当前位置:首页>文档>专题14空间几何体的折叠及多面体的问题(解析版)_2.2025数学总复习_2024年新高考资料_2.2024二轮复习_2024年高三数学二轮优化提优专题训练

专题14空间几何体的折叠及多面体的问题(解析版)_2.2025数学总复习_2024年新高考资料_2.2024二轮复习_2024年高三数学二轮优化提优专题训练

  • 2026-04-06 09:39:25 2026-03-16 02:04:30

文档预览

专题14空间几何体的折叠及多面体的问题(解析版)_2.2025数学总复习_2024年新高考资料_2.2024二轮复习_2024年高三数学二轮优化提优专题训练
专题14空间几何体的折叠及多面体的问题(解析版)_2.2025数学总复习_2024年新高考资料_2.2024二轮复习_2024年高三数学二轮优化提优专题训练
专题14空间几何体的折叠及多面体的问题(解析版)_2.2025数学总复习_2024年新高考资料_2.2024二轮复习_2024年高三数学二轮优化提优专题训练
专题14空间几何体的折叠及多面体的问题(解析版)_2.2025数学总复习_2024年新高考资料_2.2024二轮复习_2024年高三数学二轮优化提优专题训练
专题14空间几何体的折叠及多面体的问题(解析版)_2.2025数学总复习_2024年新高考资料_2.2024二轮复习_2024年高三数学二轮优化提优专题训练
专题14空间几何体的折叠及多面体的问题(解析版)_2.2025数学总复习_2024年新高考资料_2.2024二轮复习_2024年高三数学二轮优化提优专题训练
专题14空间几何体的折叠及多面体的问题(解析版)_2.2025数学总复习_2024年新高考资料_2.2024二轮复习_2024年高三数学二轮优化提优专题训练
专题14空间几何体的折叠及多面体的问题(解析版)_2.2025数学总复习_2024年新高考资料_2.2024二轮复习_2024年高三数学二轮优化提优专题训练
专题14空间几何体的折叠及多面体的问题(解析版)_2.2025数学总复习_2024年新高考资料_2.2024二轮复习_2024年高三数学二轮优化提优专题训练
专题14空间几何体的折叠及多面体的问题(解析版)_2.2025数学总复习_2024年新高考资料_2.2024二轮复习_2024年高三数学二轮优化提优专题训练
专题14空间几何体的折叠及多面体的问题(解析版)_2.2025数学总复习_2024年新高考资料_2.2024二轮复习_2024年高三数学二轮优化提优专题训练
专题14空间几何体的折叠及多面体的问题(解析版)_2.2025数学总复习_2024年新高考资料_2.2024二轮复习_2024年高三数学二轮优化提优专题训练
专题14空间几何体的折叠及多面体的问题(解析版)_2.2025数学总复习_2024年新高考资料_2.2024二轮复习_2024年高三数学二轮优化提优专题训练
专题14空间几何体的折叠及多面体的问题(解析版)_2.2025数学总复习_2024年新高考资料_2.2024二轮复习_2024年高三数学二轮优化提优专题训练
专题14空间几何体的折叠及多面体的问题(解析版)_2.2025数学总复习_2024年新高考资料_2.2024二轮复习_2024年高三数学二轮优化提优专题训练
专题14空间几何体的折叠及多面体的问题(解析版)_2.2025数学总复习_2024年新高考资料_2.2024二轮复习_2024年高三数学二轮优化提优专题训练
