当前位置:首页>文档>专题11空间几何体的表面积与体积(解析版)_2.2025数学总复习_2024年新高考资料_2.2024二轮复习_2024年高三数学二轮优化提优专题训练

专题11空间几何体的表面积与体积(解析版)_2.2025数学总复习_2024年新高考资料_2.2024二轮复习_2024年高三数学二轮优化提优专题训练

  • 2026-04-06 04:29:37 2026-03-14 01:12:25

文档预览

专题11空间几何体的表面积与体积(解析版)_2.2025数学总复习_2024年新高考资料_2.2024二轮复习_2024年高三数学二轮优化提优专题训练
专题11空间几何体的表面积与体积(解析版)_2.2025数学总复习_2024年新高考资料_2.2024二轮复习_2024年高三数学二轮优化提优专题训练
专题11空间几何体的表面积与体积(解析版)_2.2025数学总复习_2024年新高考资料_2.2024二轮复习_2024年高三数学二轮优化提优专题训练
专题11空间几何体的表面积与体积(解析版)_2.2025数学总复习_2024年新高考资料_2.2024二轮复习_2024年高三数学二轮优化提优专题训练
专题11空间几何体的表面积与体积(解析版)_2.2025数学总复习_2024年新高考资料_2.2024二轮复习_2024年高三数学二轮优化提优专题训练
专题11空间几何体的表面积与体积(解析版)_2.2025数学总复习_2024年新高考资料_2.2024二轮复习_2024年高三数学二轮优化提优专题训练
专题11空间几何体的表面积与体积(解析版)_2.2025数学总复习_2024年新高考资料_2.2024二轮复习_2024年高三数学二轮优化提优专题训练
专题11空间几何体的表面积与体积(解析版)_2.2025数学总复习_2024年新高考资料_2.2024二轮复习_2024年高三数学二轮优化提优专题训练
专题11空间几何体的表面积与体积(解析版)_2.2025数学总复习_2024年新高考资料_2.2024二轮复习_2024年高三数学二轮优化提优专题训练
专题11空间几何体的表面积与体积(解析版)_2.2025数学总复习_2024年新高考资料_2.2024二轮复习_2024年高三数学二轮优化提优专题训练
专题11空间几何体的表面积与体积(解析版)_2.2025数学总复习_2024年新高考资料_2.2024二轮复习_2024年高三数学二轮优化提优专题训练
专题11空间几何体的表面积与体积(解析版)_2.2025数学总复习_2024年新高考资料_2.2024二轮复习_2024年高三数学二轮优化提优专题训练
专题11空间几何体的表面积与体积(解析版)_2.2025数学总复习_2024年新高考资料_2.2024二轮复习_2024年高三数学二轮优化提优专题训练
专题11空间几何体的表面积与体积(解析版)_2.2025数学总复习_2024年新高考资料_2.2024二轮复习_2024年高三数学二轮优化提优专题训练
专题11空间几何体的表面积与体积(解析版)_2.2025数学总复习_2024年新高考资料_2.2024二轮复习_2024年高三数学二轮优化提优专题训练
专题11空间几何体的表面积与体积(解析版)_2.2025数学总复习_2024年新高考资料_2.2024二轮复习_2024年高三数学二轮优化提优专题训练
专题11空间几何体的表面积与体积(解析版)_2.2025数学总复习_2024年新高考资料_2.2024二轮复习_2024年高三数学二轮优化提优专题训练
