当前位置:首页>文档>专题5.3平面向量基本定理及坐标表示-重难点题型精讲(举一反三)(新高考地区专用)(解析版)_2.2025数学总复习_2023年新高考资料_一轮复习

专题5.3平面向量基本定理及坐标表示-重难点题型精讲(举一反三)(新高考地区专用)(解析版)_2.2025数学总复习_2023年新高考资料_一轮复习

  • 2026-03-20 05:20:45 2026-03-18 03:17:57

文档预览

专题5.3平面向量基本定理及坐标表示-重难点题型精讲(举一反三)(新高考地区专用)(解析版)_2.2025数学总复习_2023年新高考资料_一轮复习
专题5.3平面向量基本定理及坐标表示-重难点题型精讲(举一反三)(新高考地区专用)(解析版)_2.2025数学总复习_2023年新高考资料_一轮复习
专题5.3平面向量基本定理及坐标表示-重难点题型精讲(举一反三)(新高考地区专用)(解析版)_2.2025数学总复习_2023年新高考资料_一轮复习
专题5.3平面向量基本定理及坐标表示-重难点题型精讲(举一反三)(新高考地区专用)(解析版)_2.2025数学总复习_2023年新高考资料_一轮复习
专题5.3平面向量基本定理及坐标表示-重难点题型精讲(举一反三)(新高考地区专用)(解析版)_2.2025数学总复习_2023年新高考资料_一轮复习
专题5.3平面向量基本定理及坐标表示-重难点题型精讲(举一反三)(新高考地区专用)(解析版)_2.2025数学总复习_2023年新高考资料_一轮复习
专题5.3平面向量基本定理及坐标表示-重难点题型精讲(举一反三)(新高考地区专用)(解析版)_2.2025数学总复习_2023年新高考资料_一轮复习
专题5.3平面向量基本定理及坐标表示-重难点题型精讲(举一反三)(新高考地区专用)(解析版)_2.2025数学总复习_2023年新高考资料_一轮复习
专题5.3平面向量基本定理及坐标表示-重难点题型精讲(举一反三)(新高考地区专用)(解析版)_2.2025数学总复习_2023年新高考资料_一轮复习
专题5.3平面向量基本定理及坐标表示-重难点题型精讲(举一反三)(新高考地区专用)(解析版)_2.2025数学总复习_2023年新高考资料_一轮复习
专题5.3平面向量基本定理及坐标表示-重难点题型精讲(举一反三)(新高考地区专用)(解析版)_2.2025数学总复习_2023年新高考资料_一轮复习
专题5.3平面向量基本定理及坐标表示-重难点题型精讲(举一反三)(新高考地区专用)(解析版)_2.2025数学总复习_2023年新高考资料_一轮复习
专题5.3平面向量基本定理及坐标表示-重难点题型精讲(举一反三)(新高考地区专用)(解析版)_2.2025数学总复习_2023年新高考资料_一轮复习
专题5.3平面向量基本定理及坐标表示-重难点题型精讲(举一反三)(新高考地区专用)(解析版)_2.2025数学总复习_2023年新高考资料_一轮复习
专题5.3平面向量基本定理及坐标表示-重难点题型精讲(举一反三)(新高考地区专用)(解析版)_2.2025数学总复习_2023年新高考资料_一轮复习
专题5.3平面向量基本定理及坐标表示-重难点题型精讲(举一反三)(新高考地区专用)(解析版)_2.2025数学总复习_2023年新高考资料_一轮复习
专题5.3平面向量基本定理及坐标表示-重难点题型精讲(举一反三)(新高考地区专用)(解析版)_2.2025数学总复习_2023年新高考资料_一轮复习
专题5.3平面向量基本定理及坐标表示-重难点题型精讲(举一反三)(新高考地区专用)(解析版)_2.2025数学总复习_2023年新高考资料_一轮复习
专题5.3平面向量基本定理及坐标表示-重难点题型精讲(举一反三)(新高考地区专用)(解析版)_2.2025数学总复习_2023年新高考资料_一轮复习

文档信息

文档格式
docx
文档大小
1.035 MB
文档页数
19 页
上传时间
2026-03-18 03:17:57

文档内容

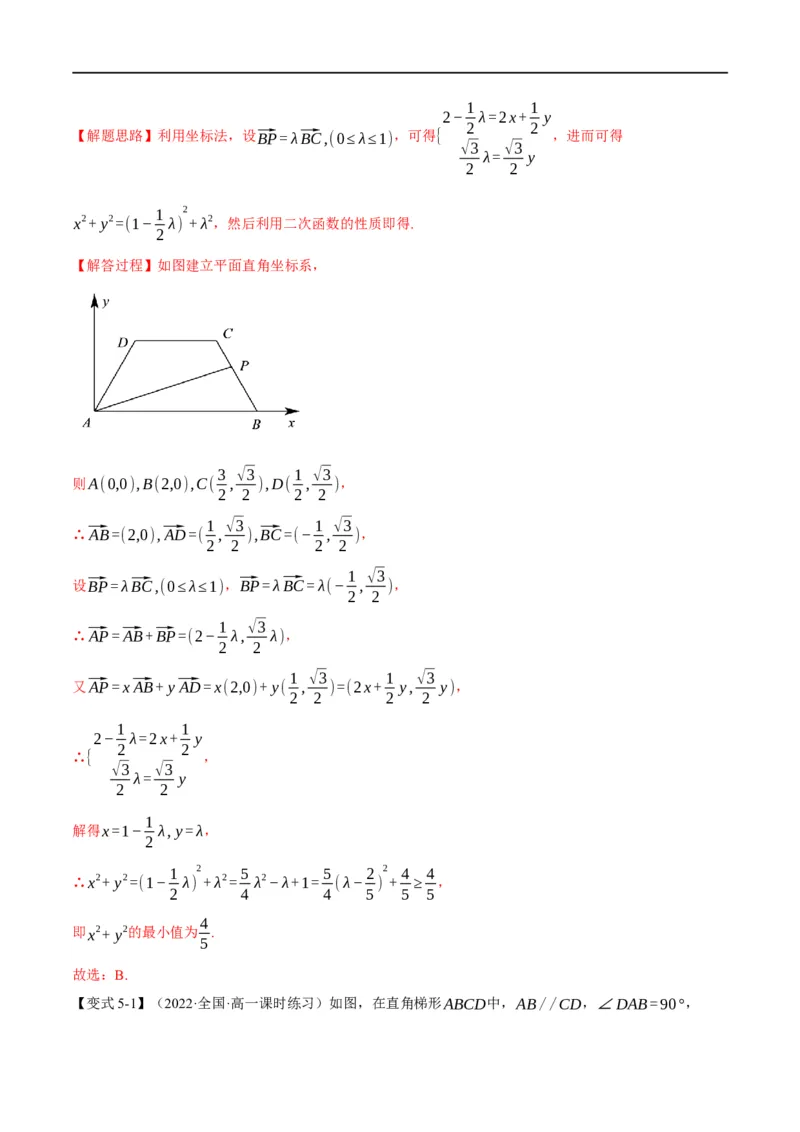