专题14空间几何体的折叠及多面体的问题(解析版)_2.2025数学总复习_2024年新高考资料_2.2024二轮复习_2024年高三数学二轮优化提优专题训练
专题14空间几何体的折叠及多面体的问题(解析版)_2.2025数学总复习_2024年新高考资料_2.2024二轮复习_2024年高三数学二轮优化提优专题训练
专题14空间几何体的折叠及多面体的问题(解析版)_2.2025数学总复习_2024年新高考资料_2.2024二轮复习_2024年高三数学二轮优化提优专题训练
专题14空间几何体的折叠及多面体的问题(解析版)_2.2025数学总复习_2024年新高考资料_2.2024二轮复习_2024年高三数学二轮优化提优专题训练
专题14空间几何体的折叠及多面体的问题(解析版)_2.2025数学总复习_2024年新高考资料_2.2024二轮复习_2024年高三数学二轮优化提优专题训练
专题14空间几何体的折叠及多面体的问题(解析版)_2.2025数学总复习_2024年新高考资料_2.2024二轮复习_2024年高三数学二轮优化提优专题训练
专题14空间几何体的折叠及多面体的问题(解析版)_2.2025数学总复习_2024年新高考资料_2.2024二轮复习_2024年高三数学二轮优化提优专题训练
专题14空间几何体的折叠及多面体的问题(解析版)_2.2025数学总复习_2024年新高考资料_2.2024二轮复习_2024年高三数学二轮优化提优专题训练
专题14空间几何体的折叠及多面体的问题(解析版)_2.2025数学总复习_2024年新高考资料_2.2024二轮复习_2024年高三数学二轮优化提优专题训练
专题14空间几何体的折叠及多面体的问题(解析版)_2.2025数学总复习_2024年新高考资料_2.2024二轮复习_2024年高三数学二轮优化提优专题训练
专题14空间几何体的折叠及多面体的问题(解析版)_2.2025数学总复习_2024年新高考资料_2.2024二轮复习_2024年高三数学二轮优化提优专题训练
专题14空间几何体的折叠及多面体的问题(解析版)_2.2025数学总复习_2024年新高考资料_2.2024二轮复习_2024年高三数学二轮优化提优专题训练
专题14空间几何体的折叠及多面体的问题(解析版)_2.2025数学总复习_2024年新高考资料_2.2024二轮复习_2024年高三数学二轮优化提优专题训练
专题14空间几何体的折叠及多面体的问题(解析版)_2.2025数学总复习_2024年新高考资料_2.2024二轮复习_2024年高三数学二轮优化提优专题训练
专题14空间几何体的折叠及多面体的问题(解析版)_2.2025数学总复习_2024年新高考资料_2.2024二轮复习_2024年高三数学二轮优化提优专题训练

文档信息

文档格式
docx
文档大小
2.517 MB
文档页数
31 页
上传时间
2026-03-16 02:04:30

文档内容

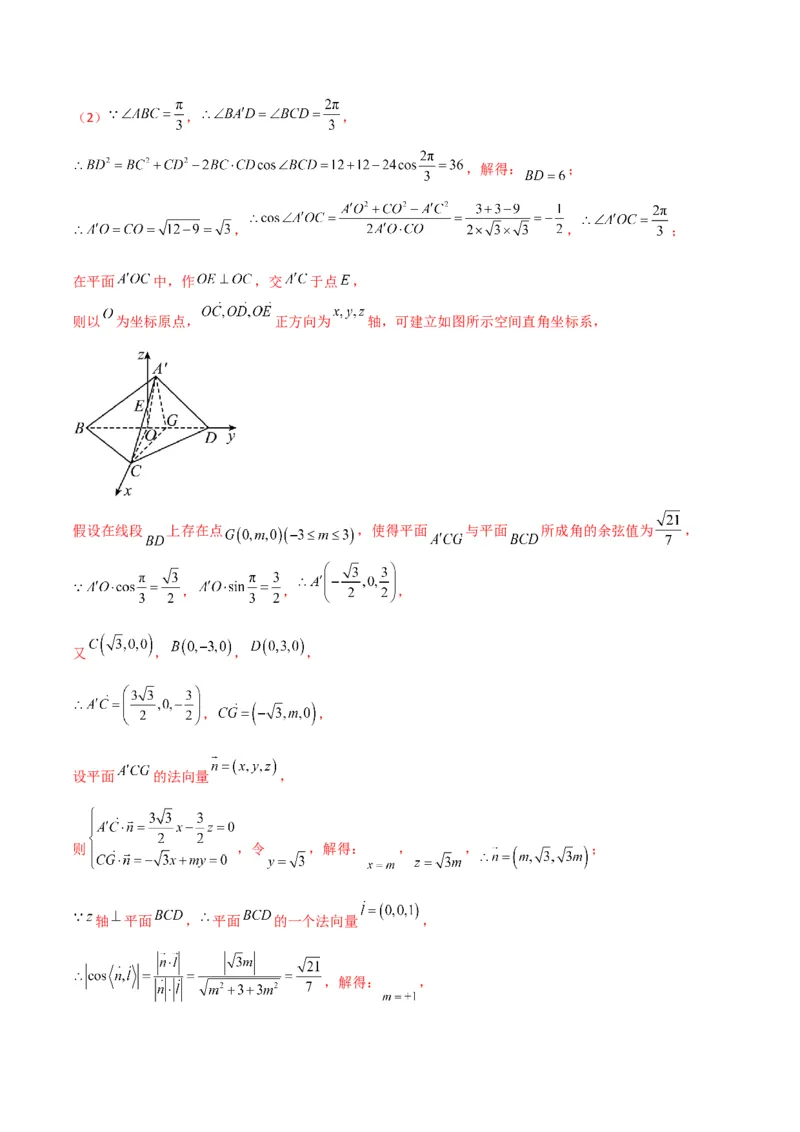
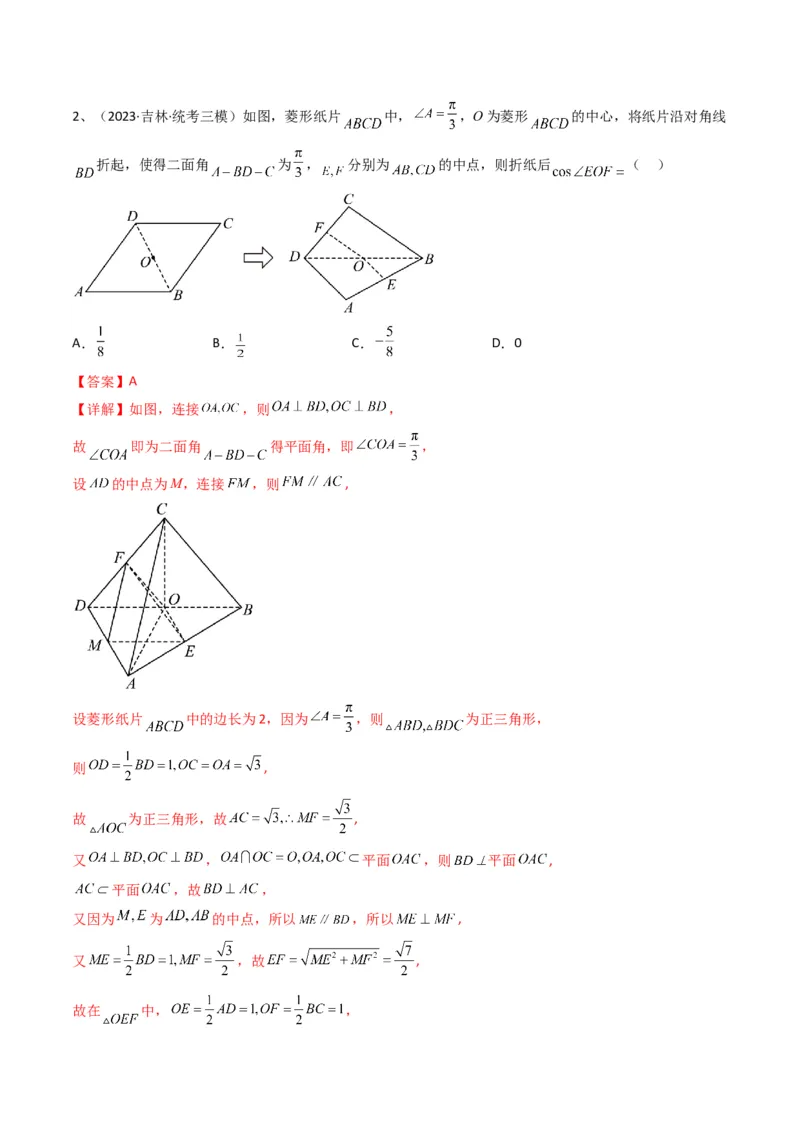