专题11空间几何体的表面积与体积(解析版)_2.2025数学总复习_2024年新高考资料_2.2024二轮复习_2024年高三数学二轮优化提优专题训练
专题11空间几何体的表面积与体积(解析版)_2.2025数学总复习_2024年新高考资料_2.2024二轮复习_2024年高三数学二轮优化提优专题训练
专题11空间几何体的表面积与体积(解析版)_2.2025数学总复习_2024年新高考资料_2.2024二轮复习_2024年高三数学二轮优化提优专题训练
专题11空间几何体的表面积与体积(解析版)_2.2025数学总复习_2024年新高考资料_2.2024二轮复习_2024年高三数学二轮优化提优专题训练
专题11空间几何体的表面积与体积(解析版)_2.2025数学总复习_2024年新高考资料_2.2024二轮复习_2024年高三数学二轮优化提优专题训练
专题11空间几何体的表面积与体积(解析版)_2.2025数学总复习_2024年新高考资料_2.2024二轮复习_2024年高三数学二轮优化提优专题训练
专题11空间几何体的表面积与体积(解析版)_2.2025数学总复习_2024年新高考资料_2.2024二轮复习_2024年高三数学二轮优化提优专题训练
专题11空间几何体的表面积与体积(解析版)_2.2025数学总复习_2024年新高考资料_2.2024二轮复习_2024年高三数学二轮优化提优专题训练
专题11空间几何体的表面积与体积(解析版)_2.2025数学总复习_2024年新高考资料_2.2024二轮复习_2024年高三数学二轮优化提优专题训练
专题11空间几何体的表面积与体积(解析版)_2.2025数学总复习_2024年新高考资料_2.2024二轮复习_2024年高三数学二轮优化提优专题训练
专题11空间几何体的表面积与体积(解析版)_2.2025数学总复习_2024年新高考资料_2.2024二轮复习_2024年高三数学二轮优化提优专题训练
专题11空间几何体的表面积与体积(解析版)_2.2025数学总复习_2024年新高考资料_2.2024二轮复习_2024年高三数学二轮优化提优专题训练
专题11空间几何体的表面积与体积(解析版)_2.2025数学总复习_2024年新高考资料_2.2024二轮复习_2024年高三数学二轮优化提优专题训练
专题11空间几何体的表面积与体积(解析版)_2.2025数学总复习_2024年新高考资料_2.2024二轮复习_2024年高三数学二轮优化提优专题训练
专题11空间几何体的表面积与体积(解析版)_2.2025数学总复习_2024年新高考资料_2.2024二轮复习_2024年高三数学二轮优化提优专题训练

文档信息

文档格式
docx
文档大小
2.467 MB
文档页数
32 页
上传时间
2026-03-14 01:12:25

文档内容

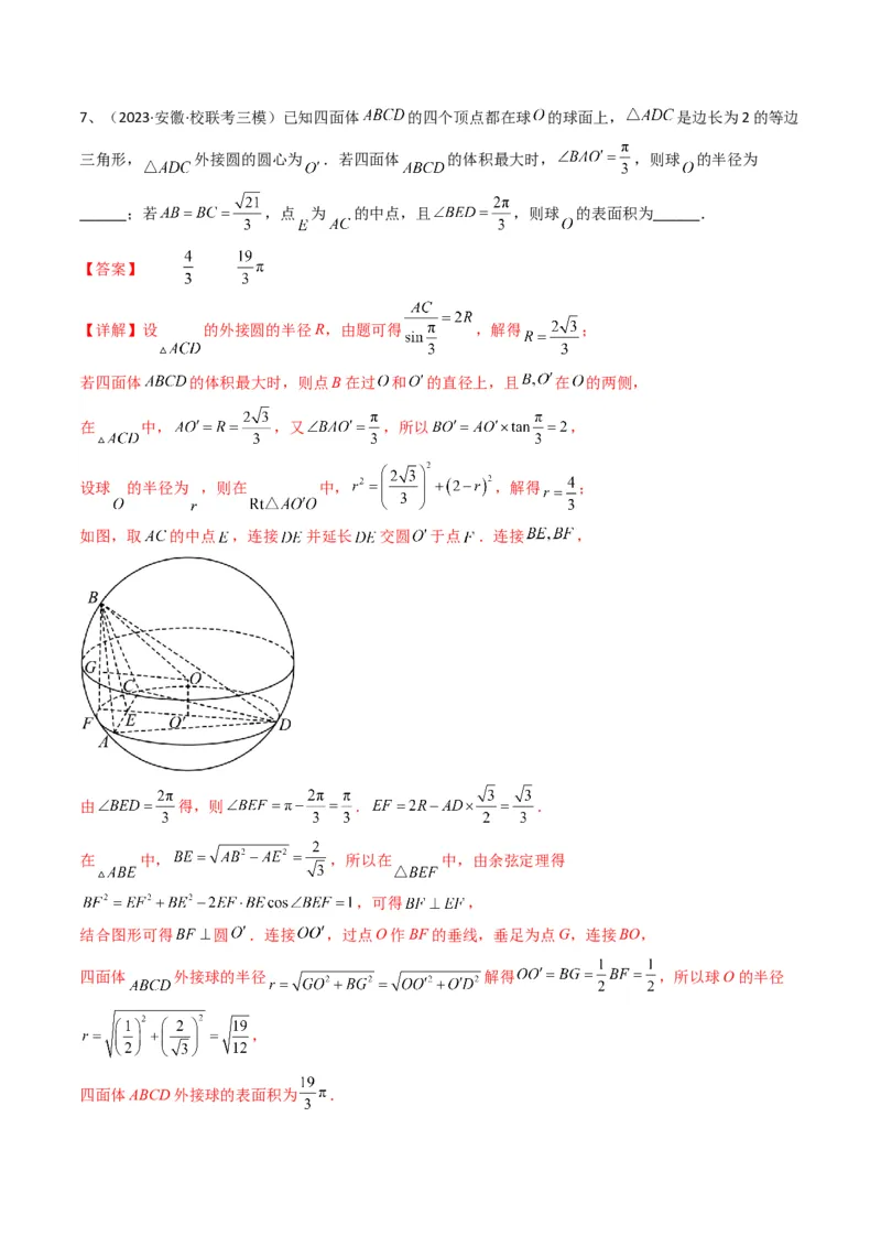
专题11 空间几何体的表面积与体积 1、(2023年全国乙卷数学(理))已知圆锥PO的底面半径为 ,O为底面圆心,PA,PB为圆锥的母线, ,若 的面积等于 ,则该圆锥的体积为( ) A. B. C. D. 【答案】B 【详解】在 中, ,而 ,取 中点 ,连接 ,有 ,如图, , ,由 的面积为 ,得 , 解得 ,于是 , 所以圆锥的体积 . 故选:B 2、(2023年全国甲卷数学(文))在三棱锥 中, 是边长为2的等边三角形, ,则该棱锥的体积为( )A.1 B. C.2 D.3 【答案】A 【详解】取 中点 ,连接 ,如图, 是边长为2的等边三角形, , ,又 平面 , , 平面 , 又 , , 故 ,即 , 所以 , 故选:A 3、(2023年全国甲卷数学(理))在四棱锥 中,底面 为正方形, ,则 的面积为( ) A. B. C. D. 