专题 5.3 平面向量基本定理及坐标表示-重难点题型精讲 1.平面向量基本定理 (1)平面向量基本定理 如果 , 是同一平面内的两个不共线向量,那么对于这一平面内的任一向量 ,有且只有一对实数 , ,使 .若 , 不共线,我们把{ , }叫做表示这一平面内所有向量的一个基底. (2)定理的实质 由平面向量基本定理知,可将任一向量 在给出基底{ , }的条件下进行分解——平面内的任一向 量都可以用平面内任意不共线的两个向量线性表示,这就是平面向量基本定理的实质. 2.平面向量的正交分解及坐标表示 (1)正交分解 不共线的两个向量相互垂直是一种重要的情形,把一个向量分解为两个互相垂直的向量,叫做把向量 作正交分解. (2)向量的坐标表示 如图,在平面直角坐标系中,设与x轴、y轴方向相同的两个单位向量分别为 , ,取{ , }作为基 底.对于平面内的任意一个向量 ,由平面向量基本定理可知,有且只有一对实数x,y,使得 =x +y .这样, 平面内的任一向量 都可由x,y唯一确定,我们把有序数对(x,y)叫做向量 的坐标,记作 =(x,y)①.其中x 叫做 在x轴上的坐标,y叫做 在y轴上的坐标,①叫做向量 的坐标表示. 显然, =(1,0), =(0,1), =(0,0). (3)点的坐标与向量的坐标的关系3.平面向量线性运算的坐标表示 (1)两个向量和(差)的坐标表示 由于向量 =( , ), =( , )等价于 = + , = + ,所以 + =( + )+( + )=( + ) +( + ) ,即 + =( + , + ).同理可得 - =( - , - ). 这就是说,两个向量和(差)的坐标分别等于这两个向量相应坐标的和(差). (2)向量数乘的坐标表示 由 =(x,y),可得 =x +y ,则 = (x +y )= x + y ,即 =( x, y). 这就是说,实数与向量的积的坐标等于用这个实数乘原来向量的相应坐标. 4.平面向量数量积的坐标表示 (1)平面向量数量积的坐标表示 由于向量 =( , ), =( , )等价于 = + , = + ,所以 =( + ) ( + )= + + + .又 =1, =1, = =0,所以 = + . 这就是说,两个向量的数量积等于它们对应坐标的乘积的和. (2)平面向量长度(模)的坐标表示 若 =(x,y),则 或 . 其含义是:向量 的长度(模)等于向量 的横、纵坐标平方和的算术平方根. 如果表示向量 的有向线段的起点和终点的坐标分别为( , ),( , ),那么 =( - , - ),| |= . 5.平面向量位置关系的坐标表示 (1)共线的坐标表示 ①两向量共线的坐标表示 设 =( , ), =( , ),其中 ≠0.我们知道, , 共线的充要条件是存在实数 ,使 = .如果 用 坐标表示,可写为( , )= ( , ),即 ,消去 ,得 - =0.这就是说,向量 , ( ≠0)共线的充要条件是 - =0. ②三点共线的坐标表示 若A( , ),B( , ),C( , )三点共线,则有 = , 从而( - , - )= ( - , - ),即( - )( - )=( - )( - ), 或由 = 得到( - )( - )=( - )( - ), 或由 = 得到( - )( - )=( - )( - ). 由此可知,当这些条件中有一个成立时,A,B,C三点共线. (2)夹角的坐标表示 设 , 都是非零向量, =( , ), =( , ), 是 与 的夹角,根据向量数量积的定义及坐标表 示可得 = = . (3)垂直的坐标表示 设 =( , ), =( , ),则 + =0. 即两个向量垂直的充要条件是它们相应坐标乘积的和为0. 【题型1 用基底表示向量】 【方法点拨】 用基底表示向量的基本方法有两种:一种是运用向量的线性运算对待求向量不断地进行转化,直至用基底 表示为止;另一种是通过列向量方程(组),利用基底表示向量的唯一性求解. 【例1】(2022·黑龙江·高二开学考试)如果 表示平面内所有向量的一个基底,那么下列四组向量, {⃑e ,⃑e } 1 2 不能作为一个基底的是( ) A.⃑e ,⃑e +⃑e B.⃑e −2⃑e ,⃑e −2⃑e 2 1 2 1 2 2 1 C.⃑e −2⃑e ,4⃑e −2⃑e D.