当前位置:首页>文档>湖北省十堰市八校教联体2025-2026学年高二上学期11月月考地理试题(含答案)_2025年11月高二试卷_251109湖北省十堰市八校教联体学校2025-2026学年高二上学期11月月考(全)

湖北省十堰市八校教联体2025-2026学年高二上学期11月月考地理试题(含答案)_2025年11月高二试卷_251109湖北省十堰市八校教联体学校2025-2026学年高二上学期11月月考(全)

  • 2026-03-29 04:46:16 2026-02-19 05:40:33

文档预览

湖北省十堰市八校教联体2025-2026学年高二上学期11月月考地理试题(含答案)_2025年11月高二试卷_251109湖北省十堰市八校教联体学校2025-2026学年高二上学期11月月考(全)
湖北省十堰市八校教联体2025-2026学年高二上学期11月月考地理试题(含答案)_2025年11月高二试卷_251109湖北省十堰市八校教联体学校2025-2026学年高二上学期11月月考(全)
湖北省十堰市八校教联体2025-2026学年高二上学期11月月考地理试题(含答案)_2025年11月高二试卷_251109湖北省十堰市八校教联体学校2025-2026学年高二上学期11月月考(全)
湖北省十堰市八校教联体2025-2026学年高二上学期11月月考地理试题(含答案)_2025年11月高二试卷_251109湖北省十堰市八校教联体学校2025-2026学年高二上学期11月月考(全)
湖北省十堰市八校教联体2025-2026学年高二上学期11月月考地理试题(含答案)_2025年11月高二试卷_251109湖北省十堰市八校教联体学校2025-2026学年高二上学期11月月考(全)
湖北省十堰市八校教联体2025-2026学年高二上学期11月月考地理试题(含答案)_2025年11月高二试卷_251109湖北省十堰市八校教联体学校2025-2026学年高二上学期11月月考(全)
湖北省十堰市八校教联体2025-2026学年高二上学期11月月考地理试题(含答案)_2025年11月高二试卷_251109湖北省十堰市八校教联体学校2025-2026学年高二上学期11月月考(全)
湖北省十堰市八校教联体2025-2026学年高二上学期11月月考地理试题(含答案)_2025年11月高二试卷_251109湖北省十堰市八校教联体学校2025-2026学年高二上学期11月月考(全)

文档信息

文档格式
docx
文档大小
1.880 MB
文档页数
8 页
上传时间
2026-02-19 05:40:33

文档内容

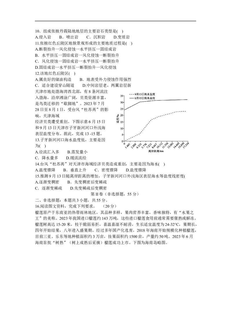
2025-2026 学年十堰市八校教联体 11 月联考 高二理试卷 考试时间:2025年11月5日下午14: 30-17: 05 试卷满分:100分 第I卷(选择题,共45分) 一、选择题:本题共15小题,每小题3分,共45分。在每小题给出的四个选项中,只有 一项是符合题目要求的。 第七次全国人口普查数据显示,2020年安徽省跨省外迁总人口共有1152万人。下图为 “2020年安徽省外迁人口分省统计图”。据此完成1-3题。 1.甲最可能是( ) A.浙 B.渝 C.湘 D.滇 2.影响安徽人口迁往广东和湖北数量差异的主要因素是( ) A.空间距离 B.