当前位置:首页>文档>专题20抛物线中向量问题(解析版)_2.2025数学总复习_2024年新高考资料_3.2024专项复习_2024年新高考数学之圆锥曲线专项重难点突破练(新高考专用)

专题20抛物线中向量问题(解析版)_2.2025数学总复习_2024年新高考资料_3.2024专项复习_2024年新高考数学之圆锥曲线专项重难点突破练(新高考专用)

  • 2026-04-17 15:47:37 2026-03-17 00:58:25

文档预览

专题20抛物线中向量问题(解析版)_2.2025数学总复习_2024年新高考资料_3.2024专项复习_2024年新高考数学之圆锥曲线专项重难点突破练(新高考专用)
专题20抛物线中向量问题(解析版)_2.2025数学总复习_2024年新高考资料_3.2024专项复习_2024年新高考数学之圆锥曲线专项重难点突破练(新高考专用)
专题20抛物线中向量问题(解析版)_2.2025数学总复习_2024年新高考资料_3.2024专项复习_2024年新高考数学之圆锥曲线专项重难点突破练(新高考专用)
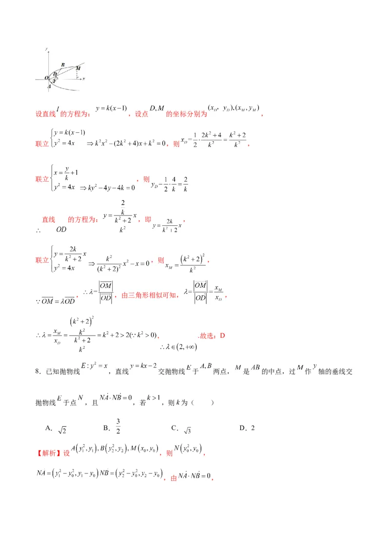
专题20抛物线中向量问题(解析版)_2.2025数学总复习_2024年新高考资料_3.2024专项复习_2024年新高考数学之圆锥曲线专项重难点突破练(新高考专用)
专题20抛物线中向量问题(解析版)_2.2025数学总复习_2024年新高考资料_3.2024专项复习_2024年新高考数学之圆锥曲线专项重难点突破练(新高考专用)
专题20抛物线中向量问题(解析版)_2.2025数学总复习_2024年新高考资料_3.2024专项复习_2024年新高考数学之圆锥曲线专项重难点突破练(新高考专用)
专题20抛物线中向量问题(解析版)_2.2025数学总复习_2024年新高考资料_3.2024专项复习_2024年新高考数学之圆锥曲线专项重难点突破练(新高考专用)
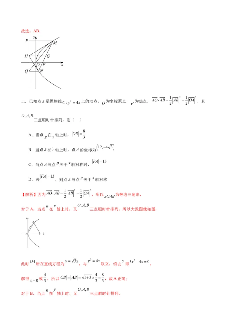
专题20抛物线中向量问题(解析版)_2.2025数学总复习_2024年新高考资料_3.2024专项复习_2024年新高考数学之圆锥曲线专项重难点突破练(新高考专用)
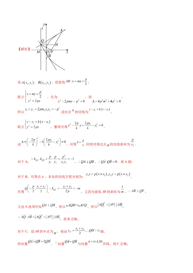
专题20抛物线中向量问题(解析版)_2.2025数学总复习_2024年新高考资料_3.2024专项复习_2024年新高考数学之圆锥曲线专项重难点突破练(新高考专用)
专题20抛物线中向量问题(解析版)_2.2025数学总复习_2024年新高考资料_3.2024专项复习_2024年新高考数学之圆锥曲线专项重难点突破练(新高考专用)
专题20抛物线中向量问题(解析版)_2.2025数学总复习_2024年新高考资料_3.2024专项复习_2024年新高考数学之圆锥曲线专项重难点突破练(新高考专用)
专题20抛物线中向量问题(解析版)_2.2025数学总复习_2024年新高考资料_3.2024专项复习_2024年新高考数学之圆锥曲线专项重难点突破练(新高考专用)
专题20抛物线中向量问题(解析版)_2.2025数学总复习_2024年新高考资料_3.2024专项复习_2024年新高考数学之圆锥曲线专项重难点突破练(新高考专用)
专题20抛物线中向量问题(解析版)_2.2025数学总复习_2024年新高考资料_3.2024专项复习_2024年新高考数学之圆锥曲线专项重难点突破练(新高考专用)
专题20抛物线中向量问题(解析版)_2.2025数学总复习_2024年新高考资料_3.2024专项复习_2024年新高考数学之圆锥曲线专项重难点突破练(新高考专用)
专题20抛物线中向量问题(解析版)_2.2025数学总复习_2024年新高考资料_3.2024专项复习_2024年新高考数学之圆锥曲线专项重难点突破练(新高考专用)
专题20抛物线中向量问题(解析版)_2.2025数学总复习_2024年新高考资料_3.2024专项复习_2024年新高考数学之圆锥曲线专项重难点突破练(新高考专用)
专题20抛物线中向量问题(解析版)_2.2025数学总复习_2024年新高考资料_3.2024专项复习_2024年新高考数学之圆锥曲线专项重难点突破练(新高考专用)
专题20抛物线中向量问题(解析版)_2.2025数学总复习_2024年新高考资料_3.2024专项复习_2024年新高考数学之圆锥曲线专项重难点突破练(新高考专用)

