当前位置:首页>文档>微专题幂函数的图象和性质学案-2023届高考数学一轮《考点·题型·技巧》精讲与精练_2.2025数学总复习_赠品通用版(老高考)复习资料_一轮复习

微专题幂函数的图象和性质学案-2023届高考数学一轮《考点·题型·技巧》精讲与精练_2.2025数学总复习_赠品通用版(老高考)复习资料_一轮复习

  • 2026-04-01 14:57:06 2026-03-20 03:47:44

文档预览

微专题幂函数的图象和性质学案-2023届高考数学一轮《考点·题型·技巧》精讲与精练_2.2025数学总复习_赠品通用版(老高考)复习资料_一轮复习
微专题幂函数的图象和性质学案-2023届高考数学一轮《考点·题型·技巧》精讲与精练_2.2025数学总复习_赠品通用版(老高考)复习资料_一轮复习
微专题幂函数的图象和性质学案-2023届高考数学一轮《考点·题型·技巧》精讲与精练_2.2025数学总复习_赠品通用版(老高考)复习资料_一轮复习
微专题幂函数的图象和性质学案-2023届高考数学一轮《考点·题型·技巧》精讲与精练_2.2025数学总复习_赠品通用版(老高考)复习资料_一轮复习
微专题幂函数的图象和性质学案-2023届高考数学一轮《考点·题型·技巧》精讲与精练_2.2025数学总复习_赠品通用版(老高考)复习资料_一轮复习
微专题幂函数的图象和性质学案-2023届高考数学一轮《考点·题型·技巧》精讲与精练_2.2025数学总复习_赠品通用版(老高考)复习资料_一轮复习
微专题幂函数的图象和性质学案-2023届高考数学一轮《考点·题型·技巧》精讲与精练_2.2025数学总复习_赠品通用版(老高考)复习资料_一轮复习
微专题幂函数的图象和性质学案-2023届高考数学一轮《考点·题型·技巧》精讲与精练_2.2025数学总复习_赠品通用版(老高考)复习资料_一轮复习
微专题幂函数的图象和性质学案-2023届高考数学一轮《考点·题型·技巧》精讲与精练_2.2025数学总复习_赠品通用版(老高考)复习资料_一轮复习
微专题幂函数的图象和性质学案-2023届高考数学一轮《考点·题型·技巧》精讲与精练_2.2025数学总复习_赠品通用版(老高考)复习资料_一轮复习
微专题幂函数的图象和性质学案-2023届高考数学一轮《考点·题型·技巧》精讲与精练_2.2025数学总复习_赠品通用版(老高考)复习资料_一轮复习
微专题幂函数的图象和性质学案-2023届高考数学一轮《考点·题型·技巧》精讲与精练_2.2025数学总复习_赠品通用版(老高考)复习资料_一轮复习
微专题幂函数的图象和性质学案-2023届高考数学一轮《考点·题型·技巧》精讲与精练_2.2025数学总复习_赠品通用版(老高考)复习资料_一轮复习
微专题幂函数的图象和性质学案-2023届高考数学一轮《考点·题型·技巧》精讲与精练_2.2025数学总复习_赠品通用版(老高考)复习资料_一轮复习
微专题幂函数的图象和性质学案-2023届高考数学一轮《考点·题型·技巧》精讲与精练_2.2025数学总复习_赠品通用版(老高考)复习资料_一轮复习
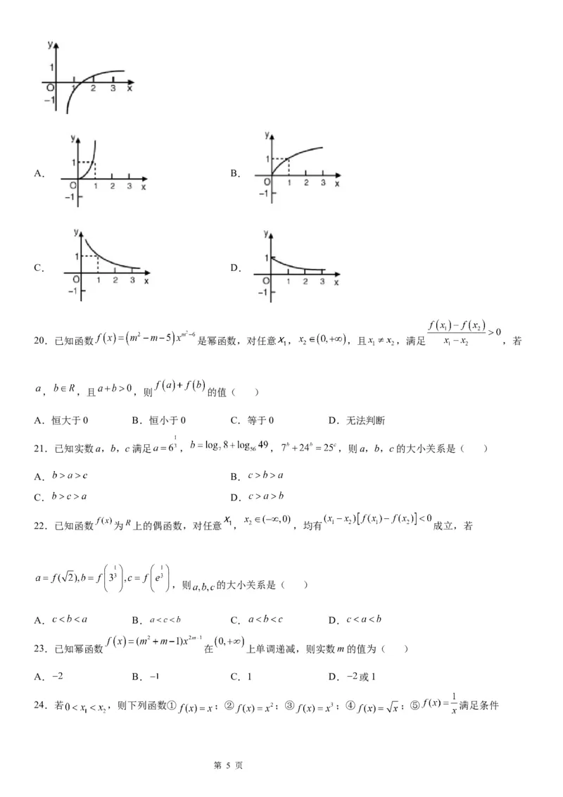
微专题幂函数的图象和性质学案-2023届高考数学一轮《考点·题型·技巧》精讲与精练_2.2025数学总复习_赠品通用版(老高考)复习资料_一轮复习
微专题幂函数的图象和性质学案-2023届高考数学一轮《考点·题型·技巧》精讲与精练_2.2025数学总复习_赠品通用版(老高考)复习资料_一轮复习
微专题幂函数的图象和性质学案-2023届高考数学一轮《考点·题型·技巧》精讲与精练_2.2025数学总复习_赠品通用版(老高考)复习资料_一轮复习
微专题幂函数的图象和性质学案-2023届高考数学一轮《考点·题型·技巧》精讲与精练_2.2025数学总复习_赠品通用版(老高考)复习资料_一轮复习
微专题幂函数的图象和性质学案-2023届高考数学一轮《考点·题型·技巧》精讲与精练_2.2025数学总复习_赠品通用版(老高考)复习资料_一轮复习
