当前位置:首页>文档>第55讲二项分布、超几何分布与正态分布(精讲)一轮复习讲义2024年高考数学高频考点题型归纳与方法总结(新高考通用)解析版_2.2025数学总复习_2024年新高考资料_1.2024一轮复习

第55讲二项分布、超几何分布与正态分布(精讲)一轮复习讲义2024年高考数学高频考点题型归纳与方法总结(新高考通用)解析版_2.2025数学总复习_2024年新高考资料_1.2024一轮复习

  • 2026-04-08 07:21:01 2026-03-26 05:29:13

文档预览

第55讲二项分布、超几何分布与正态分布(精讲)一轮复习讲义2024年高考数学高频考点题型归纳与方法总结(新高考通用)解析版_2.2025数学总复习_2024年新高考资料_1.2024一轮复习
第55讲二项分布、超几何分布与正态分布(精讲)一轮复习讲义2024年高考数学高频考点题型归纳与方法总结(新高考通用)解析版_2.2025数学总复习_2024年新高考资料_1.2024一轮复习
第55讲二项分布、超几何分布与正态分布(精讲)一轮复习讲义2024年高考数学高频考点题型归纳与方法总结(新高考通用)解析版_2.2025数学总复习_2024年新高考资料_1.2024一轮复习
第55讲二项分布、超几何分布与正态分布(精讲)一轮复习讲义2024年高考数学高频考点题型归纳与方法总结(新高考通用)解析版_2.2025数学总复习_2024年新高考资料_1.2024一轮复习
第55讲二项分布、超几何分布与正态分布(精讲)一轮复习讲义2024年高考数学高频考点题型归纳与方法总结(新高考通用)解析版_2.2025数学总复习_2024年新高考资料_1.2024一轮复习
第55讲二项分布、超几何分布与正态分布(精讲)一轮复习讲义2024年高考数学高频考点题型归纳与方法总结(新高考通用)解析版_2.2025数学总复习_2024年新高考资料_1.2024一轮复习
第55讲二项分布、超几何分布与正态分布(精讲)一轮复习讲义2024年高考数学高频考点题型归纳与方法总结(新高考通用)解析版_2.2025数学总复习_2024年新高考资料_1.2024一轮复习
第55讲二项分布、超几何分布与正态分布(精讲)一轮复习讲义2024年高考数学高频考点题型归纳与方法总结(新高考通用)解析版_2.2025数学总复习_2024年新高考资料_1.2024一轮复习
第55讲二项分布、超几何分布与正态分布(精讲)一轮复习讲义2024年高考数学高频考点题型归纳与方法总结(新高考通用)解析版_2.2025数学总复习_2024年新高考资料_1.2024一轮复习
第55讲二项分布、超几何分布与正态分布(精讲)一轮复习讲义2024年高考数学高频考点题型归纳与方法总结(新高考通用)解析版_2.2025数学总复习_2024年新高考资料_1.2024一轮复习
第55讲二项分布、超几何分布与正态分布(精讲)一轮复习讲义2024年高考数学高频考点题型归纳与方法总结(新高考通用)解析版_2.2025数学总复习_2024年新高考资料_1.2024一轮复习
第55讲二项分布、超几何分布与正态分布(精讲)一轮复习讲义2024年高考数学高频考点题型归纳与方法总结(新高考通用)解析版_2.2025数学总复习_2024年新高考资料_1.2024一轮复习
第55讲二项分布、超几何分布与正态分布(精讲)一轮复习讲义2024年高考数学高频考点题型归纳与方法总结(新高考通用)解析版_2.2025数学总复习_2024年新高考资料_1.2024一轮复习
第55讲二项分布、超几何分布与正态分布(精讲)一轮复习讲义2024年高考数学高频考点题型归纳与方法总结(新高考通用)解析版_2.2025数学总复习_2024年新高考资料_1.2024一轮复习
第55讲二项分布、超几何分布与正态分布(精讲)一轮复习讲义2024年高考数学高频考点题型归纳与方法总结(新高考通用)解析版_2.2025数学总复习_2024年新高考资料_1.2024一轮复习
第55讲二项分布、超几何分布与正态分布(精讲)一轮复习讲义2024年高考数学高频考点题型归纳与方法总结(新高考通用)解析版_2.2025数学总复习_2024年新高考资料_1.2024一轮复习
第55讲二项分布、超几何分布与正态分布(精讲)一轮复习讲义2024年高考数学高频考点题型归纳与方法总结(新高考通用)解析版_2.2025数学总复习_2024年新高考资料_1.2024一轮复习
第55讲二项分布、超几何分布与正态分布(精讲)一轮复习讲义2024年高考数学高频考点题型归纳与方法总结(新高考通用)解析版_2.2025数学总复习_2024年新高考资料_1.2024一轮复习
第55讲二项分布、超几何分布与正态分布(精讲)一轮复习讲义2024年高考数学高频考点题型归纳与方法总结(新高考通用)解析版_2.2025数学总复习_2024年新高考资料_1.2024一轮复习
第55讲二项分布、超几何分布与正态分布(精讲)一轮复习讲义2024年高考数学高频考点题型归纳与方法总结(新高考通用)解析版_2.2025数学总复习_2024年新高考资料_1.2024一轮复习
第55讲二项分布、超几何分布与正态分布(精讲)一轮复习讲义2024年高考数学高频考点题型归纳与方法总结(新高考通用)解析版_2.2025数学总复习_2024年新高考资料_1.2024一轮复习
第55讲二项分布、超几何分布与正态分布(精讲)一轮复习讲义2024年高考数学高频考点题型归纳与方法总结(新高考通用)解析版_2.2025数学总复习_2024年新高考资料_1.2024一轮复习
第55讲二项分布、超几何分布与正态分布(精讲)一轮复习讲义2024年高考数学高频考点题型归纳与方法总结(新高考通用)解析版_2.2025数学总复习_2024年新高考资料_1.2024一轮复习
第55讲二项分布、超几何分布与正态分布(精讲)一轮复习讲义2024年高考数学高频考点题型归纳与方法总结(新高考通用)解析版_2.2025数学总复习_2024年新高考资料_1.2024一轮复习
第55讲二项分布、超几何分布与正态分布(精讲)一轮复习讲义2024年高考数学高频考点题型归纳与方法总结(新高考通用)解析版_2.2025数学总复习_2024年新高考资料_1.2024一轮复习
第55讲二项分布、超几何分布与正态分布(精讲)一轮复习讲义2024年高考数学高频考点题型归纳与方法总结(新高考通用)解析版_2.2025数学总复习_2024年新高考资料_1.2024一轮复习
第55讲二项分布、超几何分布与正态分布(精讲)一轮复习讲义2024年高考数学高频考点题型归纳与方法总结(新高考通用)解析版_2.2025数学总复习_2024年新高考资料_1.2024一轮复习
第55讲二项分布、超几何分布与正态分布(精讲)一轮复习讲义2024年高考数学高频考点题型归纳与方法总结(新高考通用)解析版_2.2025数学总复习_2024年新高考资料_1.2024一轮复习
第55讲二项分布、超几何分布与正态分布(精讲)一轮复习讲义2024年高考数学高频考点题型归纳与方法总结(新高考通用)解析版_2.2025数学总复习_2024年新高考资料_1.2024一轮复习
第55讲二项分布、超几何分布与正态分布(精讲)一轮复习讲义2024年高考数学高频考点题型归纳与方法总结(新高考通用)解析版_2.2025数学总复习_2024年新高考资料_1.2024一轮复习
第55讲二项分布、超几何分布与正态分布(精讲)一轮复习讲义2024年高考数学高频考点题型归纳与方法总结(新高考通用)解析版_2.2025数学总复习_2024年新高考资料_1.2024一轮复习
第55讲二项分布、超几何分布与正态分布(精讲)一轮复习讲义2024年高考数学高频考点题型归纳与方法总结(新高考通用)解析版_2.2025数学总复习_2024年新高考资料_1.2024一轮复习
第55讲二项分布、超几何分布与正态分布(精讲)一轮复习讲义2024年高考数学高频考点题型归纳与方法总结(新高考通用)解析版_2.2025数学总复习_2024年新高考资料_1.2024一轮复习
第55讲二项分布、超几何分布与正态分布(精讲)一轮复习讲义2024年高考数学高频考点题型归纳与方法总结(新高考通用)解析版_2.2025数学总复习_2024年新高考资料_1.2024一轮复习
第55讲二项分布、超几何分布与正态分布(精讲)一轮复习讲义2024年高考数学高频考点题型归纳与方法总结(新高考通用)解析版_2.2025数学总复习_2024年新高考资料_1.2024一轮复习
第55讲二项分布、超几何分布与正态分布(精讲)一轮复习讲义2024年高考数学高频考点题型归纳与方法总结(新高考通用)解析版_2.2025数学总复习_2024年新高考资料_1.2024一轮复习
第55讲二项分布、超几何分布与正态分布(精讲)一轮复习讲义2024年高考数学高频考点题型归纳与方法总结(新高考通用)解析版_2.2025数学总复习_2024年新高考资料_1.2024一轮复习
第55讲二项分布、超几何分布与正态分布(精讲)一轮复习讲义2024年高考数学高频考点题型归纳与方法总结(新高考通用)解析版_2.2025数学总复习_2024年新高考资料_1.2024一轮复习
第55讲二项分布、超几何分布与正态分布(精讲)一轮复习讲义2024年高考数学高频考点题型归纳与方法总结(新高考通用)解析版_2.2025数学总复习_2024年新高考资料_1.2024一轮复习
第55讲二项分布、超几何分布与正态分布(精讲)一轮复习讲义2024年高考数学高频考点题型归纳与方法总结(新高考通用)解析版_2.2025数学总复习_2024年新高考资料_1.2024一轮复习
第55讲二项分布、超几何分布与正态分布(精讲)一轮复习讲义2024年高考数学高频考点题型归纳与方法总结(新高考通用)解析版_2.2025数学总复习_2024年新高考资料_1.2024一轮复习
第55讲二项分布、超几何分布与正态分布(精讲)一轮复习讲义2024年高考数学高频考点题型归纳与方法总结(新高考通用)解析版_2.2025数学总复习_2024年新高考资料_1.2024一轮复习
第55讲二项分布、超几何分布与正态分布(精讲)一轮复习讲义2024年高考数学高频考点题型归纳与方法总结(新高考通用)解析版_2.2025数学总复习_2024年新高考资料_1.2024一轮复习
第55讲二项分布、超几何分布与正态分布(精讲)一轮复习讲义2024年高考数学高频考点题型归纳与方法总结(新高考通用)解析版_2.2025数学总复习_2024年新高考资料_1.2024一轮复习