专题14 空间几何体的折叠及多面体的问题 1、(2019•新课标Ⅲ,理16文16)学生到工厂劳动实践,利用 打印技术制作模型,如图,该模型为长 方体 ,挖去四棱锥 后所得的几何体,其中 为长方体的中心, , , , ,分别为所在棱的中点, , , 打印所用原料密度为 ,不考虑打 印损耗,制作该模型所需原料的质量为 . 【答案】118.8 【解析】该模型为长方体 ,挖去四棱锥 后所得的几何体,其中 为长方体的中 心, , , , ,分别为所在棱的中点, , , 该模型体积为: , 打印所用原料密度为 ,不考虑打印损耗, 制作该模型所需原料的 质量为: . 2、【2020年高考全国Ⅰ卷理数】如图,在三棱锥P–ABC的平面展开图中,AC=1, , AB⊥AC,AB⊥AD,∠CAE=30°,则cos∠FCB=______________.【答案】 【解析】 , , , 由勾股定理得 , 同理得 , , 在 中, , , , 由余弦定理得 , , 在 中, , , , 由余弦定理得 . 故答案为: . 3、(2020江苏9)如图,六角螺帽毛坯是由一个正六棱柱挖去一个圆柱所构成的.已知螺帽的底面正六边 形边长为 ,高为 ,内孔半径为 ,则此六角螺帽毛坯的体积是 .【答案】 【解析】记此六角螺帽毛坯的体积为 ,正六棱柱的体积为 ,内孔的体积为正六棱 柱的体积为 ,则 , ∴ . 4、【2020年新高考1卷(山东卷)】已知直四棱柱ABCD–ABC D 的棱长均为2,∠BAD=60°.以 为 1 1 1 1 球心, 为半径的球面与侧面BCC B 的交线长为________. 1 1 【答案】 . 【解析】如图: 取 的中点为 , 的中点为 , 的中点为 , 因为 60°,直四棱柱 的棱长均为2,所以△ 为等边三角形,所以 ,, A B C D 1 1 1 1 又四棱柱 为直四棱柱,所以 平面 ,所以 , 因为 ,所以 侧面 , 设 为侧面 与球面的交线上的点,则 , 因为球的半径为 , ,所以 , 所以侧面 与球面的交线上的点到 的距离为 , 因为 ,所以侧面 与球面的交线是扇形 的弧 , 因为 ,所以 , 所以根据弧长公式可得 . 故答案为: . 5、【2019年新课标2卷理科】中国有悠久的金石文化,印信是金石文化的代表之一.印信的形状多为长 方体、正方体或圆柱体,但南北朝时期的官员独孤信的印信形状是“半正多面体”(图1).半正多面体是 由两种或两种以上的正多边形围成的多面体.半正多面体体现了数学的对称美.图2是一个棱数为48的半 正多面体,它的所有顶点都在同一个正方体的表面上,且此正方体的棱长为1.则该半正多面体共有 ________个面,其棱长为_________. 【答案】 共26个面. 棱长为 . 【解析】由图可知第一层与第三层各有9个面,计18个面,第二层共有8个面,所以该半正多面体共有个面. 如图,设该半正多面体的棱长为 ,则 ,延长 与 交于点 ,延长 交正方体棱于 , 由半正多面体对称性可知, 为等腰直角三角形, , ,即该半正多面体棱长为 . 题组一、 几何体的多边形问题 1-1、(2023·河北沧州·校考模拟预测)如图所示,该几何体由一个直三棱柱 和一个四棱锥 组成, ,则下列说法正确的是( ) A.若 ,则 B.若平面 与平面 的交线为 ,则AC//lC.三棱柱 的外接球的表面积为 D.当该几何体有外接球时,点 到平面 的最大距离为 【答案】BD 【详解】对于选项A,若 ,又因为 平面 , 但是 不一定在平面 上,所以A不正确; 对于选项B,因为 ,所以 平面 , 平面 平面 ,所以 ,所以B正确; 对于选项C,取 的中心 , 的中心 , 的中点为该三棱柱外接球的球心,所以外接球的半径 , 所以外接球的表面积为 ,所以C不正确; 对于选项D,该几何体的外接球即为三棱柱 的外接球, 的中点为该外接球的球心,该球心到平面 的距离为 , 点 到平面 的最大距离为 ,所以D正确. 