微专题幂函数的图象和性质学案-2023届高考数学一轮《考点·题型·技巧》精讲与精练_2.2025数学总复习_赠品通用版(老高考)复习资料_一轮复习
微专题幂函数的图象和性质学案-2023届高考数学一轮《考点·题型·技巧》精讲与精练_2.2025数学总复习_赠品通用版(老高考)复习资料_一轮复习
微专题幂函数的图象和性质学案-2023届高考数学一轮《考点·题型·技巧》精讲与精练_2.2025数学总复习_赠品通用版(老高考)复习资料_一轮复习
微专题幂函数的图象和性质学案-2023届高考数学一轮《考点·题型·技巧》精讲与精练_2.2025数学总复习_赠品通用版(老高考)复习资料_一轮复习
微专题幂函数的图象和性质学案-2023届高考数学一轮《考点·题型·技巧》精讲与精练_2.2025数学总复习_赠品通用版(老高考)复习资料_一轮复习
微专题幂函数的图象和性质学案-2023届高考数学一轮《考点·题型·技巧》精讲与精练_2.2025数学总复习_赠品通用版(老高考)复习资料_一轮复习
微专题幂函数的图象和性质学案-2023届高考数学一轮《考点·题型·技巧》精讲与精练_2.2025数学总复习_赠品通用版(老高考)复习资料_一轮复习
微专题幂函数的图象和性质学案-2023届高考数学一轮《考点·题型·技巧》精讲与精练_2.2025数学总复习_赠品通用版(老高考)复习资料_一轮复习
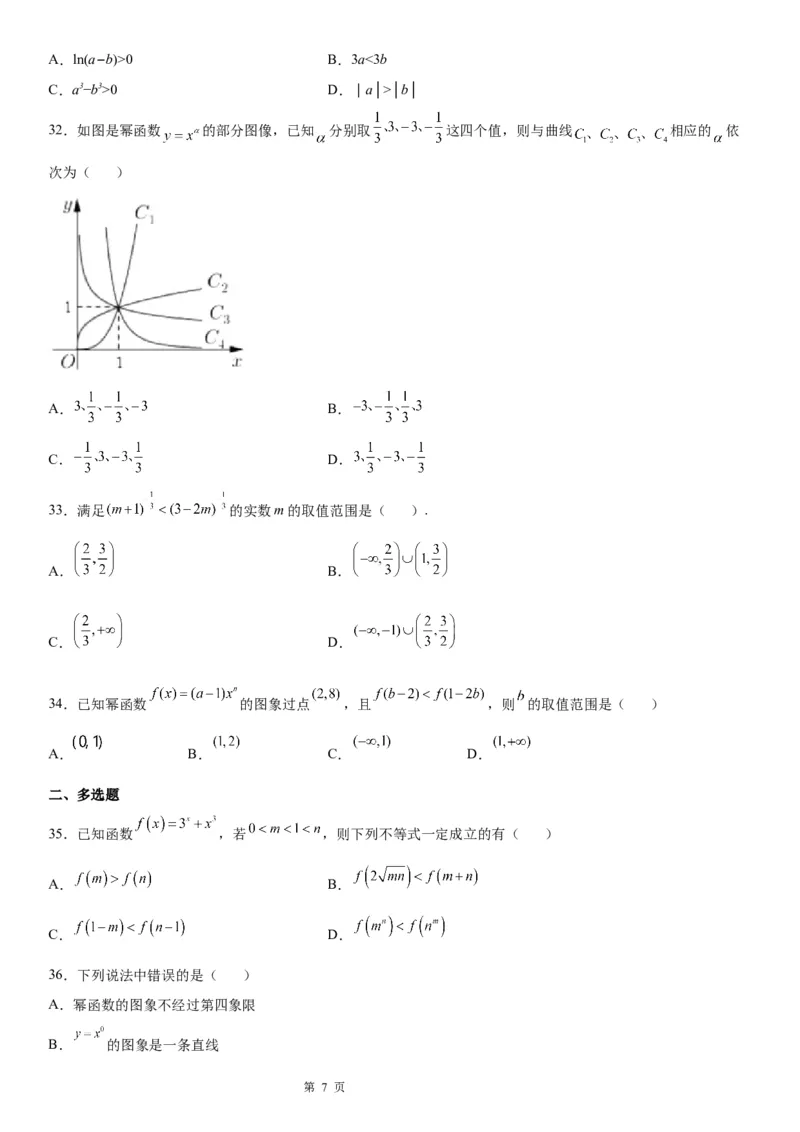
微专题幂函数的图象和性质学案-2023届高考数学一轮《考点·题型·技巧》精讲与精练_2.2025数学总复习_赠品通用版(老高考)复习资料_一轮复习

文档信息

文档格式
docx
文档大小
1.429 MB
文档页数
29 页
上传时间
2026-03-20 03:47:44

文档内容

微专题:幂函数的图象和性质 【考点梳理】 1. 幂函数 (1)定义:一般地,函数 y = x α 叫做幂函数,其中x是自变量,α是常数. (2)常见的五种幂函数的图象和性质比较 性质 函数 图象 定义域 值域 奇偶性 单调性 公共点 y=x R R 奇 在R上单调递增 y=x2 R { y | y ≥0} 偶 在 ( -∞, 0] 上单调递减;在 [0 ,+∞ ) 上单调递增 (1 , 1) y=x3 R R 奇 在R上单调递增 非奇 y=x { x | x ≥0} { y | y ≥0} 在 [0 ,+∞ ) 上单调递增 非偶 y=x-1 { x | x ≠0} { y | y ≠0} 奇 在 ( -∞, 0) 和 (0 ,+∞ ) 上单调递减 2. 幂函数相关常用结论 (1)一般地,在区间(0,1)上,幂函数中指数越大,函数图象越靠近x轴(简记为“指大、图低”),在区间(1, +∞)上,幂函数中指数越大,图象越远离x轴(不包括幂函数y=x0). (2)幂函数的图象一定会出现在第一象限内,一定不会出现在第四象限,最多只能同时出现在两个象限内. (3)形如y=x或y=x-(m,n为互质的正整数)类型函数的奇偶性判断:当m,n都为奇数时,幂函数在定义域上 为奇函数;当m为奇数,n为偶数时,幂函数在定义域上为非奇非偶函数;当 m为偶数,n为奇数时,幂函数在定 义域上为偶函数. 【题型归纳】 题型一:幂函数的图象 1.函数 的图象大致为( ) A. B. C. 第 1 页 学学科科网网((北北京京))股股份份有有限限公公司司D. 2.在同一直角坐标系中,函数 ,且 的图象可能是( ) A. B. C. D. 3.幂函数 在第一象限的图像如图所示,则 的大小关系是 ( ) A. B. C. D. 题型二:幂函数的单调性 4.若 ,则a、b、c的大小关系是( ) A. B. C. D. 第 2 页 学学科科网网((北北京京))股股份份有有限限公公司司5.幂函数 在区间 上单调递增,则 ( ) A.27 B. C. D. 6.