【答案】C 【详解】连结 交于 ,连结 ,则 为 的中点,如图, 因为底面 为正方形, ,所以 ,则 ,又 , ,所以 ,则 , 又 , ,所以 ,则 , 在 中, , 则由余弦定理可得 , 故 ,则 , 故在 中, , 所以 , 又 ,所以 , 所以 的面积为 . 4、【2022年新高考1卷】南水北调工程缓解了北方一些地区水资源短缺问题,其中一部分水蓄入某水库. 已知该水库水位为海拔148.5m时,相应水面的面积为140.0km2;水位为海拔157.5m时,相应水面 的面积为180.0km2,将该水库在这两个水位间的形状看作一个棱台,则该水库水位从海拔148.5m上 升到157.5m时,增加的水量约为(√7≈2.65)( ) A.1.0×109m3 B.1.2×109m3 C.1.4×109m3 D.1.6×109m3 【答案】C 【解析】依题意可知棱台的高为MN=157.5−148.5=9(m),所以增加的水量即为棱台的体积V. 棱台上底面积S=140.0km2=140×106m2,下底面积S'=180.0km2=180×106m2, 1 1 ∴V = ℎ (S+S'+√SS')= ×9×(140×106+180×106+√140×180×1012) 3 3 =3×(320+60√7)×106≈(96+18×2.65)×107=1.437×109≈1.4×109 (m3 ).故选:C. 5、【2022年新高考2卷】已知正三棱台的高为1,上、下底面边长分别为3√3和4√3,其顶点都在同一球 面上,则该球的表面积为( ) A.100π B.128π C.144π D.192π 【答案】A 3√3 4√3 【解析】设正三棱台上下底面所在圆面的半径r ,r ,所以2r = ,2r = ,即r =3,r =4, 1 2 1 sin60∘ 2 sin60∘ 1 2 设球心到上下底面的距离分别为d ,d ,球的半径为R,所以d =√R2−9,d =√R2−16,故|d −d |=1 1 2 1 2 1 2 或d +d =1,即|√R2−9−√R2−16|=1或√R2−9+√R2−16=1,解得R2=25符合题意,所以球的表面 1 2 积为S=4πR2=100π. 故选:A 6、(2023年新课标全国Ⅱ卷)(多选题)已知圆锥的顶点为P,底面圆心为O,AB为底面直径, , ,点C在底面圆周上,且二面角 为45°,则( ). A.该圆锥的体积为 B.该圆锥的侧面积为 C. D. 的面积为 【答案】AC 【详解】依题意, , ,所以 , A选项,圆锥的体积为 ,A选项正确; B选项,圆锥的侧面积为 ,B选项错误;C选项,设 是 的中点,连接 , 则 ,所以 是二面角 的平面角, 则 ,所以 , 故 ,则 ,C选项正确; D选项, ,所以 ,D选项错误. 故选:AC. 7、(2023年新课标全国Ⅰ卷)(多选题)下列物体中,能够被整体放入棱长为1(单位:m)的正方体容 器(容器壁厚度忽略不计)内的有( ) A.直径为 的球体 B.所有棱长均为 的四面体 C.底面直径为 ,高为 的圆柱体 D.