当前位置:首页>文档>第三单元跟踪检测卷_小学1-6年级全部试卷_数学_六年级_3-11-4、小学六年级数学下册_3-11-4-2、练习题、作业、试题、试卷_冀教版_单元测试卷

第三单元跟踪检测卷_小学1-6年级全部试卷_数学_六年级_3-11-4、小学六年级数学下册_3-11-4-2、练习题、作业、试题、试卷_冀教版_单元测试卷

  • 2026-05-20 14:52:37 2026-02-20 22:40:54

文档预览

第三单元跟踪检测卷_小学1-6年级全部试卷_数学_六年级_3-11-4、小学六年级数学下册_3-11-4-2、练习题、作业、试题、试卷_冀教版_单元测试卷
第三单元跟踪检测卷_小学1-6年级全部试卷_数学_六年级_3-11-4、小学六年级数学下册_3-11-4-2、练习题、作业、试题、试卷_冀教版_单元测试卷
第三单元跟踪检测卷_小学1-6年级全部试卷_数学_六年级_3-11-4、小学六年级数学下册_3-11-4-2、练习题、作业、试题、试卷_冀教版_单元测试卷
第三单元跟踪检测卷_小学1-6年级全部试卷_数学_六年级_3-11-4、小学六年级数学下册_3-11-4-2、练习题、作业、试题、试卷_冀教版_单元测试卷
第三单元跟踪检测卷_小学1-6年级全部试卷_数学_六年级_3-11-4、小学六年级数学下册_3-11-4-2、练习题、作业、试题、试卷_冀教版_单元测试卷
第三单元跟踪检测卷_小学1-6年级全部试卷_数学_六年级_3-11-4、小学六年级数学下册_3-11-4-2、练习题、作业、试题、试卷_冀教版_单元测试卷
第三单元跟踪检测卷_小学1-6年级全部试卷_数学_六年级_3-11-4、小学六年级数学下册_3-11-4-2、练习题、作业、试题、试卷_冀教版_单元测试卷
第三单元跟踪检测卷_小学1-6年级全部试卷_数学_六年级_3-11-4、小学六年级数学下册_3-11-4-2、练习题、作业、试题、试卷_冀教版_单元测试卷
第三单元跟踪检测卷_小学1-6年级全部试卷_数学_六年级_3-11-4、小学六年级数学下册_3-11-4-2、练习题、作业、试题、试卷_冀教版_单元测试卷
第三单元跟踪检测卷_小学1-6年级全部试卷_数学_六年级_3-11-4、小学六年级数学下册_3-11-4-2、练习题、作业、试题、试卷_冀教版_单元测试卷
第三单元跟踪检测卷_小学1-6年级全部试卷_数学_六年级_3-11-4、小学六年级数学下册_3-11-4-2、练习题、作业、试题、试卷_冀教版_单元测试卷
第三单元跟踪检测卷_小学1-6年级全部试卷_数学_六年级_3-11-4、小学六年级数学下册_3-11-4-2、练习题、作业、试题、试卷_冀教版_单元测试卷