已知幂函数 上单调递增,则 ( ) A.0 B. C. D. 题型三:幂函数的奇偶性 7.下列函数中,与函数 的奇偶性相同,且在 上有相同单调性的是( ) A. B. C. D. 8.幂函数 的图象关于 轴对称,且在 上是增函数,则 的值为( ) A. B. C. D. 和 9.已知函数 ,若存在 ,使得不等式 成立,则实数m的取值范围为( ) A. B. C. D. 【双基达标】 10.若 , , ,则 的大小关系是( ) A. B. C. D. 11.四个数2.40.8,3.60.8,log 4.2, log 0.5的大小关系为( ) 0.3 0.4 A.3.60.8>log 0.5>2.40.8>log 4.2 0.4 0.3 B.3.60.8>2.40.8>log 4.2>log 0.5 0.3 0.4 C.log 0.5>3.60.8>2.40.8>log 4.2 0.4 0.3 D.3.60.8>2.40.8>log 0.5>log 4.2 0.4 0.3 第 3 页 学学科科网网((北北京京))股股份份有有限限公公司司12.幂函数的图象过点(3, ),则它的单调递增区间是( ) A.[-1,+∞) B.[0,+∞) C.(-∞,+∞) D.(-∞,0) 13.下列命题中,不正确的是( ) A.幂函数y=x-1是奇函数 B.幂函数y=x2是偶函数 C.幂函数y=x既是奇函数又是偶函数 D.y= 既不是奇函数,又不是偶函数 14.函数 的单调递减区间为( ) A. B. C. D. 15.已知函数 是幂函数,对任意的 且 ,满足 ,若 ,则 的值( ) A.恒大于0 B.恒小于0 C.等于0 D.无法判断 16.下列函数中,在其定义域内既是奇函数又是减函数的是( ) A. B. C. D. ,且 17.若 , , , ,则 , , 的大小关系为( ) A. B. C. D. 18.下面是有关幂函数 的四种说法,其中错误的叙述是 A. 的定义域和值域相等 B. 的图象关于原点中心对称 C. 在定义域上是减函数 D. 是奇函数 19.已知函数 的大致图象如下图,则幂函数 在第一象限的图象可能是( ) 第 4 页 学学科科网网((北北京京))股股份份有有限限公公司司A. B. C. D. 20.已知函数 是幂函数,对任意 , ,且 ,满足 ,若 , ,且 ,则 的值( ) A.恒大于0 B.恒小于0 C.等于0 D.无法判断 21.已知实数a,b,c满足 , , ,则a,b,c的大小关系是( ) A. B. C. D. 22.已知函数 为 上的偶函数,对任意 , ,均有 成立,若 ,则 的大小关系是( ) A. B. C. D. 23.已知幂函数 在 上单调递减,则实数m的值为( ) A. B. C.1 D. 或1 24.若 ,则下列函数① ;② ;③ ;④ ;⑤ 满足条件 第 5 页 学学科科网网((北北京京))股股份份有有限限公公司司的有( ) A.1个 B.2个 C.3个 D.4个 25.下列命题中正确的是( ) A.当 时,函数 的图像是一条直线; B.幂函数的图像都经过 和 点; C.幂函数 的定义域为 ; D.幂函数的图像不可能出现在第四象限. 【高分突破】 一、单选题 26.三个数 的大小顺序为( ) A. B. C. D. 27.若幂函数 , , 在第一象限的图像如图所示,则( ) A. B. C. D. 28.若幂函数 在 上单调递增,则 ( ) A. B. C. D. 29.已知 , , ,则( ) A. B. C. D. 30.若幂函数 的图像经过点 ,则该函数的图像( ) A.关于x轴对称 B.关于y轴对称 C.关于原点对称 D.关于直线 对称 31.若a>b,则 第 6 页 学学科科网网((北北京京))股股份份有有限限公公司司A.ln(a−b)>0 B.3a<3b C.a3−b3>0 D.│a│>│b│ 32.如图是幂函数 的部分图像,已知 分别取 这四个值,则与曲线 相应的 依 次为( ) A. B. C. D. 33.