底面直径为 ,高为 的圆柱体 【答案】ABD 【详解】对于选项A:因为 ,即球体的直径小于正方体的棱长, 所以能够被整体放入正方体内,故A正确; 对于选项B:因为正方体的面对角线长为 ,且 , 所以能够被整体放入正方体内,故B正确; 对于选项C:因为正方体的体对角线长为 ,且 , 所以不能够被整体放入正方体内,故C正确; 对于选项D:因为 ,可知底面正方形不能包含圆柱的底面圆, 如图,过 的中点 作 ,设 ,可知 ,则 , 即 ,解得 , 且 ,即 , 故以 为轴可能对称放置底面直径为 圆柱, 若底面直径为 的圆柱与正方体的上下底面均相切,设圆柱的底面圆心 ,与正方体的下底面的切点 为 , 可知: ,则 , 即 ,解得 , 根据对称性可知圆柱的高为 , 所以能够被整体放入正方体内,故D正确; 故选:ABD. 8、(2023年新课标全国Ⅰ卷)在正四棱台 中, ,则该棱台的体 积为________. 【答案】 / 【详解】如图,过 作 ,垂足为 ,易知 为四棱台 的高,因为 , 则 , 故 ,则 , 所以所求体积为 . 故答案为: . 9、(2023年新课标全国Ⅱ卷).底面边长为4的正四棱锥被平行于其底面的平面所截,截去一个底面边 长为2,高为3的正四棱锥,所得棱台的体积为______. 【答案】 【详解】方法一:由于 ,而截去的正四棱锥的高为 ,所以原正四棱锥的高为 , 所以正四棱锥的体积为 , 截去的正四棱锥的体积为 , 所以棱台的体积为 . 方法二:棱台的体积为 . 故答案为: .10、(2021年全国高考甲卷数学(文)试题)已知直三棱柱 中,侧面 为正方形, ,E,F分别为 和 的中点, . (1)求三棱锥 的体积; (2)已知D为棱 上的点,证明: . 【解析】(1)如图所示,连结AF, 由题意可得: , 由于AB⊥BB ,BC⊥AB, ,故 平面 , 1而 平面 ,故 , 从而有 , 从而 , 则 , 为等腰直角三角形, , . (2)由(1)的结论可将几何体补形为一个棱长为2的正方体 ,如图所示,取棱 的 中点 ,连结 , 正方形 中, 为中点,则 , 又 , 故 平面 ,而 平面 , 从而 . 题组一、空间几何体的表面积 1-1、(2023·云南玉溪·统考一模)如图是某灯具厂生产的一批不倒翁型台灯外形,它由一个圆锥和一个半 球组合而成,圆锥的高是0.4m,底面直径和球的直径都是0.6m,现对这个台灯表面涂胶,如果每平方米需要涂200克,则共需涂胶( )克(精确到个位数) A.176 B.207 C.239 D.270 【答案】B 【分析】求出圆锥的母线长,再由台灯是由一个圆锥和一个半球组成可求得台灯表面积 的值, 进而求得涂胶的克数. 【详解】由已知得圆锥的母线长 , 所以台灯表面积为 , 需要涂胶的重量为 (克), 故选:B. 1-2、(2023·安徽·统考一模)在三棱锥 中, 底面 ,则三 棱锥 外接球的表面积为( ) A. B. C. D. 【答案】B 【分析】求得外接球的半径,进而求得外接球的表面积. 【详解】由 ,得 , 所以 的外接圆半径 , 由于 底面 ,所以外接球的半径 , 所以外接球的表面积 . 故选:B. 1-3、(2023·江苏·统考三模)已知底面半径为r的圆锥SO,其轴截面是正三角形,它的一个内接圆柱的底面半径为 ,则此圆柱与圆锥的侧面积的比值为( ) A. B. C. D. 【答案】D 【详解】圆锥的高为 ,如图, 由 可得: ,∴ , ∴ , 圆柱侧面积 , 圆锥侧面积 , . 故选:D. 1-4、(2021·山东日照市·高三二模)球面几何是几何学的一个重要分支,在航海、航空、卫星定位等方面 都有广泛的应用.如图,A,B,C是球面上不在同一大圆上的三点,经过这三点中任意两点的大圆的劣弧 AB,BC,CA ABC 分别为 ,由这三条劣弧组成的图形称为球面 .已知地球半径为R,北极为点N,P,Q 20 60 △NPQ 是地球表面上的两点.