故选:BD 1-2、(2023·山西临汾·统考一模)《九章算术·商功》提及一种称之为“羡除”的几何体,刘徽对此几何体 作注:“羡除,隧道也其所穿地,上平下邪.似两鳖臑夹一堑堵,即羡除之形.”羡除即为:三个面为梯形或 平行四边形(至多一个侧面是平行四边形),其余两个面为三角形的五面几何体.现有羡除 如图 所示,底面 为正方形, ,其余棱长为2,则羡除外接球体积与羡除体积之比为 ( )A. B. C. D. 【答案】A 【分析】连接AC、BD交于点M,取EF的中点O,连接OM,求出OM的长,进而求出OA的长,可知 ,从而可求出羡除外接球体积,由等体积法可求出羡除体积,进而可求 得结果. 【详解】连接AC、BD交于点M,取EF的中点O,连接OM,则 平面 .取BC的中点G,连接 FG,作 ,垂足为H,如图所示, 由题意得, , , , , ∴ , ∴ , 又∵ , ∴ , ∴ ,即:这个羡除的外接球的球心为O,半径为2, ∴这个羡除的外接球体积为 . ∵ , 面 , 面 , ∴ 面 ,即:点A到面 的距离等于点B到面 的距离, 又∵ , ∴ ,∴这个羡除的体积为 , ∴羡除的外接球体积与羡除体积之比为 . 故选:A. C  1-3、(2021·全国高三专题练习(文))碳70 70 是一种碳原子族,可高效杀灭癌细胞,它是由70个碳 原子构成的,其结构是由五元环(正五边形面)和六元环(正六边形面)组成的封闭的凸多面体,共37个 面,则其六元环的个数为( ). A.12 B.25 C.30 D.36 【答案】B 【解析】根据题意,顶点数就是碳原子数即为70,每个碳原子被3条棱长共用, 故棱长数7032105, 21057037 由欧拉公式可得面数=2+棱长数-顶点数 , 设正五边形x个,正六边形y个, x y 37 5x6y 1052 x12 y 25 则 , ,解得 , , 故正六边形个数为25个,即六元环的个数为25个, 故选:B 1-4、、(2022·湖北江岸·高三期末)如图,该几何体是由正方体截去八个一样的四面体得到的,若被截的 正方体棱长为2,则该几何体的表面积为( )A. B. C. D. 【答案】B 【解析】根据题意,该几何体的表面积分成两部分,一部分是6个完全相同的正方形,另一部分是8个完 全相同的等边三角形 6个完全相同的正方形的面积之和为: 8个完全相同的等边三角形的面积之和为: 故该几何体的表面积为: 故选:B 题组二、空间几何体的折叠问题 2-1、(2023·辽宁·大连二十四中校联考三模)(多选题)如图,矩形 中, 为边 的中点,沿 将 折起,点 折至 处( 平面 ),若 为线段 的中点,二面角 大小为 ,直线 与平面 所成角为 ,则在 折起过程中,下列说法正确的是 ( ) A.存在某个位置,使得 B. 面积的最大值为C.当 为锐角时,存在某个位置,使得 D.三棱锥 体积最大时,三棱锥 的外接球的表面积为 【答案】BD 【详解】A选项,取 的中点 ,连接 , 因为 是 的中点,所以 且 , 因为 为 中点, 所以 ,且 , 故四边形 为平行四边形,所以 , 又 与 不垂直,所以不存在某个位置,使得 ,A错误; B选项, , 当且仅当 时,即 时,等号成立,故B正确; C选项,过点 作 平面 于点 ,作 于点 ,连接 , 则 是 的平面角,即 , 是直线 与平面 所成角,即 , 所以 , , 故 为定值, 故当 为锐角时,不存在某个位置,使得 ,C错误; D选项,当三棱锥 体积最大时, ⊥平面 , 取 的中点 ,连接 ,则 ⊥ ,由勾股定理得 , 又 ,故点 即为三棱锥 的外接球的球心,半径为2, 表面积为 ,D正确.