满足 的实数m的取值范围是( ). A. B. C. D. 34.已知幂函数 的图象过点 ,且 ,则 的取值范围是( ) A. B. C. D. 二、多选题 35.已知函数 ,若 ,则下列不等式一定成立的有( ) A. B. C. D. 36.下列说法中错误的是( ) A.幂函数的图象不经过第四象限 B. 的图象是一条直线 第 7 页 学学科科网网((北北京京))股股份份有有限限公公司司C.若函数 的定义域为 ,则它的值域为 D.若函数 的值域为是 ,则它的定义域一定是 37.下面关于函数 的性质,说法正确的是( ) A. 的定义域为 B. 的值域为 C. 在定义域上单调递减 D.点 是 图象的对称中心 38.若幂函数 在 上单调递增,则( ) A. B. C. D. 三、填空题 39.已知函数 ,若 恒成立,则实数 的取值范围是________. 40.已知 .若函数 在 上递减且为偶函数,则 ________. 41.已知 ,则 由小到大的排列顺序是______. 42.已知幂函数 在 上单调递增,则m值为_____. 43.已知幂函数 的图象关于原点对称,则满足 成立的实数a的取值范围 为___________. 44.已知幂函数 在 为增函数,则实数 的值为___________. 四、解答题 45.已知函数 ,满足 . (1)求 的值并求出相应的 的解析式; (2)对于(1)中的函数 ,使得 在 上是单调函数,求实数 的取值范围. 46.已知幂函数 ( )在 是严格减函数,且为偶函数. (1)求 的解析式; 第 8 页 学学科科网网((北北京京))股股份份有有限限公公司司(2)讨论函数 的奇偶性,并说明理由. 47.在同一平面直角坐标系中画出函数 与 的图象,并利用图象求不等式 的解集. 48.已知幂函数 为偶函数,且在区间 上单调递减. (1)求函数 的解析式; (2)讨论 的奇偶性. (直接给出结论,不需证明) 49.若幂函数 在其定义域上是增函数. (1)求 的解析式; (2)若 ,求 的取值范围. 第 9 页 学学科科网网((北北京京))股股份份有有限限公公司司参考答案 1.A 【解析】 【分析】 首先判断函数的奇偶性,再根据幂函数的性质判断即可; 【详解】 解:因为 的定义域为 , 又 ,故 为偶函数,函数图象关于 轴对称,故排除C、D; 当 时 ,由幂函数的性质可知, 在 上单调递增,但是增长趋势越来越慢,故B错误; 故选:A 2.B 【解析】 【分析】 讨论 时和 时,函数 的图象增减即可判断出可能的图象,即得答案. 【详解】 当 时, 为指数函数,且递减, 为幂函数,且在 时递增,递增的幅度随x的增大而增加的更快,故A错误,B正确; 当 时, 为指数函数,且递增, 为幂函数,且在 时递增,递增的幅度越往后越平缓,故C,D错误, 故选:B 3.D 【解析】 【分析】 根据幂函数的性质,在第一象限内, 的右侧部分的图像,图像由下至上,幂指数增大,即可判断; 【详解】 根据幂函数的性质, 在第一象限内, 的右侧部分的图像,图像由下至上,幂指数增大, 所以由图像得: , 故选:D 4.A 【解析】 【分析】 利用幂函数和指数函数的单调性比较大小 【详解】 因为 在 上单调递增,且 , 第 10 页所以 ,即 , 因为 在 上单调递减,且 , 所以 ,即 , 所以 ,即 故选:A 5.A 【解析】 【分析】 根据幂函数的概念及性质,求得实数 的值,得到幂函数的解析式,即可求解. 【详解】 由题意,令 ,即 ,解得 或 , 当 时,可得函数 ,此时函数 在 上单调递增,符合题意; 当 时,可得 ,此时函数 在 上单调递减,不符合题意, 即幂函数 ,则 . 故选:A. 6.A 【解析】 【分析】 由题意可得 且 ,从而可求出 的值 【详解】 因为幂函数 上单调递增, 所以 且 , 解得 , 故选:A 7.D 【解析】 【分析】 根据指对函数的性质判断A、B,由正弦函数性质判断C,对于D有 ,即可判断奇偶性和 单调性. 