文档信息

文档格式
doc
文档大小
0.086 MB
文档页数
12 页
上传时间
2026-02-20 22:40:54

文档内容

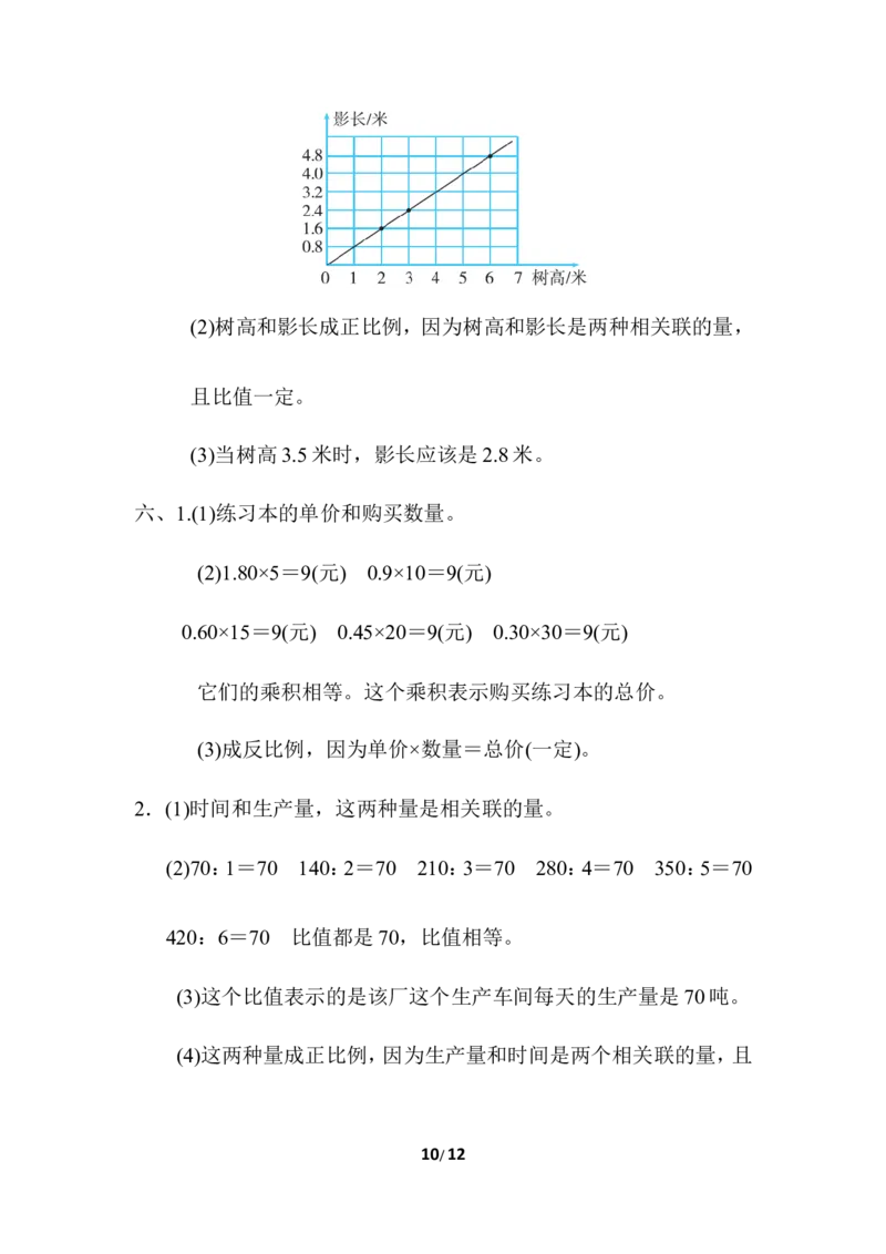
冀教数学六年级下册第三单元跟踪检测卷 正比例 反比例 一、填空。(每空1分,共25分) 1.一辆汽车从甲地开往乙地,前2小时行驶了160千米,照这样的速 度,剩下的路程还要行驶3小时,还剩( )千米。根据题中的数量 关系,( )和( )是两种相关联的量,( )一定时,这两 种量成( )比例。 2.在A×B=C中(A、B、C均不为0),当B一定时,A和C成( )比例; 当C一定时,A和B成( )比例。 3.用12的任意四个因数写出一个比例是:( )。 4.在单价、数量和总价中,如果总价一定,那么单价和数量成( )比 例;如果数量一定,那么总价和单价成( )比例。 5.a与b互为倒数,则a与b成( )比例。 6.已知=k(y不为0),当( )一定时,( )和( )成反比例。 7.一个平行四边形的面积是48平方米,请完成下表。 底(米) 1 2 3 4 5 高(米) 48 24 1/ 12表中( )和( )是两种相关联的量,底×高=( )(一定),所 以( )和( )成( )比例。 2/ 128.下表中,当x和y成正比例时,☆=( );当x和y成反比例时,△ =( )。 x 0.25 50 △ y 1 ☆ 二、判断。(对的在括号里打“√”,错的打“×”。每题2分,共10分) 1.一根电线,用去的长度与剩下的长度成反比例。 ( ) 2.如果A=8B,那么A和B成反比例。 ( ) 3.圆的周长一定,直径和圆周率成反比例。 ( ) 4.分数的分子一定,且分子不为0,分数值和分母成反比例。 ( ) 5.铺地面积一定,铺地所用的方砖的边长和所需的块数成反比例。( ) 三、选择。(将正确答案的字母填在括号里。每题2分,共10分) 1.长方形的面积一定,它的长和宽( )。 A.成正比例 B.成反比例 C.不成比例 2.小明的身高和体重( )。 A.成正比例 B.成反比例 C.不成比例 3/ 123.一架客机从北京飞往上海,飞行速度和所用时间( )。 A.成正比例 B.成反比例 C.不成比例 4.圆的面积和半径的平方( )。 A.成正比例 B.成反比例 C.不成比例 5.和一定,一个加数和另一个加数( )。 A.成正比例 B.不成比例 C.成反比例 四、判断下列各题中两种量是否成比例,如果成比例,请直接写出成 什么比例。(每题4分,共16分) 1.出勤率一定,出勤人数和全班人数。( ) 2.长方体的体积一定,它的底面积和高。( ) 3.植树的总棵数一定,每人植的棵数与人数。( ) 4.正方体的体积和棱长。( ) 五、神机妙算。(共9分) 同时同地测得3棵树的树高及其影长如下表。 树高(米) 2 3 6 影长(米) 1.6 2.4 4.8 (1)把上面的数据在下面画图表示出来。(3分) 4/ 12(2)树高和影长成什么比例?为什么?(3分) (3)当树高3.5米时,影长应该是多少米?(3分) 六、解决问题。(共30分) 1.下面是五种练习本的单价和购买数量的统计表。 