⃑e +⃑e ,⃑e −⃑e 1 2 2 1 1 2 1 2 【解题思路】根据平面基底的定义和判定,逐项判定,即可求解. 【解答过程】根据平面基底的定义知,向量⃑e ,⃑e 为不共线非零向量,即不存在实数λ,使得⃑e =λ⃑e , 1 2 1 2 对于A中,向量⃑e 和⃑e +⃑e ,不存在实数λ,使得⃑e =λ(⃑e +⃑e ),可以作为一个基地; 2 1 2 2 1 2 对于B中,向量⃑e −2⃑e 和⃑e −2⃑e ,假设存在实数λ,使得⃑e −2⃑e =λ(⃑e −2⃑e ), 1 2 2 1 1 2 2 1 可得¿,此时方程组无解,所以⃑e −2⃑e 和⃑e −2⃑e 可以作为基底; 1 2 2 1 对于C中,向量⃑e −2⃑e 和4⃑e −2⃑e ,假设存在实数λ,使得⃑e −2⃑e =λ(4⃑e −2⃑e ), 1 2 2 1 1 2 2 11 可得¿,解得λ=− ,所以⃑e −2⃑e 和4⃑e −2⃑e 不可以作为基底; 2 1 2 2 1 对于D中,向量⃑e +⃑e 和⃑e −⃑e ,假设存在实数λ,使得⃑e +⃑e =λ(⃑e −⃑e ), 1 2 1 2 1 2 1 2 可得¿,此时方程组无解,所以⃑e +⃑e 和⃑e −⃑e 可以作为基底; 1 2 1 2 故选:C. 【变式1-1】(2022·全国·高一课时练习)设 是平面内的一个基底,则下面的四组向量不能作为基底 {⃑e ,⃑e } 1 2 的是( ) A.⃑e +⃑e 和⃑e −⃑e B.⃑e 和⃑e +⃑e 1 2 1 2 1 1 2 C.⃑e +3⃑e 和⃑e +3⃑e D.3⃑e −2⃑e 和4⃑e −6⃑e 1 2 2 1 1 2 2 1 【解题思路】根据向量是否成倍数关系可判断是否共线,即可确定是否可作为基底向量. 【解答过程】∵ , 是平面内的一组基底,∴ , 不共线,而 , ⃑e ⃑e ⃑e ⃑e 4⃑e −6⃑e =−2(3⃑e −2⃑e ) 1 2 1 2 2 1 1 2 则根据向量共线定理可得, 与 共线,根据基底的定义可知,选项D不符合题意. (4⃑e −6⃑e ) (3⃑e −2⃑e ) 2 1 1 2 其他三组中的向量均为不共线向量,故可作为基底向量. 故选:D. 【变式1-2】(2022·甘肃庆阳·高一期末)下列各组向量中,不能作为平面的基底的是( ) A.⃑e =(2,−1),⃑e =(1,−2) B.⃑e =(4,−2),⃑e =(−2,1) 1 2 1 2 C.⃑e =(3,3),⃑e =(−1,1) D.⃑e =(2,3),⃑e =(−1,3) 1 2 1 2 【解题思路】根据基底的定义分别判断各个选项即可得出答案. 【解答过程】解:对于A,因为两向量不共线,所以能作为一组基底; 对于B,因为⃑e =−2⃑e ,所以⃑e ∥⃑e ,所以两向量不能作为一组基底; 1 2 1 2 对于C,因为两向量不共线,所以能作为一组基底; 对于D,因为两向量不共线,所以能作为一组基底. 故选:B. 【变式1-3】(2022·湖北武汉·高一期末)已知向量 在正方形网格中的位置如图所示,用基底 ⃗a,⃗b,⃗c {⃗a,⃗b} 表示⃗c,则( )A.⃗c=3⃗a−2⃗b B.⃗c=−3⃗a+2⃗b C.→ → → D. c=−2a+3b ⃗c=2⃗a+3⃗b 【解题思路】建立直角坐标系,用坐标表示出⃑a、⃑b和⃑c,并设 ⃑c=m⃑a+n⃑b,联立方程组求出m和n即可. 【解答过程】如图建立直角坐标系,设正方形网格的边长为1, 则⃑a=(1,1),⃑b=(−2,3),⃑c=(7,−3), 设向量 ⃑c=m⃑a+n⃑b, 则¿, 所以 ⃑c=3⃑a−2⃑b. 故选:A. 【题型2 平面向量基本定理的应用】 【方法点拨】 结合题目条件,利用平面向量基本定理进行转化求解即可. 