当前位置:首页>文档>人教版八年级上册数学期末押题检测卷(教师版)_初中数学_八年级数学上册(人教版)_重难点专题提优-V8_2024版

人教版八年级上册数学期末押题检测卷(教师版)_初中数学_八年级数学上册(人教版)_重难点专题提优-V8_2024版

  • 2026-04-02 16:10:43 2026-03-26 00:38:08

文档预览

人教版八年级上册数学期末押题检测卷(教师版)_初中数学_八年级数学上册(人教版)_重难点专题提优-V8_2024版
人教版八年级上册数学期末押题检测卷(教师版)_初中数学_八年级数学上册(人教版)_重难点专题提优-V8_2024版
人教版八年级上册数学期末押题检测卷(教师版)_初中数学_八年级数学上册(人教版)_重难点专题提优-V8_2024版
人教版八年级上册数学期末押题检测卷(教师版)_初中数学_八年级数学上册(人教版)_重难点专题提优-V8_2024版
人教版八年级上册数学期末押题检测卷(教师版)_初中数学_八年级数学上册(人教版)_重难点专题提优-V8_2024版
人教版八年级上册数学期末押题检测卷(教师版)_初中数学_八年级数学上册(人教版)_重难点专题提优-V8_2024版
人教版八年级上册数学期末押题检测卷(教师版)_初中数学_八年级数学上册(人教版)_重难点专题提优-V8_2024版
人教版八年级上册数学期末押题检测卷(教师版)_初中数学_八年级数学上册(人教版)_重难点专题提优-V8_2024版
人教版八年级上册数学期末押题检测卷(教师版)_初中数学_八年级数学上册(人教版)_重难点专题提优-V8_2024版
人教版八年级上册数学期末押题检测卷(教师版)_初中数学_八年级数学上册(人教版)_重难点专题提优-V8_2024版
人教版八年级上册数学期末押题检测卷(教师版)_初中数学_八年级数学上册(人教版)_重难点专题提优-V8_2024版
人教版八年级上册数学期末押题检测卷(教师版)_初中数学_八年级数学上册(人教版)_重难点专题提优-V8_2024版
人教版八年级上册数学期末押题检测卷(教师版)_初中数学_八年级数学上册(人教版)_重难点专题提优-V8_2024版
人教版八年级上册数学期末押题检测卷(教师版)_初中数学_八年级数学上册(人教版)_重难点专题提优-V8_2024版
人教版八年级上册数学期末押题检测卷(教师版)_初中数学_八年级数学上册(人教版)_重难点专题提优-V8_2024版
人教版八年级上册数学期末押题检测卷(教师版)_初中数学_八年级数学上册(人教版)_重难点专题提优-V8_2024版
人教版八年级上册数学期末押题检测卷(教师版)_初中数学_八年级数学上册(人教版)_重难点专题提优-V8_2024版
人教版八年级上册数学期末押题检测卷(教师版)_初中数学_八年级数学上册(人教版)_重难点专题提优-V8_2024版
人教版八年级上册数学期末押题检测卷(教师版)_初中数学_八年级数学上册(人教版)_重难点专题提优-V8_2024版
人教版八年级上册数学期末押题检测卷(教师版)_初中数学_八年级数学上册(人教版)_重难点专题提优-V8_2024版
人教版八年级上册数学期末押题检测卷(教师版)_初中数学_八年级数学上册(人教版)_重难点专题提优-V8_2024版

文档信息

文档格式
docx
文档大小
2.861 MB
文档页数
21 页
上传时间
2026-03-26 00:38:08

文档内容

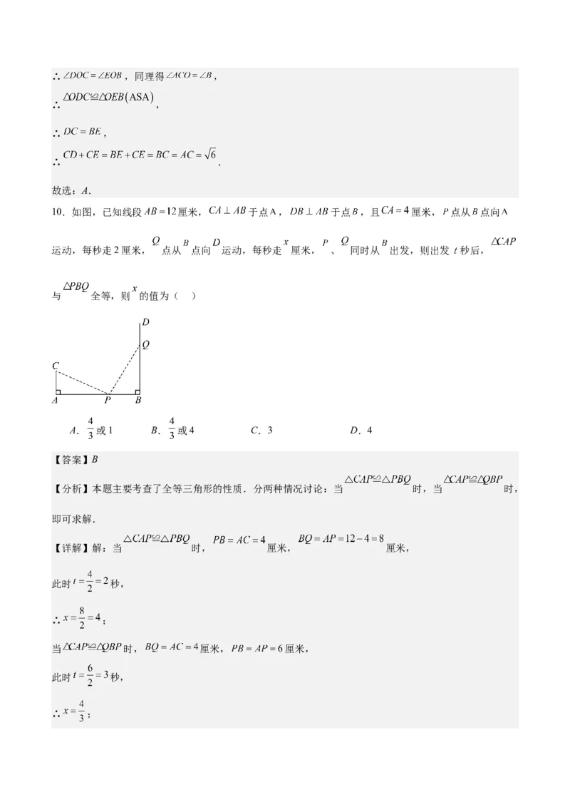