第55讲二项分布、超几何分布与正态分布(精讲)一轮复习讲义2024年高考数学高频考点题型归纳与方法总结(新高考通用)解析版_2.2025数学总复习_2024年新高考资料_1.2024一轮复习
第55讲二项分布、超几何分布与正态分布(精讲)一轮复习讲义2024年高考数学高频考点题型归纳与方法总结(新高考通用)解析版_2.2025数学总复习_2024年新高考资料_1.2024一轮复习
第55讲二项分布、超几何分布与正态分布(精讲)一轮复习讲义2024年高考数学高频考点题型归纳与方法总结(新高考通用)解析版_2.2025数学总复习_2024年新高考资料_1.2024一轮复习
第55讲二项分布、超几何分布与正态分布(精讲)一轮复习讲义2024年高考数学高频考点题型归纳与方法总结(新高考通用)解析版_2.2025数学总复习_2024年新高考资料_1.2024一轮复习
第55讲二项分布、超几何分布与正态分布(精讲)一轮复习讲义2024年高考数学高频考点题型归纳与方法总结(新高考通用)解析版_2.2025数学总复习_2024年新高考资料_1.2024一轮复习
第55讲二项分布、超几何分布与正态分布(精讲)一轮复习讲义2024年高考数学高频考点题型归纳与方法总结(新高考通用)解析版_2.2025数学总复习_2024年新高考资料_1.2024一轮复习
第55讲二项分布、超几何分布与正态分布(精讲)一轮复习讲义2024年高考数学高频考点题型归纳与方法总结(新高考通用)解析版_2.2025数学总复习_2024年新高考资料_1.2024一轮复习
第55讲二项分布、超几何分布与正态分布(精讲)一轮复习讲义2024年高考数学高频考点题型归纳与方法总结(新高考通用)解析版_2.2025数学总复习_2024年新高考资料_1.2024一轮复习
第55讲二项分布、超几何分布与正态分布(精讲)一轮复习讲义2024年高考数学高频考点题型归纳与方法总结(新高考通用)解析版_2.2025数学总复习_2024年新高考资料_1.2024一轮复习
第55讲二项分布、超几何分布与正态分布(精讲)一轮复习讲义2024年高考数学高频考点题型归纳与方法总结(新高考通用)解析版_2.2025数学总复习_2024年新高考资料_1.2024一轮复习
第55讲二项分布、超几何分布与正态分布(精讲)一轮复习讲义2024年高考数学高频考点题型归纳与方法总结(新高考通用)解析版_2.2025数学总复习_2024年新高考资料_1.2024一轮复习
第55讲二项分布、超几何分布与正态分布(精讲)一轮复习讲义2024年高考数学高频考点题型归纳与方法总结(新高考通用)解析版_2.2025数学总复习_2024年新高考资料_1.2024一轮复习
第55讲二项分布、超几何分布与正态分布(精讲)一轮复习讲义2024年高考数学高频考点题型归纳与方法总结(新高考通用)解析版_2.2025数学总复习_2024年新高考资料_1.2024一轮复习
第55讲二项分布、超几何分布与正态分布(精讲)一轮复习讲义2024年高考数学高频考点题型归纳与方法总结(新高考通用)解析版_2.2025数学总复习_2024年新高考资料_1.2024一轮复习
第55讲二项分布、超几何分布与正态分布(精讲)一轮复习讲义2024年高考数学高频考点题型归纳与方法总结(新高考通用)解析版_2.2025数学总复习_2024年新高考资料_1.2024一轮复习
第55讲二项分布、超几何分布与正态分布(精讲)一轮复习讲义2024年高考数学高频考点题型归纳与方法总结(新高考通用)解析版_2.2025数学总复习_2024年新高考资料_1.2024一轮复习
第55讲二项分布、超几何分布与正态分布(精讲)一轮复习讲义2024年高考数学高频考点题型归纳与方法总结(新高考通用)解析版_2.2025数学总复习_2024年新高考资料_1.2024一轮复习
第55讲二项分布、超几何分布与正态分布(精讲)一轮复习讲义2024年高考数学高频考点题型归纳与方法总结(新高考通用)解析版_2.2025数学总复习_2024年新高考资料_1.2024一轮复习
第55讲二项分布、超几何分布与正态分布(精讲)一轮复习讲义2024年高考数学高频考点题型归纳与方法总结(新高考通用)解析版_2.2025数学总复习_2024年新高考资料_1.2024一轮复习
第55讲二项分布、超几何分布与正态分布(精讲)一轮复习讲义2024年高考数学高频考点题型归纳与方法总结(新高考通用)解析版_2.2025数学总复习_2024年新高考资料_1.2024一轮复习
第55讲二项分布、超几何分布与正态分布(精讲)一轮复习讲义2024年高考数学高频考点题型归纳与方法总结(新高考通用)解析版_2.2025数学总复习_2024年新高考资料_1.2024一轮复习
第55讲二项分布、超几何分布与正态分布(精讲)一轮复习讲义2024年高考数学高频考点题型归纳与方法总结(新高考通用)解析版_2.2025数学总复习_2024年新高考资料_1.2024一轮复习
第55讲二项分布、超几何分布与正态分布(精讲)一轮复习讲义2024年高考数学高频考点题型归纳与方法总结(新高考通用)解析版_2.2025数学总复习_2024年新高考资料_1.2024一轮复习
第55讲二项分布、超几何分布与正态分布(精讲)一轮复习讲义2024年高考数学高频考点题型归纳与方法总结(新高考通用)解析版_2.2025数学总复习_2024年新高考资料_1.2024一轮复习
第55讲二项分布、超几何分布与正态分布(精讲)一轮复习讲义2024年高考数学高频考点题型归纳与方法总结(新高考通用)解析版_2.2025数学总复习_2024年新高考资料_1.2024一轮复习
第55讲二项分布、超几何分布与正态分布(精讲)一轮复习讲义2024年高考数学高频考点题型归纳与方法总结(新高考通用)解析版_2.2025数学总复习_2024年新高考资料_1.2024一轮复习
第55讲二项分布、超几何分布与正态分布(精讲)一轮复习讲义2024年高考数学高频考点题型归纳与方法总结(新高考通用)解析版_2.2025数学总复习_2024年新高考资料_1.2024一轮复习
第55讲二项分布、超几何分布与正态分布(精讲)一轮复习讲义2024年高考数学高频考点题型归纳与方法总结(新高考通用)解析版_2.2025数学总复习_2024年新高考资料_1.2024一轮复习
第55讲二项分布、超几何分布与正态分布(精讲)一轮复习讲义2024年高考数学高频考点题型归纳与方法总结(新高考通用)解析版_2.2025数学总复习_2024年新高考资料_1.2024一轮复习
第55讲二项分布、超几何分布与正态分布(精讲)一轮复习讲义2024年高考数学高频考点题型归纳与方法总结(新高考通用)解析版_2.2025数学总复习_2024年新高考资料_1.2024一轮复习
第55讲二项分布、超几何分布与正态分布(精讲)一轮复习讲义2024年高考数学高频考点题型归纳与方法总结(新高考通用)解析版_2.2025数学总复习_2024年新高考资料_1.2024一轮复习
第55讲二项分布、超几何分布与正态分布(精讲)一轮复习讲义2024年高考数学高频考点题型归纳与方法总结(新高考通用)解析版_2.2025数学总复习_2024年新高考资料_1.2024一轮复习
第55讲二项分布、超几何分布与正态分布(精讲)一轮复习讲义2024年高考数学高频考点题型归纳与方法总结(新高考通用)解析版_2.2025数学总复习_2024年新高考资料_1.2024一轮复习
第55讲二项分布、超几何分布与正态分布(精讲)一轮复习讲义2024年高考数学高频考点题型归纳与方法总结(新高考通用)解析版_2.2025数学总复习_2024年新高考资料_1.2024一轮复习
第55讲二项分布、超几何分布与正态分布(精讲)一轮复习讲义2024年高考数学高频考点题型归纳与方法总结(新高考通用)解析版_2.2025数学总复习_2024年新高考资料_1.2024一轮复习
第55讲二项分布、超几何分布与正态分布(精讲)一轮复习讲义2024年高考数学高频考点题型归纳与方法总结(新高考通用)解析版_2.2025数学总复习_2024年新高考资料_1.2024一轮复习
第55讲二项分布、超几何分布与正态分布(精讲)一轮复习讲义2024年高考数学高频考点题型归纳与方法总结(新高考通用)解析版_2.2025数学总复习_2024年新高考资料_1.2024一轮复习
第55讲二项分布、超几何分布与正态分布(精讲)一轮复习讲义2024年高考数学高频考点题型归纳与方法总结(新高考通用)解析版_2.2025数学总复习_2024年新高考资料_1.2024一轮复习
第55讲二项分布、超几何分布与正态分布(精讲)一轮复习讲义2024年高考数学高频考点题型归纳与方法总结(新高考通用)解析版_2.2025数学总复习_2024年新高考资料_1.2024一轮复习
第55讲二项分布、超几何分布与正态分布(精讲)一轮复习讲义2024年高考数学高频考点题型归纳与方法总结(新高考通用)解析版_2.2025数学总复习_2024年新高考资料_1.2024一轮复习
第55讲二项分布、超几何分布与正态分布(精讲)一轮复习讲义2024年高考数学高频考点题型归纳与方法总结(新高考通用)解析版_2.2025数学总复习_2024年新高考资料_1.2024一轮复习
第55讲二项分布、超几何分布与正态分布(精讲)一轮复习讲义2024年高考数学高频考点题型归纳与方法总结(新高考通用)解析版_2.2025数学总复习_2024年新高考资料_1.2024一轮复习
第55讲二项分布、超几何分布与正态分布(精讲)一轮复习讲义2024年高考数学高频考点题型归纳与方法总结(新高考通用)解析版_2.2025数学总复习_2024年新高考资料_1.2024一轮复习
第55讲二项分布、超几何分布与正态分布(精讲)一轮复习讲义2024年高考数学高频考点题型归纳与方法总结(新高考通用)解析版_2.2025数学总复习_2024年新高考资料_1.2024一轮复习
第55讲二项分布、超几何分布与正态分布(精讲)一轮复习讲义2024年高考数学高频考点题型归纳与方法总结(新高考通用)解析版_2.2025数学总复习_2024年新高考资料_1.2024一轮复习
第55讲二项分布、超几何分布与正态分布(精讲)一轮复习讲义2024年高考数学高频考点题型归纳与方法总结(新高考通用)解析版_2.2025数学总复习_2024年新高考资料_1.2024一轮复习