若P,Q在赤道上,且经度分别为东经 和东经 ,则球面 的面积为 __________.2 R2 【答案】9 20 60 【解析】因为PQ在赤道上,且经度分别为东经 和东经 , 1 6020 2R2 4R2 2R2 R2  上半球面面积为2 ,球面△NPQ的面积为 360 9 ; 2R2 故答案为: 9 题组二、空间几何体的体积 2-1、(2023·云南红河·统考一模)如图所示是一块边长为10cm的正方形铝片,其中阴影部分由四个全等 的等腰梯形和一个正方形组成,将阴影部分裁剪下来,并将其拼接成一个无上盖的容器(铝片厚度不计), 则该容器的容积为( ) A. B. C. D. 【答案】B 【分析】作出正四棱台,作出辅助线,得到各边长,求出四棱台的高,从而利用台体体积公式求出体积. 【详解】由题知,该容器的容积就是正四棱台的体积,如图,连接正四棱台上下底面的中心 , ,取上底面正方形一边中点 ,对应下底面正方形一边中点 ,连接 , , , 则 ,故 四点共面, 过点 作 交 于点 ,则四边形 为矩形, 故 , 因为该正四棱台上、下底面边长分别为2,6,等腰梯形的斜高为4, 所以 , 故 , 所以该棱台的高 ,下底面面积 ,上底面面积 , 所以该容器的容积是 . 故选:B. 2-2、(2023·云南·统考一模)三棱锥 中, 平面 , .若 , ,则该 三棱锥体积的最大值为( ) A.2 B. C.1 D. 【答案】D 【分析】先利用线面垂直的判定定理与性质定理依次证得 平面 、 与 ,从而利用基本不等式求得 ,进而得到 ,由此得解. 【详解】因为 平面 , 平面 ,所以 , 又 , , 平面 ,所以 平面 , 因为 平面 ,所以 , 在 中, , ,则 , 因为 平面 , 平面 ,所以 , 在 中,不妨设 ,则由 得 , 所以 , 当且仅当 且 ,即 时,等号成立, 所以 , 所以该三棱锥体积的最大值为 . 故选:D. . 2-3、(2023·山西临汾·统考一模)《九章算术·商功》提及一种称之为“羡除”的几何体,刘徽对此几何体 作注:“羡除,隧道也其所穿地,上平下邪.似两鳖臑夹一堑堵,即羡除之形.”羡除即为:三个面为梯形或 平行四边形(至多一个侧面是平行四边形),其余两个面为三角形的五面几何体.现有羡除 如图 所示,底面 为正方形, ,其余棱长为2,则羡除外接球体积与羡除体积之比为 ( )A. B. C. D. 【答案】A 【分析】连接AC、BD交于点M,取EF的中点O,连接OM,求出OM的长,进而求出OA的长,可知 ,从而可求出羡除外接球体积,由等体积法可求出羡除体积,进而可求 得结果. 【详解】连接AC、BD交于点M,取EF的中点O,连接OM,则 平面 .取BC的中点G,连接 FG,作 ,垂足为H,如图所示, 由题意得, , , , , ∴ , ∴ , 又∵ , ∴ , ∴ ,即:这个羡除的外接球的球心为O,半径为2, ∴这个羡除的外接球体积为 . ∵ , 面 , 面 , ∴ 面 ,即:点A到面 的距离等于点B到面 的距离, 又∵ , ∴ , ∴这个羡除的体积为 ,∴羡除的外接球体积与羡除体积之比为 . 故选:A. 2-4、(2022·江苏如东·高三期末)已知三棱锥P-ABC的外接球半径为4,底面ABC中,AC=6,∠ABC= 60°,则三棱锥P-ABC体积的最大值是( ) A. B. C.24π D. 【答案】A 【解析】由已知可得, 的外接圆的半径 , 且由余弦定理 得 , (当且仅当 时取等号) 所以 , 又外接球的球心到平面 的距离为 , 所以点P到平面 的距离的最大值为 , 所以三棱锥 体积的最大值为 . 