【详解】 由 为奇函数且在 上递增, 第 11 页A、B: 、 非奇非偶函数,排除; C: 为奇函数,但在 上不单调,排除; D: ,显然 且定义域关于原点对称,在 上递增,满足. 故选:D 8.D 【解析】 【分析】 分别代入 的值,由幂函数性质判断函数增减性即可. 【详解】 因为 , , 所以当 时, ,由幂函数性质得,在 上是减函数; 所以当 时, ,由幂函数性质得,在 上是常函数; 所以当 时, ,由幂函数性质得,图象关于 y 轴对称,在 上是增函数; 所以当 时, ,由幂函数性质得,图象关于 y 轴对称,在 上是增函数; 故选:D. 9.A 【解析】 【分析】 首先判断函数 的奇偶性与单调性,依题意存在 ,使得 成立,参变分离,即可求出参数 的 取值范围; 【详解】 解:因为 定义域为 ,又 ,即 为奇函数,且函数在 上单调递增,所以 为在定义域 上单调递增的奇函数, 因为存在 ,使得 成立,即 成立,即 成立,所以存在 ,使得 成立,则 成立,因为 ,所以 ,所以 ,即 ; 故选:A 10.D 【解析】 【分析】 由 在第一象限内是增函数可得出 的大小,由 是减函数可得出 的大小. 【详解】 第 12 页因为 在第一象限内是增函数,所以 因为 是减函数,所以 ,所以 故选:D 【点睛】 本题考查的是利用指数函数和幂函数的单调性比较大小,较简单. 11.D 【解析】 【分析】 由对数函数的性质判出1>log 0.5>0>log 4.2,由幂函数的性质得到3.60.8>2.40.8>1,则四个数的大小得到比较. 0.4 0.3 【详解】 ∵y=x0.8在(0,+∞)上是增函数, 又3.6>2.4>1,∴3.60.8>2.40.8>1. ∵log 4.22.40.8>log 0.5>log 4.2. 0.4 0.3 故选:D. 12.B 【解析】 【分析】 根据利用待定系数法求出幂函数的解析式,再根据幂函数求出单调增区间即可. 【详解】 设幂函数为f(x)=xα, 因为幂函数的图象过点(3, ), 所以f(3)=3α= = , 解得α= , 所以f(x)= , 所以幂函数的单调递增区间为[0,+∞). 故选:B 【点睛】 本题主要考查幂函数的定义及单调区间,属于简单题. 13.C 【解析】 【分析】 根据奇偶函数的定义依次判断即可. 【详解】 第 13 页因为 , ,所以A正确; 因为 ,所以B正确; 因为 不恒成立,所以C不正确; 因为 定义域为[0,+∞),不关于原点对称,所以D正确. 故选:C. 【点睛】 本题主要考查奇偶函数的定义,属于简单题. 14.A 【解析】 【分析】 ,由 结合函数 的递减区间可得结果. 【详解】 , 由 得 ,又 , 所以函数 的单调递减区间为 . 故选: . 15.B 【解析】 根据函数为幂函数以及函数在 的单调性,可得 ,然后可得函数的奇偶性,结合函数的单调性以及奇偶性, 可得结果. 【详解】 由题可知:函数 是幂函数 则 或 又对任意的 且 ,满足 所以函数 为 的增函数,故 所以 ,又 , 所以 为 单调递增的奇函数 由 ,则 ,所以 则 故选:B 【点睛】 本题考查幂函数的概念以及函数性质的应用,熟悉函数单调递增的几种表示,比如 第 14 页,属中档题. 16.B 【解析】 【分析】 根据指对幂函数的单调性与奇偶性依次讨论个选项即可得答案. 【详解】 解:对于A选项, ,为偶函数,故错误; 对于B选项, ,为奇函数,且函数 均为减函数,故 为减函数,故正确; 对于C选项,指数函数没有奇偶性,故错误; 对于D选项,函数为奇函数,在定义域上没有单调性,故错误. 故选:B 17.A 【解析】 【分析】 根据指数函数 以及幂函数 的单调性比较出 之间的大小关系. 【详解】 因为 在 上单调递减,所以 ,即 , 又因为 在 上单调递增,所以 ,即 , 所以 , 故选:A. 【点睛】 本题考查根据指数函数、幂函数的单调性比较数值大小,难度一般.