故选:BD 2-2、(2023·云南红河·统考一模)如图所示是一块边长为10cm的正方形铝片,其中阴影部分由四个全等 的等腰梯形和一个正方形组成,将阴影部分裁剪下来,并将其拼接成一个无上盖的容器(铝片厚度不计), 则该容器的容积为( ) A. B. C. D. 【答案】B 【分析】作出正四棱台,作出辅助线,得到各边长,求出四棱台的高,从而利用台体体积公式求出体积. 【详解】由题知,该容器的容积就是正四棱台的体积, 如图,连接正四棱台上下底面的中心 , ,取上底面正方形一边中点 ,对应下底面正方形一边中点 ,连接 , , , 则 ,故 四点共面, 过点 作 交 于点 ,则四边形 为矩形, 故 , 因为该正四棱台上、下底面边长分别为2,6,等腰梯形的斜高为4,所以 , 故 , 所以该棱台的高 ,下底面面积 ,上底面面积 , 所以该容器的容积是 . 故选:B. 2-3、(2022·江苏宿迁·高三期末)如图,一张长、宽分别为 的矩形纸, , 分别是其四条边的 中点.现将其沿图中虚线折起,使得 四点重合为一点 ,从而得到一个多面体,则( ) A.在该多面体中, B.该多面体是三棱锥 C.在该多面体中,平面 平面 D.该多面体的体积为【答案】BCD 【解析】由于长、宽分别为 ,1, 分别是其四条边的中点,现将其沿图中虚线折起, 使得 四点重合为一点 ,且 为 的中点,从而得到一个多面体 , 所以该多面体是以 为顶点的三棱锥,故B正确; , , ,故A不正确; 由于 ,所以 , ,可得 平面 , 则三棱锥 的体积为 ,故D正确; 因为 , ,所以 平面 , 又 平面 ,可得平面 平面 ,故C正确. 故选:BCD 2-4、(2022·江苏扬州·高三期末)在边长为6的正三角形ABC中M,N分别为边AB,AC上的点,且满足 ,把△AMN沿着MN翻折至A′MN位置,则下列说法中正确的有( ) A.在翻折过程中,在边A′N上存在点P,满足CP∥平面A′BM B.若 ,则在翻折过程中的某个位置,满足平面A′BC⊥平面BCNMC.若 且二面角A′-MN-B的大小为120°,则四棱锥A′-BCNM的外接球的表面积为61π D.在翻折过程中,四棱锥A′-BCNM体积的最大值为 【答案】BCD 【解析】对于选项A,过 作 ,交 于 ,则无论点P在A′N上什么位置,都存在CP与BQ 相交,折叠后为梯形BCQP, 则CP不与平面A′BM平行,故选项A错误; 对于选项B,设 分别是 的中点, 若 ,则AE>DE,所以存在某一位置使得A′D⊥DE, 又因为MN⊥A′E,MN⊥DE,且A′E∩DE=E,所以MN⊥平面A′DE,所以MN⊥A′D, ,所以A′D⊥平面BCNM,所以A′BC⊥平面BCNM,故选项B正确; 对于选项C,设 分别是 的中点, 若 且二面角A′-MN-B的大小为120°,则△AMN为正三角形,∠BMN=120°,∠C=60°,则BCNM四点共圆,圆心可设为点G,其半径设为r, DB=DC=DM=DN=3,所以点G即为点D,所以r=3, 二面角A′-MN-B的平面角即为∠A′ED=120°,过点A′作A′H⊥DE,垂足为点H, EH= ,DH= ,A′H= , , 设外接球球心为 ,由 ,解得R2= , 所以外接球的表面积为S=4πR2=61π,故选项C正确; 对于选项D,设 分别是 的中点,设 是四棱锥 的高. S = 6λ6λ =9 λ2, △AMN S = 66 =9 , △ABC 所以S =9 (1-λ2),则V = 9 (1-λ2)h≤3 (1-λ2)A′E 四边形BCNM A′-BCNM =3 (1-λ2)3 λ=27(-λ3+λ),λ∈(0,1), 可设f(λ)=27(-λ3+λ),λ∈(0,1), 则 =27(-3λ2+1),令 =0, 解得λ= ,则函数f(λ)在(0, )上单调递增,在( ,1)上单调递减,所以f(λ) =f( )=6 , max 则四棱锥A′-BCN体积的最大值为 ,故选项D正确. 