人教版八年级上册数学期末押题检测卷 班级___________ 姓名___________ 学号____________ 分数____________ 考试范围:全册的内容; 考试时间:120分钟; 总分:120分 一、选择题(本大题共10小题,每小题3分,共30分) 1.下列式子是分式的是( ) A. B. C. D. 【答案】D 【分析】本题考查了分式的判断,根据分式的定义,一般地,如果 、 ( 不等于零)表示两个整式, 且 中含有字母,那么式子 就叫做分式,其中 称为分子, 称为分母,逐项分析判断即可求解,掌握 分式的定义是解题的关键. 【详解】 、 是整式,不是分式,不符合题意; 、 是整式,不是分式,不符合题意; 、 是整式,不是分式,不符合题意; 、 是分式,符合题意; 故选: . 2.若一个三角形的两边长分别为2和4,则第三边长可以是( ) A.2 B.5 C.6 D.7 【答案】B 【分析】本题考查了三角形的三边关系,根据在三角形中任意两边之和 第三边,任意两边之差 第三边 求出第三边长的范围,即可得到答案.解题的关键熟练根据三角形的三边关系求得第三边的取值范围. 【详解】解:设第三边长为x, 由三角形三边关系定理得 ,即 . 2,5,6,7,只有5满足不等式. 故选:B. 3.下列运算正确的是( ) A. B. C. D.【答案】B 【分析】本题考查的是合并同类项,同底数幂的乘法,积的乘方运算,完全平方公式的应用,再逐一分析 各选项即可,掌握基础的运算法则与公式是解本题的关键. 【详解】解: , 不是同类项,故A不符合题意; ,运算正确,故B符合题意; ,故C不符合题意; ,故D不符合题意; 故选B 4.下列因式分解结果正确的是( ) A. B. C. D. 【答案】C 【分析】本题考查了因式分解,熟练掌握因式分解的方法是解答本题的关键. 按照因式分解的方法,分析每一个选项,得到只有 选项符合题意,由此选出答案. 【详解】 、 ,故本选项不符合题意; 、 ,故本选项不符合题意; 、 ,故本选项符合题意; 、 无法利用完全平方公式因式分解,故本选项不符合题意, 故选: . 5.下列图形中,是轴对称图形的是( ) A. B. C. D. 【答案】D 【分析】本题考查的是轴对称图形的识别,根据轴对称图形定义,逐个进行判断即可.轴对称图形:一个图形沿一条直线折叠,直线两旁的部分能够完全重合的图形. 【详解】解:选项A、B、C均不能找到这样的一条直线,使直线两旁的部分能够完全重合的图形,所以不 是轴对称图形; 选项D能找到这样的一条直线,使直线两旁的部分能够完全重合的图形,所以是轴对称图形; 故选:D. 6.如图,小明从O点出发,前进40米后向右转 ,再前进40米后又向右转 ,…,这样一直走下去, 他第一次回到出发点O时一共走( ) A.360米 B.480米 C.540米 D.600米 【答案】B 【分析】本题考查了正多边形外角和的应用,解题的关键是理解得到小明所走的图形是多边形,正多边形 外角和是 . 【详解】解:由题意可得,图形是一个正多边形, 每次前进40米后向右转 , ,即图形是正12多边形, (米), 他第一次回到出发点O时一共走480米, 故选:B. 7.如图,电信部门要在 区修建一座电视信号发射塔.按照设计要求,发射塔到两个城镇 , 的距离必 须相等,到两条高速公路 和 的距离也必须相等.发射塔应该修建在( ) A. 的平分线和线段 的交点处 B. 的平分线和线段 的垂直平分线的交点处C. 的平分线和线段 的交点处 D. 的平分线和线段 的垂直平分线的交点处 【答案】B 【分析】本题考查了角平分线的性质与垂直平分线的性质,根据题意可得发射塔必须建在线段 的垂直 平分线上,且在 的平分线上,即可求解. 【详解】解:要两个城镇 , 的距离,发射塔必须建在线段 的垂直平分线上,要到两条高速公路 和 的距离相等需要建在 的平分线上, ∴发射塔应该修建在 的平分线和线段 的垂直平分线的交点处. 答案:B. 8.关于 的分式方程 无解,则 的取值是( ) A.4 B.0或 C. 或4 D.0或 或4 【答案】C 【分析】本题考查了分式方程无解问题,分式方程无解的条件是:去分母后所得整式方程无解,或解这个 整式方程得到的解使原方程的分母等于0. 将方程去分母,整理得 .分两种情况讨论:①若 ,则该整式方程无解,原分式方程 无解,可求得此时 ;②若 ,则整式方程的解为 ,根据原分式方程无解,得到当 时, ,从而求得 .综合即可解答. 