【例2】(2022·福建·高二期中)△ABC中,D为BC中点,⃗AE=2⃗EC,AD交BE于P点,若 ⃗AP=λ⃗AD,则λ=( ) 2 3 4 5 A. B. C. D. 3 5 5 6 1 1 【解题思路】根据D为BC中点,得到⃗AD= ⃗AB+ ⃗AC,因为B,P,E三点共线,推导出 2 2 2 a 2b ⃗AP=a⃗AB+b⃗AE,则a+b=1,结合⃗AP=λ⃗AD,⃗AE= ⃗AC得到⃗AD= ⃗AB+ ⃗AC,从而得到 3 λ 3λa 1 2b 1 4 = , = ,又a+b=1,求出λ= . λ 2 3λ 2 5 1 1 【解答过程】因为D为BC中点,所以⃗AD= ⃗AB+ ⃗AC, 2 2 2 因为⃗AE=2⃗EC,所以⃗AE= ⃗AC, 3 因为B,P,E三点共线,所以设⃗BP=m⃗PE (m≠0), m 1 即⃗AP−⃗AB=m(⃗AE−⃗AP),整理得:⃗AP= ⃗AE+ ⃗AB, 1+m 1+m 1 m 令a= ,b= ,则⃗AP=a⃗AB+b⃗AE,则a+b=1, 1+m 1+m 2 其中⃗AP=a⃗AB+ b⃗AC, 3 2 因为⃗AP=λ⃗AD,所以λ⃗AD=a⃗AB+ b⃗AC, 3 a 2b 故⃗AD= ⃗AB+ ⃗AC, λ 3λ 1 1 因为⃗AD= ⃗AB+ ⃗AC, 2 2 a 1 2b 1 所以 = , = ,又a+b=1, λ 2 3λ 2 4 解得:λ= , 5 故选:C. 【变式2-1】(2022·广东深圳·高三阶段练习)在平行四边形ABCD中,点E在边AD上,点F在边CD上, 1 2 且AE= AD,CF= CD,点G为线段EF的中点,记⃗BA=⃗m,⃗BC=⃗n,则⃗BG=( ) 3 35 2 5 4 A. ⃗m+ ⃗n B. ⃗m+ ⃗n 6 3 3 3 4 5 2 5 C. ⃗m+ ⃗n D. ⃗m+ ⃗n 3 3 3 6 【解题思路】选择⃗BA=⃗m,⃗BC=⃗n作为基底,根据向量的加减运算即可求得答案. 1 2 1 2 【解答过程】由题意可知AE= AD,CF= CD,即⃗AE= ⃗AD,⃗CF= ⃗CD, 3 3 3 3 1 1 则⃗BG=⃗BA+⃗AE+⃗EG=⃗BA+ ⃗AD+ ⃗EF 3 2 1 1 1 1 2 1 =⃗BA+ ⃗AD+ (⃗ED+⃗DF)=⃗BA+ ⃗BC+ ( ⃗AD− ⃗BA) 3 2 3 2 3 3 1 1 1 5 2 =⃗BA+ ⃗BC+ ⃗BC− ⃗BA= ⃗BA+ ⃗BC 3 3 6 6 3 5 2 = ⃗m+ ⃗n, 6 3 故选:A. 【变式2-2】(2022·河南·高三阶段练习(文))在△ABC中,D为边BC的中点,E在边AC上,且 EC=2AE,AD与BE交于点F,若⃗CF=λ⃗AB+μ⃗AC,则λ+μ=( ) 1 3 1 3 A.− B.− C. D. 2 4 2 4 【解题思路】根据三点共线的结论:A,B,C三点共线,则⃗OA=λ⃗OB+μ⃗OC,λ+μ=1,结合平面向量基 本定理、向量的线性运算求解. 【解答过程】以 为基底向量,则有: {⃗AB,⃗AC} 1 ∵B,E,F三点共线,则⃗AF=x⃗AB+(1−x)⃗AE=x⃗AB+ (1−x)⃗AC, 3 1 1 又∵A,F,D三点共线,且D为边BC的中点,则⃗AF= y⃗AD= y⃗AB+ y⃗AC, 2 2 ∴¿,解得¿, 1 1 即⃗AF= ⃗AB+ ⃗AC. 4 4∵⃗CF=⃗AF−⃗AC= (1 ⃗AB+ 1 ⃗AC ) −⃗AC= 1 ⃗AB− 3 ⃗AC, 4 4 4 4 1 3 1 ∴λ= ,μ=− ,则λ+μ=− . 4 4 2 故选:A. 【变式2-3】(2022·全国·高三专题练习)在△ABC中,D,E分别是线段AB,BC上的点,且AD=3DB, 2 BE= BC,若⃑DE=x⃑AB+ y⃑AC,则x+ y=( ) 3 1 1 1 1 A. B.− C.− D. 4 4 6 6 【解题思路】根据已知条件结合平面向量基本定理将⃑DE用⃑AB,⃑AC表示,从而可求出x,y的值,进而可求 得x+ y. 2 【解答过程】因为AD=3DB,BE= BC, 3 1 2 所以⃑DB= ⃑AB,⃑BE= ⃑BC, 4 3 1 2 1 2 5 2 所以⃑DE=⃑DB+⃑BE= ⃑AB+ ⃑BC= ⃑AB+ (⃑AC−⃑AB)=− ⃑AB+ ⃑AC=x⃑AB+ y⃑AC, 4 3 4 3 12 3 5 2 所以x=− ,y= , 12 3 5 2 1 所以x+ y=− + = . 12 3 4 故选:A. 【题型3 平面向量的坐标运算】 【方法点拨】 (1)向量的线性运算的坐标表示主要是利用加、减、数乘运算法则进行的,若已知有向线段两端点的坐标, 则应先求出向量的坐标,然后再进行向量的坐标运算,另外解题过程中要注意方程思想的运用.