第55讲二项分布、超几何分布与正态分布(精讲)一轮复习讲义2024年高考数学高频考点题型归纳与方法总结(新高考通用)解析版_2.2025数学总复习_2024年新高考资料_1.2024一轮复习
第55讲二项分布、超几何分布与正态分布(精讲)一轮复习讲义2024年高考数学高频考点题型归纳与方法总结(新高考通用)解析版_2.2025数学总复习_2024年新高考资料_1.2024一轮复习

文档信息

文档格式
docx
文档大小
3.371 MB
文档页数
92 页
上传时间
2026-03-26 05:29:13

文档内容

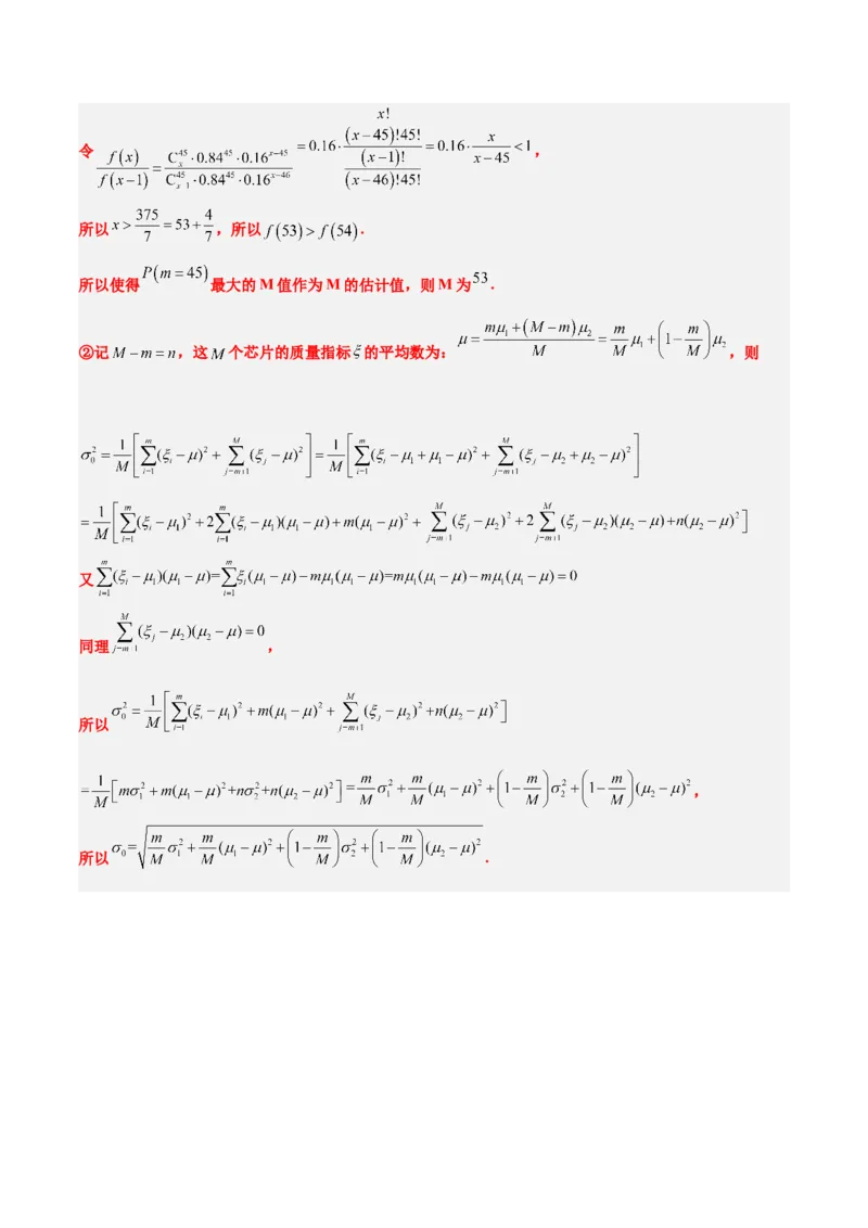
【一轮复习讲义】2024年高考数学高频考点题型归纳与方法总结(新高考通用) 第 55 讲 二项分布、超几何分布与正态分布(精 讲) 题型目录一览 ①两点分布 ②超几何分布 ③二项分布 ④正态分布 一、知识点梳理 一、两点分布 1.若随机变量 服从两点分布,即其分布列为 0 1 其中 ,则称离散型随机变量 服从参数为 的两点分布.其中 称为成功概率. 注意:两点分布的试验结果只有两个可能性,且其概率之和为 ; 2.两点分布的均值与方差:若随机变量 服从参数为 的两点分布,则 , . 二、n次独立重复试验 1.定义 一般地,在相同条件下重复做的 次试验称为 次独立重复试验. 注意:独立重复试验的条件:①每次试验在同样条件下进行;②各次试验是相互独立的;③每次试验都只 有两种结果,即事件要么发生,要么不发生. 2.特点 (1)每次试验中,事件发生的概率是相同的; (2)每次试验中的事件是相互独立的,其实质是相互独立事件的特例. 三、二项分布 1.定义 一般地,在 次独立重复试验中,用 表示事件 发生的次数,设每次试验中事件 发生的概率为 ,不发生的概率 ,那么事件 恰好发生 次的概率是 ( , , ,…, ) 于是得到 的分布列 … … … … 由于表中第二行恰好是二项式展开式 各对应项的值,称这样的离散型随机变量 服从 参数为 , 的二项分布,记作 ,并称 为成功概率. 注意:由二项分布的定义可以发现,两点分布是一种特殊的二项分布,即 时的二项分布,所以二项分 布可以看成是两点分布的一般形式. 2.二项分布的适用范围及本质 (1)适用范围: ①各次试验中的事件是相互独立的; ②每次试验只有两种结果:事件要么发生,要么不发生; ③随机变量是这 次独立重复试验中事件发生的次数. (2)本质:二项分布是放回抽样问题,在每次试验中某一事件发生的概率是相同的. 3.二项分布的期望、方差 若 ,则 , . 四、超几何分布 1.定义 在含有 件次品的 件产品中,任取 件,其中恰有 件次品,则事件 发生的概率为 , ,其中 ,且 ,1,2,…, , , , , ,称分布列为超几何分布列.如果随机变量 的分布列为超几何分布列,则称随机变量X 服从超 几何分布. 0 1 … … 2.超几何分布的适用范围件及本质 (1)适用范围: ①考察对象分两类; ②已知各类对象的个数;③从中抽取若干个个体,考察某类个体个数 的概率分布. (2)本质:超几何分布是不放回抽样问题,在每次试验中某一事件发生的概率是不相同的. 五、正态曲线 1.定义:我们把函数 , (其中 是样本均值, 是样本标准差)的图 象称为正态分布密度曲线,简称正态曲线.正态曲线呈钟形,即中间高,两边低. 2.正态曲线的性质 (1)曲线位于 轴上方,与 轴不相交; (2)曲线是单峰的,它关于直线 对称; (3)曲线在 处达到峰值(最大值) ; (4)曲线与 轴之间的面积为1; (5)当 一定时,曲线的位置由 确定,曲线随着 的变化而沿 轴平移,如图甲所示: (6)当 一定时,曲线的形状由 确定. 越小,曲线越“高瘦”,表示总体的分布越集中; 越大, 曲线越“矮胖”,表示总体的分布越分散,如图乙所示:: 甲 乙 六、正态分布 1.定义 随机变量 落在区间 的概率为 ,即由正态曲线,过点 和点 的两条 轴的垂线,及 轴所围成的平面图形的面积,如下图中阴影部分所示,就是 落在区间 的 概率的近似值. 一般地,如果对于任何实数 , ,随机变量 满足 ,则称随机变量 服 从正态分布.正态分布完全由参数 , 确定,因此正态分布常记作 .如果随机变量 服从正 态分布,则记为 . 其中,参数 是反映随机变量取值的平均水平的特征数,可以用样本的均值去估计; 是衡量随机变量总体波动大小的特征数,可以用样本的标准差去估计. 2. 原则 若 ,则对于任意的实数 , 为下图中阴影部分的面 积,对于固定的 和 而言,该面积随着 的减小而变大.这说明 越小, 落在区间 的概 率越大,即 集中在 周围的概率越大 特别地,有 ; ; . 由 ,知正态总体几乎总取值于区间 之内.而在此区间以 外取值的概率只有 ,通常认为这种情况在一次试验中几乎不可能发生,即为小概率事件.在实际应 用中,通常认为服从于正态分布 的随机变量 只取 之间的值,并简称之为 原则. 【常用结论】 ①超几何分布和二项分布的区别 (1)超几何分布需要知道总体的容量,而二项分布不需要; (2)超几何分布是“不放回”抽取,在每次试验中某一事件发生的概率是不相同的; 而二项分布是“有放回”抽取(独立重复),在每次试验中某一事件发生的概率是相同的. ②求正态变量 在某区间内取值的概率的基本方法 (1)根据题目中给出的条件确定 与 的值. (2)将待求问题向 , , 这三个区间进行转化; (3)利用 在上述区间的概率、正态曲线的对称性和曲线与x轴之间的面积为1求出最后结果. 二、题型分类精讲 题型 一 两点分布 策略方法 两点分布的试验结果只有两个可能性,且其概率之和为 【典例1】在一次购物抽奖活动中,假设10张奖券中有一等奖奖券1张,可获价值50元的奖品,有二等 奖奖券3张,每张可获价值10元的奖品,其余6张没有奖品.顾客甲从10张奖券中任意抽取1张,求中奖次数X的分布列. 【答案】分布列见解析 【分析】先列出随机变量的可能值,然后求出随机变量可能值随对应的概率即可. 【详解】抽奖一次,只有中奖和不中奖两种情况,故X的取值只有1和0两种情况. , 则 . 因此X的分布列为: X 0 1 P 【题型训练】 一、单选题 1.已知随机变量 服从两点分布,且 .设 ,那么 等于( ) A.0.6 B.0.3 C.0.2 D.0.4 【答案】D 【分析】根据变量间的关系,转化为 ,由两点分步求解. 【详解】当 时,由 , 所以 . 故选:D 2.设某项试验的成功率是失败率的3倍,用随机变量X去描述1次试验的成功次数,则 ( ) A.0 B. C. D. 【答案】D 【分析】根据某项试验的成功率是失败率的3倍,结合 ,即可求得答案. 【详解】由已知得 的所有可能取值为0,1,且 ,代入 ,得 , 所以 , 故选:D. 3.两点分布也叫 分布,已知随机变量 服从参数为 的两点分布,则下列选项中不正确的是( ) A. B. C. D. 【答案】D 【分析】由两点分布的定义即可判断A、B选项;由期望和方差公式即可判断C、D选项. 【详解】由参数为 的两点分布知 ,故A、B正确; , C正确; ,D错误. 故选:D. 4.已知随机变量 服从两点分布, ,则其成功概率为( ) A.0 B.1 C.0.3 D. 【答案】D 【分析】直接利用两点分布的性质,即可得出结论, 【详解】 随机变量 服从两点分布,设成功的概率为 , . 故选:D. 二、多选题 5.若随机变量X服从两点分布,其中 , , 分别为随机变量X的均值与方差,则 下列结论正确的是( ) A. B. C. D.【答案】AB 【分析】根据两点分布求 ,再根据期望和方差公式以及性质,即可求解. 【详解】由题意可知, ,所以 , , , 故选:AB 6.下列选项中的随机变量 服从两点分布的是( ) A.抛掷一枚均匀的骰子,所得点数为 B.某运动员罚球命中的概率为0.8,命中得1分,不中得0分, 为罚球一次的得分 C.从装有大小完全相同的5个红球、3个白球的袋中任取1个球, D.从含有3件次品的100件产品中随机抽取一件, 为抽到的次品件数 【答案】BCD 【分析】根据两点分布的定义,即A事件发生或不发生即可判断. 【详解】由两点分布的定义可知: 对于A,X=1,2,3,4,5,6,所以不属于两点分布; 对于B,X=0,1,属于两点分布; 对于C,X=0,1,属于两点分布; 对于D,抽取一次,则或为正品或为次品,故X=0,1,属于两点分布; 故选:BCD. 三、填空题 7.已知随机变量X的取值为0,1,若 ,则X的均值为 . 【答案】 【分析】X服从两点分布,结合两点分布的均值公式,即可求解. 【详解】由题意可得,X服从两点分布,, 故 . 故答案为: . 8.已知随机变量X服从两点分布,且 , ,那么 . 【答案】 【分析】根据概率之和为1即可求解. 【详解】由题意可知 ,解得 . 故答案为: . 9.已知随机变量 服从两点分布,且 , ,那么 . 【答案】 【分析】根据概率之和为1即可求解. 【详解】由题意可知 或 , 由于 ,所以 , 故答案为: 10.已知离散型随机变量X服从两点分布,且 ,则随机变量X的方差为 . 【答案】 【分析】因为离散型随机变量X服从两点分布,设 ,所以 ,由题意可求出 ,所以可求出 . 【详解】因为离散型随机变量X服从两点分布,设 ,所以 ,所以,代入 有: , 解得: , , 因为离散型随机变量X服从两点分布,所以 . 故答案为: . 四、解答题 11.甲击中目标的概率是p,如果击中,得1分,否则得0分.用X表示甲的得分,计算随机变量X的数 学期望. 【答案】 【分析】先求出X的分布列,从而可求其数学期望. 【详解】 的充分必要条件是击中目标,所以 . 是 的对立事件,所以 . 于是 . 12.从装有 个白球和 个红球的口袋中任取 个球,用 表示“取到的白球个数”,则 的取值为 或 , 即 ,求随机变量 的概率分布. 【答案】分布列见解析 【分析】根据古典概型的概率公式求出 , ,从而得到 的分布列. 【详解】由题意知 , , 故随机变量 的概率分布列如下表所示: 0 1 13.一个袋中有除颜色外其余完全相同的3个白球和4个红球.(1)从袋中任意摸出一球,用0表示摸出白球,用1表示摸出红球,则有 求X的分布列; (2)从袋中任意摸出两个球,用“ 0”表示两个球全是白球,用“ ”表示两个球不全是白球,求Y的 分布列. 