【详解】 , 方程两边同乘 ,得 , 整理,得 , ①若 ,则该整式方程无解,原分式方程无解, 此时 ; ②若 ,则整式方程的解为: , ∵原分式方程无解,∴当 时, , 即 , ∴ 或 , 解得: , 综上所述,a的值为4或 . 故选:C 9.如图,在等腰直角三角形 中, ,O是 的中点,且 ,将一块直角三角板的直 角顶点放在点O处,始终保持该直角三角板的两直角边分别与 , 相交,交点分别为点D,E,则 等于( ) A. B.2 C. D. 【答案】A 【分析】本题主要考查了全等三角形的判定和性质,等腰直角三角形的判定和性质,解题的关键是作出辅 助线,构造全等三角形.连接 ,根据 证明 ,得出 ,即可得出答案. 【详解】解:连接 ,如图所示: ∵等腰直角 中, ,点O是 的中点, ∴ , 平分 , ∴ , ∵ , ,∴ ,同理得 , ∴ , ∴ , ∴ . 故选:A. 10.如图,已知线段 厘米, 于点 , 于点 ,且 厘米, 点从 点向 运动,每秒走2厘米, 点从 点向 运动,每秒走 厘米, 、 同时从 出发,则出发t秒后, 与 全等,则 的值为( ) A. 或1 B. 或4 C.3 D.4 【答案】B 【分析】本题主要考查了全等三角形的性质.分两种情况讨论:当 时,当 时, 即可求解. 【详解】解:当 时, 厘米, 厘米, 此时 秒, ∴ ; 当 时, 厘米, 厘米, 此时 秒, ∴ ;综上所述, 的值为 或4. 故选:B 二、填空题(本大题共6小题,每小题3分,共18分) 11. . 【答案】 / 【分析】该题主要考查了整式乘法,掌握整式乘法运算法则是解题的关键; 根据单项式乘单项式法则计算即可; 【详解】解: 故答案为: . 12.如图,已知 ,要使 ,只需增加的一个条件是 (图形中不再增加其他字 母). 【答案】 或 【分析】本题考查三角形全等的判定方法;要使 ,根据三角形全等的判定方法添加适合的 条件即可. 【详解】解: , , 可添加 或 分别利用 , 判定 . 故答案为: (或 . 13.一种纳米材料的厚度是0.000000052米,数据0.000000052用科学记数法表示为 . 【答案】 【分析】本题考查用科学记数法表示较小的数,一般形式为 ,其中 为由原数左边起第 一个不为零的数字前面的0的个数所决定,由此即可得出答案. 【详解】解: . 故答案为: . 14.如图,在 中, ,点 是 延长线上一点,过点 作 ,若 ,则的度数为 【答案】 【分析】本题考查了平行线的性质以及三角形的外角性质.由 ,利用“两直线平行,内错角相 等”,再利用三角形的外角性质,即可求出 的度数. 【详解】解:∵ , ∴ . 是 的外角, , ∴ . 故答案为: . 15.若分式 的值为 ,则 的值是 . 【答案】1 【分析】本题考查的是分式的值为零的条件,熟记分式值为零的条件是分子等于零且分母不等于零是解题 的关键.根据分式的值为 ,分式的分子为 ,分母不能为 即可求解. 【详解】解:由题意得: 且 , 解得: 且 . ∴ 故答案为: . 16.如图,在 中, , .点D在边 上运动(D不与B,C重合),连接 ,作 ,使 交边 于点E.在点D的运动过程中,当 是等腰三角形时, . 【答案】 或 # 或【分析】本题考查了等腰三角形的定义,分三种情况计算是解题的关键. 【详解】解:∵ , . ∴ , . ∵ 为等腰三角形且 , ①当 时, ∴ , , ∵ , ∴ , 此时点D与点B重合,这与已知D不与B点重合矛盾, ∴ 不成立; ②当 时, ∴ , ∴ ; ③当 时, ∴ , ∴ . 故答案为: 或 . 三、(本大题共4小题,每小题6分,共24分) 17.计算: . 【答案】 【分析】本题主要考查了实数混合运算,解题的关键是熟练掌握负整数指数幂和零指数幂运算法则,准确 计算. 【详解】解: .18.先化简: ,然后x在1,2,3中选一个你认为合适的数代入求值. 【答案】 ,8 【分析】本题主要考查分式的化简求值,平方差公式,分式有意义的条件.正确化简分式是解题的关键. 先通分,利用平方差公式运算,然后进行除法运算可得化简结果,根据分式有意义的条件可得 ,然后 代值求解即可. 