当前位置:首页>文档>专题09圆中的最值模型之阿氏圆模型(教师版)_初中数学_九年级数学下册(人教版)_常见几何模型全归纳-V13_2024版

专题09圆中的最值模型之阿氏圆模型(教师版)_初中数学_九年级数学下册(人教版)_常见几何模型全归纳-V13_2024版

  • 2026-03-30 22:05:43 2026-03-21 06:28:11

文档预览

专题09圆中的最值模型之阿氏圆模型(教师版)_初中数学_九年级数学下册(人教版)_常见几何模型全归纳-V13_2024版
专题09圆中的最值模型之阿氏圆模型(教师版)_初中数学_九年级数学下册(人教版)_常见几何模型全归纳-V13_2024版
专题09圆中的最值模型之阿氏圆模型(教师版)_初中数学_九年级数学下册(人教版)_常见几何模型全归纳-V13_2024版
专题09圆中的最值模型之阿氏圆模型(教师版)_初中数学_九年级数学下册(人教版)_常见几何模型全归纳-V13_2024版
专题09圆中的最值模型之阿氏圆模型(教师版)_初中数学_九年级数学下册(人教版)_常见几何模型全归纳-V13_2024版
专题09圆中的最值模型之阿氏圆模型(教师版)_初中数学_九年级数学下册(人教版)_常见几何模型全归纳-V13_2024版
专题09圆中的最值模型之阿氏圆模型(教师版)_初中数学_九年级数学下册(人教版)_常见几何模型全归纳-V13_2024版
专题09圆中的最值模型之阿氏圆模型(教师版)_初中数学_九年级数学下册(人教版)_常见几何模型全归纳-V13_2024版
专题09圆中的最值模型之阿氏圆模型(教师版)_初中数学_九年级数学下册(人教版)_常见几何模型全归纳-V13_2024版
专题09圆中的最值模型之阿氏圆模型(教师版)_初中数学_九年级数学下册(人教版)_常见几何模型全归纳-V13_2024版
专题09圆中的最值模型之阿氏圆模型(教师版)_初中数学_九年级数学下册(人教版)_常见几何模型全归纳-V13_2024版
专题09圆中的最值模型之阿氏圆模型(教师版)_初中数学_九年级数学下册(人教版)_常见几何模型全归纳-V13_2024版
专题09圆中的最值模型之阿氏圆模型(教师版)_初中数学_九年级数学下册(人教版)_常见几何模型全归纳-V13_2024版
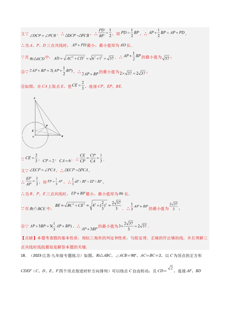
专题09圆中的最值模型之阿氏圆模型(教师版)_初中数学_九年级数学下册(人教版)_常见几何模型全归纳-V13_2024版
专题09圆中的最值模型之阿氏圆模型(教师版)_初中数学_九年级数学下册(人教版)_常见几何模型全归纳-V13_2024版
专题09圆中的最值模型之阿氏圆模型(教师版)_初中数学_九年级数学下册(人教版)_常见几何模型全归纳-V13_2024版
专题09圆中的最值模型之阿氏圆模型(教师版)_初中数学_九年级数学下册(人教版)_常见几何模型全归纳-V13_2024版
专题09圆中的最值模型之阿氏圆模型(教师版)_初中数学_九年级数学下册(人教版)_常见几何模型全归纳-V13_2024版
专题09圆中的最值模型之阿氏圆模型(教师版)_初中数学_九年级数学下册(人教版)_常见几何模型全归纳-V13_2024版
专题09圆中的最值模型之阿氏圆模型(教师版)_初中数学_九年级数学下册(人教版)_常见几何模型全归纳-V13_2024版
专题09圆中的最值模型之阿氏圆模型(教师版)_初中数学_九年级数学下册(人教版)_常见几何模型全归纳-V13_2024版
专题09圆中的最值模型之阿氏圆模型(教师版)_初中数学_九年级数学下册(人教版)_常见几何模型全归纳-V13_2024版
专题09圆中的最值模型之阿氏圆模型(教师版)_初中数学_九年级数学下册(人教版)_常见几何模型全归纳-V13_2024版
专题09圆中的最值模型之阿氏圆模型(教师版)_初中数学_九年级数学下册(人教版)_常见几何模型全归纳-V13_2024版
专题09圆中的最值模型之阿氏圆模型(教师版)_初中数学_九年级数学下册(人教版)_常见几何模型全归纳-V13_2024版
专题09圆中的最值模型之阿氏圆模型(教师版)_初中数学_九年级数学下册(人教版)_常见几何模型全归纳-V13_2024版
专题09圆中的最值模型之阿氏圆模型(教师版)_初中数学_九年级数学下册(人教版)_常见几何模型全归纳-V13_2024版
