当前位置:首页>文档>高二下学期期末考试化学试题(原卷版)_E015高中全科试卷_化学试题_选修3_5.新版人教版高中化学试卷选择性必修3_4.期末试卷_期中测试2

高二下学期期末考试化学试题(原卷版)_E015高中全科试卷_化学试题_选修3_5.新版人教版高中化学试卷选择性必修3_4.期末试卷_期中测试2

  • 2026-03-25 23:18:43 2026-02-16 17:00:26

文档预览

高二下学期期末考试化学试题(原卷版)_E015高中全科试卷_化学试题_选修3_5.新版人教版高中化学试卷选择性必修3_4.期末试卷_期中测试2
高二下学期期末考试化学试题(原卷版)_E015高中全科试卷_化学试题_选修3_5.新版人教版高中化学试卷选择性必修3_4.期末试卷_期中测试2
高二下学期期末考试化学试题(原卷版)_E015高中全科试卷_化学试题_选修3_5.新版人教版高中化学试卷选择性必修3_4.期末试卷_期中测试2
高二下学期期末考试化学试题(原卷版)_E015高中全科试卷_化学试题_选修3_5.新版人教版高中化学试卷选择性必修3_4.期末试卷_期中测试2
高二下学期期末考试化学试题(原卷版)_E015高中全科试卷_化学试题_选修3_5.新版人教版高中化学试卷选择性必修3_4.期末试卷_期中测试2
高二下学期期末考试化学试题(原卷版)_E015高中全科试卷_化学试题_选修3_5.新版人教版高中化学试卷选择性必修3_4.期末试卷_期中测试2
高二下学期期末考试化学试题(原卷版)_E015高中全科试卷_化学试题_选修3_5.新版人教版高中化学试卷选择性必修3_4.期末试卷_期中测试2
高二下学期期末考试化学试题(原卷版)_E015高中全科试卷_化学试题_选修3_5.新版人教版高中化学试卷选择性必修3_4.期末试卷_期中测试2
高二下学期期末考试化学试题(原卷版)_E015高中全科试卷_化学试题_选修3_5.新版人教版高中化学试卷选择性必修3_4.期末试卷_期中测试2
高二下学期期末考试化学试题(原卷版)_E015高中全科试卷_化学试题_选修3_5.新版人教版高中化学试卷选择性必修3_4.期末试卷_期中测试2
高二下学期期末考试化学试题(原卷版)_E015高中全科试卷_化学试题_选修3_5.新版人教版高中化学试卷选择性必修3_4.期末试卷_期中测试2
高二下学期期末考试化学试题(原卷版)_E015高中全科试卷_化学试题_选修3_5.新版人教版高中化学试卷选择性必修3_4.期末试卷_期中测试2
高二下学期期末考试化学试题(原卷版)_E015高中全科试卷_化学试题_选修3_5.新版人教版高中化学试卷选择性必修3_4.期末试卷_期中测试2