【详解】解: ; ∵ , ∴ , 将 代入,原式 . 19.2023年,我国已成为全球最大的电动汽车市场,电动汽车在保障能源安全,改善空气质量等方面较传 统汽车都有明显的优势.经过对某种电动汽车和某款燃油车的对比发现,电动汽车平均每公里的充电费比 燃油车平均每公里的加油费少0.8元.若充电费和加油费均为300元时,电动汽车可行驶的总路程是燃油 车的5倍,求这款电动汽车平均每公里的充电费. 【答案】这款电动汽车平均每公里的充电费用为0.2元 【分析】本题主要考查分式方程的应用,设这款电动汽车平均每公里的充电费用为x元,由题意:若充电 费和加油费均为300元时,电动汽车可行驶的总路程是燃油车的5倍,列出分式方程,解方程即可. 【详解】解:设这款电动汽车平均每公里的充电费用为x元,则燃油车平均每公里的加油费为 元, 根据题意,得: , 解得: , 经检验, 是原方程的解,且符合题意, 答:这款电动汽车平均每公里的充电费用为0.2元. 20.在一个三角形中,如果一个内角是另一个内角的4倍,这样的三角形我们称之为“四倍角三角形”. 例如,三个内角分别为 的三角形是“四倍角三角形”.(1)在 中, , , 是“四倍角三角形”吗?为什么? (2)若是 是“四倍角三角形”,且 ,求 中最小内角的度数. 【答案】(1) 是“四倍角三角形”;理由见解析; (2) 或 . 【分析】本题是新定义问题,考查了三角形内角和定理. (1)由三角形内角和可求第3个内角为 ,由“四倍角三角形”定义可求解; (2)分两种情况讨论,由“四倍角三角形”定义可求解. 【详解】(1)解: 是“四倍角三角形”.理由: ∵ , , ∴ , ∴ 是“四倍角三角形”; (2)解:∵ , , 设最小的角为 , 当 时, ; 当 时, , ∴ 中最小内角为 或 . 四、(本大题共3小题,每小题8分,共24分) 21.如图, 的角平分线与 的垂直平分线相交于点D, , ,,垂足分别为E、 F. (1)求证: ; (2)若 ,则 的周长 ______. 【答案】(1)证明见解析 (2) 【分析】本题考查了线段垂直平分线的性质,角平分线的性质,全等三角形的判定和性质,熟知角平分线 上的点到角两边的距离相等,线段垂直平分线上的点到相等两端的距离相等是解题的关键.(1)连接 ,根据线段垂直平分线的性质和角平分线性质得出 , ,证明 ,即可得出结论; (2)证明 ,可得 ,然后求出 的周长为 ,计算即可. 【详解】(1)证明:连接 , ∵D在 的中垂线上, ∴ , ∵ , , 平分 , ∴ , , ∴ , ∴ ; (2)解:∵ 平分 , ∴ , ∵ , , ∴ , 又∵ , ∴ , ∴ , 由(1)可知 , ∴ 的周长为: , 故答案为: .22.如图,在 中, , , 平分 ,D为 的中点,且 ,E为 BC延长线上一点,且 . (1)求ME的长; (2)求证: 是等腰三角形. 【答案】(1)6 (2)见解析 【分析】(1)根据等腰三角形的性质可得 ,再根据线段的和差即可解答; (2)根据等腰三角形的性质可得 ,再根据直角三角形的性质可得 ,过点D作 ,则有 ;再说明D在线段 的垂直平分线上即可解答. 【详解】(1)解:∵ ,AM平分 , ∴ , ∴ . (2)证明:∵ , 平分 , ∴ , ∵D为 的中点, ∴ ,过点D作 ,则有 , 又∵ , ∴ , ∴D在线段 的垂直平分线上, ∴ ,即 是等腰三角形. 【点睛】本题主要考查了等腰三角形的性质、直角三角形的性质、垂直平分线的性质等知识点,掌握等腰 三角形三线合一以及直角三角形斜边上的中线是斜边的一半成为解题的关键. 23.定义:若分式 与分式 的差等于它们的积,即 ,则称分式 是分式 的“关联分 式”.如 与 ,因为 , ,所以 是 的 “关联分式”. (1)分式 __________分式 的“关联分式”(填“是”或“不是”); (2)小明在求分式 的“关联分式”时,用了以下方法: 设 的“关联分式”为 ,则 , , .