专题09圆中的最值模型之阿氏圆模型(教师版)_初中数学_九年级数学下册(人教版)_常见几何模型全归纳-V13_2024版
专题09圆中的最值模型之阿氏圆模型(教师版)_初中数学_九年级数学下册(人教版)_常见几何模型全归纳-V13_2024版
专题09圆中的最值模型之阿氏圆模型(教师版)_初中数学_九年级数学下册(人教版)_常见几何模型全归纳-V13_2024版
专题09圆中的最值模型之阿氏圆模型(教师版)_初中数学_九年级数学下册(人教版)_常见几何模型全归纳-V13_2024版
专题09圆中的最值模型之阿氏圆模型(教师版)_初中数学_九年级数学下册(人教版)_常见几何模型全归纳-V13_2024版
专题09圆中的最值模型之阿氏圆模型(教师版)_初中数学_九年级数学下册(人教版)_常见几何模型全归纳-V13_2024版
专题09圆中的最值模型之阿氏圆模型(教师版)_初中数学_九年级数学下册(人教版)_常见几何模型全归纳-V13_2024版
专题09圆中的最值模型之阿氏圆模型(教师版)_初中数学_九年级数学下册(人教版)_常见几何模型全归纳-V13_2024版
专题09圆中的最值模型之阿氏圆模型(教师版)_初中数学_九年级数学下册(人教版)_常见几何模型全归纳-V13_2024版

文档信息

文档格式
docx
文档大小
3.933 MB
文档页数
36 页
上传时间
2026-03-21 06:28:11

文档内容

专题 09 圆中的最值模型之阿氏圆模型 最值问题在中考数学常以压轴题的形式考查,“阿氏圆”又称“阿波罗尼斯圆”,主要考查转化与化 归等的数学思想。在各类考试中都以高档题为主,中考说明中曾多处涉及。本专题就最值模型中的阿氏圆 问题进行梳理及对应试题分析,方便掌握。 【模型背景】已知平面上两点A、B,则所有满足 PA=k·PB(k≠1)的点P的轨迹是一个圆,这个轨迹最早 由古希腊数学家阿波罗尼斯发现,故称“阿氏圆”。 【模型解读】如图 1 所示,⊙O的半径为 r,点 A、B都在⊙O 外,P为⊙O上一动点,已知r=k·OB, 连接PA、PB,则当“PA+k·PB”的值最小时,P点的位置如何确定? 如图2,在线段OB上截取OC使OC=k·r,则可说明△BPO与△PCO相似,即k·PB=PC。 故本题求“PA+k·PB”的最小值可以转化为 “PA+PC”的最小值, 其中与A与C为定点,P为动点,故当A、P、C三点共线时,“PA+PC”值最小。如图3所示: 注意区分胡不归模型和阿氏圆模型: 在前面的“胡不归”问题中,我们见识了“k·PA+PB”最值问题,其中P点轨迹是直线,而当P点轨迹变 为圆时,即通常我们所说的“阿氏圆”问题. 【最值原理】两点之间线段最短及垂线段最短解题。 例1.(2023·山西·九年级专题练习)如图,在 中, ,以点B为圆心作圆B与 相切,点P为圆B上任一动点,则 的最小值是___________.【答案】 【分析】作BH⊥AC于H,取BC的中点D,连接PD,如图,根据切线的性质得BH为⊙B的半径,再根据 等腰直角三角形的性质得到BH AC ,接着证明△BPD∽△BCP得到PD PC,所以PA PC =PA+PD,而PA+PD≥AD(当且仅当A、P、D共线时取等号),从而计算出AD得到PA 的最小值. 【详解】解:作BH⊥AC于H,取BC的中点D,连接PD,如图, ∵AC为切线,∴BH为⊙B的半径,∵∠ABC=90°,AB=CB=2, ∴AC BA=2 ,∴BH AC ,∴BP , ∵ , ,而∠PBD=∠CBP,∴△BPD∽△BCP, ∴ ,∴PD PC,∴PA PC=PA+PD, 而PA+PD≥AD(当且仅当A、P、D共线时取等号), 而AD ,∴PA+PD的最小值为 ,即PA 的最小值为 .故答案为: .【点睛】本题考查了切线的性质:圆的切线垂直于经过切点的半径.解决问题的关键是利用相似比确定线 段PD PC.也考查了等腰直角三角形的性质. 例2.(2022·四川成都·模拟预测)如图,已知正方ABCD的边长为6,圆B的半径为3,点P是圆B上的 一个动点,则 的最大值为_______. 【答案】 【分析】如图,连接 ,在 上取一点 ,使得 ,进而证明 ,则在点P运动的 任意时刻,均有PM= ,从而将问题转化为求PD-PM的最大值.连接PD,在△PDM中,PD-PM< DM,故当D、M、P共线时,PD-PM=DM为最大值,勾股定理即可求得 . 【详解】如图,连接 ,在 上取一点 ,使得 , ,在△PDM中,PD-PM<DM,当D、M、P共线时,PD-PM=DM为最大值, 四边形 是正方形 在 中, 故答案为: . 