注意幂函数 当 时在 上单调递 增. 18.C 【解析】 【分析】 根据幂函数的单调性,定义域,值域,对称,奇偶性,依次判断每个选项得到答案. 【详解】 ,函数的定义域和值域均为 ,A正确; , ,函数为奇函数,故BD正确; 在 和 是减函数,但在 不是减函数,C错误. 故选:C. 【点睛】 本题考查了幂函数的定义域,对称,奇偶性,单调性,意在考查学生对于幂函数性质的综合应用. 第 15 页19.B 【解析】 【分析】 根据对数函数的图象,求得参数范围;再根据幂函数的图象,即可容易判断. 【详解】 由 的图象可知, , 所以 ,得 , , 所以 ,所以幂函数 在第一象限的图象可能为 . 故选:B. 【点睛】 本题考查由对数函数的图象求参数范围,涉及幂函数图象的应用,属综合基础题. 20.A 【解析】 利用幂函数的定义求出m,利用函数的单调性和奇偶性即可求解. 【详解】 ∵函数 是幂函数, ∴ ,解得:m= -2或m=3. ∵对任意 , ,且 ,满足 , ∴函数 为增函数, ∴ , ∴m=3(m= -2舍去) ∴ 为增函数. 对任意 , ,且 , 则 ,∴ ∴ . 故选:A 【点睛】 (1)由幂函数的定义求参数的值要严格按照解析式,x前的系数为1; (2)函数的单调性和奇偶性是函数常用性质,通常一起应用. 21.C 【解析】 【分析】 第 16 页分别求出 , , 的大致范围,即可比较 , , 的大小. 【详解】 由题意得, ,故 ; , 因 ,根据对勾函数得 ,因此 ; 由勾股数可知 ,又因 且 ,故 ; 因此 . 故选:C. 【点睛】 指数式、对数式的大小比较,常利用函数的单调性或中间值进行比较,要根据具体式子的特点,选择恰当的函数, 有时还需要借助幂函数比较.对于比较的式子,要先化简转化,再比较大小. 22.D 【解析】 【分析】 根据条件判断函数的单调性,然后利用单调性进行比较即可. 【详解】 解: 对任意 , ,均有 成立, 此时函数在区间 为减函数, 是偶函数, 当 时, 为增函数, , , , 因为 ,所以 , 因为 ,所以 , 所以 , 所以 , 即 . 故选:D. 23.A 【解析】 【分析】 由 是幂函数结合函数单调性得出实数m的值. 【详解】 第 17 页由于 为幂函数,所以 或 ;又函数 在 上单调递减,故当 时符合 条件, 故选:A 24.D 【解析】 【分析】 条件 表明函数应是上凹函数或者是一次函数,结合幂函数的图象可作答. 【详解】 只有上凹函数或者是一次函数才满足题中条件,所以只有①②③⑤满足. 故选:D. 25.D 【解析】 【分析】 根据幂函数的性质依次分析各选项即可得答案. 【详解】 解:对于A, 时,函数 的图像是一条直线除去 点,故 错误; 对于B,幂函数的图像都经过 点,当指数大于 时,都经过 点,当指数小于 时,不经过 点,故B 错误; 对于C,函数 ,故定义域为 ,故错误; 对于D,由幂函数的性质,幂函数的图像一定过第一象限,不可能出现在第四象限,故正确. 故选:D. 26.D 【解析】 【分析】 利用幂函数的单调性可判断三者的大小关系,注意利用中间数 . 【详解】 ,由于 ,所以 , 所以 ,即 , 而 , , 所以 ,所以 ,即 ,所以 . 故选:D. 第 18 页27.B 【解析】 【分析】 在区间(0,1)上,幂函数的指数越大,图象越靠近x轴;在区间(1,+∞)上,幂函数的指数越大,图象越远离 x轴.观察幂函数 的第一象限图象,由此可得m,n,p的大小关系. 【详解】 因为在区间(0,1)上,幂函数的指数越大,图象越靠近x轴; 所以 , 故选:B. 28.D 【解析】 【分析】 根据幂函数的系数等于 ,以及 的指数位置大于 即可求解. 【详解】 因为函数 是幂函数, 所以 ,解得 或 . 当 时, 在 上单调递增; 当 时, 在 上单调递减, 所以 . 故选:D. 29.C 【解析】 【分析】 先判断 ,然后判断 ,由此确定正确选项. 【详解】 由 , ,可得 , ,则有 ,所以 ; ,则 . 