文档信息

文档格式
docx
文档大小
1.226 MB
文档页数
19 页
上传时间
2026-03-17 00:58:25

文档内容

专题20 抛物线中向量问题 限时:120分钟 满分:150分 一、单选题:本大题共8小题,每个小题5分,共40分.在每小题给出的选项中,只有一项是符合题目要 求的. 1.已知 的顶点都在抛物线 上,且 的重心为抛物线的焦点F,则 ( ) A.3 B.6 C.9 D.12 【解析】由题意得 , ,设 , , , 点是 的重心, , , 根据抛物线的定义可得 .故选:B. 2.抛物线 的焦点为 ,过点 的直线交抛物线于 两点,点 为平面上任意一点, 为坐标 原点,则 ( ) A. B. C.3 D.5 【解析】由题意易知直线 的斜率存在,设 , , 因为抛物线 的焦点为 ,所以不妨设直线 的方程为 , 联立 ,消去 ,得 ,则 ,故 , , 则 , 所以 .故选:B. 3.已知直线 与抛物线 交于 两点,与圆 交于 两点, 在 轴的 同侧,则 ( )A.1 B.2 C.3 D.4 【解析】由已知抛物线 的焦点 的坐标为 ,直线 的方程为 , 联立 ,消 得 ,设 ,则 , 所以 ,圆 的圆心坐标为 ,半径为1, 由已知可得 ,所以 故选:A. 4.已知抛物线 的焦点为F,C的准线与对称轴交于D,过D的直线l与C交于A,B两点,且 ,若FB为 的平分线,则 等于( ) A. B.8 C.10 D. 【解析】 , ,所以 .过A,B分别作准线的垂线,垂足分别为 , ,则 . 因为FB为 的平分线.则 ,又 ,∴ , 又 ,∴ .∴ .故选:D.5.已知抛物线 的焦点为 ,动点 在 上,圆 的半径为1,过点 的直线与圆 相切于点 ,则 的最小值为( ) A.2 B.3 C.4 D.5 【解析】因为抛物线 ,所以焦点坐标为 ,如下图所示: 连接 ,过 作 垂直准线 于 ,则在直角 中, , 所以 由抛物线的定义得: ,则由图可得 的最小值即抛物线顶点 到准线 的距离,即 ,所以 .故选:B 6.在平面直角坐标系 中,若抛物线 的准线与圆 相切于点 ,直线 与 抛物线 切于点 ,点 在圆 上,则 的取值范围为( ) A. B. C. D.【解析】抛物线 的准线方程为 , 圆 的圆心为 ,半径为 ,直线 与圆 相切,则 , 因为 ,解得 ,所以,抛物线 的方程为 , 故抛物线 的准线与圆 相切于点 , 若直线 与 轴重合,则直线 与抛物线 不相切,不合乎题意, 设直线 的方程为 ,联立 可得 , 则 ,解得 ,不妨设点 在第一象限,则 ,则有 ,解得 , 此时 ,即点 ,所以, , 因为点 在圆 上,设点 ,则 , 所以, .故选:C. 7.已知过抛物线 的焦点F的直线l交抛物线于A,B两点,若D为线段AB的中点,连接OD并 延长交抛物线C于点M,若 ,则 的取值范围是( ) A. B. C. D. 【解析】由题意知点 ,且直线 的斜率 存在且不为 ,设直线 的方程为: ,设点 的坐标分别为 , 联立 ,则 , 联立 ,则 直线 的方程为: ,即 , 联立 ,则 , , ,由三角形相似可知, , , .故选:D 8.已知抛物线 ,直线 交抛物线 于 两点, 是 的中点,过 作 轴的垂线交 抛物线 于点 ,且 ,若 ,则k为( ) A. B. C. D.2 【解析】设 ,则 , ,由 ,, , ,① 即 ,由 得 , 当 ,即 时, , 代入①得: ,即 ,解得 或 (舍去),故选:B 二、多选题:本大题共4小题,每个小题5分,共20分.在每小题给出的选项中,只有一项或者多项是符 合题目要求的. 9.设F为抛物线C: 的焦点,过F且倾斜角为30°的直线交C于A,B两点,则( ) A. B. C. D. 【解析】抛物线C的焦点为 ,所以直线AB的方程为 , 将 代入 ,整理得 , 设 ,由根与系数的关系得 ,故D错误; ,故C错误; ,故B正确; 由抛物线的定义可得 ,故A正确. 故选:AB.10.