【点睛】本题考查了圆的性质,相似三角形的性质与判定,勾股定理,构造 是解题的关键. 例3.(2023·广东·九年级专题练习)如图,菱形 的边长为2,锐角大小为 , 与 相切于点 E,在 上任取一点P,则 的最小值为___________. 【答案】 . 【分析】在AD上截取AH=1.5,根据题意可知,AP= ,可得 ,证△APH∽△ADP,可知PH=,当B、P、H共线时, 的最小,求BH即可. 【详解】解:在AD上截取AH=1.5,连接PH、AE,过点B作BF⊥DA延长线,垂足为F, ∵AB=2,∠ABC=60°,∴BE=AF=1,AE=BF= , ∴ ,∵∠PAD =∠PAH,∴△ADP∽△APH, ∴ ,∴PH= , 当B、P、H共线时, 的最小,最小值为BH长, BH= ;故答案为: . 【点睛】本题考查了阿氏圆,解题关键是构造子母相似,利用两点之间,线段最短解决问题. 例4.(2023·北京·九年级专题练习)如图,边长为4的正方形,内切圆记为⊙O,P是⊙O上一动点,则 PA+PB的最小值为________.【答案】 【分析】 PA+PB= (PA+ PB),利用相似三角形构造 PB即可解答. 【详解】解:设⊙O半径为r, OP=r= BC=2,OB= r=2 ,取OB的中点I,连接PI,∴OI=IB= , ∵ , ,∴ ,∠O是公共角,∴△BOP∽△POI, ∴ ,∴PI= PB,∴AP+ PB=AP+PI, ∴当A、P、I在一条直线上时,AP+ PB最小,作IE⊥AB于E, ∵∠ABO=45°,∴IE=BE= BI=1,∴AE=AB−BE=3, ∴AI= ,∴AP+ PB最小值=AI= , ∵ PA+PB= (PA+ PB),∴ PA+PB的最小值是 AI= .故答案是 . 【点睛】本题是“阿氏圆”问题,解决问题的关键是构造相似三角形. 例5.(2023·浙江·一模)问题提出: 如图1,在等边△ABC中,AB=9,⊙C半径为3,P为圆上一动点,连结AP,BP,求AP+ BP的最小值(1)尝试解决:为了解决这个问题,下面给出一种解题思路,通过构造一对相似三角形,将 BP转化为某 一条线段长,具体方法如下:(请把下面的过程填写完整) 如图2,连结CP,在CB上取点D,使CD=1,则有 又∵∠PCD=∠ △ ∽△ ∴ ∴PD= BP ∴AP+ BP=AP+PD ∴当A,P,D三点共线时,AP+PD取到最小值 请你完成余下的思考,并直接写出答案:AP+ BP的最小值为 . (2)自主探索:如图3,矩形ABCD中,BC=6,AB=8,P为矩形内部一点,且PB=4,则 AP+PC的最小 值为 .(请在图3中添加相应的辅助线) (3)拓展延伸:如图4,在扇形COD中,O为圆心,∠COD=120°,OC=4.OA=2,OB=3,点P是 上一点,求2PA+PB的最小值,画出示意图并写出求解过程. 【答案】(1)BCP,PCD,BCP, ;(2)2 ;(3)作图与求解过程见解析,2PA+PB的最小值为 . 【分析】(1)连结AD,过点A作AF⊥CB于点F,AP+ BP=AP+PD,要使AP+ BP最小,AP+AD最小,当 点A,P,D在同一条直线时,AP+AD最小,即可求解;(2)在AB上截取BF=2,连接PF,PC,AB=8,PB=4,BF=2,证明△ABP∽△PBF,当点F,点P,点C 三点共线时,AP+PC的值最小,即可求解; (3)延长OC,使CF=4,连接BF,OP,PF,过点F作FB⊥OD于点M,确定 ,且∠AOP= ∠AOP,△AOP∽△POF,当点F,点P,点B三点共线时,2AP+PB的值最小,即可求解. 【详解】解:(1)如图1, 连结AD,过点A作AF⊥CB于点F, ∵AP+ BP=AP+PD,要使AP+ BP最小, ∴AP+AD最小,当点A,P,D在同一条直线时,AP+AD最小,即:AP+ BP最小值为AD, ∵AC=9,AF⊥BC,∠ACB=60°∴CF=3,AF= ; ∴DF=CF﹣CD=3﹣1=2,∴AD= , ∴AP+ BP的最小值为 ;故答案为: ; (2)如图2,在AB上截取BF=2,连接PF,PC,∵AB=8,PB=4,BF=2, ∴ ,且∠ABP=∠ABP,∴△ABP∽△PBF, ∴ ,∴PF= AP,∴ AP+PC=PF+PC, ∴当点F,点P,点C三点共线时,AP+PC的值最小, ∴CF= , ∴ AP+PC的值最小值为2 ,故答案为:2 ; (3)如图3,延长OC,使CF=4,连接BF,OP,PF,过点F作FB⊥OD于点M, ∵OC=4,FC=4,∴FO=8,且OP=4,OA=2, ∴ ,且∠AOP=∠AOP∴△AOP∽△POF ∴ ,∴PF=2AP∴2PA+PB=PF+PB, ∴当点F,点P,点B三点共线时,2AP+PB的值最小, ∵∠COD=120°,∴∠FOM=60°,且FO=8,FM⊥OM ∴OM=4,FM=4 ,∴MB=OM+OB=4+3=7 ∴FB= ,∴2PA+PB的最小值为 . 