文化习俗 C.产业发展 D.公共服务 3.人口大量外迁对安徽省主要影响有( ) A.优化人口年龄结构 B.加快农村土地流转 C.提高城镇环境容量 D.促进产业分工协作 布拖县位于四川省凉山彝族自治州,村落受历史上迁徙文化的影响具有明显的时间 序列,具体表现为自高海拔向低海拔形成时间逐渐变晚。下图示意布拖县三种类型村落的 空间分布。据此,完成4-6题。 4.聚顶而立型村落在选址时着重考虑( ) A.建材获取 B.产居便利 C.生物资源数量 D.安全防卫5.与半山宜居型村落相比,河谷生息型村落( ) A.聚落规模较小 B.民居较为分散 C.产居形式更多 D.牧业文化典型 6.河谷生息型村落的空间形态最可能是( ) A.条带状 B.团块状 C.棋盘状 D.分散状 地质记录中的断代是指沉积岩层的地质记录并不总是连续的。下图为地质年代表,甲、乙 两地地层示意图。据此,完成7-9题。 7.地质年代划分的主要依据有( ) A.生物演化 B.地层深度 C.岩石类型D.地形类型 8.D岩层形成时代最可能是( ) A.二叠纪 B.三叠纪 C.侏罗纪D.白垩纪 9.根据甲地岩层分布可推断出乙地( ) A.W与X出现断代 B.X与Y出现断代 C.Y与Z出现断代 D.未出现任何断代 张掖丹霞国家地质公园是国内唯一的丹霞地貌与红色丘陵景观复合区,是在中生代的陆地 地层——“红层”上形成的。下图为张掖丹霞国家地质公园地质剖面图。读图,完成10-12 题。10.组成张掖丹霞陆地地层的主要岩石类型是( ) A.侵入岩 B.喷出岩 C.沉积岩 D.变质岩 11.张掖红色丘陵区地貌景观形成的主要地质过程是( ) A.断裂抬升一风化侵蚀一水平挤压一固结成岩 B.水平挤压一固结成岩一风化侵蚀一断裂抬升 C.风化侵蚀一固结成岩一水平挤压一断裂抬升 D.固结成岩一水平挤压一断裂抬升一风化侵蚀 12.该地红色丘陵区( ) A.属良好的储油构造 B.地表受外力侵蚀作用强烈 C.适合建设穿山隧道 D.中间岩层老,两翼岩层新 天津市地处渤海湾西北部,有8条河流注 入渤海,沿岸滩涂广阔,贝类资源丰富, 是鸟类迁移的“歇脚地”。2023年7月 28日至8月1日,受台风“杜苏芮”的影 响,天津海域 经济贝类遭受重创。下图示意6月15日 和9月13日天津市子牙新河河口外浅海 表层盐度分布。据此,完成13 -15题。 13.子牙新河河口海水盐度低,主要是因 为( ) A.径流汇入多 B.蒸发量小 C.降水量多 D.暖流流经 14.台风“杜苏芮”对天津市海域经济贝类造成重创,主要是因为海水( ) A.温度骤降 B.垂直上升 C.密度骤降 D.盐度骤降 15.推测9月13日随离岸距离的增加,子牙新河河口外浅海区表层海水等盐度线密度( A.逐渐变稠密 B.先变稠密后变稀疏 C.逐渐变稀疏 D.先变稀疏后变稠密 第II卷(非选择题,55分) 二、非选择题:本题共3小题,共55分。 16.阅读图文资料,完成下列要求。 (20分) 榴莲原产于东南亚的热带雨林地区,其品种多样,果肉营养丰富,香味独特,有“水果之 王”的美称。2023年我国进口榴莲约143万吨,这些进口榴莲食用前通常需要催熟或解冻。 榴莲树高达15-20米,枝干脆弱易折,喜温喜湿不耐涝,生长适宜温度为24-32°C,果期长, 四年开始结果,八年进入盛果期。经过多年国产化选育,2018年海南开始规模化种植榴莲, 目前三亚、乐东等地种植面积约3万亩,挂果面积约1500亩,产量约50吨。