(2)利用向量线性运算的坐标表示解题,主要根据相等向量的坐标相同这一原则,通过列方程(组)进行求解. 【例3】(2023·广东·高三学业考试)已知向量 ,则 ( ) ⃗a=(1,−2),⃗b=(3,5) 2⃗a+⃗b= A.(4,3) B.(5,1) C.(5,3) D.(7,8) 【解题思路】根据向量的坐标运算即得. 【解答过程】∵ , ⃗a=(1,−2),⃗b=(3,5) ∴ . 2⃗a+⃗b=2(1,−2)+(3,5)=(5,1) 故选:B. 【变式3-1】(2022·北京·高二阶段练习)已知M(5,-1,2),A(4,2,-1),O为坐标原点,若 ⃗OM=⃗AB,则点B的坐标应为( ) A.(-1,3,-3) B.(9,1,1) C.(1,-3,3) D.(-9,-1,-1) 【解题思路】根据向量的坐标运算即可求解. 【解答过程】 ,所以 , ⃗OM=(5,-1,2) ⃗AB=(5,-1,2),⃗OB=⃗OA+⃗AB=(4,2,-1)+(5,-1,2)=(9,1,1) 所以B(9,1,1), 故选:B. 【变式3-2】(2022·广东·高一阶段练习)已知向量⃑a=(2,1),⃑b=(1,−1),则⃑a+⃑b=( ) A.(3,0) B.(3,1) C.(−1,2) D.(1,2) 【解题思路】根据平面向量加法的坐标表示公式进行求解即可. 【解答过程】因为⃑a=(2,1),⃑b=(1,−1), 所以⃑a+⃑b=(2+1,1−1)=(3,0), 故选:A. 【变式3-3】(2022·全国·高三专题练习)已知向量⃗a=(1,1),⃗b=(﹣1,1),⃗c=(4,2),若 → → →,λ、μ∈R,则λ+μ=( ) c=λa+μb A.﹣2 B.﹣1 C.1 D.2 【解题思路】由题意,根据平面向量加法的坐标表示,可列方程,可得答案. 【解答过程】由⃑c=λ⃑a+μ⃑b,则(4,2)=λ(1,1)+μ(−1,1),即¿,解得¿,故λ+μ=2, 故选:D. 【题型4 向量共线、垂直的坐标表示的应用】 【方法点拨】 向量共线、垂直的坐标表示的应用有两类:一是判断向量的共线(平行)、垂直;二是根据向量共线、垂 直来求参数的值;根据题目条件,结合具体问题进行求解即可. 【例4】(2022·山东·高三阶段练习)已知向量 , , ,则( ) ⃗a=(2,−1) ⃗b=(−3,2) ⃗c=(1,1) A. B. C. D. ⃗a//⃗b (⃗a+⃗b)⊥⃗c ⃗a+⃗b=⃗c ⃗c=5⃗a−3⃗b 【解题思路】根据向量加减法、向量垂直和平行的坐标表示依次验证各个选项即可. 【解答过程】对于A,∵2×2≠(−1)×(−3),∴⃗a,⃗b不平行,A错误; 对于B, , , ,B正确; ∵⃗a+⃗b=(−1,1) ∴(⃗a+⃗b)⋅⃗c=−1×1+1×1=0 ∴(⃗a+⃗b)⊥⃗c 对于C, ,C错误; ⃗a+⃗b=(−1,1)≠⃗c 对于D, ,D错误. 5⃗a−3⃗b=(10,−5)−(−9,6)=(19,−11)≠⃗c 故选:B. 【变式4-1】(2022·广东·高三学业考试)已知向量 ,若 ,则 ( ) ⃗a=(2,1),⃗b=(x,−2) ⃗a//⃗b ⃗a+⃗b= A.(-2,-1) B.(2,1) C.(3,-1) D.(-3,1) 【解题思路】由⃗a//⃗b,利用向量共线的坐标运算解得x,再利用向量和的坐标运算求⃗a+⃗b. 【解答过程】解:因为⃗a//⃗b, 所以2×(−2)=x,解得x=-4. 所以 . ⃗a+⃗b=(2,1)+(−4,−2)=(−2,−1) 故选:A. 【变式4-2】(2022·北京·高二阶段练习)己知平面向量 , , ,若 , ⃗a=(-1,2) ⃗b=(3,-1) ⃗c=(t,t) (⃗a+⃗c)∥⃗b 则t=( ) 5 1 5 7 A. B. C.- D.- 2 4 4 4【解题思路】先求出 的坐标,再由 列方程可求出 的值. ⃗a+⃗c (⃗a+⃗c)∥⃗b t 【解答过程】因为⃗a=(-1,2),⃗c=(t,t), 所以⃗a+⃗c=(-1+t,2+t), 因为 , , ⃗b=(3,-1) (⃗a+⃗c)∥⃗b -1+t 2+t 5 所以 = ,解得t=- , 3 -1 4 故选:C. 