【点睛】本题主要考查了圆的有关知识,勾股定理,相似三角形的判定和性质,解本题的关键是根据材料 中的思路构造出相似三角形..例6.(2022·湖北·九年级专题练习)(1)如图1,已知正方形 的边长为4,圆B的半径为2,点P 是圆B上的一个动点,求 的最小值, 的最小值, 的最大值. (2)如图2,已知正方形 的边长为9,圆B的半径为6,点P是圆B上的一个动点,求 的 最小值, 的最大值, 的最小值. (3)如图3,已知菱形 的边长为4, ,圆B的半径为2,点P是圆B上的一个动点,求 的最小值和 的最大值. 的最小值 【答案】见详解 【分析】(1)如图1中,在BC上取一点G,使得BG=1.由△PBG∽△CBP,推出 ,推出PG= PC,推出PD+ PC=DP+PG,由DP+PG≥DG,当D、G、P共线时,PD+ PC的值最小,最小值为DG= =5.由PD- PC=PD-PG≤DG,当点P在DG的延长线上时,PD- PC的值最大(如图2中),最大值 为DG=5;可以把 转化为4( ),这样只需求出 的最小值,问题即可 解决。 (2)如图3中,在BC上取一点G,使得BG=4.解法类似(1); (3)如图4中,在BC上取一点G,使得BG=4,作DF⊥BC于F.解法类似(1); 【详解】(1)如图1中,在BC上取一点G,使得BG=1.∴△PBG∽△CBP, ∵DP+PG≥DG,∴当D、G、P共线时, 的值最小,最小值为DG= =5. 当点P在DG的延长线上时, 的值最大(如图2中),最大值为DG=5. 如图,连接BD,在BD上取一点F,使得BF= ,作EF⊥BC ∵ ∴△PBF∽△PBD,∴PF= PD, ∴当C、F、P三点共线时会有FP+CP的最小值即 PD+PC,由图可知,△BEF为等腰直角三角形,∴BF= ,BE=EF= , ∴最小值为FC= = = ∴ 的最小值为: . (2)如图3中,在BC上取一点G,使得BG=4. ∴△PBG∽△CBP, ∵DP+PG≥DG,∴当D、G、P共线时, 的值最小,最小值为DG= = . 当点P在DG的延长线上时, 的值最大,最大值为DG= . (3)如图4中,在BC上取一点G,使得BG=1,作DF⊥BC于F. ∴△PBG∽△CBP,∵DP+PG≥DG,∴当D、G、P共线时, 的值最小,最小值为DG. 在Rt△CDF中,∠DCF=60°,CD=4,∴DF=CD•sin60°= ,CF=2, 在Rt△GDF中,DG= = PC=PD-PG≤DG, 当点P在DG的延长线上时, 的值最大(如图2中),最大值为DG= 【点睛】本题考查圆综合题、正方形的性质、菱形的性质、相似三角形的判定和性质、两点之间线段最短 等知识,解题的关键是学会构建相似三角形解决问题,学会用转化的思想思考问题,把问题转化为两点之 间线段最短解决,题目比较难,属于中考压轴题. 例7.(2022·广东·广州市九年级阶段练习)如图,在平面直角坐标系中,A(2,0),B(0,2),C(4,0), D(5,3),点P是第一象限内一动点,且 ,则4PD+2PC的最小值为_______. 【答案】 【分析】取一点 ,连接OP,PT,TD,首先利用四点共圆证明 ,再利用相似三角形的性质证 明 ,推出 ,根据 ,过点D作 交OC于 点E,即可求出DT的最小值,即可得. 【详解】解:如图所示,取一点 ,连接OP,PT,TD, ∵A(2,0),B(0,2),C(4,0),∴OA=OB=2,OC=4, 以O为圆心,OA为半径作 ,在优弧AB上取一点Q,连接QB,QA, ∵ , ,∴ , ∴A,P,B,Q四点共圆,∴ ,∵ , , ,∴ ,∴ , ∵ ,∴ ,∴ ,∴ , ∴ ,过点D作 交OC于点E, ∵D的坐标为(5,3),∴点E的坐标为(5,0),TE=4,∴ ∵ ,∴ ,∴ 的最小值是 ,故答案为: . 【点睛】本题考查了四点共圆,相似三角形,勾股定理,三角形三边关系,解题的关键是掌握这些知识点.