE ,ME 2 2 3 4 2 2 , 1 3 又 RtEFB, PB  PO,得FE POEB  2  3 . RtPOB EB FE PB 13 2 13 12 EM  EF2ME2  在RtMEF中, 13 , 3 EF 2 13 3 cosMFE   ∴ . MF 12 4 13 3 即二面角 的余弦值为 . OPBC 4 PABCD ABCD CD//AB,ABBC,PAPD 6.如图所示,在四棱锥 中,四边形 为梯形, , BC CDPAPD1,AB2,平面PAD平面PBC .(1)若PB的中点为N ,求证:CN//平面PAD; (2)求二面角PADB的正弦值. T PA TN,TD 【解析】(1)设 是 中点,连接 ,如下图所示: 1 1 在 中, 为为中位线,所以:TN AB,TN  AB,又因为:CDAB,CD AB, ABP TN 2 2 TN CD,TN CD CDON TDCN,TDCN 所以: ,所以:四边形 为平行四边形,得: , CN  PAD,DT  PAD CN// PAD 又因为: 平面 平面 ,所以: 平面 . AD BC Q PQ (2)如图,延长 和 交于点 ,连接 . B BM PQ M DM 过点 作 ,垂足为点 ,连接 . 因为:平面PAD平面PBC ,平面PAD平面PBC PQ, 所以:BM 平面BDM , 因为:ADBD,ADBM,BDBM B,且BM,BD平面BDM , 所以:AD平面BDM ,所以:BDM 为所求二面角的平面角, PDQ PQ PD2DQ22PDDQcosPDQ  5 在 中, ,PQ2DQ2PQ2 521 3 cosPQD   得: 2PQDQ 2 5 2 10 , 2 4 DM DQtanPQD ,MB 所以: 3 3 , BM 2 2 sinBDM   所以: BD 3 . π 2 5 ABC  ADCarccos 7.如图,在梯形ABCD中,AD//BC, 2 ,ABBC a, 5 ,PA平面 ABCD且PAa. (1)求直线AD到平面PBC 的距离; (2)求二面角PCDA的大小; 6 a (3)在线段AD上是否存在一点F,使点A到平面PCF的距离为 3 ? 【解析】(1)∵AD//BC,AD平面PBC ,BC平面PBC , ∴AD //平面PBC , 故点A到平面PBC的距离,即为直线AD到平面PBC的距离, 作AH PB于H, ∵PA平面ABCD,BC平面ABCD,PABC,  BC  AB PAAB A,PA,AB BC  ,又 平面PAB, 平面PAB, 又AH平面PAB,BC  AH , PBBC B,PB,BC PBC AH  PBC 又 平面 , 平面 , 即AH的长为点A到平面PBC的距离,也即直线AD到平面PBC的距离, 2 在等腰 中,AH  a, RtPAB 22 a 所以直线AD到平面PBC的距离为 2 ; A AQCD CD Q PQ (2)过点 作 ,交 于点 ,连接 , 因为PA平面ABCD,CD平面ABCD, 所以PACD, AQPA A,AQ,PA PAQ 又 平面 , CD PAQ 所以 平面 , PQ PAQ PQCD 又 平面 ,所以 , PQA PCDA 所以 即为二面角 的平面角, 过C作CM  AD于M, 则四边形ABCM 为矩形,故CM  ABa, 2 5 在 中, cosADC  , RtCMD CM a, 5 CD 5a DM 2a AD3a 可得 , ,所以 , 5 3 5 sinADC AQ a 又 5 ,所以 5 , PA 5 tanPQA  则 AQ 3 , 5 arctan 所以二面角PCDA的大小为 3 ;6 a (3)假设存在点F,使点A到平面PCF的距离为 3 , 如图,以点A为原点建立空间直角坐标系, AF tt0,3a 设 , A0,0,0,Ca,a,0,F0,t,0,P0,0,a 则 ,    AP0,0,a,FP0,t,a,FC a,at,0 故 ,  PCF nx,y,z 设平面 的法向量为 ,    nFPtyaz0 则有   n    F  C  axaty0 ,  xat ya,zt nat,a,t 令 ,则 ,所以 ,   nAP at   故点A到平面PCF的距离为 , n at2a2t2 at 6  a 所以 at2a2t2 3 ,解得 , t2a 6 a 所以存在点F,使点A到平面PCF的距离为 3 .AB C A,B CD BE 8.