故选:BCD 题组三、运用空间向量解决空间几何体的折叠问题 3-1、(2023·广东佛山·统考模拟预测)如图 ,菱形 的边长为 , ,将 沿 向 上翻折,得到如图 所示得三棱锥 . (1)证明: ; (2)若 ,在线段 上是否存在点 ,使得平面 与平面 所成角的余弦值为 ?若存在, 求出 ;若不存在,请说明理由. 【答案】(1)证明见解析 (2)存在, 或 【详解】(1)取 中点 ,连接 , 四边形 为菱形, , , , , , 平面 , 平面 , 平面 , .(2) , , ,解得: ; , , ; 在平面 中,作 ,交 于点 , 则以 为坐标原点, 正方向为 轴,可建立如图所示空间直角坐标系, 假设在线段 上存在点 ,使得平面 与平面 所成角的余弦值为 , , , , 又 , , , , , 设平面 的法向量 , 则 ,令 ,解得: , , ; 轴 平面 , 平面 的一个法向量 , ,解得: ,当 时, ;当 时, ; 当 或 时,平面 与平面 所成角的余弦值为 . 3-2、(2023·河南·校联考模拟预测)如图,在矩形 中,点 在边 上,且满足 ,将 沿 向上翻折,使点 到点 的位置,构成四棱锥 . (1)若点 在线段 上,且 平面 ,试确定点 的位置; (2)若 ,求锐二面角 的大小. 【答案】(1)点 为线段 上靠近点 的三等分点 (2) 【详解】(1)点 为线段 上靠近点 的三等分点, 证明如下: 如图, 在 取点 ,连接 , ,使得 , 又 ,所以四边形 为平行四边形,所以 ,又 平面 平面 ,所以 平面 . 又 平面 , , 平面 , 所以平面 平面 , 又平面 平面 ,平面 平面 , 所以 ,所以在 中, ,所以 , 所以点 为线段 上靠近点 的三等分点. (2)如图,取 的中点 ,以O为原点OE为x轴建立如图所示的空间直角坐标系, 因为 ,所以 , 又 ,则 , 由题意,点P在过点O且垂直AE的平面上,故设 , 则 , 因为 ,所以 ,解得 , 故 ,则 , 设平面 的法向量为 ,则 ,不妨取 ,则 , 设平面 的一个法向量为 ,则 , 记锐二面角 的平面角为 ,所以 , 又 ,则 ,所以锐二面角 的大小为 . 3-3、(2023·江苏南通·统考一模)如图,在 中, 是 边上的高,以 为折痕,将 折至 的位置,使得 . (1)证明: 平面 ; (2)若 ,求二面角 的正弦值. 【答案】(1)见解析;(2) 【分析】(1)先证明出线面垂直,得到 ,进而证明出 平面 ; (2)建立空间直角坐标系,利用空间向量求解二面角的余弦值,进而求出正弦值. 【详解】(1)证明:∵ 是 边上的高, ∴ , ∵ , 平面 , 平面 , ∵ 平面 , , 又 平面 , ∴ 平面 ; (2)以D为坐标原点,DA所在直线为x轴,DB所在直线为y轴,垂直ADB平面为z轴,建立空间直角坐标系, , 则 , , 设平面 与平面 的一个法向量分别为 , 故 ,解得: ,令 ,得: , 则 , ,解得: ,令 ,则 , 故 , 设二面角 平面角为 ,显然 为锐角, , .1、(2023·江苏南京·校考一模)中学开展劳动实习,学习加工制作食品包装盒.