请你仿照小明的方法求分式 的“关联分式”. (3)①观察(1)、(2)的结果,寻找规律,直接写出分式 的“关联分式”:__________. ②用发现的规律解决问题:若 是 “关联分式”,求实数 , 的值. 【答案】(1)是 (2)(3)① ;② . 【分析】(1)根据关联分式的定义进行判断; (2)仿照题目中给到的方法进行求解; (3)①根据(1)(2)找规律求解; ②由①推出的结论,类比形式求解即可. 【详解】(1)解:∵ , , ∴ 是 的“关联分式” 故答案为:是; (2)解:设 的“关联分式”为 ,则 , ∴ ,即 , ∴ ; (3)解:①设 的“关联分式”为 ,则 , ∴ , ∴ . 故答案为: ; ②由题意,可得 , 整理得 ,解得 . 【点睛】本题是创新探究类题目,读懂题目中的新定义并熟练地掌握分式的混合运算是解决本题的关键. 五、(本大题共2小题,每小题12分,共24分) 24.现有长与宽分别为a、b的小长方形若干个,用两个这样的小长方形拼成如图1的图形,用四个相同的 小长方形拼成图2的图形,请认真观察图形,解答下列问题: (1)根据图中条件,请写出图1和图2所验证的关于a、b的关系式: 图1表示:_______________________________; 图2表示:_______________________________; 根据上面的解题思路与方法,解决下列问题: (2)若 , ,求 的值; (3)请直接写出下列问题答案: ①若 , ,则 ________; ②若 ,则 ________. (4)如图3,点 是线段 上的一点,以 , 为边向两边作正方形,设 ,两正方形的面积和 ,求图中阴影部分面积. 【答案】(1) ; (2)12 (3)① ;②13(4) 【分析】本题考查了完全平方公式的几何背景及完全平方公式的应用,解题的关键熟练掌握完全平方公式, 并进行灵活运用. (1)由图1可知,大正方形的面积等于两个小正方形的面积加上两个长方形的面积可得;由图2可知,大 正方形的面积等于小正方形的面积加上4个长方形的面积可得; (2)把 两边平方后,再代入 ,即可求出 的值; (3)①根据 将原式变形求解即可; ②根据 将原式变形求解即可; (4)设 , ,得 ,把 变形为 ,再代入求值即可 【详解】(1)图1表示为: ; 图2表示为: ; (2)∵ ∴ ∵ ∴ ∴ ; (3)①由图2知, 则 ∴ ∵∴ ∴ ∴ ; ②∵ ,即 设 , ∵ , ∴ , ∴ ; (4)设 , ∵ ∴ ∴ ∴ ∴ ∴ . 25.为了进一步探究三角形中线的作用,数学兴趣小组合作交流时,小红在组内做了如下尝试:如图①, 在 中, 是 边上的中线,延长 到 ,使 ,连接 . 【探究发现】 (1)如图①, 与 的数量关系是 ,位置关系是 ; 【初步应用】 (2)如图②,在 中,若 , ,求 边上的中线 的取值范围; 【探究提升】 (3)如图③, 是 的中线,过点 分别向外作 、 ,使得 , , 延长 交 于点 ,判断线段 与 的数量关系和位置关系,请说明理由.【答案】(1) , ,(2) ;(3) , ,理由见解析 【分析】(1)证 ,得 , ,再由平行线的判定即可得出 ; (2)延长 到 ,使 ,连接 ,由(1)可知, ,得 ,再 由三角形的三边关系即可得出结论; (3)延长 到 ,使得 ,连接 ,由(1)可知, ,得 ,再 证 ,得 , ,则 ,然后由三角形的外角性质证出 ,即可得出结论. 【详解】解:(1) 是 的中线, , 在 和 中, , , , , , (2)如图2,延长 到 ,使 ,连接 ,由(1)可知, , , 在 中, , , 即 , , 即 边上的中线 的取值范围为 ; (3) , ,理由如下: 如图3,延长 到 ,使得 ,连接 , 由(1)可知, , , , , 由(2)可知, , , 、 , ,, , 在 和 中, , , , , , , , , , . 【点睛】本题是三角形综合题,考查了全等三角形的判定与性质、倍长中线法、三角形的三边关系、平行 线的判定与性质以及三角形的外角性质,添加辅助线.