【答案】(1)分布列见解析 (2)分布列见解析 【分析】(1)由已知得 符合两点分布,且 , ,由此能求出 的分布列. (2)由已知Y符合两点分布,利用古典概型概率公式分别求出 , ,由此能求出的Y分布 列. 【详解】(1)由题意 符合两点分布,且 , , 的分布列如下: 0 1 (2)从中任意摸出两个球,用“ ”表示两个球全是白球,用“ ”两个球不全是白球, 符合两点分布, , . 的分布列为: 0 1 14.篮球运动员比赛投篮,命中得1分,不中得0分,已知运动员甲投篮命中率的概率为 . (1)若投篮1次得分记为 ,求方差 的最大值; (2)当(1)中 取最大值时,求运动员甲投5次篮得分为4分的概率.【答案】(1) ;(2) . 【分析】(1)由题意 服从两点分布,写出方差的式子转化为二次函数求最值. (2)由(1)知 ,投5次蓝得分为 ,则 ,再利用二项分布公式求出即可. 【详解】解:(1)依题意, 的分布列为 0 1 当 时, 取最大值,且最大值为 . (2)由(1)可知 ,投5次蓝得分为 ,则 那么 则运动员甲投5次篮得分为4分概率为 . 15.现有 人要通过化验来确定是否患有某种疾病,化验结果阳性视为患有该疾病.化验方案 :先将这 人化验样本混在一起化验一次,若呈阳性,则还要对每个人再做一次化验;否则化验结束.已知这 人 未患该疾病的概率均为 ,是否患有该疾病相互独立. (1)按照方案 化验,求这 人的总化验次数 的分布列; (2)化验方案 :先将这 人随机分成两组,每组 人,将每组的 人的样本混在一起化验一次,若呈阳性, 则还需要对这 人再各做一次化验;否则化验结束.若每种方案每次化验的费用都相同,且 ,问方 案 和 中哪个化验总费用的数学期望更小? 【答案】(1)见解析 (2)方案 的化验总费用的数学期望更小. 【分析】(1)计算 , ,则得到其分布列; (2)设按照方案 化验,这10人的总化验次数为 , 的可能取值为 ,计算出各自概率即可.【详解】(1)按照方案 化验,这10人的总化验次数 的可能取值为1,11. , , 的分布列为: 1 11 (2)设按照方案 化验,这10人的总化验次数为 , 的可能取值为 , , , , , 由(1)知, , , 因为当 时, ,所以 . 所以方案 的化验总费用的数学期望更小. 题型二 超几何分布 策略方法 超几何分布的实际应用问题,主要是指与两类不同元素的抽取问题的概率计算和离散型随机 变量的分布列、期望及方差的求解等有关的问题.解题的关键如下: ①定型:根据已知建立相应的概率模型,并确定离散型随机变量服从的分布的类型,特别要 区分超几何分布与二项分布. ②定参:确定超几何分布中的三个参数N,M,n.即确定试验中包含的元素的个数、特殊元 素的个数及要抽取的元素个数. ③列表:根据离散型随机变量的取值及其对应的概率列出分布列. ④求值:根据离散型随机变量的期望和方差公式,代入相应数值求值. 【典例1】一个袋中装有5个形状大小完全相同的小球,其中红球有2个,白球有3个,从中任意取出3 个球. (1)求取出的3个球恰有一个红球的概率;(2)若随机变量X表示取得红球的个数,求随机变量X的分布列. 【答案】(1) (2)分布列见解析. 【分析】设出事件,利用超几何分布求概率公式进行求解;(2)写出随机变量X的可能取值及相应的概 率,求出分布列. 【详解】(1)设取出的3个球恰有一个红球为事件A, 则 (2)随机变量X可能取值为0,1,2, , , , 故X的分布列为: X 0 1 2 P 【题型训练】 一、单选题 1.已知8名学生中有5名男生,从中选出4名代表,记选出的代表中男生人数为X,则 ( ) A. B. C. D. 【答案】C 【分析】根据超几何分布的概率公式计算即可. 【详解】 表示选出的 个代表中有 个男生 个女生, 则 . 故选:C 2.《易·系辞上》有“河出图,洛出书”之说,河图、洛书是中华文化,阴阳术数之源,其中河图排列结 构是一、六在后,二、七在前,三、八在左,四、九在右,五、十背中.如图,白圈为阳数,黑点为阴数.若从这10个数中任取3个数,则这3个数中至多有1个阴数的概率为( ) A. B. C. D. 【答案】A 【分析】先根据题意确定10个数中的阳数和阴数,然后求出任取3个数中有0个阴数和1个阴数的概率, 相加即可求解. 【详解】由题意知,10个数中,1,3,5,7,9为阳数,2,4,6,8,10为阴数, 若任取的3个数中有0个阴数,则概率为 ; 若任取的3个数中有1个阴数,则概率为 ; 故这3个数中至多有1个阴数的概率为 . 故选:A. 3.某党支部有10名党员,7男3女,从中选取2人做汇报演出,若X表示选中的女党员数,则 ( ) A. B. C. D.1 【答案】C 【分析】根据超几何分布公式分别计算出所有可能取值的概率,即可得出答案. 【详解】由题意知X服从超几何分布,X的可能取值为0,1,2,故 , , 于是 . 故选:C. 4.今有电子元件50个,其中一级品45个,二级品5个,从中任取3个,出现二级品的概率为( ) A. B. C. D. 【答案】C 【分析】事件“出现二级品”的对立事件为“全是一级品”,计算出对立事件的概率,然后利用对立事件 的概率公式计算出所求事件的概率. 【详解】由题意知,事件“出现二级品”的对立事件为“全是一级品”, 事件“全是一级品”的概率为 , 由对立事件的概率可知,出现二级品的概率是 , 故选:C. 5.某竞赛小组共有13人,其中有6名女生,现从该竞赛小组中任选5人参加一项活动,用 表示这5人中 女生的人数,则下列概率中等于 的是( ) A. B.C. D. 【答案】D 【分析】根据超几何概率问题得 取值情况及相应概率,即可得所求. 【详解】 取值是: , 所以 . 故选:D. 6.某学校有一个体育运动社团,该社团中会打篮球且不会踢足球的有3人,篮球、足球都会的有2人,从 该社团中任取2人,设 为选出的人中篮球、足球都会的人数,若 ,则该社团的人数为 ( ) A.5 B.6 C.7 D.10 【答案】C 【分析】设该社团共有人数为 人,先计算 ,再根据 ,求解即 可. 【详解】设该社团共有人数为 人, , , 即 , 又因为 ,解得 . 故选:C二、多选题 7.某单位推出了 道有关二十大的测试题供学习者学习和测试,乙能答对其中的 道题,规定每次测试都 是从这 道题中随机抽出 道,答对一题加 分,答错一题或不答减 分,最终得分最低为 分,则下列 说法正确的是( ) A.乙得 分的概率是 B.乙得 分的概率是 C.乙得 分的概率是 D.乙得 分的概率是 【答案】ABC 【分析】根据古典概型概率公式结合组合数计算即可. 【详解】设乙的得分为 ,则由题意 的所有可能取值为0,10,25,40, 所以 , , , , 故选:ABC 8.在一个袋中装有质地、大小均一样的6个黑球,4个白球,现从中任取4个小球,设取出的4个小球中 白球的个数为X,则下列结论正确的是( ) A. B.随机变量X服从二项分布 C.随机变量X服从超几何分布 D. 【答案】ACD 【分析】利用二项分布、超几何分布的意义判断BC;求出 的所有可能值的概率即可判断AD作答. 【详解】随机变量X的所有可能取值为0,1,2,3,4, , 因此随机变量X服从超几何分布,B错误,C正确; , , ,, ,A正确; ,D正确. 故选:ACD 9.一个袋子中装有除颜色外完全相同的10个球,其中有6个黑球,4个白球,现从中任取4个球,记随机 变量 为取出白球的个数,随机变量 为取出黑球的个数,若取出一个白球得2分,取出一个黑球得1分, 随机变量 为取出4个球的总得分,则下列结论中正确的是( ) A. 服从超几何分布 B. C. D. 【答案】ABD 【分析】根据已知条件,利用超几何分布的定义、性质以及超几何额期望公式分析即可. 【详解】由题意知,随机变量 服从超几何分布,故A选项正确, 的取值可能为: , 所以 ,故B选项正确, 又 , , , , 所以 , 的取值可能为: , 由题意得 ,所以 , 所以 , ,, 所以 , 所以 ,故C选项错误, 若 ,则 , 故D选项正确, 故选:ABD. 三、填空题 10.从一箱脐橙(共10个,其中7个是大果,3个是中果)中任选3个,则恰有2个中果的概率为 . 【答案】 【分析】根据超几何分布的概率公式即可求解. 【详解】恰有2个中果的概率为 . 故答案为: 11.莫高窟坐落在甘肃的敦煌,它是世界上现存规模最大、内容最丰富的佛教艺术胜地,每年都会吸引来 自世界各地的游客参观旅游.已知购买莫高窟正常参观套票可以参观8个开放洞窟,在这8个洞窟中莫高 窟九层楼96号窟、莫高窟三层楼16号窟、藏经洞17号窟被誉为最值得参观的洞窟.根据疫情防控的需要, 莫高窟改为极速参观模式,游客需从套票包含的开放洞窟中随机选择4个进行参观,所有选择中至少包含 2个最值得参观洞窟的概率是 . 【答案】 【分析】随机选择4个进行参观,至少包含2个最值得参观洞窟包括2个或3个两种情况,根据组合知识求 得基本事件的个数后可得概率 【详解】已知8个开放洞窟中有3个最值得参观,随机选择4个进行参观,至少包含2个最值得参观洞窟 包括2个或3个两种情况.所求概率为 . 故答案为: . 12.厂家在产品出厂前,需对产品做检验,厂家将一批产品发给商家时,商家按合同规定也需随机抽取一 定数量的产品做检验,以决定是否接收这批产品.若厂家发给商家20件产品,其中有3件不合格,按合同 规定该商家从中任取2件,都进行检验,只有2件都合格时才接收这批产品,否则拒收.则该商家拒收这 批产品的概率是 . 【答案】 【分析】利用古典概型与对立事件的概率公式,结合超几何分布即可得解. 【详解】依题意,这20件产品中有 件合格品, 所以该商家接收这批产品的概率为 , 故商家拒收这批产品的概率为 . 故答案为: . 13.一个袋中共有 个大小相同的黑球、白球和红球,已知从袋中任意摸出 个球,得到黑球的概率是 ; 从袋中任意摸出 个球,至少得到 个白球的概率是 ,则白球的个数为 . 【答案】 【分析】首先设有白球 个,根据题意得到 ,再解方程即可. 【详解】设有白球 个,因为从袋中任意摸出 个球,至少得到 个白球的概率是 , 所以 ,解得 或 (舍去). 故答案为:514.为庆祝第19届亚运会在我国杭州举行,杭州某中学举办了一次“亚运知识知多少”的知识竞赛.参赛 选手从7道题(4道多选题,3道单选题)中随机抽题进行作答,若某选手先随机抽取2道题,再随机抽取 1道题,则最后抽取到的题为多选题的概率为 . 【答案】 【分析】根据题意讨论先抽取2道题有几道多选题,结合超几何分布分析运算. 