2023年6月 海南首批“树熟”(树上成熟后采摘)榴莲成功上市。下图为海南岛略图。(1)结合气候条件和产需现状,分析目前我国榴莲进口量大的原因。(8分) (2)与进口榴莲相比,说明海南“树熟”榴莲的市场竞争力。 (6分) (3)从育种方面,提出我国农业科研人员提高国产榴莲产量的可行性措施。 (6分) 17.阅读图文材料,完成下列要求。 (17分) 台风“桦加沙”于2025年9月18日晚20时在菲律宾以东洋面生成,此后逐渐向西偏北方 向行进并发展增强。根据中央气象台报道,9月23日夜间到24日台风“桦加沙”登陆广东 附近沿海一带,由于此次台风途经区域垂直风切变较弱(风速和风向随高度变化小),导 致“桦加沙”风力极强、风圈范围大,是今年以来影响我国的超强台风。下图为9月23日 20时我国部分地区海平面等压线分布示意图和台风“桦加沙”移动路径图。 (1)指出香港9月23日20时的风向,并说明判断理由。 (5分) (2)分析此次台风“桦加沙”成为超强台风的原因。 (6分) (3)为了减轻台风“桦加沙”带来的损害,请提出合理的防灾措施。 (6分) 18.阅读材料,完成下列要求。 (18分) 冷浸田是我国江南稻区广泛分布的一类中低产田,主要分布于山谷低洼地带,具有常年积 水的典型特征。其有机质含量高但有效养分低,被当地农民形象地称为“看着肥,收成 差”。我国冷浸田面积达5200万亩,提质改造需求迫切。下图示意有机质的分解与合成。(1)分析冷浸田土壤有机质含量高的原因。 (6分) (2)冷浸田因常年积水,土壤水、肥、气、热失调,导致收成差。试分析原因。 (6分) (3)请为冷浸田的改良提出具体措施。 (6分) 2025-2026 学年十堰市八校教联体 1 1 月联考 高二地理参考答案 16.(1)我国热带地区面积小,适宜种植土地少,产量低;我国的热带地区相对纬度位置较 高,气候季节差异大,产量及品质不稳定;降水季节变化大、冬季低温、夏秋台风等影响 大;已种植面积小且进入挂果期少,产量小;我国人口多,消费升级,需求量大,需求量 远大于生产量。(任答4点,8分) (2)树上成熟,甜度高、口感好;运输距离短,新鲜度高;市场距离近,运输及保鲜冷藏成 本低。(6分) (3)引进多种种质资源,培育高产稳产品种;培育耐干热、抗寒品种,扩大可种植面积;培 育矮化品种,降低台风的影响;加强国际技术交流与合作,提高培育效率。(任答3点,6 分) 17.(1)偏北风(2分);水平气压梯度力、摩擦力、地转偏向力(3分)。 (2)菲律宾以东洋面水温异常偏高,大气上升运动强烈;洋面提供充足水汽,水汽上升凝结 释放热量,中心气压进一步降低;大气垂直风切变微弱,利于维持台风结构;陆地对台风 行进路径的影响小,台风保持超高强度登陆。(任答3点,6分) (3)加强监测预警,及时发布台风信息;制定应急预案并准备救灾物资;对基础设施进行维 修及防护;对陆上及海上交通进行交通管制。(任答3点,6分) 18.(1)积水环境(1分),缺氧且土温低(1分),有机质分解慢(1分);地势低洼(1 分),可接受周边物质沉积(1分),有机质来源较多(1分),有利于有机质积累。(共 6分) (2)常年积水,土壤含水量大,导致透气性差,阻碍根系呼吸;土壤温度低,影响作物生长; 土壤温度低、缺氧,有机质不易分解为可被植物吸收的有效养分,导致养分供应不足。