【变式4-3】(2022·甘肃·高三阶段练习(文))已知向量⃗a=(-1,3),⃗b=(2,1),⃗c=k⃗a+⃗b,若⃗b⊥⃗c,则 k=( ) 1 1 A.-5 B.- C.5 D. 5 5 【解题思路】首先求出⃗c的坐标,再由⃗b⊥⃗c,可得⃗b⋅⃗c=0,根据数量积的坐标表示得到方程,解得即可. 【解答过程】解:因为 , ,所以 . ⃗a=(-1,3) ⃗b=(2,1) ⃗c=k⃗a+⃗b=(2-k,3k+1) 因为 ,所以 ,解得 . ⃗b⊥⃗c ⃗b⋅⃗c=2×(2-k)+3k+1=0 k=-5 故选:A. 【题型5 向量坐标运算与平面几何的交汇】 【方法点拨】 利用向量可以解决与长度、角度、垂直、平行等有关的几何问题,其解题的关键在于把其他语言转化为向 量语言,用向量表示问题中涉及的几何元素,将平面几何问题转化为向量问题.常用方法是建立平面直角坐 标系,借助向量的坐标运算转化为代数问题来解决. 【例5】(2022·黑龙江·高三阶段练习)如图所示,梯形ABCD中,AB//CD,且 AB=2AD=2CD=2CB=2,点P在线段BC上运动,若⃑AP=x⃑AB+ y⃑AD,则x2+ y2的最小值为( ) 5 4 13 13 A. B. C. D. 4 5 16 41 1 2− λ=2x+ y 2 2 【解题思路】利用坐标法,设⃗BP=λ⃗BC,(0≤λ≤1) ,可得{ ,进而可得 √3 √3 λ= y 2 2 1 2 x2+ y2=(1− λ) +λ2,然后利用二次函数的性质即得. 2 【解答过程】如图建立平面直角坐标系, 3 √3 1 √3 则A(0,0),B(2,0),C( , ),D( , ), 2 2 2 2 1 √3 1 √3 ∴⃗AB=(2,0),⃗AD=( , ),⃗BC=(− , ), 2 2 2 2 1 √3 设⃗BP=λ⃗BC,(0≤λ≤1),⃗BP=λ⃗BC=λ(− , ), 2 2 1 √3 ∴⃗AP=⃗AB+⃗BP=(2− λ, λ), 2 2 1 √3 1 √3 又⃗AP=x⃗AB+ y⃗AD=x(2,0)+ y( , )=(2x+ y, y), 2 2 2 2 1 1 2− λ=2x+ y 2 2 ∴{ , √3 √3 λ= y 2 2 1 解得x=1− λ,y=λ, 2 1 2 5 5 2 2 4 4 ∴x2+ y2=(1− λ) +λ2= λ2−λ+1= (λ− ) + ≥ , 2 4 4 5 5 5 4 即x2+ y2的最小值为 . 5 故选:B. 【变式5-1】(2022·全国·高一课时练习)如图,在直角梯形ABCD中,AB//CD,∠DAB=90°,1 1 AD=AB=4,CD=1,动点P在边BC上,且满足⃑AP=m⃑AB+n⃑AD(m,n均为正数),则 + 的最 m n 小值为( ) 3 3 7+4√3 A.1 B. C.− D. 4 4 4 【解题思路】以A为原点,AB所在直线为x轴,AD所在直线为y轴建立平面直角坐标系,根据向量的坐 3 1 1 标表示⃑AP可得m+ n=1,再根据基本不等式求得 + 的最小值即可. 4 m n 【解答过程】如图,以A为原点,AB所在直线为x轴,AD所在直线为y轴建立平面直角坐标系, 则A(0,0),B(4,0),D(0,4),C(1,4), 则⃑AB=(4,0),⃑AD=(0,4),⃑BC=(−3,4), 设⃑BP=λ⃑BC=(−3λ,4λ)(λ∈R), 则⃑AP=⃑AB+⃑BP=(4−3λ,4λ). 因为⃑AP=m⃑AB+n⃑AD=(4m,4n), 3 所以¿,消去λ,得m+ n=1, 4 因为 , ,所以1 1 ( 3 )( 1 1) 3n m 3 7 √ 3n m 7+4√3, m>0 n>0 + = m+ n + =1+ + + ≥ +2 ⋅ = m n 4 m n 4m n 4 4 4m n 4 √3 当且仅当m= n时等号成立. 21 1 7+4√3 故 + 的最小值为 . m n 4 故选:D. 