现有一张边长为6的正六边 形硬纸片,如图所示,裁掉阴影部分,然后按虚线处折成高为 的正六棱柱无盖包装盒,则此包装盒的体 积为( ) A.144 B.72 C.36 D.24 【答案】B 【分析】利用正六边形的性质求出正六棱柱的底面边长,再根据棱柱的体积公式求解即可. 【详解】如图,正六边形的每个内角为120°, 按虚线处折成高为 的正六棱柱,即 ,所以 , 可得正六棱柱底边边长 , 则正六棱柱的底面积为 所以正六棱柱的体积 . 故选:B2、(2023·吉林·统考三模)如图,菱形纸片 中, ,O为菱形 的中心,将纸片沿对角线 折起,使得二面角 为 , 分别为 的中点,则折纸后 ( ) A. B. C. D.0 【答案】A 【详解】如图,连接 ,则 , 故 即为二面角 得平面角,即 , 设 的中点为M,连接 ,则 , 设菱形纸片 中的边长为2,因为 ,则 为正三角形, 则 , 故 为正三角形,故 , 又 , 平面 ,则 平面 , 平面 ,故 , 又因为 为 的中点,所以 ,所以 , 又 ,故 , 故在 中, ,故 , 故选:A 3、(2023·湖南邵阳·统考三模)如图所示,正八面体的棱长为2,则此正八面体的表面积与体积之比为( ) A. B. C. D. 【答案】D 【详解】如图,由边长为2,可得 的高 , ,则其表面积为 . 体积为 . 此正八面体的表面积与体积之比为 . 故选:D. 4、(2023·河北唐山·统考三模)把边长为 的正方形 沿对角线 折成直二面角 ,则三 棱锥 的外接球的球心到平面 的距离为( )A. B. C. D. 【答案】A 【详解】 由图所示,易知三棱锥D-ABC的外接球球心为AC的中点O,易得OB=OC=OD=1,且OC⊥OB,DO⊥面 OBC, 计算可得BC=CD=BD= ,设球心到平面 的距离为 , 则 . 故选:A 5、(2023·黑龙江大庆·统考三模)(多选题)勒洛四面体是一个非常神奇的“四面体”,它能在两个平行 平面间自由转动,并且始终保持与两平面都接触.勒洛四面体是以正四面体的四个顶点为球心,以正四面体 的棱长为半径的四个球的相交部分围成的几何体,若用棱长为4的正四面体 作勒洛四面体,如图, 则下列说法正确的是( ) A.平面 截勒洛四面体所得截面的面积为 B.记勒洛四面体上以C,D为球心的两球球面交线为弧 ,则其长度为 C.该勒洛四面体表面上任意两点间距离的最大值为4 D.该勒洛四面体能够容纳的最大球的半径为 【答案】AD 【详解】对于A,平面 截勒洛四面体所得截面如图甲,它的面积为三个半径为4,圆心角为 的扇 形的面积减去两个边长为4的正三角形的面积; 即 ,故A正确; 对于B,如图乙,取 中点 ,在 中, , ,记该勒洛四面体上以 , 为 球心的两球交线为弧 ,则该弧是以 的中点 为圆心,以 为半径的圆弧,设圆心角为 ,则 ,可知 , 所以弧长不等于 ,故B错误; 对于C,如图丙,设弧 的中点是 ,线段 的中点是 ,设弧 的中点是 ,线段 的中点是 ,则根据图形的对称性,四点 共线且过正四面体 的中心 ,则 , , , ,即勒洛四面体表面 上任意两点间距离可能大于4,最大值为 ,故C错误; 对于D,勒洛四面体能容纳的最大球,与勒洛四面体的弧面相切,如图乙,其中点 为该球与勒洛四面体 的一个切点,由对称性可知 为该球的球心,内半径为 ,连接 ,易知 三点共线,设正四面体 的外接球半径为 , 如图丁,则由题意得:正四面体 的高, , , 则 ,解得: ,所以 , ,内半径 ,故D正确. 