课后专项训练 1.(2023·江苏苏州·苏州市二模)如图,在 中,点A、点 在 上, , ,点 在 上,且 ,点 是 的中点,点 是劣弧 上的动点,则 的最小值为 . 【答案】 【分析】延长 到 ,使得 ,连接 , ,利用相似三角形的性质证明 ,求 的最小值问题转化为求 的最小值.求出 即可判断. 【详解】解:延长 到 ,使得 ,连接 , . , , , , , , , , , , 又 在 中, , , , , , 的最小值为 ,故答案为: . 【点睛】本题考查了相似三角形的判定和性质,解直角三角形等知识,解题的关键是学会添加常用辅助线, 构造相似三角形解决问题.2.(2022·四川泸州·校考一模)如图, 为 的直径, ,点C与点D在 的同侧,且 , , , ,点P是 上的一动点,则 的最小值为 . 【答案】 【分析】连接 ,先利用勾股定理求得 , ,在 上截取 ,过 作 于 , 于 ,求得 , , ,进而求得 ,证明 求得 ,利用两点之间线段最短得到 ,当 共 线时取等号,即可求解. 【详解】解:连接 ,∵ 为 的直径, ,∴ , ∵在 中, ,∴ , , 在 上截取 ,过 作 于 , 于 ,连接 、 , ∴四边形 是矩形, , ∴ , ,∴ , 在 中, ,∵ , 是公共角,∴ , ∴ ,则 , ∴ ,当 共线时取等号, 故 的最小值为 ,故答案为: . 【点睛】本题考查等腰直角三角形的性质、勾股定理、圆的基本概念、相似三角形的判定与性质、两点之 间线段最短等知识,解答的关键是截取在 上截取 ,构造相似三角形求得 是关键. 3.(2023秋·浙江温州·九年级校考期末)如图,在边长为4的正方形ABCD内有一动点P,且BP= . 连接CP,将线段PC绕点P逆时针旋转90°得到线段PQ.连接CQ、DQ,则 DQ+CQ的最小值为 . 【答案】5 【分析】连接AC、AQ,先证明△BCP∽△ACQ得 即AQ=2,在AD上取AE=1,证明△QAE∽△DAQ得EQ= QD,故 DQ+CQ=EQ+CQ≥CE,求出CE即可. 【详解】解:如图,连接AC、AQ, ∵四边形ABCD是正方形,PC绕点P逆时针旋转90°得到线段PQ,∴∠ACB=∠PCQ=45°, ∴∠BCP=∠ACQ,cos∠ACB= ,cos∠PCQ= , ∴∠ACB=∠PCO,∴△BCP∽△ACQ,∴ ∵BP= ,∴AQ=2,∴Q在以A为圆心,AQ为半径的圆上,在AD上取AE=1, ∵ , ,∠QAE=∠DAQ, ∴△QAE∽△DAQ, ∴ 即EQ= QD,∴ DQ+CQ=EQ+CQ≥CE,连接CE, ∴ ,∴ DQ+CQ的最小值为5.故答案为:5. 【点睛】本题主要考查了正方形的性质,旋转的性质,相似三角形的性质与判定,三角函数,解题的关键 在于能够连接AC、AQ,证明两对相似三角形求解. 4.(2022·广东·九年级专题练习)如图,在△ABC中,∠ACB=90°,BC=12,AC=9,以点C为圆心,6为 半径的圆上有一个动点D.连接AD、BD、CD,则2AD+3BD的最小值是 .【答案】 【分析】如下图,在CA上取一点E,使得CE=4,先证△DCE∽△ACD,将 转化为DE,从而求得 的最小距离,进而得出2AD+3BD的最小值. 【详解】如下图,在CA上取一点E,使得CE=4 ∵AC=9,CD=6,CE=4 ∴ ∵∠ECD=∠ACD∴△DCE∽△ACD ∴ ∴ED= 在△EDB中,ED+DB≥EB ∴ED+DB最小为EB,即ED+DB=EB ∴ 在Rt△ECB中,EB= ∴ ∴2AD+3DB= 故答案为: . 【点睛】本题考查求最值问题,解题关键是构造出△DCE∽△ACD. 5.(2020·广西·中考真题)如图,在Rt 中,AB=AC=4,点E,F分别是AB,AC的中点,点P是 扇形AEF的 上任意一点,连接BP,CP,则 BP+CP的最小值是 .【答案】 . 【分析】在AB上取一点T,使得AT=1,连接PT,PA,CT.证明 ,推出 = = , 推出PT= PB,推出 PB+CP=CP+PT,根据PC+PT≥TC,求出CT即可解决问题. 【详解】解:在AB上取一点T,使得AT=1,连接PT,PA,CT. ∵PA=2.AT=1,AB=4,∴PA2= AT•AB,∴ = , ∵∠PAT=∠PAB,∴ ,∴ = = ,∴PT= PB,∴ PB+CP=CP+PT, ∵PC+PT≥TC,在Rt 中,∵∠CAT=90°,AT=1,AC=4, ∴CT= = ,∴ PB+PC≥ ,∴ PB+PC的最小值为 .