练习本的单价(元) 1.80 0.90 0.60 0.45 0.30 购买数量(本) 5 10 15 20 30 (1)表中有哪两种相关联的量?(2分) (2)写出这两种量相对应的两个数的乘积,并比一比。这个乘积表 示的意义是什么?(2分) 5/ 12(3)练习本的单价和购买数量成什么比例?为什么?(2分) 2.某厂的一个生产车间生产冶金焦炭的情况如下表。 时间(天) 1 2 3 4 5 6 生产量(吨) 70 140 210 280 350 420 (1)表中有哪两种量?这两种量是不是相关联的量?(2分) (2)写出这两种量相对应的两个数的比,求出比值,并比较比值的 大小。(2分) (3)说明这个比值所表示的意义。(2分) (4)表中的两种量成什么比例?为什么?(3分) 6/ 123.用一辆卡车运一堆沙子。 (1)请完成下表。(3分) 载重(吨) 4 6 10 12 15 运的次数(次) 30 20 (2)这堆沙子的质量一定,汽车的载重和运的次数成什么比例?(2 分) (3)如果用载重为30吨的卡车运这堆沙子,几次可以运完?(3分) 4.42千克小麦能磨30千克面粉,照这样计算,7吨小麦能磨多少吨面 粉?(用比例知识解答)(7分) 附加题(10分) 将一段粗细均匀、长4米的木料锯成长0.5米的小段,需要小时。 7/ 12照这样计算,若锯成长0.4米的小段,则需要多少小时? 8/ 12答案 一、1.240 路程 时间 速度 正 2.正 反 3.12:3=4:1(比例不唯一) 4.反 正 5.反 6.y x k 7.16 12 9.6 底 高 面积 底 高 反 8.200 二、1.× 2.× 3.× 4.√ 5.× 三、1.B 2.C 3.B 4.A 5.B 四、1.成正比例 【点拨】出勤率=×100%,比值一定,成正比例。 2.成反比例 【点拨】长方体的体积=底面积×高,积一定,成反 比例。 3.成反比例 【点拨】总棵数=每人植的棵数×人数,积一定,成 反比例。 4.不成比例 【点拨】正方体的体积=棱长×棱长×棱长,正方体 的体积和棱长不成比例。 五、(1) 9/ 12(2)树高和影长成正比例,因为树高和影长是两种相关联的量, 且比值一定。 (3)当树高3.5米时,影长应该是2.8米。 六、1.(1)练习本的单价和购买数量。 (2)1.80×5=9(元) 0.9×10=9(元) 0.60×15=9(元) 0.45×20=9(元) 0.30×30=9(元) 它们的乘积相等。这个乘积表示购买练习本的总价。 (3)成反比例,因为单价×数量=总价(一定)。 2.(1)时间和生产量,这两种量是相关联的量。 (2)70:1=70 140:2=70 210:3=70 280:4=70 350:5=70 420:6=70 比值都是70,比值相等。 (3)这个比值表示的是该厂这个生产车间每天的生产量是70吨。 (4)这两种量成正比例,因为生产量和时间是两个相关联的量,且 10/ 12比值一定。 3.(1) (2)成反比例。 (3)6×20÷30=4(次) 答:4次可以运完。 4.解:设7吨小麦能磨x吨面粉。 = x=5 答:7吨小麦能磨5吨面粉。 附加题 解:设需要x小时。 x:(4÷0.4-1)=(4÷0.5-1) x=3 答:需要3小时。 【点拨】锯的次数=段数-1。 11/ 1212/ 12