(6 分) (3)采用工程措施,开沟排水;实施垄作栽培,提高土壤温度;适当增施肥料,增加有效养分。(6分) 【答案详解】 1.结合图示信息,甲所占比重较大,应属于经济较发达,对人口迁移有较大吸引力的省区, 浙(浙江)为我国东部经济发达的省区,提供就业机会多,对人口迁移的吸引力较大,因 此甲省最可能是浙(浙江),A正确;渝(重庆)、湘(湖南)、滇(云南)距离安徽相 对较远,且经济发展水平不如浙(浙江),BCD错误,故选A。 2.结合所学知识,广东经济发展水平高,第二、三产业发达,能提供大量就业岗位,吸引 安徽人口迁入;湖北与安徽经济发展水平差距相对较小,产业对人口的吸引力不如广东, 故安徽人口迁往广东和湖北数量差异的主要因素是产业发展,C正确;湖北距离安徽较近, 交通往来较为便利,因此空间距离不是主要的影响因素,A错误;相比经济因素,文化习 俗、公共服务不是影响人口迁移的主要因素,BD错误,故选C。 3.结合所学知识,人口大量外迂,尤其是青壮年劳动力外迁,会加剧安徽省的人口老龄化, 不利于优化年龄结构,A错误;农村劳动力减少,能加快土地流转,B正确;人口外迁可 减轻对城市环境的压力,但不能提高环境容量,C错误;安徽为人口净迁出区,会导致安 徽劳动力减少,促进产业分工协作不属于对安徽省的主要影响,D错误,故选C。 4.聚顶而立型村落位于海拔2200m以上的高海拔区域,虽然当地有木材等建材,但“建 材获取”并非其选址的核心考量一一高海拔选址更侧重防御性,而非建材便利性,A项错 误;高海拔地区气候寒冷、地形崎岖,生产生活条件相对恶劣,“产居便利”不符合实际 情况,B项错误;生物资源数量对村落选址的影响较弱,尤其是与“安全防卫”等核心需 求相比,并非首要因素,C项错误;聚顶而立型村落位于地势较高处,地形险要,有利于 防御外敌入侵或躲避灾害,是选址时着重考虑的因素,D项正确,故选D项。 5.河谷地带地形相对平坦、水源充足,更有利于农业生产和村落发展,村落规模通常更大, A项错误;河谷地区土地集中、生产生活便利,更适合聚居,居民分布应更集中,B项错 误;河谷地带既有农田,又可依托水资源开展多种生产活动,生产、居住的形式更丰富多 样;而半山宜居型受地形限制,形式相对单一,C项正确;河谷地区以农耕文化为主,牧 业文化更典型的区域多为高海拔牧场,D项错误,故选C项。 6.河谷地形呈狭长形,村落受地形限制,会沿着河谷延伸方向分布,空间形态多为“条带 状”,A项正确;团块状形态多形成于平原等开阔地区,河谷受地形狭长的限制,难以形 成团块状.B项错误;棋盘状形态需要规整的规划,河谷地形狭长且受自然条件约束,无 法形成典型的棋盘状,C项错误;分散状形态多出现于地形破碎的山区,但河谷地带相对 平坦集中,会沿河谷集中分布,D项错误,故选A项。 7.地层越老,所含生物越简单,反之亦然,不同时代的地层有不同的化石组合,因此地质 年代划分主要依据是生物演化,A正确;受形成环境和地壳运动影响,同一时代同一地层 所处的深度千差万别,地层深度并不能成为地质年代划分的主要依据,B错误;岩石类型、 地形类型与地质年代早晚无明显相关性,CD错误。 故选A。 8.读图可知,甲地的D地层中有恐龙足迹化石和植物化石,无鸟类化石,对照地质年代 表中生物演化规律可知,三叠纪恐龙出现,因此之前的二叠纪不可能出现恐龙足迹化石, A错误;地质年代表中生物演化规律显示,侏罗纪出现鸟类,白垩纪恐龙灭绝,而D地层 无鸟类化石、有恐龙足迹化石,则D地层形成于侏罗纪和白垩纪的可能性小,CD错误; 三叠纪恐龙出现,且此时植被茂盛,而D地层有恐龙足迹化石和植物化石,因此该地层形 成时代最有可能是三叠纪,B正确。