故选:A 2-5、(2022·湖北省鄂州高中高三期末)攒尖是我国古代建筑中屋顶的一种结构样式,多见于亭阁式建筑、 园林建筑.下面以圆形攒尖为例.如图所示的建筑屋顶可近似看作一个圆锥,其轴截面(过圆锥旋转轴的截面)是底边边长为 ,顶角为 的等腰三角形,则该屋顶的体积约为( ) A. B. C. D. 【答案】B 【解析】因为轴截面的顶角为 ,所以底角 ,在 中,依题意, 该圆形攒尖的底面圆半径 ,高 , 则 ( ),所以该屋顶的体积约为 . 故选:B. 题组三、球的切接问题 3-1、(2023·安徽黄山·统考三模)如图,球 的表面积为 ,四面体 内接于球 , 是边 长为 的正三角形,平面 平面 ,则该四面体体积的最大值为( ) A. B. C. D.【答案】B 【详解】因为球 的表面积为 ,所以 , 由题意知底面三角形的面积为定值,要使四面体体积的最大,只须顶点 到底面的距离最大即可, 又因为平面 平面 ,可知当 时,点 到底面的距离最大, 外接圆的半径 ,则 到面 的距离为 ,且 到面 的距离 为 , 设点 到平面 的距离为 ,则 ,解得 , 此时体积最大值为 . 故选:B. 3-2、(2023·云南红河·统考一模)三棱锥P-ABC的四个顶点都在球O上,且PA⊥底面ABC, , ,则下列说法正确的是( ) A. B.球心O在三棱锥的外部 C.球心O到底面ABC的距离为2 D.球O的体积为 【答案】ABD 【分析】对A,由余弦定理直接判断;对B,设△ABC外接圆的圆心为 ,说明 ,圆心 在 △ABC外部,故球心O在三棱锥的外部;对C,取线段PA的中点Q,连接OQ,说明 ,则四边形 为矩形,球心O到底面ABC的距离为 ;对D,由正弦定理求得设△ABC外接圆半径,从而求 得球半径,由体积公式可求得结果. 【详解】对A,在△ABC中,由余弦定理得 ,即 ,故A正确; 对B,如图,设△ABC外接圆的圆心为 ,连接 ,则 底面ABC, 又PA⊥底面ABC,所以 ,由 ,得圆心 在△ABC外部,故球心O在三棱锥的外部,故B正确; 对C,取线段PA的中点Q,连接OQ,因为PA是球O的一条弦,所以 , 所以四边形 为矩形,故 ,即球心O到底面ABC的距离为1,故C不正确; 对D,设球O的半径为R,圆 的半径为r, 由正弦定理得 ,所以 ,进而 , 球的体积为 ,故D正确, 故选:ABD. 3-3、(2023·湖南邵阳·统考三模)三棱锥 中,PA⊥平面ABC, ,则三棱锥 外接球的表面积为__________. 【答案】 【详解】由PA⊥平面ABC, 面 ,则 ,又 , 所以 两两垂直,故可将三棱锥 补全为长方体, 故三棱锥 外接球,即为长方体外接球, 令三棱锥 外接球半径为 ,则满足 , 所以外接球表面积为 . 故答案为:题组四、计算的综合性问题 4-1、(2023·江苏南通·统考一模)(多选题)在棱长为2的正方体 中, 与 交于点 ,则( ) A. 平面 B. 平面 C. 与平面 所成的角为 D.三棱锥 的体积为 【答案】ABD 【分析】根据线面平行判定定理判断A,利用线面垂直判定定理判断B,利用线面夹角的定义判断C,根 据等体积法判断D. 【详解】∵ 平面 平面 平面 ,A对; 因为 又 平面 , 平面 , 所以 平面 平面 ,B对; 因为 平面 与平面 所成角为 因为 , C错;因为 ,D对. 故选: . 4-2、(2023·安徽·统考一模)(多选题)在平行六面体 中,已知 , ,则( ) A.直线 与 所成的角为 B.线段 的长度为 C.直线 与 所成的角为 D.