故选:AD. 6、(2023·河北唐山·统考三模)(多选题)《九章算术》是我国古代的数学名著,书中提到底面为长方形 的屋状的楔体(图示的五面体 .底面长方形 中 , ,上棱长 ,且 平面 ,高(即 到平面 的距离)为 , 是底面的中心,则( ) A. 平面 B.五面体 的体积为5 C.四边形 与四边形 的面积和为定值D. 与 的面积和的最小值为 【答案】ABD 【详解】 取BC的中点G,连接OG,FG, ∵EF∥OG,EF=OG,∴四边形EFGO为平行四边形,∴EO∥FG, ∵EO平面BCF,FG平面BCF,∴EO∥平面BCF,故A正确; 过F作FH⊥平面ABCD,垂足为H,过H作BC的平行线MN,交AB于N,交CD于M, ∵MN平面ABCD,∴FH⊥MN, 又AB⊥MN,FH∩MN=H,MN,FH平面FMN,∴AB⊥平面FMN, 过E作EP∥FM,交CD于P, 作EQ∥FN,交AB于Q,连接PQ, ∵EP∥FM,EP平面FMN,FM平面FMN,∴EP∥平面FMN, 同理EQ∥平面FMN,又EP∩EQ=E,EP,EQ平面EPQ,∴平面EPQ∥平面FMN, 如图,五面体 包含一个三棱柱 和两个的四棱锥 , ∴五面体 的体积: ,故B正确; 设 ,则 , , , 四边形 与四边形 的面积和为 ,不是定值,故C错误; 过H作HR⊥BC,垂足为R,连接FR, ∵FH⊥平面ABCD,BC平面ABCD,∴FH⊥BC, 又FH∩HR=H, FH,HR平面FHR,∴BC⊥平面FHR, ∵FR平面FHR,∴FR⊥BC, 设 ,则 ,且 , ,△BCF的面积为 ,同理,△ADE的面积为 , 则△ADE与△BCF的面积和为 , 当 时, ,即 , ∴ ,当且仅当 等号成立, ,当且仅当 等号成立, 则△ADE与△BCF的面积和的最小值为 ,故D正确. 故选:ABD. 7、(2023·江苏泰州·泰州中学校考一模)已知直三棱柱 中, , , 分别为棱 , 的中点,过点 作平面 将此三棱柱分成两部分,其体积分别记为 ,则 __________;平面 截此三棱柱的外接球的截面面积为__________. 【答案】 ; 【分析】取 中点 ,取 中点 ,连 , ,求出棱台的体积 ,再由柱体体积减 去台体体积可得 ;求出三棱锥外接球半径为 ,利用向量法求出外接球球心到平面 距离 ,从而求出 小圆的半径,即可得到答案; 【详解】取 中点 ,取 中点 ,连 , 平面 为平面 , , , , 三棱锥外接球半径 ,如下图建系, , , , , 设平面 的法向量 , , ,不妨设 ,则 , 球心 到平面 距离 , , . 故答案为: , 8、(2023·吉林长春·统考三模)如图,平面五边形 中,△ 是边长为2的等边三角形, , , ,将△ 沿 翻折,使点 翻折到点 .(1)证明: ; (2)若 ,求直线 与平面 所成角的正弦值. 【答案】(1)证明见解析 (2) 【详解】(1)在平面图形中取 中点 ,连接 , , ∵△ 是边长为2的等边三角形, ∴ , ,故翻折后有 , 又 ,则 , , , 所以△ △ ,即 ,则 , 由 , 、 平面 ,故 平面 , ∵ ,则 , ∴ 平面 ,又 平面 , ∴ . (2)在面 内作 ,交 于 ,由 平面 , 平面 , 所以 ,故 两两垂直, 以 为原点, 为 轴, 为 轴, 为 轴,建立空间直角坐标系, 由(1)得,四边形 为矩形, 在△ 中 , ,由余弦定理得 ,故 ,所以 , , , , , 所以 , , , 设平面 的一个法向量 ,则 ,令 ,则 , 设直线 与平面 所成角为 ,则