故答案为 . 【点睛】本题考查等腰直角三角形的性质,三角形相似的判定与性质,勾股定理的应用,三角形的三边关 系,圆的基本性质,掌握以上知识是解题的关键. 6.(2023·江苏·九年级专题练习)如图,在 中, ,以点B为圆心作圆B与 相切,点P为圆B上任一动点,则 的最小值是 .【答案】 【分析】作BH⊥AC于H,取BC的中点D,连接PD,如图,根据切线的性质得BH为⊙B的半径,再根据 等腰直角三角形的性质得到BH AC ,接着证明△BPD∽△BCP得到PD PC,所以PA PC =PA+PD,而PA+PD≥AD(当且仅当A、P、D共线时取等号),从而计算出AD得到PA 的最小值. 【详解】解:作BH⊥AC于H,取BC的中点D,连接PD,如图, ∵AC为切线,∴BH为⊙B的半径, ∵∠ABC=90°,AB=CB=2,∴AC BA=2 ,∴BH AC ,∴BP , ∵ , ,而∠PBD=∠CBP,∴△BPD∽△BCP, ∴ ,∴PD PC,∴PA PC=PA+PD, 而PA+PD≥AD(当且仅当A、P、D共线时取等号),而AD , ∴PA+PD的最小值为 ,即PA 的最小值为 .故答案为: . 【点睛】本题考查了切线的性质:圆的切线垂直于经过切点的半径.解决问题的关键是利用相似比确定线段PD PC.也考查了等腰直角三角形的性质. 7.(2023·重庆·九年级专题练习)如图,已知正方形ABCD的边长为4,⊙B的半径为2,点P是⊙B上的 一个动点,则PD﹣ PC的最大值为 . 【答案】5 【详解】分析: 由PD− PC=PD−PG≤DG,当点P在DG的延长线上时,PD− PC的值最大,最大值为DG= 5. 详解: 在BC上取一点G,使得BG=1,如图, ∵ , ,∴ , ∵∠PBG=∠PBC,∴△PBG∽△CBP,∴ ,∴PG= PC, 当点P在DG的延长线上时,PD− PC的值最大,最大值为DG= =5.故答案为5点睛: 本题考查圆综合题、正方形的性质、相似三角形的判定和性质等知识,解题的关键是学会构建相似 三角形解决问题,学会用转化的思想思考问题,把问题转化为两点之间线段最短解决,题目比较难,属于 中考压轴题. 8.(2023·浙江·九年级专题练习)如图,正方形ABCD的边长为4,点E为边AD上一个动点,点F在边 CD上,且线段EF=4,点G为线段EF的中点,连接BG、CG,则BG+ CG的最小值为 . 【答案】5 【分析】因为DG= EF=2,所以G在以D为圆心,2为半径圆上运动,取DI=1,可证△GDI∽△CDG, 从而得出GI= CG,然后根据三角形三边关系,得出BI是其最小值 【详解】解:如图, 在Rt△DEF中,G是EF的中点,∴DG= ,∴点G在以D为圆心,2为半径的圆上运动, 在CD上截取DI=1,连接GI,∴ = = , ∴∠GDI=∠CDG,∴△GDI∽△CDG,∴ = , ∴IG= ,∴BG+ =BG+IG≥BI,∴当B、G、I共线时,BG+ CG最小=BI,在Rt△BCI中,CI=3,BC=4,∴BI=5,故答案是:5. 【点睛】本题考查了相似三角形的性质与判定,圆的概念,求得点 的运动轨迹是解题的关键. 9.如图,扇形 中, , , 是 的中点, 是 上一点, , 是 上 一动点,则 的最小值为 . 解:如图,延长 使 ,连接 , , , , , 分别是 , 的中点, , , , ,且 , , , 当点 ,点 ,点 三点共线时, 的值最小, , , 的最小值为13, 的值最小值为 .故答案为: .10.(2023·四川成都·九年级专题练习)在 中,AB=9,BC=8,∠ABC=60°,⊙A的半径为6,P是 上一动点,连接PB,PC,则 的最小值_____________ 的最小值_______ 【答案】 【分析】①连接AP,在AB上取点Q,使AQ=4,连接CQ,利用相似三角形的判定和性质得到 , 推出 ,当 三点共线时, 的值最小,最小值为 的长,再利用特殊角的三角函数值以及勾股定理即可求解; ②在AC上取点G,使AG= ,连接PG,BG,同①得到当 三点共线时, 的值最小,最小值为 的长,再利用特殊角的三角函数值以及勾股定理即可求解. 