直线 与平面 所成角的正弦值为 【答案】AC 【分析】设 ,将 分别用 表示,再根据向量数量积的运算律即可判 断ABC;对于D,先证明平面 平面 ,从而可得 与平面 所成的角为 ,再解 即可. 【详解】设 ,则 ,且 , 对于A, ,, 所以直线 与 所成的角为 ,故A正确; 对于B,因为 , 所以 ,故B错误; 对于C,因为 , 所以 ,故C正确; 对于D,连接 ,交 于点 ,则 为 的中点, 因为 , , 所以 , 又因 平面 ,所以 平面 , 又 平面 ,所以平面 平面 , 作 ,垂足为 , 因为平面 平面 ,平面 平面 , 平面 , 所以 平面 , 则 与平面 所成的角为 , 在 中, ,所以 , 即直线 与平面 所成角的正弦值为 ,故D错误.故选:AC. 4-3、(2023·安徽合肥·统考一模)(多选题)已知圆锥SO(O是底面圆的圆心,S是圆锥的顶点)的母线 长为 ,高为 .若P,Q为底面圆周上任意两点,则下列结论正确的是( ) A.三角形 面积的最大值为 B.三棱锥 体积的最大值 C.四面体 外接球表面积的最小值为11 D.直线SP与平面 所成角的余弦值的最小值为 【答案】BD 【分析】选项A,由已知计算出底面半径的长度,以及轴截面的顶角大小,利用三角形的面积公式可知, 当 时,三角形 面积最大,可判断选项A;利用三棱锥等体积转换,可得当 面 时, 三棱锥 体积最大,可判断选项B;因为 底面圆,所以四面体 外接球球心在 的中垂面 和过 外接圆圆心的底面垂线的交点处,利用勾股定理和正弦定理可计算出最小值,判断选项C;由 线面角公式可得,当 面 时,直线SP与平面 所成角的余弦值最小,判断出选项D. 【详解】选项A,由母线长为 ,高为 ,可得底面半径为 ,设 是底面圆的一条直径,则 ,即 是钝角,又,则存在点 ,当 时, ,三角形 面积的最大值为 ,故A错误; 选项B, , 当 面 时, ,故B正确; 选项C,设 的外接圆半径为 , 底面圆, 四面体 外接球半径 满足 , 若外接球表面积的最小,即外接球的半径 最小,又 ,即在底面圆中, 的外接圆半径最 小,由正弦定理 ,则点 经过线段 的中垂线时, 最大, 的外 接圆半径最小,此时, , ,即四面体 外接球表面积的最小值 为 ,故C错误; 选项D,设点 到平面 的距离为 ,直线SP与平面 所成角 的正弦值为 ,则当 面 时, ,此时直线SP与平面 所成角的余弦值最小,最小值为 , 故D正确; 故选:BD.1、【2022·广州市荔湾区上学期调研】若圆台的下底面半径为4,上底面半径为1,母线长为5,则其体积 为( ) A. B. C. D. 【答案】C 【解析】:圆台的轴截面如图所示: 则圆台的高 ,所以圆台的体积 , 故选:C 2、(2023·江苏泰州·泰州中学校考一模)如图,一个装有某种液体的圆柱形容器固定在墙面和地面的角落 内,容器与地面所成的角为 ,液面呈椭圆形,椭圆长轴上的顶点 , 到容器底部的距离分别是12和 18,则容器内液体的体积是( )A. B. C. D. 【答案】C 【分析】根据条件通过作垂线,求得底面圆的半径,将液体的体积看作等于一个底面半径为 ,高为 的圆柱体积的一半,即可求解答案. 【详解】如图为圆柱的轴截面图,过M作容器壁的垂线,垂足为F, 因为MN平行于地面,故 , 椭圆长轴上的顶点 , 到容器底部的距离分别是12和18, 故 , 在 中, ,即圆柱的底面半径为 , 所以容器内液体的体积等于一个底面半径为 ,高为 的圆柱体积的一半, 即为 , 故选:C. 3、(2023·江苏南京·校考一模)某圆锥母线长为2,底面半径为 ,则过该圆锥顶点的平面截此圆锥所得 截面面积的最大值为( ) A.2 B. C. D.1 【答案】A 【分析】如图截面为 ,P为MN的中点,设 , ,进而可得面积最大值. 