如图,已知 是圆柱下底面圆的直径,点 是下底面圆周上异于 的动点, , 是圆柱的两条 母线. (1)求证:ACD平面BCDE; AB6 BC 3 2 3 ADE ABC (2)若 , ,圆柱的母线长为 ,求平面 与平面 所成的锐二面角的余弦值. AB C A,B 【解析】(1)因为 是底面的一条直径, 是下底面圆周上异于 的动点, 所以ACBC, 又因为CD是圆柱的一条母线,所以CD底面ACB, 而AC底面ACB,所以CD AC, 因为CD平面BCDE,BC平面BCDE,且CDBC C, 所以AC 平面BCDE, 又因为AC ACD,所以平面ACD平面BCDE; (2)如图所示, 过A作圆柱的母线AM ,连接DM ,EM 因为底面ABC//上底面DME,所以即求平面ADE与平面DME所成锐二面角的大小, M,E A,B AB EM 因为 在底面的射影为 ,且 为下底面的直径,所以 为上底面的直径, 因为AM 是圆柱的母线,所以AM 平面DME,又因为EM 为上底面的直径,所以MDDE,而平面ADEDMEDE, 所以MDA为平面ADE与平面DME所成的二面角的平面角, 又因为D在底面射影为C,所以DE BC 3,ME  AB6, DM  6232 3 3 2 3 AM 2 3 所以 ,又因为母线长为 ,所以 , 又因为AM 平面DME,DM平面DME,所以AM MD,  2  2 所以AD 2 3  3 3  39, MD 3 3 3 所以cosMDA   13, AD 39 13 3 即平面 与平面 所成的锐二面角的余弦值为 13. ADE ABC 13 ABCDABCD 9.如图,正方体 1 1 1 1中. BD AD (1)求证: 1和 1 为异面直线; BADA (2)求二面角 1 的大小. BD AD A D 【解析】(1)证明:假设 1和 1 共面,则 1、 D 、 1、 B 四点共面 B ADD BD AD 事实上, 平面 1 1,这与假设矛盾,故 1和 1 为异面直线. AD AD O BO O AD (2)解:连接 1交 1 于点 ,连接 ,则 为 1的中点,ABCDABCD 设正方体 1 1 1 1的棱长为 2 , AADD AD  AD 因为四边形 1 1 为正方形,则 1 1 , 因为 AB 平面 AA 1 D 1 D , A 1 D 平面 AA 1 D 1 D ,所以, AB A 1 D , 因为 AD 1 AB A , AD 1、 AB 平面 ABO ,所以, A 1 D 平面 ABO , BO ABO BO AD 因为 平面 ,所以, 1 , 1 1 所以,二面角BADA的平面角为 AOB ,且AO 2 AD 1  2 2 2  2, 1 因为 AB 平面 AA 1 D 1 D , AD 1  平面 AA 1 D 1 D ,则 AB AD 1, AB 2 所以,tanAOB   2 , AO 2 BADA arctan 2 因此,二面角 1 的大小为 . 10.如图,正方形ABCD所在平面与平面四边形ABEF所在平面互相垂直,ABE是等腰直角三角形, AB AE,FAFE,AEF 45. (1)求证:EF平面BCE; (2)求二面角F BDA的正切值.【解析】(1)因为平面ABEF 平面ABCD,BC平面ABCD, 平面ABEF平面ABCD AB,BC  AB, 所以BC平面ABEF, EF 平面ABEF, 所以BC EF . 因为ABE为等腰直角三角形,AB AE, 所以AEB45,又因为AEF 45, 所以FEB4545 90,即EF BE, BCBE B BC BE 又 , 平面BCE, 平面BCE, 所以EF平面BCE. (2)由EA AB,平面ABEF 平面ABCD, 平面ABEF平面ABCD AB, EA平面ABCD, FGAB FG∥EA 作 ,交BA的延长线于G,则 . 从而,FG平面ABCD, BD平面ABCD,BDFG, 作GH BD于H, GHFGG,GH �平面FGH,FG平面FGH, BD平面FGH,连结FH, FH 平面FGH, 所以BDFH , 因此,FHG为二面角F BDA的平面角, 因为FAFE,AEF 45, 所以AFE90,FAG45, 2 AF  设AB1,则AE1, 2 , 1 FG AFsinFAG , 2 1 3 在 中, ,BG ABAG1  , RtBGH GBH 45 2 23 2 3 2 GH BGsinGBH    2 2 4 FG 2 tanFHG  在RtFGH 中, GH 3 2 故二面角F BDA的正切值为 3 . ABC- ABC BB  ABC,△ABC ABBA 11.如图,在三棱柱 1 1 1中, 1 平面 为正三角形,侧面 1 1是边长为2的正方 形,D为BC的中点. ADC  BCCB (1)求证:平面 1 平面 1 1; CE,CE CABC (2)取 AB 的中点 E ,连接 1 ,求二面角 1的余弦值. 【解析】(1)证明:ABC为正三角形,D为BC的中点,ADBC,  BB  ABC,AD ABC,BB  AD 1 平面 平面 1 ,  BB BC B,AD BCCB 1 平面 1 1, ADC , ADC  BCCB 又 AD 平面 1 平面 1 平面 1 1. (2)ABC为正三角形,CE AB,  BB  ABC,BB∥CC ,CC  ABC 1 平面 1 1 1 平面 ,CC  AC,CC CB 1 1 , △ACC≌△BCC,AC BC 故 1 1 1 1, CE  AB 又 E 为 AB 的中点, 1 , CEC CABC 1为二面角 1的平面角, ABBA CC 2  侧面 1 1是边长为2的正方形, 1 , ABC \ CE= 3 为边长为2的正三角形, , CCB CE  CC2CE2  7 在直角三角形 1 中, 1 1 , CE 21 cosCEC   1 CE 7 , 1 21 CABC 二面角 1 的余弦值为 7 .