已知抛物线C的方程为 ,过C焦点F的直线与C交于M,N两点,直线MO与C的准线交于Q 点(其中O为坐标原点),P为C准线上的一个动点,下列选项正确的是( ) A.当直线MN垂直x轴时,弦MN的长度最短 B. 为定值 C.当PM与C的准线垂直时,必有 D.至少存在两个点P,使得 【解析】如图所示,由抛物线 ,可得焦点 ,准线方程为 , 设 ,直线 的方程为 , 联立方程组 ,整理得 ,可得 , , 对于A中,由 , 当且仅当 时,即 时,等号成立,此时 垂直于 轴,所以A正确; 对于B中,由 ,所以B正确; 对于C中,直线 的方程为 ,令 ,可得 , 所以 ,所以 ,所以C错误; 对于D中,由抛物线的定义知,直角梯形 的中位线 , 即以 为直径的圆与抛物线的准线相切于点 ,所以满足 的点恰好有一个,所以D错误.故选:AB. 11.已知点A是抛物线 上的动点, 为坐标原点, 为焦点, ,且 三点顺时针排列,则( ) A.当点 在 轴上时, B.当点 在 轴上时,点A的坐标为 C.当点A与点 关于 轴对称时, D.若 ,则点A与点 关于 轴对称 【解析】因为 ,所以 为等边三角形, 对于A,当点 在 轴上时,又 三点顺时针排列,所以大致图像如图, 此时 所在直线方程为 ,与 联立,消去 得 , 解得 或 ,所以 ,故A正确; 对于B,当点 在 轴上时,又 三点顺时针排列,所以此时A点在 轴下方,且 所在直线方程为 , 与 联立,消去 得 ,解得 或 , 当 时, ,即A点坐标为 ,故B正确; 对于C,当点A与点 关于 轴对称时,又 三点顺时针排列, 所以此时A点在 轴上方,且 所在直线方程为 , 与 联立,消去 得 ,解得 或 ,所以 ,故C正确; 对于D,当 时,得A点横坐标为 ,此时A点可能在 轴上方,也可能在 轴下方. 因为 三点顺时针排列,所以当A点在 轴上方时,可得点A与点 关于 轴对称; 当A点在 轴下方时,可得此时 点在 轴上,点A与点 不关于 轴对称;故D错误; 故选:ABC. 12.抛物线的弦与过弦的端点的两条切线所围成的三角形称为阿基米德三角形.设抛物线 , 弦 过焦点 为其阿基米德三角形,则下列结论一定成立的是( ) A.存在点 ,使得 B. C.对于任意的点 ,必有向量 与向量 共线 D. 面积的最小值为【解析】 设 , ,设直线 , 联立 ,化为 ,而 , 所以 .设过点 的切线为 , 联立 ,整理可得 , 由 ,可得 .同理可得过点 的切线斜率为 . 对于A, , , ,故A错; 对于B,可得点A ,B处的切线方程分别为: , 可得 , ,又因为直线AB的斜率为 , , 又由A选项可知 ,所以 ,所以 , ,故B正确; 对于C,设AB的中点为 ,则由 轴, 而向量 , 向量 与向量 共线,故C正确;对于D,如图,设准线与 轴的交点为 , 面积的 ,可知当 最短时(最短为 ), 也最短, 最短为 ,所以 面积的最小值为 ,故D正确. 故选:BCD. 三、填空题:本大题共4小题,每小题5分,共20分.把答案填在答题卡中的横线上. 13.已知抛物线 的焦点为F,过F的直线 与抛物线交于A,B两点,且 ,O为坐标原 点,则 的面积为 . 【解析】由已知得 ,设直线 的方程为 , 代入 整理得 ,设 , , 故 ①, ②, 又 ,故 ③,由①②③解得 , 此时, ,点O到直线 的距离为 , 故 的面积为 . 14.已知F是抛物线 的焦点,M是C上一点,FM的延长线交y轴于点N,若 , 则 【解析】易知焦点F的坐标为 ,准线方程为 ,如图,作 于 , 于 , ,可知线段BM平行于AF和DN,因为 , , , 所以 ,又由定义知 ,所以 .15.已知抛物线C: 的焦点为F,准线为 ,经过点F的直线与抛物线C相交A,B两点, 与x轴 相交于点M,若 , ,则 . 【解析】 由题意易知 ,可设 , 由 ,可得Q为AM中点,则 , 又由 可得: , 即 ,由题意可知直线AB、BM的斜率存在, 故 , 联立抛物线与直线AB可得 所以有 由抛物线定义得 ,故答案为:416.