文档信息

文档格式
doc
文档大小
1.010 MB
文档页数
13 页
上传时间
2026-02-16 17:00:26

文档内容

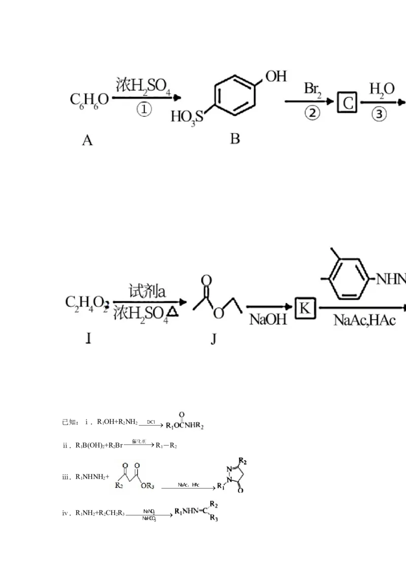
高二下学期期末考试 化学试题 一、选择题(共42分)本部分共21道小题,每小题2分,共42分。请在每小题 列出的4个选项中,选出符合题目要求的1个选项。 1. 下列属于烃的衍生物的是 A. 丙三醇 B. 甲烷 C. 甲苯 D. 乙烯 2. 辣椒素的其中一种分子的结构简式如图所示,其中不含有的官能团是 A. 酰胺基 B. 羟基 C. 羧基 D. 醚键 3. 下列各组物质中,不属于同分异构体的是 A. 与 B. CHCHCHO与 3 2 C. HCC≡CCH 与CH≡CCHCH 3 3 2 3 D. CHCHCHCHCH 与 3 2 2 2 3 4. 下列物质中,沸点最高的是 A. CHCHCH B. CHCHCHOH 3 2 3 3 2 2 C. CHOH D. CHCHCHCHOH 3 3 2 2 2 5. 下列化合物中,能发生酯化、加成、消去三种反应的是 A. B. CH-CH=CH-COOH 3 C. D.6. 下列各组有机物中,不能用酸性高锰酸钾溶液鉴别的是 A. 丙烷、丙烯 B. 苯、苯甲醇 C. 苯、苯甲醛 D. 苯、环 己烷 7. 对二甲苯(结构简式 )的核磁共振氢谱吸收峰数目是 A. 1 B. 2 C. 3 D. 4 8. 可用于鉴别乙醇、乙醛、乙酸三种无色液体的一种试剂是 A. 水 B. 新制Cu(OH) 悬浊液 2 C. NaOH溶液 D. 酚酞溶液 9. 根据有机物 的结构预测 其可能的反应类型和反应试剂,下列说法不正确的是 选项 分析结构 反应类型 反应试剂 A 含碳碳双键 能发生加成反应 Br 2 CHCOOH,浓 3 B 含O-H极性键 能发生取代反应 HSO 2 4 C 含 能发生消去反应 NaOH的水溶液 D 含C-O极性键 能发生取代反应 浓HBr A. A B. B C. C D. D 10. 传统中草药金银花对治疗“新冠肺炎”有效,其有效成分“绿原酸”的结构简式如图所 示。下列有关该物质的说法不正确的是A. 分子式是C H O 16 18 9 B. 绿原酸易被氧化,需密封保存 C. 1mol绿原酸最多能与3molBr 发生反应 2 D. 绿原酸有顺反异构 11. 下列说法不正确的是 A. 糯米中的1mol淀粉能完全水解生成2mol葡萄糖 B. 葡萄糖能发生银镜反应,说明其含有醛基,具有还原性 C. 环式核糖与碱基、磷酸基团共同组成核糖核苷酸 D. 蛋白质是含肽键的生物大分子 12. 下列实验不能达到实验目的的是实验 验证苯环对甲基有 检验蔗糖水解后产生葡 验证碳酸的酸 实验目 的 分离苯和水 影响 萄糖 性比苯酚强 A. A B. B C. C D. D 13. 用如图所示装置制备乙酸乙酯。实验时观察到试管a中不断有蒸汽逸出,几种有机化 合物的沸点如表所示: 物质 乙醇 乙酸 乙酸乙酯 沸点/℃ 78.5 117.9 77.1 下列说法不正确的是A. 在试管a中应加入沸石防止液体暴沸 B. a中逸出蒸汽的成分有乙醇、乙酸、乙酸乙酯、水等 C. 加热温度不能过高,原因是防止乙酸乙酯挥发 D. b中饱和NaCO 溶液可以吸收乙醇和乙酸 2 3 14. 关于如下新型聚合物的说法不正确的是 A. 该物质可由小分子通过缩聚反应生成 B. 合成该物质的单体之一含两个-COOH C. 合成该物质的单体之一可做汽车的防冻液 D. 1mol该物质与足量NaOH溶液反应,最多可消耗2nmolNaOH 15. 我国科学家制得力学性能优异的水凝胶材料聚合物P。其部分结构如图所示,资料:碳 碳双键与羟基直接相连的物质不能稳定存在。 下列说法不正确的是 A. 聚合物P含有酯基,在一定条件下能发生水解 B. 聚合物P是由乙二醇和丙二酸聚合而成 C. 聚合物P通过化学键形成交联结构,因此力学性能优异 D. 水解后的小分子不能使酸性KMnO 溶液褪色 4 16. 按照量子力学对原子核外电子运动状态的描述,下列说法不正确的是 A. 核外电子运动不存在固定轨迹的轨道B. 下列能级的能量1s<2s<3s<4s C. 电子云图中的小黑点密表示该核外空间的电子多 D. 量子数为n的电子层具有的原子轨道数为n2 17. 下列对基态碳原子价电子的轨道表示式书写正确的是 A. B. C. D. 18. 电负性是一种重要的元素性质,某些元素的电负性(鲍林标度)数值如下表所示: 元素 H Li O Al P S Cl . 电负性 2.1 1.0 3.5 1.5 2.1 2.5 3 0 下列说法不正确的是 A. LiAlH 中H是-1价,该物质具有还原性 4 B. 非金属性:O>Cl C. H-Cl键比H-S键极性大 D. Si的电负性范围在2~3之间 19. 