【详解】设先抽取2道题中多选题的题数为 ,则 的可能取值为:0,1,2, 可得: , 所以最后抽取到的题为多选题的概率为 . 故答案为: . 15.在高考志愿模拟填报实验中,共有9个专业可供学生甲填报,其中学生甲感兴趣的专业有3个.若在 实验中,学生甲随机选择3个专业进行填报,则填报的专业中至少有1个是学生甲感兴趣的概率为 . 【答案】 【分析】计算基本事件总数,计算其中没有感兴趣的专业包含的基本事件数,利用对立事件解决所求的概 率. 【详解】随机选择3个专业,基本事件总数为 , 填报的专业中没有感兴趣的专业包含的基本事件数为 , 由题可知,填报的专业中至少有1个是学生甲感兴趣的概率为 . 故答案为: . 四、解答题 16.教育是阻断贫困代际传递的根本之策.补齐贫困地区义务教育发展的短板,让贫困家庭子女都能接受 公平而有质量的教育,是夯实脱贫攻坚根基之所在.治贫先治愚,扶贫先扶智.为了解决某贫困地区教师资源匮乏的问题,某市教育局拟从5名优秀教师中抽选人员分批次参与支教活动.支教活动共分3批次进 行,每次支教需要同时派送2名教师,且每次派送人员均从这5人中随机抽选.已知这5名优秀教师中,2 人有支教经验,3人没有支教经验. (1)求5名优秀教师中的“甲”,在这3批次支教活动中恰有两次被抽选到的概率; (2)求第一次抽取到无支教经验的教师人数 的分布列; 【答案】(1) (2)分布列见解析 【分析】(1)根据二项分布的概率公式即可求解, (2)根据超几何分布的概率公式即可求解概率,进而可求解分布列. 【详解】(1)5名优秀教师中的“甲”在每轮抽取中,被抽取到的概率为 , 则三次抽取中,“甲”恰有两次被抽取到的概率为 ; (2)X表示第一次抽取到的无支教经验的教师人数,X的可能取值有0,1,2. ; ; . 所以分布列为: X 0 1 2 P 0.1 0.6 0.3 17.为弘扬中国共产党百年奋斗的光辉历程,某校团委决定举办“中国共产党党史知识”竞赛活动.竞赛 共有 和 两类试题,每类试题各10题,其中每答对1道 类试题得10分;每答对1道 类试题得20分, 答错都不得分.每位参加竞赛的同学从这两类试题中共抽出3道题回答(每道题抽后不放回).已知某同 学 类试题中有7道题能答对,而他答对各道 类试题的概率均为 . (1)若该同学只抽取3道 类试题作答,设 表示该同学答这3道试题的总得分,求 的分布和期望; (2)若该同学在 类试题中只抽1道题作答,求他在这次竞赛中仅答对1道题的概率. 【答案】(1)分布列见解析, (2)【分析】(1)根据超几何分布的概率公式求解概率,即可得分布列,利用期望公式即可求解, (2)根据相互独立事件的概率,即可求解. 【详解】(1) , , , 所以X的分布为 X 0 10 20 30 P 所以 (2)记“该同学仅答对1道题”为事件M. 这次竞赛中该同学仅答对1道题得概率为 . 18.某市移动公司为了提高服务质量,决定对使用 两种套餐的集团用户进行调查,准备从本市 个人数超过1000的大集团和3个人数低于200的小集团中随机抽取若干个集团进行调查,若一 次抽取2个集团,全是大集团的概率为 . (1)在取出的2个集团是同一类集团的情况下,求全为小集团的概率; (2)若一次抽取3个集团,假设取出大集团的个数为 ,求 的分布列和数学期望. 【答案】(1) (2)分布列见解析, 【分析】(1)根据古典概型的概率公式计算全为小集团的概率值;(2)由题意知随机变量 的可能取值,计算对应的概率值,写出分布列,求出数学期望值. 【详解】(1)由题意知共有 个集团,取出2个集团的方法总数是 ,其中全是大集团的情况有 , 故全是大集团的概率是 , 整理得到 ,解得 . 若2个全是大集团,共有 种情况; 若2个全是小集团,共有 种情况; 故全为小集团的概率为 . (2)由题意知,随机变量 的可能取值为 , 计算 , ,, , ; 故 的分布列为: 0 1 2 3 数学期望为 . 19.随着“中华好诗词”节目的播出,掀起了全民诵读传统诗词经典的热潮.某社团为调查大学生对于 “中华诗词”的喜好,从甲、乙两所大学各随机抽取了40名学生,记录他们每天学习“中华诗词”的时间, 按照 , , , , , 分组,并整理得到如下频率分布直方图:根据学生每天学习“中华诗词”的时间,可以将学生对于“中华诗词”的喜好程度分为三个等级: 学习时间:(分 钟/天) 等级 一般 爱好 痴迷 (1)从甲大学中随机选出一名学生,试估计其“爱好”中华诗词的概率; (2)从这两组“痴迷”的同学中随机选出2人,记ξ为选出的两人中甲大学的人数,求ξ的分布列和数学期 望 ; (3)试判断选出的这两组学生每天学习“中华诗词”时间的平均值 与 的大小,及方差 与 的大小. (只需写出结论) 【答案】(1)0.65 (2)分布列见解析, (3) ; 【分析】(1)根据频率分布直方图直接用频率估计概率即可得答案; (2)由题知甲大学随机选取的40名学生中“痴迷”的学生有 人,乙大学随机选取的40名学生中“痴 迷”的学生有 人,进而根据超几何分布求解即可; (3)根据频率分布直方图的分布,结合平均值,方差的意义分析求解即可. 【详解】(1)解:由甲大学的频率分布直方图,结合等比分布表知, 甲大学随机选取的40名学生中,“爱好”中华诗词的频率为: , 所以从甲大学中随机选出一名学生,“爱好”中华诗词的概率为0.65.(2)解:由题知:甲大学随机选取的40名学生中“痴迷”的学生有 人, 乙大学随机选取的40名学生中“痴迷”的学生有 人, 所以,随机变量ξ的取值为 ,1,2. 所以, , , . 所以ξ的分布列为 0 1 2 ξ的数学期望为 (3)解:由甲乙大学的频率分布直方图可知,乙大学的学生每天学习“中华诗词”的时间相对较长,且 集中, 所以, ; 20.一座城市的夜间经济不仅有助于拉动本地居民内需,还能延长外地游客、商务办公者等的留存时间, 带动当地经济发展,是衡量一座城市生活质量、消费水平、投资环境及文化发展活力的重要指标.数据显 示,近年来中国各地政府对夜间经济的扶持力度加大,夜间经济的市场发展规模保持稳定增长,下表为 2017—2022年中国夜间经济的市场发展规模(单位:万亿元),设2017—2022年对应的年份代码依次为 1~6. 年份代码x 1 2 3 4 5 6 中国夜间经济的市场发展规模y/万亿元 20.5 22.9 26.4 30.9 36.4 42.4 (1)已知可用函数模型 拟合y与x的关系,请建立y关于x的回归方程(a,b的值精确到0.01); (2)某传媒公司发布的2023年中国夜间经济城市发展指数排行榜前10名中,吸引力超过90分的有4个,从 这10个城市中随机抽取5个,记吸引力超过90分的城市数量为X,求X的分布列与数学期望. 参考数据: 3.366 73.282 17.25 1.16其中 . 参考公式:对于一组数据 , ,…, ,其回归直线 的斜率和截距的最小二乘 法估计分别为 , . 【答案】(1) (2)分布列见解析,2 【分析】(1)将 的等号两边同时取对数,再结合回归直线的斜率和截距的最小二乘法求得结果; (2)X的所有可能取值为0,1,2,3,4,根据超几何分布求出分布列以及数学期望. 【详解】(1)将 的等号两边同时取对数得 , 所以 . , . 所以 , . 所以 ,即 , 所以 . (2)由题可知X的所有可能取值为0,1,2,3,4, , ,, , . 所以X的分布列为 X 0 1 2 3 4 P . 21.2023年9月23日第19届亚运会在杭州开幕,本届亚运会共设40个竞赛大项,包括31个奥运项目和9 个非奥运项目.为研究不同性别学生对杭州亚运会项目的了解情况,某学校进行了一次抽样调查,分别抽取 男生和女生各50名作为样本,设事件 “了解亚运会项目”, “学生为女生”,据统计 , . 附: , . 0.050 0.010 0.001 3.841 6.635 10.828 (1)根据已知条件,填写下列2×2列联表,并依据 的独立性检验,能否认为该校学生对亚运会项目 的了解情况与性别有关? 了解 不了解 合计 男生 女生 合计 (2)现从该校了解亚运会项目的学生中,采用分层随机抽样的方法随机抽取9名学生,再从这9名学生中随 机抽取4人,设抽取的4人中男生的人数为 ,求 的分布列和数学期望. 【答案】(1)列联表见解析,该校学生对杭州亚运会项目的了解情况与性别无关 (2)分布列见解析,数学期望为【分析】(1)根据题中所给条件填写表格,写出零假设,根据列联表中数据计算出 值,与 比 较,得出结论即可. (2)根据题意知其服从超几何分布,列出分布列,求出数学期望即可. 【详解】(1)因为 , , 所以对杭州亚运会项目了解的女生为 ,了解亚运会项目的学生为 , 结合男生和女生各50名,填写2×2列联表为: 了解 不了解 合计 男生 15 35 50 女生 30 20 50 合计 45 55 100 零假设 :该校学生对杭州亚运会项目的了解情况与性别无关, 根据列联表中的数据 , 依据 的独立性检验,可以推断 成立, 即该校学生对杭州亚运会项目的了解情况与性别无关. (2)由(1)知,采用分层随机抽样的方法随机抽取9名学生, 其中男生人数为 (人); 女生人数为 (人), 由题意可得,随机变量 的所有可能取值为0,1,2,3. , , , .随机变量 的分布列如下: 0 1 2 3 则 . 22.ChatGPT是由人工智能研究实验室OpenAI于2022年11月30日发布的一款全新聊天机器人棋型,它 能够通过学习和理解人类的语言来进行对话,ChatGPT的开发主要采用PLHF(人类反馈强化学习)技术. 在测试ChatGPT时,如果输入的问题没有语法错误,则ChatGPT的回答被采纳的概率为 ,当出现语 法错误时,ChatGPT的回答被采纳的概率为 . (1)在某次测试中输入了7个问题,ChatGPT的回答有5个被采纳.现从这7个问题中抽取3个,以 表示这 抽取的问题中回答被采纳的问题个数,求 的分布列和数学期望; (2)已知输入的问题出现语法错误的概率为 , (i)求ChatGPT的回答被采纳的概率; (ii)若已知ChatGPT的回答被采纳,求该问题的输入没有语法错误的概率. 【答案】(1)分布列见解析, (2)(ⅰ) ;(ⅱ) 【分析】(1) 服从超几何概率分布,直接求解即可. (2)利用全概率公式求解ChatGPT的回答被采纳的概率;利用条件概率公式求解该问题的输入没有语法 错误的概率即可. 