故选B。 9.读图可知,甲地含有恐龙足迹化石、植物化石、鸟类化石的F地层与乙地含有同样化石 的Y地层应属于同一岩层,甲地F地层之下(中间隔一个喷出岩层)出现了一个含有恐龙 足迹化石和植物化石的D地层,而在乙地的Y地层之下没有出现这一地层,说明X与Y地层之间出现断代,B正确,D错误;对照甲地地层分布情况,W与X之间、Y与Z之间没 有缺失地层,表明它们之间没有出现断代,AC错误。故选B。 10.由图可知,组成张掖丹霞陆地地层的主要岩石为泥岩、砂岩和砾岩,该岩层属于沉积 岩,C正确,D错误;侵入岩、 喷出岩属于岩浆岩,AB错误。故选C。 11.张掖彩色丘陵区地质构造主要是沉积岩层、褶皱、断层和向斜成山,所以地貌景观形成 的主要地质过程首先是在外力作用下沉积物先经过固结成岩,产生沉积岩层,后受水平挤 压出现褶皱,后褶皱岩层受力断裂,断裂部分相对抬升,岩层表面受外力风化侵蚀,形成 向斜山及丘陵,D正确,ABC错误,故选D。 12.根据图中信息,该地红色丘陵区为向斜构造,形成丘陵,是向斜山,说明发生了明显 的侵蚀作用,B正确;背斜是良好的储油构造,向斜不是良好的储油构造;背斜中间岩层 老,两翼岩层新,且适合建设穿山隧道,向斜中间岩层新,两翼岩层老,不适合建设穿山 隧道,ACD错误。故选A。 13.河流注入的淡水会显著稀释海水,导致河口及附近海域盐度远低于同纬度其他海域, 子牙新河是注入渤海的8条河流之一,河口地区大量淡水注入,直接稀释海水,且7-8月 的台风带来大量降水,进一步降低了河口盐度,A正确;天津属于温带季风气候,夏季气 温高,蒸发量较大,蒸发量影响的是大范围海域的盐度,而非河口局部低盐度的主要原因, B错误;天津夏季降水较多,但降水量的影响是区域整体性的,无法解释河口地区比周边 海域盐度更低的现象,C错误;天津附近海域为渤海沿岸流,是寒流,而非暖流,D错误。 故选A。 14.图中6月15日与9月13日盐度分布的差异,反映了台风过后盐度的显著变化,台风 “杜苏芮”带来大量降水,加上天津沿岸有8条河流注入渤海,淡水汇入量激增,导致海 域表层盐度快速下降,经济贝类长期适应稳定的盐度环境,其生理功能依赖于海水盐度的 平衡,盐度骤降成为贝类遭受重创的直接原因,D正确;台风主要影响降水和风力,一般 不会导致海水温度骤降,且题干未提及温度与贝类受损的关联,A错误;海水垂直运动不 是贝类受损的直接因素,无证据表明其与贝类重创有关,B错误;密度变化主要由温度或 盐度波动引起,但并非贝类受损的直接主因,盐度骤降才是更直接的影响因素,C错误。 故选D。 15.盐度随离岸距离增加上升较快,曲线斜率大,说明盐度变化快,因此等盐度线密度逐渐 变稠密。据图可知,离岸距离4. 333-7. 223km盐度变化最大,说明等盐度线最稠密,因此 随离岸距离增加,子牙新河河口外浅海区表层海水等盐度线密度先变稠密后变稀疏,B正 确,ACD错误。故选B。 16.(1)榴莲原产于东南亚的热带雨林地区,属于热带水果,我国热带地区面积小,适宜种 植土地少,产量低;我国的热带地区相对纬度位置较高,均温较低,气候季节差异大,产 量及品质不稳定;我国为季风气候,降水季节变化大、冬季低温、夏秋台风等影响大;榴 莲四年开始结果,八年进入盛果期,2018年海南开始规模化种植榴莲,目前三亚、乐东等 地种植面积约3万亩,挂果面积约1500亩,产量约50吨,说明已种植面积小且进入挂果 期少,产量小;我国人口多,随着经济发展,收入水平升高,消费升级,需求量大,需求 量远大于生产量。 (2)由材料可知,2023年6月海南首批“树熟”(树上成熟后采摘)榴莲成功上市,与进口 榴莲比,“树熟”榴莲在树上成熟,甜度高、口感好,新鲜且更受市场欢迎;运输距离短, 保障品质,新鲜度高;市场距离近,运输及保鲜冷藏成本低,故价格较进口榴莲低。 (3)由题干信息可知,主要从育种的角度作答;为提高国产榴莲产量,首先保证种子的品质, 可以引进多种种质资源,培育高产稳产品种;枝干脆弱易折,喜温喜湿不耐涝,可以培育 耐干热、抗寒品种,扩大可种植面积;我国沿海地区,夏秋季节易受台风影响,培育矮化品种,降低台风的影响;加强国际技术交流与合作,提高培肓效率,保障种子质量。 17.(1)读图可知,9月23日20时,台风中心位于香港的东南侧,水平气压梯度力由西北 指向东南,在地转偏向力和摩擦力的共同作用下向右偏,形成偏北风。 (2)超强台风的形成与海水温度、水汽供应、大气环流等因素有关。读图,由图中等温线可 知,菲律宾以东洋面水温异常偏高,为台风发展提供了充足的热量,大气上升运动强烈; 洋面能提供大量水汽,水汽上升凝结释放热量,使中心气压进一步降低,风力增强;据材 料可知,此次台风途经区域垂直风切变较弱(风速和风向随高度变化小),有利于台风结 构的维持,使台风能保持高强度稳定发展;洋面广阔,陆地对台风行进路径的影响小,台 风得以持续增强登陆。 (3)减轻台风“桦加沙”带来的损害,需从监测预警、应急准备、设施防护、交通管理等多 方面采取措施:加强气象监测预警,及时、准确地发布台风的位置、强度、移动路径等信 息,让公众和相关部门能提前知晓台风动态;制定完善的台风灾害应急预案,明确各部门 职责与应对流程,提前准备好救灾物资,以便在灾害发生后能迅速开展救援和安置工作; 对沿海堤坝、桥梁、电力设施等基础设施进行全面检查与维修加固,提高其抗台风能力, 减少台风对基础设施的破坏;对陆上及海上交通进行管制:海上,台风期间禁止船只出海 航行,已在海上的船只尽量驶入避风港;陆上,根据台风影响范围和程度,对部分路段采 取封闭、限速等措施,避免交通事故和人员伤亡。 18.(1)冷浸田具有常年积水的典型特征,积水环境下土壤缺氧且土温低,微生物活性弱, 有机质分解慢,有利于有机质的积累;冷浸田主要分布于山谷低洼地带,地势低洼,可接 受周边物质的沉积,有机质来源较多,有利于有机质积累。 (2)冷浸田具有常年积水的典型特征,常年积水,导致土壤含水量大,土壤透气性差,阻碍 了植物根系的呼吸;由于土壤常年积水,升温较慢,土壤温度低,热量条件较差,影响作 物生长;土壤温度低、缺氧,微生物活性弱,有机质不易分解为可被植物吸收的有效养分, 导致土壤有机质含量高但有效养分低,养分供应不足。 (3)冷浸田因常年积水,土壤水、肥、气、热失调,影响作物收成,可以采用工程措施,开 沟排水,降低土壤水分含量,提高土壤的透气性,改善土壤的热量和养分条件;实施垄作 栽培,垄台土层厚,土壤水分含量较少,透气性较好,利于作物根系生长,且垄台可以更 好地吸收太阳辐射升温,可以提高土壤温度;针对土壤有效养分低的问题,可以适当增施 肥料,增加有效养分,提高土壤的养分供应能力。