当前位置:首页>文档>2010年辽宁高考理科数学真题及答案_全国卷+地方卷_2.数学_1.数学高考真题试卷_2008-2020年_地方卷_辽宁省高考数学08-22_数学(理科)

2010年辽宁高考理科数学真题及答案_全国卷+地方卷_2.数学_1.数学高考真题试卷_2008-2020年_地方卷_辽宁省高考数学08-22_数学(理科)

  • 2026-04-22 19:11:51 2026-03-04 23:59:23

文档预览

2010年辽宁高考理科数学真题及答案_全国卷+地方卷_2.数学_1.数学高考真题试卷_2008-2020年_地方卷_辽宁省高考数学08-22_数学(理科)
2010年辽宁高考理科数学真题及答案_全国卷+地方卷_2.数学_1.数学高考真题试卷_2008-2020年_地方卷_辽宁省高考数学08-22_数学(理科)
2010年辽宁高考理科数学真题及答案_全国卷+地方卷_2.数学_1.数学高考真题试卷_2008-2020年_地方卷_辽宁省高考数学08-22_数学(理科)
2010年辽宁高考理科数学真题及答案_全国卷+地方卷_2.数学_1.数学高考真题试卷_2008-2020年_地方卷_辽宁省高考数学08-22_数学(理科)
2010年辽宁高考理科数学真题及答案_全国卷+地方卷_2.数学_1.数学高考真题试卷_2008-2020年_地方卷_辽宁省高考数学08-22_数学(理科)
2010年辽宁高考理科数学真题及答案_全国卷+地方卷_2.数学_1.数学高考真题试卷_2008-2020年_地方卷_辽宁省高考数学08-22_数学(理科)
2010年辽宁高考理科数学真题及答案_全国卷+地方卷_2.数学_1.数学高考真题试卷_2008-2020年_地方卷_辽宁省高考数学08-22_数学(理科)
2010年辽宁高考理科数学真题及答案_全国卷+地方卷_2.数学_1.数学高考真题试卷_2008-2020年_地方卷_辽宁省高考数学08-22_数学(理科)
2010年辽宁高考理科数学真题及答案_全国卷+地方卷_2.数学_1.数学高考真题试卷_2008-2020年_地方卷_辽宁省高考数学08-22_数学(理科)
2010年辽宁高考理科数学真题及答案_全国卷+地方卷_2.数学_1.数学高考真题试卷_2008-2020年_地方卷_辽宁省高考数学08-22_数学(理科)