第 19 页故选:C 30.B 【解析】 【分析】 根据幂函数的图象经过点 ,可得幂函数的解析式,根据偶函数的定义可得幂函数为偶函数,根据偶函数的 对称性可得答案. 【详解】 设 ,依题意可得 ,解得 , 所以 ,因为 , 所以 为偶函数,其图象关于 轴对称. 故选:B. 【点睛】 本题考查了求幂函数的解析式,考查了幂函数的奇偶性,属于基础题. 31.C 【解析】 【分析】 本题也可用直接法,因为 ,所以 ,当 时, ,知A错,因为 是增函数,所以 ,故B错;因为幂函数 是增函数, ,所以 ,知C正确;取 ,满足 , ,知D错. 【详解】 取 ,满足 , ,知A错,排除A;因为 ,知B错,排除B;取 , 满足 , ,知D错,排除D,因为幂函数 是增函数, ,所以 ,故选C. 【点睛】 本题主要考查对数函数性质、指数函数性质、幂函数性质及绝对值意义,渗透了逻辑推理和运算能力素养,利用 特殊值排除即可判断. 32.A 【解析】 【分析】 根据幂函数的图象和性质之间的关系进行判断即可. 【详解】 当 时,幂函数 在第一象限内单调递减, 当 时,幂函数 在第一象限内单调递增, 所以 , 当 时,幂函数 在第一象限内单调递增, 所以 , 第 20 页所以相应曲线 的 依次为 . 故选:A 33.D 【解析】 【分析】 根据幂函数 的单调性结合函数值的正负,将所求不等式转化为关于 的一次不等式组,求解即可. 【详解】 幂函数 在 为减函数,且函数值为正, 在 为减函数,且函数值为负, 等价于, 或 或 , 解得 或 或 , 所以不等式的解集为 . 故选:D. 【点睛】 本题考查不等式的求解,利用幂函数的单调性是解题的关键,考查分类讨论思想和计算求解能力,属于中档题. 34.C 【解析】 先根据题意得幂函数解析式为 ,再根据函数的单调性解不等式即可得答案. 【详解】 解:因为幂函数 的图像过点 , 所以 ,所以 ,所以 , 由于函数 在 上单调递增, 所以 ,解得: . 故 的取值范围是 . 故选:C. 【点睛】 本题考查幂函数的定义,根据幂函数的单调性解不等式,考查运算求解能力,是中档题.本题解题的关键在于根据 幂函数的系数为 待定系数求得解析式,进而根据单调性解不等式. 35.BD 【解析】 【分析】 第 21 页结合 的单调性以及特殊值、基本不等式,确定正确选项. 【详解】 在 为增函数, 依题意 , 所以 ,A错误. 由基本不等式得 ,B正确. 若 ,则 ,C错误. 若 ,则 ,D正确. 故选:BD 36.BCD 【解析】 对四个说法,结合幂函数的图像与性质逐一分析,由此确定说法错误的序号. 【详解】 解:对于A,由幂函数的图象知,它不经过第四象限,所以A对; 对于B,因为当 时, 无意,即在 无定义,所以B错; 对于C,函数 的定义域为 ,则它的值域为 ,不是 ,所以C错; 对于D,定义域不一定是 ,如 ,所以D错. 故选:BCD. 37.AD 【解析】 【分析】 由 ,可知由 向右平移 个单位,再向上平移 个单位得到 ,根据 的性质得到 的 性质,即可判断; 【详解】 解: 由 向右平移 个单位,再向上平移 个单位得到 , 因为 关于 对称,所以 关于 对称,故D正确; 函数 的定义域为 ,值域为 ,故A正确,B错误; 函数 在 和 上单调递减,故C错误; 故选:AD 38.CD 第 22 页【解析】 【分析】 先根据幂函数的定义及性质确定 的值,得出解析式,然后确定 的大小. 【详解】 因为 是幂函数, 所以 ,解得 或 . 又 在 上单调递增,所以 . 因为 ,所以 . 故选:CD. 39. 【解析】 【分析】 先判断函数 的奇偶性和单调性,根据奇偶性和单调性脱掉 ,再解不等式即可. 【详解】 的定义域为 , 因为 , 所以 为奇函数, 因为 和 都是 上的增函数, 所以 在 上单调递增, 由 可得 , 可得 ,即 , 解得: , 所以实数 的取值范围是 , 故答案为: . 40. 【解析】 根据题意,由幂函数的单调性分析可得 、 或 ,据此验证函数 的奇偶性,即可得答案. 