【详解】(1)易知 的所有取值为1,2,3, 此时 , , , 所以 的分布列为: 1 2 3则 ; (2)(ⅰ)记“输入的问题没有语法错误”为事件A, 记“输入的问题有语法错误”为事件 , 记“ChatGPT的回答被采纳”为事件 , 易知 , 所以 , , , ; (ⅱ)若ChatGPT的回答被采纳,则该问题的输入没有语法错误的概率 23.某班为了庆祝我国传统节日中秋节,设计了一个小游戏:在一个不透明箱中装有4个黑球,3个红球, 1个黄球,这些球除颜色外完全相同.每位学生从中一次随机摸出3个球,观察颜色后放回.若摸出的球中有 个红球,则分得 个月饼;若摸出的球中有黄球,则需要表演一个节目. (1)求一学生既分得月饼又要表演节目的概率; (2)求每位学生分得月饼数的概率分布和数学期望. 【答案】(1) (2)分布列见解析,数学期望为 【分析】(1)由题意分析可知有两种可能:“2个红球1个黄球”和“1个黑球,1个红球,1个黄球”, 进而结合组合数运算求解; (2)由题意可知 的可能取值为:0,1,2,3,结合超几何分布求分布列和期望. 【详解】(1)记“一学生既分得月饼又要表演节目”为事件A, 可知有两种可能:“2个红球1个黄球”和“1个黑球,1个红球,1个黄球”, 所以 . (2)由题意可知 的可能取值为:0,1,2,3,则有:, , 可得 的分布列为 0 1 2 3 所以 . 24.有3男、2女共5位学生,从中随机选取3人参加创建文明城区宣传活动,用随机变量X、Y分别表示被 选中的男生、女生人数. (1)写出 的分布,并求 的值; (2)求 的值. 【答案】(1)分布列见解析, , (2) 【分析】(1)根据超几何分布求 的分布和 ,并利用期望的性质求 ; (2)根据 的分布列求 ,并利用方差的性质求 . 【详解】(1)根据题意可知: 的可能取值为1,2,3,则有: , , , 可得 的分布为 1 2 3所以 , 又因为 ,即 ,所以 . (2)由(1)可知: , 且 ,可知 . 题型三 二项分布 策略方法 二项分布的实际应用问题,主要是指与独立重复试验中的概率计算和离散型随机变量的分布 列、期望及方差的求解等有关的问题.解题的关键如下: ①定型,“独立”“重复”是二项分布的基本特征,“每次试验事件发生的概率都相等”是 二项分布的本质特征.判断随机变量是否服从二项分布,要看在一次试验中是否只有两种试 验结果,且两种试验结果发生的概率分别为p,1-p,还要看是否为n次独立重复试验,随机 变量是否为某事件在这n次独立重复试验中发生的次数. ②定参,确定二项分布中的两个参数n和p,即试验发生的次数和试验中事件发生的概率. ③列表,根据离散型随机变量的取值及其对应的概率,列出分布列. ④求值,根据离散型随机变量的期望和方差公式,代入相应数据求值. 相关公式:已知X~B(n,p),则P(X=k)=Cpk(1-p)n-k(k=0,1,2,…,n),E(X)=np,D(X)= np(1-p). 【典例1】.某市医疗保险实行定点医疗制度,按照“就近就医,方便管理”的原则,参加保险人员可自 主选择四家医疗保险定点医院和一家社区医院作为本人就诊的医疗机构.若甲、乙、丙、丁4名参加保险人 员所在地区有A,B,C三家社区医院,并且他们的选择相互独立.设4名参加保险人员选择A社区医院的 人数为X,求X的分布列及数学期望. 【答案】X的分布列见解析,数学期望为 人 【分析】根据已知条件转化为二项分布,结合相关知识求分布列和期望即可. 【详解】由已知得,每位参加保险人员选择A社区的概率为 , 4名人员选择A社区即4次独立重复试验,即 ,X的可能取值为0,1,2,3,4, 所以 , , , , 所以X的分布列为 X 0 1 2 3 4 P (人), 即X的数学期望为 人 【典例2】随着国力的发展,人们的生活水平越来越好,我国的人均身高较新中国成立初期有大幅提高. 为了掌握学生的体质与健康现状,合理制订学校体育卫生工作发展规划,某市进行了一次全市高中男生身 高统计调查,数据显示全市30000名高中男生的身高 (单位:cm)服从正态分布 ,且 ,试估计该市身高高于180cm的高中男生人数. 【答案】 【分析】根据正态分布的对称性求出 ,即可估计该市身高高于180cm的高中男生人数.【详解】解:全市30000名高中男生的身高 (单位:cm)服从正态分布 , 且 ,则 , 所以该市身高高于180cm的高中男生人数大约为 . 【题型训练】 一、单选题 1.已知随机变量 服从二项分布 ,即 等于( ) A. B. C. D. 【答案】D 【分析】根据二项分布的公式计算即可得答案. 【详解】因为随机变量 服从二项分布 , 所以 . 故选:D 2.“锦里开芳宴,兰缸艳早年.”元宵节是中国非常重要的传统节日,某班级准备进行“元宵福气到”抽奖 活动福袋中装有标号分别为1, 2, 3, 4, 5的五个相同小球,从袋中一次性摸出三个小球,若号码之 和是3的倍数,则获奖.若有5名同学参与此次活动,则恰好3人获奖的概率是( ) A. B. C. D. 【答案】C 【分析】先求出抽一次获奖的概率 ,设5人中获奖人数为 ,则 ,然后由二项分布的概率公 式计算概率. 【详解】每次抽奖中,总情况数为 种,获奖的共有 这4种,所以,设5人中获奖人数为 ,则 , 所以 , 故选:C. 3.某人参加一次考试,共有4道试题,至少答对其中3道试题才能合格.若他答每道题的正确率均为0.5, 并且答每道题之间相互独立,则他能合格的概率为( ) A. B. C. D. 【答案】A 【分析】运用二项分布的概率公式进行求解即可. 【详解】由题意可知:他能合格的概率为 , 故选:A 4.某射手每次射击击中目标的概率是0.6,且各次射击的结果互不影响,则该射手射击30次恰有18次击 中目标的概率为( ) A. B. C. D. 【答案】B 【分析】依据二项分布的概率公式来解. 【详解】设 为射手在30次射击中击中目标的次数,则 , 故在30次射击中,恰有18次击中目标的概率为 . 故选:B. 5.已知每门大炮击中目标的概率都是0.5,现有10门大炮同时对某一目标各射击一次.记恰好击中目标3 次的概率为A;若击中目标记2分,记10门大炮总得分的期望值为B,则A,B的值分别为( ) A. ,5 B. ,10 C. ,5 D. ,10 【答案】B 【分析】根据题意得其机种次数和期望符合二项分布,利用其期望公式即可得到 值,再利用其概率公式计算 值即可. 【详解】设10门大炮击中目标的次数为 ,则根据题意可得 , 门大炮总得分的期望值为 , , 故选:B. 6.技术员小李对自己培育的新品种蔬菜种子进行发芽率的试验,每个试验组3个坑,每个坑种1粒种子. 经过大量试验,每个试验组没有发芽的坑数平均数为 ,则每粒种子发芽的概率 ( ) A. B. C. D. 【答案】C 【分析】每个坑不发芽的概率为 ,设每组不发芽的坑数为X,根据题意得出 ,利用 二项分布进而求解即可. 【详解】由题意知,每组中各个坑是否发芽相互独立,每个坑不发芽的概率为 , 设每组不发芽的坑数为X,则 ,所以每组没有发芽的坑数的平均数为 , 解得 ,所以每个种子的发芽率为 . 故选:C. 7.数轴上一个质点在随机外力的作用下,从原点0出发,每隔1秒向左或向右移动一个单位,已知向右移 动的概率为 ,向左移动的概率为 ,共移动6次,则质点位于2的位置的概率是( ) A. B.C. D. 【答案】C 【分析】设向左移动次数为 ,分析出其服从二项分布,再计算 即可. 【详解】此实验满足6重伯努利实验,设向左移动次数为 ,则 , 根据从0移动到2,且移动6次,则需向右移动4次,向左移动2次, 则 , 故选:C. 8.琴棋书画是中国古代四大艺术,源远流长,琴棋书画之棋,指的就是围棋.已知甲、乙两人进行五局 围棋比赛,甲每局获胜的概率都是 ,且各局的胜负相互独立,设甲获胜的局数为 ,则 ( ) A. B. C. D.2 【答案】C 【分析】由于甲每局获胜的概率都是 ,且各局的胜负相互独立,可知该试验是独立重复试验,服从二项 分布,利用二项分布的方差计算公式即可求解. 【详解】因为甲每局获胜的概率都是 ,且各局的胜负相互独立, 所以甲获胜的局数 , 则 . 故选:C. 9.设随机变量 , ,则 ( ) A. B. C. D. 【答案】D【分析】利用二项分布的方差公式求出 的值,再利用方差的性质可求得 的值. 【详解】因为随机变量 ,则 , 又因为 ,则 . 故选:D. 10.某次数学测验共有10道单选题(四个选项中只有一项是正确的),某同学全都不会做,记该同学做对 的题目数为 ,且 服从二项分布 ,则以下说法错误的是( ) A. B. C. D. 【答案】D 【分析】根据二项分布的均值公式、方差公式、均值性质以及概率公式计算可得答案. 【详解】因为 ,所以 ,故A正确; ,故B正确; ,故C正确; ,故D错误. 故选:D 11.甲、乙两人进行比赛,假设每局甲胜的概率为0.6,乙胜的概率为0.4,且各局比赛互不影响.若采取 “5局3胜制”,则概率最大的比赛结果是( ) A.乙 赢得比赛 B.甲 赢得比赛 C.甲 赢得比赛 D.甲 赢得比赛 【答案】C 【分析】根据二项分布的概率公式一一计算比较大小即可.【详解】若乙 赢得比赛,即乙前四场赢两场,第五场赢, 故其概率为: ; 同理若甲 赢得比赛,其概率为: ; 若甲 赢得比赛,即甲前三场都赢,其概率为: ; 若甲 赢得比赛,即甲前三场赢两场,第四场赢,其概率为: , 综上甲 赢得比赛,其概率最大. 故选:C 12.排球比赛实行“五局三胜制”,根据此前的若干次比赛数据统计可知,在甲、乙两队的比赛中,每场 比赛甲队获胜的概率为 ,乙队获胜的概率为 ,则在这场“五局三胜制”的排球赛中乙队获胜的概率为 ( ) A. B. C. D. 【答案】C 【分析】乙队获胜可分为乙队以 或 或 的比分获胜.然后分别求出各种情况的概率,加起来即可; 也可以构建二项分布模型解决. 【详解】解法一:乙队获胜可分为乙队以 或 或 的比分获胜. 乙队以 获胜,即乙队三场全胜,概率为 ; 乙队以 获胜,即乙队前三场两胜一负,第四场获胜,概率为 ; 乙队以 获胜,即乙队前四场两胜两负,第五场获胜,概率为 . 所以,在这场“五局三胜制”的排球赛中乙队获胜的概率为 . 解法二:采用五局三胜制,不妨设赛满5局,用 表示5局比赛中乙胜的局数,则 .乙最终获胜的概率为 . 故选:C. 13.某人在19次射击中击中目标的次数为X,若 ,若 最大,则 ( ) A.14或15 B.15 C.15或16 D.16 【答案】C 【分析】由二项分布的概率计算公式及 计算即可. 