【详解】①连接AP,在AB上取点Q,使AQ=4,连接CQ, ∵⊙A的半径为6,即AP=6,∴ ,又 ,且 , ∴ ,∴ ,∴ , ∴ , 当 三点共线时, 的值最小,最小值为 的长,过C作CI⊥AB于I, ∴ ,在Rt CIB中,∵ ,BC=8, △ ,∴ ,∴ , ,在Rt CIQ中, , △ ∴ 的最小值为 ;故答案为: ; ②连接AP,由①得:在Rt CIA中, , △ 在AC上取点G,使AG= ,连接PG,BG,∴ ,∵ ,∴ , 且 ,∴ ,∴ ,∴ , ∴ , 当 三点共线时, 的值最小,最小值为 的长,过G作GH⊥AB于H, ∴ ,在Rt CIA中, , △ 在Rt GAH中, ,∴ ,∴ , △ ,在Rt GHB中, , △ ∴ 的最小值为 .故答案为: . 【点睛】本题是圆的综合题,主要考查了圆的有关知识,勾股定理,相似三角形的判定和性质,解直角三 角形,解本题的关键是构造出相似三角形,也是解本题的难点. 16.(2023·江苏扬州·校联考二模)请认真阅读下列材料: 如图①,给定一个以点O为圆心,r为半径的圆,设点A是不同于点O的任意一点,则点A的反演点定义 为射线 上一点 ,满足 . 显然点A也是点 的反演点.即点A与点 互为反演点,点O为反演中心,r称为反演半径.这种从点A到点 的变换或从点 到点A的变换称为反演变换. 例如:如图②,在平面直角坐标系中,点 ,以点O为圆心, 为半径的圆,交y轴的正半轴于点 B;C为线段 的中点,P是 上任意一点,点D的坐标为 ;若C关于 的反演点分别为 . (1)求点 的坐标;(2)连接 、 ,求 的最小值. 解:(1)由反演变换的定义知: ,其中 , . ∴ ,故点 的坐标为 ; (2)如图③,连接 、 ,由反演变换知 , 即 ,而 ,∴ . ∴ ,即 . ∴ .故 的最小值为13. 请根据上面的阅读材料,解决下列问题: 如图④,在平面直角坐标系中,点 ,以点O为圆心, 为半径画圆,交y轴的正半轴于点B,C为线段 的中点,P是 上任意一点,点D的坐标为 . (1)点D关于 的反演点 的坐标为________;(2)连接 、 ,求 的最小值; (3)如图⑤,以 为直径作 ,那么 上所有的点(点O除外)关于 的反演点组成的图形具有 的特征是__________________. 【答案】(1) ;(2)13;(3)过点A且与x轴垂直的一条直线 【分析】(1)根据反演变换的定义即可求出结论; (2)连接 ,根据相似三角形的判定定理证出 ,列出比例式即可求出 ,然 后代入所求关系式并根据两点之间线段最短即可求出结论; (3)在 上任取一点P,连接OP并延长至点P关于 的反演点 ,连接AP和 ,根据相似三角形 的判定定理证出 ,根据相似三角形的性质可得 ,然后根据直径所对的圆周 角是直角即可求出 =90°,从而得出结论. 【详解】解:(1)由反演变换的定义知: ,其中 , . ∴ ,∴点D关于 的反演点 的坐标为 故答案为: ; (2)连接 ,由反演变换知 ,即 ,而 , ∴ .∴ ,即 . ∴ .故 的最小值13. (3)在 上任取一点P,连接OP并延长至点P关于 的反演点 ,连接AP和 由反演变换知 ,即 ,而 , ∴ ,∴ ∵OA为 的直径∴ 90°∴ =90°∴ ⊥x轴 ∴ 上所有的点(点O除外)关于 的反演点组成的图形具有的特征是过点A且与x轴垂直的一条直 线 故答案为:过点A且与x轴垂直的一条直线. 【点睛】此题考查的是圆的综合题型和相似三角形的判定及性质,掌握直径所对的圆周角是直角、相似三 角形的判定及性质和反演变换的定义是解题关键. 17.(2023·江苏·九年级专题练习)如图1,在RT△ABC中,∠ACB=90°,CB=4,CA=6,圆C的半径为2,点P为圆上一动点,连接AP,BP,求: ① ,② ,③ ,④ 的最小值. 【答案】① ;② ;③ ;④ . 【分析】①在CB上取点D,使 ,连接CP、DP、AD.根据作图结合题意易证 ,即可 得出 ,从而推出 ,说明当A、P、D三点共线时, 最小,最小值即 为 长.最后在 中,利用勾股定理求出AD的长即可; ②由 ,即可求出结果;③在CA上取点E,使 ,连接CP、EP、BE.根据 作图结合题意易证 ,即可得出 ,从而推出 ,说明当B、P、E三点 共线时, 最小,最小值即为 长.最后在 中,利用勾股定理求出BE的长即可; ④由 ,即可求出结果. 【详解】解:①如图,在CB上取点D,使 ,连接CP、DP、AD. ∵ , , ,∴ .又∵ ,∴ ,∴ ,即 ,∴ , ∴当A、P、D三点共线时, 最小,最小值即为 长. ∵在 中, .∴ 的最小值为 ; ②∵ ,∴ 的最小值为 ; ③如图,在CA上取点E,使 ,连接CP、EP、BE. ∵ , , ,∴ . 