【变式5-2】(2022·全国·高一)在△ABC中,角A、B、C所对的边分别为a、b、c,a=b=5,c=8,I 是△ABC内切圆的圆心,若⃑AI=x⃑AB+ y⃑AC,则x+ y的值为( ) 20 10 3 13 A. B. C. D. 3 3 2 18 【解题思路】计算出△ABC的内切圆半径,以AB直线为x轴,AB的垂直平分线为y轴建立平面直角坐标 系,利用平面向量的坐标运算可求得x、y的值,即可得解. 【解答过程】∵a=b=5,c=8,所以,△ABC内切圆的圆心I在AB边高线OC上(也是AB边上的中 线), , , ∴OA=OB=4 OC=√BC2−OB2=√52−42=3 以AB直线为x轴,AB的垂直平分线为y轴建立平面直角坐标系, 则A(−4,0)、B(4,0)、C(0,3), 1 1 设△ABC的内切圆的半径为r,根据等面积法可得: a⋅OC= (a+b+c)r, 2 2 3×8 4 ( 4) ( 4) 解得r= = ,即点I 0, ,则⃑AB=(8,0),⃑AC=(4,3),⃑AI= 4, , 8+5+5 3 3 3 13 因为⃑AI=x⃑AB+ y⃑AC,则¿,解得¿,则x+ y= . 18 故选:D. 【变式5-3】(2022·新疆·高三阶段练习(文))在正方形ABCD中,M是BC的中点.若 ⃑AC=λ⃑AM+μ⃑BD,则λ+μ的值为( ) 4 5 15 A. B. C. D.2 3 3 8 【解题思路】建立平面直角坐标系,利用向量的坐标运算求解作答. 【解答过程】在正方形ABCD中,以点A为原点,直线AB,AD分别为x,y轴建立平面直角坐标系,如图,令|AB|=2,则B(2,0),C(2,2),D(0,2),M(2,1),⃑AC=(2,2),⃑AM=(2,1),⃑BD=(−2,2), λ⃑AM+μ⃑BD=(2λ−2μ,λ+2μ),因⃑AC=λ⃑AM+μ⃑BD, 4 1 5 于是得¿,解得λ= ,μ= ,λ+μ= 3 3 3 5 所以λ+μ的值为 . 3 故选:B. 【题型6 向量坐标运算与三角函数的交汇】 【方法点拨】 先运用平面向量的坐标运算的相关知识将问题转化为与三角函数有关的问题(如化简、求值、证明等),再 利用三角函数的相关知识求解即可. 【例6】(2022·河南南阳·高一阶段练习)已知向量 . ⃑a=(cosx,2sinα+√2sinx),⃗b=(sinx,2cosα−√2cosx) (1)若 ⃑a//⃑b,求x+α的值; π (2)若α= ,函数f(x)=⃑a⋅⃑b,求f(x)的值域. 4 【解题思路】(1)根据向量平行的坐标运算公式,结合两角和的余弦公式化简即可; (2)根据向量数量积的坐标运算公式,运用三角函数相关知识化简原函数后,换元求解即可. 【解答过程】(1) 因为 ⃑a//⃑b, 所以cosx(2cosα−√2cosx)=sinx(2sinα+√2sinx), 整理得 , 2(cosxcosα−sinxsinα)=√2(sin2x+cos2x) 所以2cos(x+α)=√2, √2 即cos(x+α)= , 2π 则x+α=2kπ± ,k∈Z. 4 (2) π 因为α= , 4 所以f(x)=⃑a⋅⃑b=sinxcosx+2(1+sinx)(1−cosx) =−sinxcosx+2(sinx−cosx)+2 1 =− [1−(sinx−cosx) 2]+2(sinx−cosx) 2 1 3 = (sinx−cosx) 2+2(sinx−cosx)+ . 2 2 ( π) 令t=sinx−cosx,则t=√2sin x− ∈[−√2,√2]. 4 1 3 设函数g(t)= t2+2t+ ,t∈[−√2,√2], 2 2 则g(t)在区间[−√2,√2]上单调递增, 5 5 所以g(t) =g(−√2)= −2√2,g(t) =g(√2)= +2√2, min 2 max 2 [5 5 ] 所以f(x)的值域为 −2√2, +2√2 . 2 2 【变式6-1】(2022·广西河池·高一阶段练习)已知向量⃑AB=(sinθ,cosθ−2sinθ),⃑CD=(1,2). (1)已知C(3,4),求D点坐标; (2)若⃑AB⊥⃑CD,求tanθ的值. 【解题思路】根据向量坐标的定义即可求解; 根据向量垂直的运算规则即可求解. 