【详解】因为在19次射击中击中目标的次数为X, , 所以 , 且 . 若 最大,则 . ,即 解得: , 因为 且 ,所以当 或 时, 最大. 故选:C. 14.为了远程性和安全性上与美国波音747竞争,欧洲空中客车公司设计并制造了 ,它是一种有四台 发动机的远程双过道宽体客机,取代只有两台发动机的 ,假设每一架飞机的引擎在飞行中出现故障 率为 ,且各引擎是否有故障是独立的,已知 飞机至少有3个引擎正常运行,飞机就可成功飞行; 飞机需要2个引擎全部正常运行,飞机才能成功飞行.若要使 飞机比 飞机更安全,则飞机 引擎的故障率应控制的范围是( ) A. B. C. D. 【答案】C【分析】利用独立重复事件概率公式,分别求两种飞机正常飞行的概率,再根据条件 列出不等式,即可求解. 【详解】若 飞机正常飞行,至少3个引擎正常运行, 概率 , 若 飞机正常飞行,2个引擎都正常运行,概率 , 由题意可知, ,解得: , 则 ,所以飞机引擎的故障率应控制的范围是 . 故选:C 15.甲乙二人争夺一场围棋比赛的冠军,若比赛为“三局两胜”制,甲在每局比赛中获胜的概率均为 , 各局比赛结果相互独立且没有平局,则在甲获得冠军的情况下,比赛进行了三局的概率为( ) A. B. C. D. 【答案】A 【分析】设甲获得冠军为 ,比赛进行了三局为 ,求出 、 的值,利用条件概率公式可求得 的值. 【详解】设甲获得冠军为事件 ,比赛进行了三局为事件 , 则 , , 所以 . 所以在甲获得冠军的情况下,比赛进行了三局的概率为 . 故选:A. 16.某同学进行一项投篮测试,若该同学连续三次投篮成功,则通过测试;若出现连续两次失败,则不通过测试.已知该同学每次投篮的成功率为 ,则该同学通过测试的概率为( ) A. B. C. D. 【答案】D 【分析】首先设第一次投篮成功后,通过的概率为 ,再列出关于 的等式,求 后,再求解通过测试的 概率. 【详解】设投篮只成功一次后通过,概率为 ,那么投篮只失败过一次后,下一次若投篮失败,则不通过, 故投篮只失败过一次后通过概率为 , 故 ,解得: , 故通过的概率为 . 故选:D 【点睛】思路点睛:本题考查独立事件乘法的意义,本题的思路是不从第一次投篮的概率算起,而是计算 投篮只成功一次后通过的概率. 17.为了发展农村经济,某乡镇政府根据当地的地理优势计划从A,B,C三种经济作物中选取两种进行种 植推广.通过调研得到当地村民愿意种植A,B,C的概率均分别为 , , ,若从当地村民中随机选取 4人进行交流,则其中至少有2人愿意种植A,且至少有1人愿意种植B的概率为( ) A. B. C. D. 【答案】D 【分析】由题意分三种情况讨论,再结合独立事件的乘法公式即可得出答案. 【详解】4人中,至少有2人愿意种植A,且至少有1人愿意种植B的可能性共有3种: ①有2人愿意种植A,愿意种植B,C的各有1人; ②有2人愿意种植A,有2人愿意种植B; ③有3人愿意种植A,有1人愿意种植B. 故所求概率 .故选:D. 18.某学生进行投篮训练,采取积分制,有7次投篮机会,投中一次得1分,不中得0分,若连续投中两 次则额外加1分,连续投中三次额外加2分,以此类推,连续投中七次额外加6分,假设该学生每次投中 的概率是 ,且每次投中之间相互独立,则该学生在此次训练中恰好得7分的概率是( ) A. B. C. D. 【答案】B 【分析】根据题意,分为连中4次,额外加3分,剩余3次不中、连中3次,额外加2分,剩余4次,两次 投中,两次没投中,且两次投中不连续和有两次连中两回,三类情况,结合独立重复试验的概率公式和互 斥事件的概率加法公式,即可求解. 【详解】根据题意,该学生在此次训练中恰好得7分,可分为三类情况: ①若连中4次,额外加3分,剩余3次不中,满足要求,此时将连中4次看作一个整体,与其他三次不中 排序,共有 种选择,故概率为 , ②若连中3次,额外加2分,剩余4次,两次投中,两次没投中,且两次投中不连续,故两次不中之间可 能为一次中,也可能是三次中,有以下情况: 中中中(不中)中(不中)中,中(不中)中中中(不中)中,中(不中)中(不中)中中中,则概率为 , ③若有两次连中两回,中中(不中)中中(不中)中,中(不中)中中(不中)中中,中中(不中)中 (不中)中中,满足要求,则概率为 , 综上,该生在比赛中恰好得7分的概率为 . 故选:B.二、多选题 19.一个盒子里放着大小、形状完全相同的1个黑球、2个白球、2个红球,现不放回地随机从盒子中摸球, 每次取一个,直到取到黑球为止,记摸到白球的个数为随机变量 ,则下列说法正确的是( ) A. B. C. D. 【答案】CD 【分析】A选项,分析出 所包含的情况,从而得到 ,BC选项,分析出 所包含的情况, 求出 ,D选项,利用 的所有可能有 ,利用对立事件的概率公式求出 . 【详解】A选项, ,分为第一次即取到黑球, 或第一次摸到红球,第二次摸到黑球, 或前两次均摸到红球,第三次摸到黑球, 故 ,A错误; BC选项, ,即第一次摸到白球,第二次摸到黑球, 或前两次一次摸到红球,一次摸到白球,第三次摸到黑球, 或前三次有两次摸到红球,一次摸到白球,第四次摸到黑球, 故 ,B错误,C正确; D选项, 的所有可能有 , 故 ,D正确. 故选:CD 20.若袋子中有2个白球,3个黑球(球除了颜色不同,没有其他任何区别),现从袋子中有放回地随机 取球4次,每次取一个球,取到白球记1分,取到黑球记0分,记4次取球的总分数为X,则( )A. B. C. D. 【答案】BCD 【分析】分析可知 ,可判断A选项;利用独立重复试验的概率可判断B选项;利用二项分布 的期望公式可判断C选项;利用二项分布的方差公式可判断D选项. 【详解】由题意知,每次取到白球的概率为 ,取到黑球的概率为 ,由于取到白球记1分,取到黑球记 0分, 所以X为4次取球取到白球的个数,易知 ,故A错误; ,故B 正确; ,故C正确; ,故D正确. 故选:BCD. 21.某区四所高中各自组建了排球队(分别记为“甲队”“乙队”“丙队”“丁队”)进行单循环比赛 (即每支球队都要跟其他各支球队进行一场比赛),最后按各队的积分排列名次,积分规则为每队胜一场 得3分,平一场得1分,负一场得0分.若每场比赛中两队胜、平、负的概率都为 ,则在比赛结束时 ( ) A.甲队积分为9分的概率为 B.四支球队的积分总和可能为15分 C.甲队胜3场且乙队胜1场的概率为 D.甲队输一场且积分超过其余每支球队积分的概率为 【答案】ABD 【分析】若甲队积分为9分,则甲胜乙、丙、丁,结合独立事件的概率公式运算判断A;举例比赛的各种 得分情况判断B;由互斥事件与独立事件的概率公式计算概率判断CD.【详解】对于选项A:若甲队积分为9分,则甲胜乙、丙、丁, 所以甲队积分为9分的概率为 ,故A正确; 对于选项B:四支球队共6场比赛,例如甲胜乙、丙、丁,而乙、丙、丁之间平, 则甲得9分,乙、丙、丁各得2分, 所以四支球队的积分总和可能为15分,故B正确; 对于选项C:每场比赛中两队胜、平、负的概率都为 , 则甲队胜3场且乙队胜1场的概率为 ,故C错误; 对于选项D:甲队在输了一场且其积分仍超过其余三支球队的积分, 三队中选一队与甲比赛,甲输, ,例如是丙甲, 若甲与乙、丁的两场比赛一赢一平,则甲只得4分, 这时,丙乙、丙丁两场比赛中丙只能输,否则丙的分数不小于4分,不合题意, 在丙输的情况下,乙、丁已有3分, 那个它们之间的比赛无论什么情况, 乙、丁中有一人得分不小于4分,不合题意; 若甲全赢(概率是 )时,甲得6分,其他3人分数最高为5分, 这时丙乙,丙丁两场比赛中丙不能赢否则丙的分数不小于6分,只有全平或全输, ①若丙一平一输,概率 ,如平乙,输丁,则乙丁比赛时,丁不能赢,概率 ; ②若丙两场均平,概率是 ,乙丁这场比赛无论结论如何均符合题意; ③若两场丙都输,概率是 ,乙丁这场比赛只能平,概率是 ; 综上概率为 ,故D正确. 故选:ABD. 【点睛】难点点睛:本题考查独立的概率与互斥事件的概率公式,难点在于分析丙在输第一场的情况下如何才能使得分超过其他三人,方法是结合列举法对六场比赛结果分步分析,确定每人的得分使之合乎题意. 22.一个质点在随机外力的作用下,从原点0出发,每隔 向左或向右移动一个单位,向左移动的概率为 ,向右移动的概率为 .则下列结论正确的有( ) A.第八次移动后位于原点0的概率为 B.第六次移动后位于4的概率为 C.第一次移动后位于-1且第五次移动后位于1的概率为 D.已知第二次移动后位于2,则第六次移动后位于4的概率为 【答案】BCD 【分析】运用二项分布可判断A项、B项,运用分步乘法计算可判断C项,运用条件概率公式计算可判断 D项. 【详解】对于A项,在8次移动中,设变量X为质点向右运动的次数,则 , 若移动8次后,质点位于0的位置,则质点向右移动4次,向左移动4次, 所以第八次移动后位于原点0的概率为 ,故A项错误; 对于B项,在6次移动中,设变量X为质点向右运动的次数,则 , 若移动6次后,质点位于4的位置,则质点向右移动5次,向左移动1次, 所以第八次移动后位于原点0的概率为 ,故B项正确; 对于C项,记“第一次移动后位于 ”为事件A,“第五次移动后位于1”为事件B, 由题意知,质点先向左移动1次,剩余的4次中质点向右移动3次,向左移动1次,所以第一次移动后位于 且第五次移动后位于1的概率为 ,故C项正确; 对于D项,记“第二次移动后位于2”为事件M,“第六次移动后位于4”为事件N, 当第二次移动后位于2且第六次移动后位于4时,质点先向右移动2次,剩余的4次中质点向右移动3次, 向左移动1次, 所以 , , 所以已知第二次移动后位于2,则第六次移动后位于1的概率为 ,故D项正确. 故选:BCD. 三、填空题 23.设随机变量 ,则 . 【答案】 【分析】根据二项分布的概率计算公式即可求解. 【详解】 随机变量服从 . 故答案为: 24.某篮球队对队员进行考核,规则是①每人进行3个轮次的投篮;②每个轮次每人投篮2次,若至少投 中1次,则本轮通过,否则不通过.已知队员甲投篮1次投中的概率为 ,如果甲各次投篮投中与否互不 影响,那么甲3个轮次通过的次数X的期望是 .【答案】 【分析】先求出甲每一轮通过的概率和未通过的概,由题意甲3个轮次通过的次数X服从二项分布,由二 项分布的期望公式可得答案. 【详解】在一轮投篮中,甲通过的概率为 ,未通过的概率为 . 甲3个轮次通过的次数X服从二项分布X~ , 由二项分布的期望公式,得E(X)=3× = 故答案为: 25.