已知抛物线 与圆 ,过抛物线的焦点 作斜率为 的直线 与抛物线交于 两点, 与圆交于 两点( 在 轴的同一侧),若 ,则 的值是 . 【解析】抛物线 的焦点 ,准线方程为 ,于是直线 : ,显然 , 由 消去y得: ,设 , 则 ,又圆 的圆心为 ,半径为1, 由 ,得 ,即 , 于是 ,整理得 ,又 ,解得 , 则 ,解得 ,所以 的值是8. 四、解答题:本大题共6小题,共70分.解答应写出必要的文字说明、证明过程或演算步骤. 17.已知 是抛物线 上一点,且M到C的焦点的距离为5. (1)求抛物线C的方程及点M的坐标;(2)如图所示,过点 的直线l与C交于A,B两点,与y轴交于点Q,设 , ,求 证: 是定值. 【解析】(1)由抛物线的定义,得 ,解得p=2. 所以抛物线C的方程为 ,M的坐标为 或 . (2)由题意知直线l的斜率存在且不为0,设l的方程为x=ty+1(t≠0),则 .将x=ty+1代入 得 .设 , ,则 , . 由 ,得 ;由 ,得 . 所以 ,故 是定值1. 18.已知 , 为椭圆C的左右焦点,且抛物线 的焦点为 ,M为椭圆的上顶点, 的 面积为 . (1)求椭圆C的标准方程; (2)过点 的直线l与椭圆C交于A,B两点,О为坐标原点,且 ,若椭圆C上存在一 点E,使得四边形OAED为平行四边形,求 的取值范围. 【解析】(1)抛物线 的焦点为 ,设椭圆 的标准方程为 , 则 ,解得 ,所以椭圆 的标准方程为 ;(2) 显然直线 的斜率存在,设直线 ,设 , , , ,则 , , 四边形 为平行四边形, , , , 点 , , 均在椭圆 上, , , , , , ., 由 ,消去 得, ,显然 , , , , , , . 19.已知椭圆 : 的离心率为 ,且其中一个焦点与抛物线 的焦点重合. (1)求椭圆 的方程; (2)若直线 : 与椭圆 交于不同的A,B两点,且满足 ( 为坐标原点),求弦长 的值. 【解析】(1)由 得焦点 ,则椭圆的焦点为 ,因为椭圆离心率为 , 所以 ,解得 ,则 ,所以椭圆 的方程为 . (2)设 ,由 得, ,易得 ,则 , , , 因为 ,所以 ,解得 , 所以 . 20.已知抛物线 ,点 在抛物线上,直线 交 于 , 两点, 是线段 的中点, 过 作 轴的垂线交 于点 . (1)求点 到抛物线焦点的距离; (2)是否存在实数 使 ,若存在,求 的值;若不存在,说明理由. 【解析】(1)将点 代入抛物线方程,则 ,抛物线焦点 , 则点 到抛物线焦点的距离等于点 到抛物线准线的距离 . (2)存在,证明如下:如图,设 , . 把 代入 得 , , 由根与系数的关系得 , ., 点的坐标为 . 假设存在实数 ,使 ,则 .又 是 的中点, . 由(1)知, . 轴, , 又 . ,两边同时平方得: , 解得 ,即存在 ,使 . 21.已知抛物线 的焦点为 为 上一动点, 为圆 上一动点, 的最小值为 . (1)求 的方程; (2)直线 交 于 两点,交 轴的正半轴于点 ,点 与 关于原点 对称,且 ,求证 为定值. 【解析】(1)由题得 , 当点 , 四点共线且点 在 中间时, 取得最小值,最小值为 ,又 ,解得 ,所以 的方程为 . (2)当直线 的斜率为0时,显然不适合题意; 当直线 的斜率不为0时,设直线 的方程为 , 联立 得 , 则 ,所以 ,又 , 所以 ,所以 ,解得 或 (舍去), 即 ,所以 ,所以 , 又 , 所以 为定值. 22.已知直线 与抛物线 交于 两点,且 . (1)求 ; (2)设F为C的焦点,M,N为C上两点, ,求 面积的最小值. 【解析】(1)设 ,由 可得, ,所以 , 所以 , 即 ,因为 ,解得: . (2)因为 ,显然直线 的斜率不可能为零,设直线 : , , 由 可得, ,所以, , ,因为 ,所以 , 即 ,亦即 , 将 代入得, , , 所以 ,且 ,解得 或 . 设点 到直线 的距离为 ,所以 , , 所以 的面积 , 而 或 ,所以,当 时, 的面积 .