【详解】 如图所示,截面为 ,P为MN的中点,设 , 当 时, ,此时截面面积最大. 故选:A 4、(2023·湖南邵阳·统考三模)如图所示,正八面体的棱长为2,则此正八面体的表面积与体积之比为( ) A. B. C. D. 【答案】D 【详解】如图,由边长为2,可得 的高 ,,则其表面积为 . 体积为 . 此正八面体的表面积与体积之比为 . 故选:D. 5、(2023·江苏连云港·统考模拟预测)(多选题)折扇在我国已有三四千年的历史,“扇”与“善”谐音, 折扇也寓意“善良”“善行”.它以字画的形式集中体现了我国文化的方方面面,是运筹帷幄,决胜千里, 大智大勇的象征(如图1).图2是一个圆台的侧面展开图(扇形的一部分),若扇形的两个圆弧所在圆 的半径分别是1和3,且 ,则该圆台( ) A.高为 B.表面积为 C.体积为 D.上底面积、下底面积和侧面积之比为 【答案】BCD 【分析】求得圆台的上下底面半径,根据圆台的结构特征可求得圆台母线长和高,判断A;根据圆台的侧 面积以及体积公式求得表面积和体积,判断B,C;进而求得上底面积、下底面积和侧面积之比,判断D. 【详解】对于A,设圆台的上底面半径为r,下底面半径为R,则 ,解得 ,所以圆台的母线长为 ,高为 ,选项A错误; 对于B,圆台的上底面积为 ,下底面积为 ,侧面积为 , 所以圆台的表面积为 ,选项B正确; 对于C,圆台的体积为 ,选项C正确; 对于D,圆台的上底面积、下底面积和侧面积之比为 ,选项D正确, 故选:BCD. 6、(2022·湖北江岸·高三期末)(多选题)正方体 的棱长为2,且 ( ), 过P作垂直于平面 的直线l,分别交正方体 的表面于M,N两点,下列说法正确的 是( ) A. 平面 B.四边形 的面积的最大值为 C.若四边形 的面积为 ,则 D.若 ,则四棱锥 的体积为 【答案】BD 【解析】解:因为 与 不垂直,所以 与平面 不垂直,故选项A不正确; 如图,以 为坐标原点, , , 的方向分别为 , , 轴的正方向建立空间直角坐标系 ,则 ,0, , ,2, , ,0, , ,2, . 因为 ,所以 , , . 因为 平面 ,所以 , 则 , , , , , . 若 平面 ,则 ,即 ,0, , , , , ; 若 平面 ,则 ,即 , , , ,2, , . 因为 ,所以四边形 的面积 , 当 时,四边形 的面积最大,且最大值为 , 点 到直线 的距离为 ,即点 到平面 的距离为 , 所以四棱锥 的体积 ,故选项B正确,选项D正确. 若四边形 的面积为 ,则 或 ,解得 或 ,故选项C 不正确, 故选:BD.7、(2023·安徽·校联考三模)已知四面体 的四个顶点都在球 的球面上, 是边长为2的等边 三角形, 外接圆的圆心为 .若四面体 的体积最大时, ,则球 的半径为 ______;若 ,点 为 的中点,且 ,则球 的表面积为______. 【答案】 【详解】设 的外接圆的半径R,由题可得 ,解得 ; 若四面体 的体积最大时,则点B在过 和 的直径上,且 在 的两侧, 在 中, ,又 ,所以 , 设球 的半径为 ,则在 中, ,解得 ; 如图,取 的中点 ,连接 并延长 交圆 于点 .连接 , 由 得,则 . . 在 中, ,所以在 中,由余弦定理得 ,可得 , 结合图形可得 圆 .连接 ,过点O作BF的垂线,垂足为点G,连接BO, 四面体 外接球的半径 解得 ,所以球O的半径 , 四面体ABCD外接球的表面积为 .故答案为: ; .