当前位置:首页>文档>广东省江门市鹤山第一中学2024-2025学年高一下学期第一阶段考试数学试卷(图片版,含答案)_2024-2025高一(7-7月题库)_2025年04月试卷

广东省江门市鹤山第一中学2024-2025学年高一下学期第一阶段考试数学试卷(图片版,含答案)_2024-2025高一(7-7月题库)_2025年04月试卷

  • 2026-03-30 16:27:18 2026-02-15 20:57:22

文档预览

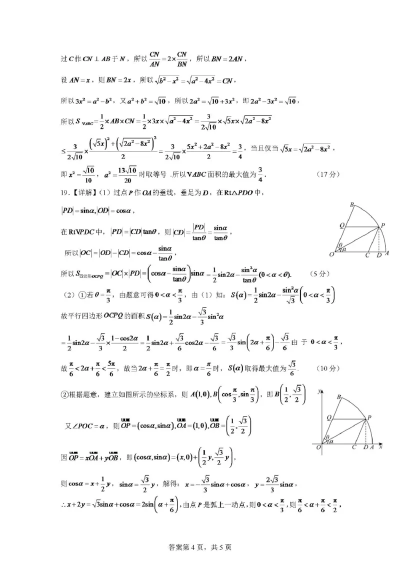
广东省江门市鹤山第一中学2024-2025学年高一下学期第一阶段考试数学试卷(图片版,含答案)_2024-2025高一(7-7月题库)_2025年04月试卷
广东省江门市鹤山第一中学2024-2025学年高一下学期第一阶段考试数学试卷(图片版,含答案)_2024-2025高一(7-7月题库)_2025年04月试卷
广东省江门市鹤山第一中学2024-2025学年高一下学期第一阶段考试数学试卷(图片版,含答案)_2024-2025高一(7-7月题库)_2025年04月试卷
广东省江门市鹤山第一中学2024-2025学年高一下学期第一阶段考试数学试卷(图片版,含答案)_2024-2025高一(7-7月题库)_2025年04月试卷
广东省江门市鹤山第一中学2024-2025学年高一下学期第一阶段考试数学试卷(图片版,含答案)_2024-2025高一(7-7月题库)_2025年04月试卷
广东省江门市鹤山第一中学2024-2025学年高一下学期第一阶段考试数学试卷(图片版,含答案)_2024-2025高一(7-7月题库)_2025年04月试卷
广东省江门市鹤山第一中学2024-2025学年高一下学期第一阶段考试数学试卷(图片版,含答案)_2024-2025高一(7-7月题库)_2025年04月试卷
广东省江门市鹤山第一中学2024-2025学年高一下学期第一阶段考试数学试卷(图片版,含答案)_2024-2025高一(7-7月题库)_2025年04月试卷

文档信息

文档格式
pdf
文档大小
1.231 MB
文档页数
8 页
上传时间
2026-02-15 20:57:22