【详解】 解:根据题意,函数 为幂函数, 若函数 在 上递减,必有 ,则 、 或 , 当 时, ,为偶函数,符合题意, 第 23 页当 时, ,为奇函数,不符合题意, 当 时, ,为非奇非偶函数,不符合题意; 则 ; 故答案为: . 【点睛】 本题考查幂函数的性质,注意幂函数的单调性以及奇偶性的分析,属于基础题. 41. 【解析】 【分析】 利用指数式与对数式的互化可得 ,再判断出 ,根据幂函数的单调性即可得出结 果. 【详解】 令 , 则 , , , , 注意到 , 且 ,故 , ,故 , 据此有 ,幂函数 在定义域 上单调递减, 故 ,即 . 故答案为: 42.2 【解析】 【分析】 根据幂函数的定义以及性质得出 ,即可得出答案. 【详解】 由题意可知 ,解得 故答案为: 【点睛】 本题主要考查了幂函数的定义以及性质的应用,属于基础题. 第 24 页43. 【解析】 【分析】 利用幂函数的定义及性质求出m值,再解一元二次不等式即可得解. 【详解】 因函数 是幂函数,则 ,解得 或 , 当 时, 是偶函数,其图象关于y轴对称,与已知 的图象关于原点对称矛盾, 当 时, 是奇函数,其图象关于原点对称,于是得 , 不等式 化为: ,即 ,解得: , 所以实数a的取值范围为 . 故答案为: 44.4 【解析】 【分析】 根据幂函数的定义和单调性,即可求解. 【详解】 解: 为递增的幂函数,所以 ,即 , 解得: , 故答案为:4 45.(1) , . ;(2) 或 . 【解析】 (1)由幂函数的单调性知 , 即可求解; (2)化简 ,可知为二次函数,利用对称轴建立不等式即可求解. 【详解】 (1)由 ,则 ,解得 , 又 ,则 , . 当 , 时, . (2)由 , 当 时单调只需: 或 , 则 或 . 46.(1) ;(2)当 时,为偶函数;当 时,为奇函数;当 且 时,为非奇非偶函 第 25 页数.理由见解析. 【解析】 (1)由题意可得: ,解不等式结合 即可求解; (2)由(1)可得 ,分别讨论 、 、 且 时奇偶性即可求解. 【详解】 (1)因为幂函数 ( )在 是严格减函数, 所以 ,即 ,解得: , 因为 ,所以 , 当 时, ,此时 为奇函数,不符合题意; 当 时, ,此时 为偶函数,符合题意; 当 时, ,此时 为奇函数,不符合题意; 所以 , (2) , 令 当 时, , ,此时是奇函数, 当 时 , ,此时是偶函数, 当 且 时, , , , ,此时是非奇非偶函数函数. 【点睛】 关键点点睛:本题解题的关键点是利用幂函数的单调性求出 可能性的取值,再利用奇偶性可确定 的值,即可 求解析式,第(2)问注意讨论 的值. 47.作图见解析; . 【解析】 【分析】 根据幂函数与一次函数的性质,画出两函数的图象,结合图象,即可求解. 【详解】 由题意,函数 与 ,画出图象,如图所示: 根据 ,解得 . 利用图象知不等式 的解集 . 第 26 页48.(1) (2)见解析 【解析】 (1)由幂函数 在 上单调递减,可推出 ( ),再结合 为偶函数,即可确定 ,得出结论; (2)将 代入,即可得到 ,再依次讨论参数 是否为0的情况即可. 【详解】 (1)∵幂函数 在区间 上是单调递减函数, ∴ ,解得 , ∵ ,∴ 或 或 . ∵函数 为偶函数, ∴ , ∴ ; (2) , 当 时, 既是奇函数又是偶函数; 当 , 时, 是奇函数; 当 , 时, 是偶函数; 当 , 时, 是非偶非偶函数. 【点睛】 本题主要考查了幂函数单调性与奇偶性的综合应用,学生需要熟练掌握好其定义并灵活应用. 49.(1) ;(2) 或 . 【解析】 (1)根据幂函数的概念,以及幂函数单调性,求出 ,即可得出解析式; (2)根据函数单调性,将不等式化为 ,求解,即可得出结果. 【详解】 (1)因为 是幂函数,所以 ,解得 或 , 第 27 页又 是增函数, 即 , ,则 ; (2)因为 为增函数,所以由 可得 ,解得 或 的取值范围是 或 . 第 28 页第 29 页