又∵ ,∴ , ∴ ,即 ,∴ , ∴当B、P、E三点共线时, 最小,最小值即为 长. ∵在 中, .∴ 的最小值为 ; ④∵ ,∴ 的最小值为 . 【点睛】本题考查圆的基本性质,相似三角形的判定和性质,勾股定理.正确的作出辅助线,并且理解三 点共线时线段最短是解答本题的关键. 18.(2023·江苏·九年级专题练习)如图,Rt△ABC,∠ACB=90°,AC=BC=2,以C为顶点的正方形 CDEF(C、D、E、F四个顶点按逆时针方向排列)可以绕点C自由转动,且CD= ,连接AF,BD(1)求证:△BDC≌△AFC(2)当正方形CDEF有顶点在线段AB上时,直接写出BD+ AD的值; (3)直接写出正方形CDEF旋转过程中,BD+ AD的最小值. 【答案】(1)见解析;(2) 或 ;(3) 【分析】(1)利用SAS,即可证明△FCA≌△DCB;(2)分两种情况当点D,E在AB边上时和当点E,F 在边AB上时,讨论即可求解;(3)取AC的中点M.连接DM,BM.则CM=1,可证得 △DCM∽△ACD,可得DM= AD,从而得到当B,D,M共线时,BD+ AD的值最小,即可求解. 【详解】(1)证明: ∵四边形CDEF是正方形,∴CF=CD,∠DCF=∠ACB=90°,∴∠ACF= ∠DCB, ∵AC=CB,∴△FCA≌△DCB(SAS); (2)解:①如图2中,当点D,E在AB边上时, ∵AC=BC=2,∠ACB=90°,∴ ,∵CD⊥AB,∴AD=BD= ,∴BD+ AD= ; ②如图3中,当点E,F在边AB上时. BD=CF= ,AD= = , ∴BD+ AD= ,综上所述,BD+ AD的值 或 ; (3)如图4中.取AC的中点M.连接DM,BM.则CM=1, ∵CD= ,CM=1,CA=2,∴CD2=CM•CA,∴ = , ∵∠DCM=∠ACD,∴△DCM∽△ACD,∴ = = ,∴DM= AD,∴BD+ AD=BD+DM, ∴当B,D,M共线时,BD+ AD的值最小,最小值 .【点睛】本题主要考查了相似三角形的判定和性质,全等三角形的判定和性质,正方形的性质,锐角三角 函数,熟练掌握相关知识点是解题的关键. 19.(2022·广东·统考二模)(1)初步研究:如图1,在 PAB中,已知PA=2,AB=4,Q为AB上一点且 AQ=1,证明:PB=2PQ;(2)结论运用:如图2,已知正△方形ABCD的边长为4,⊙A的半径为2,点P是 ⊙A上的一个动点,求2PC+PB的最小值;(3)拓展推广:如图3,已知菱形ABCD的边长为4, ∠A=60°,⊙A的半径为2,点P是⊙A上的一个动点,求2PC−PB的最大值. 【答案】(1)见解析;(2)10;(3) 【分析】(1)证明 PAQ∽ BAP,根据相似三角形的性质即可证明PB=2PQ; (2)在AB上取一点△Q,使△得AQ=1,由(1)得PB=2PQ,推出当点C、P、Q三点共线时,PC+PQ的值 最小,再利用勾股定理即可求得2PC+PB的最小值; (3)作出如图的辅助线,同(2)法推出当点P在CQ交⊙A的点P′时,PC−PQ的值最大,再利用勾股定 理即可求得2PC−PB的最大值. 【详解】解:(1)证明:∵PA=2,AB=4,AQ=1,∴PA2=AQAB=4.∴ . ⋅ 又∵∠A=∠A,∴ PAQ∽ BAP.∴ .∴PB=2PQ; △ △ (2)如图,在AB上取一点Q,使得AQ=1,连接AP,PQ,CQ. ∴AP=2,AB=4,AQ=1.由(1)得PB=2PQ,∴2PC+PB=2PC+2PQ=2(PC+PQ). ∵PC+PQ≥QC,∴当点C、P、Q三点共线时,PC+PQ的值最小. ∵QC= =5,∴2PC+PB=2(PC+PQ)≥10.∴2PC+PB的最小值为10.(3)如图,在AB上取一点Q,使得AQ=1,连接AP,PQ,CQ,延长CQ交⊙A于点P′,过点C作CH垂 直AB的延长线于点H.易得AP=2,AB=4,AQ=1. 由(1)得PB=2PQ,∴2PC−PB=2PC−2PQ=2(PC−PQ) , ∵PC−PQ≤QC,∴当点P在CQ交⊙A的点P′时,PC−PQ的值最大. ∵QC= = ,∴2PC−PB=2(PC−PQ)≤2 .∴2PC−PB的最大值为2 . 【点睛】本题考查了圆有关的性质,正方形的性质,菱形的性质,相似三角形的判定和性质、两点之间线 段最短等知识,解题的关键是学会构建相似三角形解决问题,学会用转化的思想思考问题,把问题转化为 两点之间线段最短解决.