文档信息

文档格式
doc
文档大小
1.678 MB
文档页数
10 页
上传时间
2026-03-04 23:59:23

文档内容

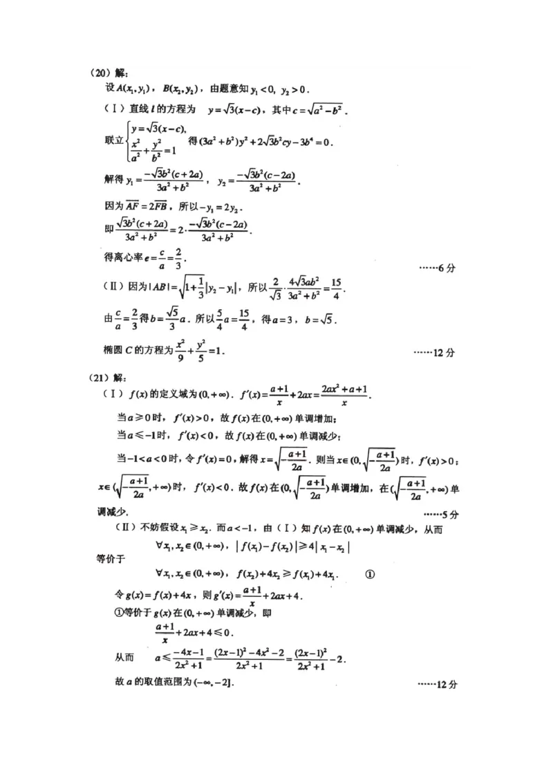
2010 年辽宁高考理科数学真题及答案 第I卷 一、选择墨:本大题共12小题,每小题5分,在每小题给出的四个选项中,只有一项 是符合题目要求的, (1) 已知A,B均为集合U={1,3,5,7,9}的子集,且A∩B={3},( B∩A={9},则A= (A){1,3} (B){3,7,9} (C){3,5,9} (D){3,9} (2)设a,b为实数,若复数 ,则 (A) (B) (C) (D) (3)两个实习生每人加工一个零件.加工为一等品的概率分别为 和 ,两个零件是 否加工为一等品相互独立,则这两个零件中恰有一个一等品的概率为 (A) (B) (C) (D) (4)如果执行右面的程序框图,输入正整数n,m, 满足n≥m,那么输出的P等于 (A) (B) (C) (D) (5)设 >0,函数y=sin( x+ )+2的图像向右平移 个单位后与原图像重合,则 的 最小值是 (A) (B) (C) (D)3 (6)设{a}是有正数组成的等比数列, 为其前n项和。已知aa=1, ,则 n 2 4(A) (B) (C) (D) (7)设抛物线y2=8x的焦点为F,准线为l,P为抛物线上一点,PA⊥l,A为垂足.如 果直线AF的斜率为 ,那么|PF|= (A) (B)8 (C) (D) 16 (8)平面上O,A,B三点不共线,设 ,则△OAB的面积等于 (A) (B) (C) (D) (9)设双曲线的—个焦点为F;虚轴的—个端点为B,如果直线FB与该双曲线的一条渐 近线垂直,那么此双曲线的离心率为 (A) (B) (C) (D) (1O)已知点P在曲线y= 上,a为曲线在点P处的切线的倾斜角,则a的取值 范围是 (A)[0, ) (B) (D) (11)已知a>0,则x 满足关于x的方程ax=6的充要条件是 0 (A) (B) (C) (D) (12) (12)有四根长都为2的直铁条,若再选两根长都为a的直铁条,使这六根铁条端 点处相连能够焊接成一个三棱锥形的铁架,则a的取值范围是 (A)(0, ) (B)(1, ) (C) ( , ) (D) (0, ) 二、填空题:本大题共4小题,每小题5分。 (13) 的展开式中的常数项为_________. (14)已知 且 ,则 的取值范围是_______(答案 用区间表示) (15)如图,网格纸的小正方形的边长是 1,在其上用粗线画 出了某多面体的三视图,则这个多面体最长的一条棱的长为 ______.(16)已知数列 满足 则 的最小值为__________. 三、解答题:解答应写出文字说明,证明过程或演算步骤。 (17)(本小题满分12分) 在△ABC中,a, b, c分别为内角A, B, C的对边,且 (Ⅰ)求A的大小; (Ⅱ)求 的最大值. (18)(本小题满分12分) 为了比较注射A, B两种药物后产生的皮肤疱疹的面积,选200只家兔做试验,将这 200只家兔随机地分成两组,每组100只,其中一组注射药物A,另一组注射药物B。 (Ⅰ)甲、乙是200只家兔中的2只,求甲、乙分在不同组的概率; (Ⅱ)下表1和表2分别是注射药物A和B后的试验结果.(疱疹面积单位:mm2) 表1:注射药物A后皮肤疱疹面积的频数分布表 (ⅰ)完成下面频率分布直方图,并比较注射两种药物后疱疹面积的中位数大小;(ⅱ)完成下面2×2列联表,并回答能否有99.9%的把握认为“注射药物A后的疱疹面积 与注射药物B后的疱疹面积有差异”. 表3: (19)(本小题满分12分) 已知三棱锥P-ABC中,PA⊥ABC,AB⊥AC,PA=AC=½AB,N为AB上一点,AB=4AN,M,S 分别为PB,BC的中点. (Ⅰ)证明:CM⊥SN; (Ⅱ)求SN与平面CMN所成角的大小. (20)(本小题满分12分) 设椭圆C: 的左焦点为F,过点F的直线与椭圆C相交于A,B两点,直线l的倾斜角为60o, . (I) 求椭圆C的离心率; (II) 如果|AB|= ,求椭圆C的方程. (21)(本小题满分12分) 已知函数 (I)讨论函数 的单调性; (II)设 .如果对任意 , ,求 的取值 范围。 请考生在第(22)、(23)、(24)三题中任选一题做答,如果多做,则按所作的第一题 记分。作答时用2B铅笔在答题卡上吧所选题目对应题号下方的方框涂黑。 (22)(本小题满分10分)选修4-1:几何证明选讲 如图, 的角平分线AD的延长线交它的外接圆于点E (I)证明: (II)若 的面积 ,求 的大小。 (23)(本小题满分10分)选修4-4:坐标系与参数方程 已 知 P 为 半 圆 C: ( 为参数, )上的点,点 A 的 坐 标 为 (1,0), O为坐标原点,点M在射线OP上,线段OM与C的弧 的长度均为 。 (I)以O为极点, 轴的正半轴为极轴建立极坐标系,求点M的极坐标; (II)求直线AM的参数方程。 (24)(本小题满分10分)选修4-5:不等式选讲 已知 均为正数,证明: ,并确定 为何值时,等号成立。 参考答案 一、选择题 (1)D (2)A (3)B (4)D (5)C (6)B (7)B (8)C (9)D (10)D (11)C (12)A 二、填空题 (13)-5 (14)(3,8) (15) (16) (17)解: (Ⅰ)由已知,根据正弦定理得 即 由余弦定理得 故 ,A=120° ……6分 (Ⅱ)由(Ⅰ)得: 故当B=30°时,sinB+sinC取得最大值1。 ……12分 (18)解: (Ⅰ)甲、乙两只家兔分在不同组的概率为 ……4分 (Ⅱ)(i) 图Ⅰ注射药物A后皮肤疱疹面积的频率分布直方图 图Ⅱ注射药物 B后皮肤疱疹面积的 频率分布直方图可以看出注射药物A后的疱疹面积的中位数在65至70之间,而注射药物B后的疱疹 面积的中位数在70至75之间,所以注射药物A后疱疹面积的中位数小于注射药物B后疱 疹面积的中位数。 ……8分 (ii)表3: 由于K2>10.828,所以有99.9%的把握认为“注射药物A后的疱疹面积于注射药物B后的疱 疹面积有差异”。