【解答过程】(1) 设D点坐标为(x,y), 因为C(3,4),所以⃑CD=(x−3,y−4), 因为⃑CD=(1,2),所以¿ 解得¿, 所以D点坐标为(4,6); (2) 因为⃑AB=(sinθ,cosθ−2sinθ),⃑CD=(1,2),且⃑AB⊥⃑CD, 所以sinθ+2(cosθ−2sinθ)=0,sinθ 2 所以2cosθ=3sinθ,cosθ≠0,tanθ= = ; cosθ 3 2 综上,D(4,6) ,tanθ= . 3 【变式6-2】(2022·浙江·高一期中)已知向量 , , , , ⃗a=(1,√3) ⃗b=(m,0) (m<0) ⃗c=(2cosθ,2sinθ) 7 θ∈[0,π].若 ⃗a+⃗b与 ⃗a−3⃗b垂直. 5 (1)求m的值及⃗a−⃗b与⃗a之间的夹角; (2)设⃗c=λ⃗a+μ⃗b,求λ+μ的取值范围. 【解题思路】(1)由 7 ⃗a+⃗b与⃗a−3⃗b垂直,可得 (7 ⃗a+⃗b ) ⋅(⃗a−3⃗b)=0,即可求出m的值;设⃗a−⃗b与⃗a之 5 5 间的夹角为 ,先求出 的坐标,再代入 (⃗a−⃗b)⋅⃗a ,即可得出答案; θ ⃗a−⃗b cosθ= |⃗a−⃗b| ⋅|⃗a| (2)将坐标代入⃗c=λ⃗a+μ⃗b,可表示出λ,μ,再代入λ+μ化简结合三角函数的性质即可得出答案. 【解答过程】(1)由 (7 ⃗a+⃗b ) ⋅(⃗a−3⃗b)=0化简得: 7 ⃗a2− 16 ⃗a⋅⃗b−3⃗b2=0, 5 5 5 因为 , ,所以 , , ⃗a=(1,√3) ⃗b=(m,0) ⃗a⋅⃗b=m |⃗a|=2,|⃗b|=|m| 7 16 则 ×4− ⋅m−3m2=0,则(15m−14)(m+2)=0 5 5 因为m<0,解得m=−2, 因为 ,则 ; ⃗a=(1,√3),⃗b=(−2,0) ⃗a−⃗b=(3,√3) 设 与 之间的夹角为 则 (⃗a−⃗b)⋅⃗a 3×1+√3×√3 √3, ⃗a−⃗b ⃗a θ cosθ= = = |⃗a−⃗b| ⋅|⃗a| √9+3⋅√1+3 2 π 因为θ∈[0,π],故θ= . 6 (2)由⃗c=λ⃗a+μ⃗b得:¿,即¿, 2sinθ sinθ π λ+μ= + −cosθ=√3sinθ−cosθ=2sin(θ− ),θ∈[0,π]. √3 √3 6 π π 5π π 则θ− ∈[− , ],所以λ+μ=2sin(θ− )∈[−1,2]. 6 6 6 63x 3x x x 【变式6-3】(2022·广东·高一期中)已知△ABC,⃑AB=(cos ,−sin ),⃑AC=(cos ,sin ),其 2 2 2 2 π 中x∈(0, ). 2 (1)求|⃑BC|和△ABC的边BC上的高 ℎ ; (2)若函数 的最大值是 ,求常数 的值. f(x)=|⃑BC|2+λℎ 5 λ 【解题思路】(1)利用平面向量的坐标运算及模的坐标表示,结合三角恒等变换求解作答. (2)化函数f(x)为cosx的二次函数,探讨二次函数在(0,1)的最大值作答. 【解答过程】(1) x 3x x 3x 依题意,|⃑AB|=|⃑AC|=1,⃑BC=⃑AC−⃑AB=(cos −cos ,sin +sin ), 2 2 2 2 x 3x 2 x 3x 2 |⃑BC|2=(cos −cos ) +(sin +sin ) 2 2 2 2 x 3x x 3x =2−2(cos cos −sin sin )=2−2cos2x=4sin2x, 2 2 2 2 因 π ,所以 ,等腰 中, √ 1 2 . x∈(0, ) |⃑BC|=2sinx △ABC ℎ = |⃑AB|2−( |⃑BC|) =cosx 2 2 (2) λ 2 λ2 π 由(1)知,f(x)=|⃑BC|2+λℎ =−4cos2x+λcosx+4=−4(cosx− ) +4+ ,而x∈(0, ),即 8 16 2 cosx∈(0,1), λ λ2 λ2 若0<λ<8,则当cosx= 时,f(x)取得最大值4+ ,依题意4+ =5,解得λ=4, 8 16 16 若 ,则 ,与 取得最大值 矛盾, λ≤0 f(x)=−4cos2x+λcosx+4<4 f(x) 5 若λ≥8,函数f(x)的值域是(4,λ),f(x)在cosx∈(0,1)不存在最大值,与f(x)取得最大值5矛盾, 综上得,λ=4, 所以常数λ的值是4.