对下列事实的解释不正确的是 选项 事实 解释 F、Cl、Br 、I 的范德华力逐渐 2 2 2 2 A F、Cl、Br 、I 的熔沸点依次升高 2 2 2 2 增强 在氯化钠晶体中,Na+可以吸引不同方向的 B 离子键具有饱和性 6个Cl﹣ C 浓CuCl 溶液显绿色,加水稀释过程中变蓝 Cu2+与Cl﹣、HO均能形成配合物 2 2 D 铜金属具有良好的导电性 铜金属中有“自由电子” A. A B. B C. C D. D 20. 甲醛( )是生产胶粘剂的重要原料,下列说法不正确的是 A. 甲醛分子是平面三角形 B. C原子发生sp2杂化 C. 甲醛分子含有3个σ键 D. 甲醛分子含有2个π键 21. 乙烯在一定条件下反应生成乙醇,其化学方程式如下:CH=CH +H O 2 2 2 CHCHOH,下列说法不正确的是 3 2A. 反应过程中,每生成1mol乙醇,断裂1molπ键和1molσ键 B. 乙醇的所有原子可能在同一平面上 C. 水分子是极性分子 D. 乙醇分子不是手性分子 二、非选择题(共58分) 22. 完成下列填空 (1)写出下列基态原子的核外电子排布式。 Li:___________;N:___________;Ti:___________;Cu___________。 (2)钒元素在元素周期表中的位置是___________。 (3)X元素位于第三周期,同周期元素中其第一电离能最小,X的元素符号是 ___________。 23. 完成下列填空 (1)下列常见物质的空间结构呈直线形的是___________,呈平面三角形的是___________。 中心原子轨道采取sp3杂化的是___________,采取sp2杂化的是___________。 ①BF ②CO ③NH ④CCl ⑤HC≡CH 3 2 3 4 (2)NF 是微电子工业中种优良的等离子蚀刻气体,利用杂化轨道理论解释其空间结构是 3 三角锥形:___________。 (3)某小组进行如下操作,观察到下列现象: 步骤1:向AgNO 溶液中逐滴滴加氨水,产生白色沉淀; 3 步骤2:继续滴加,沉淀消失,溶液变澄清。 ①澄清溶液中含[Ag(NH)]+,其中含有的化学键类型有___________。 3 2 a.σ键 b.配位键 c.氢键 ②已知:Ag++NH•H O AgOH↓+NH ,利用平衡移动原理解释步骤2的现象 3 2 ___________。 24. 几种有机物的转化关系如图所示(部分条件已省略)。(1)A的结构简式是___________。 (2)反应① 的试剂和条件是___________。 (3)反应②的化学方程式是___________。 (4)B的一种同系物的结构简式为 ,用系统命名法命名为 ___________。 (5)B→C 的化学方程式是___________。 (6)D的结构简式是___________。 (7)D→E的反应类型是___________。 (8)C→G发生加成反应,G的结构简式是___________。 25. 有机物A可减轻帕金森综合症,为了研究其组成与结构,某同学进行如下实验。 资料:硝酸铈溶液遇醇羟基变红色。 (1)经元素分析测得,有机物A的实验式是C H NO 经质谱分析,其分子量是197,有 9 11 4. 机物A的分子式是___________。 (2)用化学方法检验其中的官能团,完成下表: 序号 检验试剂 实验现象 官能团信息 Ⅰ FeCl 溶液 溶液呈紫色 ①___________ 3Ⅱ NaHCO 溶液 ②___________ 含羧基 3 Ⅲ 硝酸铈溶液 不变红 ③___________ (3)通过波谱分析获得如下信息。 ⅰ.其红外光谱谱图如图所示: ⅱ.通过核磁共振氢谱,A分子含1个 ,1个-CH-。 2 符合要求的有机物结构有9种,写出符合要求的其中两种___________、___________。 26. 缓释阿司匹林是种常用的解热镇痛类药物,其合成路线如下:(1)B的结构简式是___________。 (2)已知D→E脱去一分子CHCOOH,且E能与NaHCO 溶液反应,E 的结构简式是 3 3 ___________。 (3)D→E反应过程中可能发生副反应,D自身缩合成高分子化合物,副反应的化学方程 式是___________。 (4)F含有的官能团是___________。 (5)试剂a是___________。 (6)H的结构简式是___________。 27. 造血药艾曲波帕(M)的合成路线如下:已知:ⅰ.R OH+R NH 1 2 2 ⅱ.R B(OH) +R Br R -R 1 2 2 1 2 ⅲ.R NHNH + 1 2 ⅳ.R NH +R CHR 1 2 2 2 3(1)A的结构简式是___________。 (2)对比A与D的结构简式,设计①~③三步反应实现转化的目的是___________。 (3)I→J的化学方程式是___________。 (4)由E经两步反应可得到F,F含2种环状结构,转化路线如下: E M F ①E→M的反应类型是___________。 ②F的结构简式是___________。 (5)H的结构简式是___________。 (6)L的结构简式是___________。 (7)已知每生成1molK需2molJ,J→K的化学方程式是___________。