将一枚质地均匀的硬币重复抛掷10次,恰好出现3次正面朝上的概率为 . 【答案】 【分析】先求得正面向上的概率,再求得恰好出现3次正面向上的概率即可. 【详解】设“正面向上”为事件 ,则 ,则 , 所以恰好出现3次正面向上的概率为 , 故答案为: . 26.若随机变量 ,且 ,则 . 【答案】 【分析】根据二项分布的期望公式得 ,进而根据二项分布概率公式计算即可. 【详解】因为随机变量 ,且 , 所以 ,解得 , 则 .故答案为: . 27.甲、乙两名运动员进行羽毛球比赛,已知每局比赛甲胜的概率为 ,乙胜的概率为 ,且各局比赛 结果相互独立.当比赛采取 局 胜制时,甲用4局赢得比赛的概率为 .现甲,乙进行 局比赛,设甲 胜的局数为 则 . 【答案】 . 【分析】根据当比赛采取 局 胜制时,甲用4局赢得比赛的概率为 求出 的值,再根据二项分布求方 差即可. 【详解】由题意知: ,所以 , 所以每局比赛甲胜的概率为 ,乙胜的概率为 , 由题意知:随机变量 , 所以 . 故答案为: . 28.将一颗质地均匀的骰子(它是一种各面上分别标有点数1、2、3、4、5、6的正方体玩具)先后抛掷3 次,至少出现一次6点向上的概率是 . 【答案】 【分析】该题属于独立重复实验,利用二项分布概率公式 代入即可求解. 【详解】根据题意,该实验为独立重复实验,记6点向上的次数为 ,则 , ,故 ,因此至少出现一次6点向上的概率为 . 故答案为: . 29.甲与乙进行投篮游戏,在每局游戏中两人分别投篮两次,每局投进的次数之和不少于 次则胜利,已 知甲乙两名队员投篮相互独立且投进篮球的概率均为 ,设 为甲乙两名队员获得胜利的局数,若游戏的 局数是 ,则 . 【答案】 【分析】先利用相互独立事件的概率公式求出每局游戏中甲乙两名队员获得胜利的概率,再由二项分布的 期望公式即可求期望. 【详解】每局游戏中两人分别投篮两次,每局投进的次数之和不少于 次则胜利, 每局游戏胜利包括三种情况: 甲投中 次,乙投中 次,概率为 , 甲投中 次,乙投中 次,概率为 , 甲投中 次,乙投中 次,概率为 , 所以每局游戏甲乙两名队员获得胜利的概率为 , 若游戏的局数是 , 为甲乙两名队员获得胜利的局数,则 , 所以 , 故答案为: . 30.投壶是从先秦延续至清末的汉民族传统礼仪和宴饮游戏,在春秋战国时期较为盛行.如图所示的为一幅 唐朝的投壶图,假设甲、乙是唐朝的两位投壶游戏参与者,且甲、乙每次投壶投中的概率分别为 ,每人 每次投壶相互独立.若约定甲投壶2次,乙投壶3次,投中次数多者胜,则乙最后获胜的概率为 .【答案】 【分析】按照乙只投中1次、乙只投中2次、乙投中3次,分3种情况求出乙获胜的概率再相加可得结果. 【详解】若乙只投中1次,则甲投中0次时乙获胜,其概率为 ; 若乙只投中2次,则甲投中0次或1次时乙获胜,其概率为 ; 若乙投中3次,则乙必获胜,其概率为 , 综上所述:乙最后获胜的概率为 . 故答案为: 四、解答题 31.某闯关游戏共设置4道题,参加比赛的选手从第1题开始答题,一旦答错则停止答题,否则继续,直 到答完所有题目.设选手甲答对第1题的概率为 ,甲答对题序为 的题目的概率 , , 各题回答正确与否相互之间没有影响. (1)若甲已经答对了前3题,求甲答对第4题的概率; (2)求甲停止答题时答对题目数量 的分布列与数学期望. 【答案】(1) (2)分布列见解析;期望为 【分析】(1)根据题意,得到 ,进而求得甲答对第4题的概率; (2)根据题意,得到 可取 ,取得相应的概率,列出分布列,结合期望的公式,即可求解.【详解】(1)解:因为选手甲答对第1题的概率为 ,所以 ,即 , 所以若甲已经答对了前3题,则甲答对第4题的概率为 . (2)解:由题意得 , , , . 随机变量 可取 , 则 , , , , . 所以随机变量 分布列如下: X 0 1 2 3 4 P 所以 . 32.某中医研究所研制了一种治疗A疾病的中药,为了解其对A疾病的作用,要进行双盲实验.把60名患 有A疾病的志愿者随机平均分成两组,甲组正常使用这种中药,乙组用安慰剂代替中药,全部疗期后,统 计甲、乙两组的康复人数分别为20和5. (1)根据所给数据,完成下面 列联表,并判断是否有 的把握认为使用这种中药与A疾病康复有关 联? 康复 未康复 合计 甲组 20 30 乙组 5 30 合计 (2)若将乙组未用药(用安慰剂代替中药)而康复的频率视为这种疾病的自愈概率,现从患有A疾病的人群 中随机抽取3人,记其中能自愈的人数为 ,求 的分布列和数学期望. 附表:附: ,其中 . 注:双盲实验:是指在实验过程中,测验者与被测验者都不知道被测者所属的组别,(实验组或对照组), 分析者在分析资料时,通常也不知道正在分析的资料属于哪一组.旨在消除可能出现在实验者和参与者意 识当中的主观偏差和介入偏好.安慰剂:是指没有药物治疗作用,外形与真药相像的片、丸、针剂. 【答案】(1)列联表答案见解析,认为中药与 疾病康复有关联 (2)分布列见解析, 【分析】(1)根据题意列出 列联表,利用公式求得 的值,结合附表,即可得到结论; (2)由题意求得患有 疾病的自愈概率为 ,结合随机变量 ,即可求解. 【详解】(1)依题意,列出 列联表如下:单位:人 康复 末康复 合计 甲组 20 10 30 乙组 5 25 30 合计 25 35 60 零假设为 :组别与康复相互独立,即中药与 疾病康复无关, 则 , 根据小概率值 的独立性检验,我们推断 不成立, 即有 的把握认为中药与 疾病康复有关联. (2)由题意,乙组末用药而康复的频率为 , 所以患有 疾病的自愈概率为 , 随机变量 的可能取值为 ,由题意得,随机变量 ,所以 , , , , 所以 的分布列为: 所以 的数学期望 . 33.某中学为了响应国家双减政策,开展了校园娱乐活动.在一次五子棋比赛活动中,甲、乙两位同学每 赛一局,胜者得1分,对方得0分,没有平局.规定当一人比另一人多得5分或进行完10局比赛时,活动 结束.假设甲、乙两位同学获胜的概率都为 ,且两人各局胜负分别相互独立.已知现在已经进行了3局 比赛,甲得2分,乙得1分,在此基础上继续比赛. (1)只有当一人比另一人多得5分时,得分高者才能获得比赛奖品,求甲获得比赛奖品的概率; (2)设X表示该活动结束时所进行的比赛的总轮数,求X的分布列及数学期望. 【答案】(1) (2)分布列见解析, 【分析】(1)由题知甲 或 获胜时,能获得比赛奖品,结合题意可求其概率; (2)根据题意求出X的所有可能取值和相应的概率,列出分布列,求得数学期望. 【详解】(1)由题意可知甲 或 获胜时,能获得比赛奖品,此时概率 . (2) 的所有可能取值为7,9,10. , ,. 所以 的分布列为 7 9 10 则 . 34.某高校设计了一个实验学科的考查方案:考生从 道备选题中一次性随机抽取 题,按照题目要求独 立完成全部实验操作,规定至少正确完成其中 题才可提交通过.已知 道备选题中考生甲有 道题能正确 完成, 道题不能完成;考生乙每题正确完成的概率都是 ,且每题正确完成与否互不影响. (1)求甲考生正确完成实验操作的题数的分布列,并计算均值; (2)试从甲、乙两位考生正确完成实验操作的题数的均值、方差及至少正确完成 题的概率方面比较两位考 生的实验操作能力. 【答案】(1)分布列见解析;期望为 (2)答案见解析 【分析】(1)利用超几何分布直接求解即可得出结果. (2)利用二项分布求出考生乙分布列,比较甲乙操作题数的均值和方差及至少正确完成 题的概率即可得 出结论. 【详解】(1)设考生甲正确完成实验操作的题数为 , 则 的取值范围是 . , , , 所以 的分布列为: .(2)设考生乙正确完成实验操作的题数为 ,易知 , 所以 , , , . 所以 的分布列为: . 则 , , , , . 所以 , , 故从正确完成实验操作的题数的均值方面分析,两人水平相当; 从正确完成实验操作的题数的方差方面分析,甲的水平更稳定; 从至少正确完成 题的概率方面分析,甲通过的可能性更大. 因此甲的实验操作能力较强. 35.为了检查工厂生产的某产品的质量指标,随机抽取了部分产品进行检测,所得数据统计如下图所示. (1)求 的值以及这批产品的优质率:(注:产品质量指标达到130及以上为优质品); (2)若按照分层的方法从质量指标值在 的产品中随机抽取 件,再从这 件中随机抽取 件,求至少有一件的指标值在 的概率; (3)以本次抽检的频率作为概率,从工厂生产的所有产品中随机抽出 件,记这 件中优质产品的件数为 , 求 的分布列与数学期望. 【答案】(1) ,优质率为25% (2) (3)分布列见解析, 【分析】(1)由频率分布直方图中,所有频率之和为1及优质率的定义即可求得结果. (2)由分层抽样可得质量指标在 有 件,质量指标在 有 件,结合古典概型求其概率即 可. (3)由题意知,4件产品中优质产品的件数服从二项分布,即 ,进而运用公式求解即可. 【详解】(1)因为 ,所以 , 产品质量指标超过130的频率为 , 所以这批产品的优质率为25%. (2)因为质量指标在 和 的频率分别为0.4和0.3. 所以质量指标在 产品中抽取7件,则质量指标在 有 件,质量指标在 有 件. 所以从这7件中任取2件,至少有一件质量指标在 的概率为 . (3)因为抽到产品为优质产品的频率为0.25,以频率作为概率,所以每件产品为优质产品的概率为 . 所以4件产品中优质产品的件数 .则 , , 所以 , , , , , 所以 的分布列为 0 1 2 3 4 P . 36.学校举行定点投篮比赛,规定每人投篮4次,投中一球得2分,没有投中得0分,假设每次投篮投中 与否是相互独立的.已知小明每次投篮投中的概率都是 . (1)求小明在投篮过程中直到第三次才投中的概率; (2)求小明在4次投篮后的总得分ξ的分布列 【答案】(1) (2)分布列见解析 【分析】(1)小明在投篮过程中直到第三次才投中说明前两次没有投中,第三次投中,由此根据独立事 件的乘法公式求出概率; (2)小明在4次投篮后的总得分ξ的可能取值为0,2,4,6,8,根据独立重复事件的概率公式得出各概 率即可得出分布列. 【详解】(1)设“小明在投篮过程中直到第三次才投中”为事件 , 事件 说明小明前两次没有投中,第三次投中, ,小明在投篮过程中直到第三次才投中的概率为 . (2)小明在4次投篮后的总得分ξ的可能取值为0,2,4,6,8, , , , , , 则总得分的分布列为: 0 2 4 6 8 37.为了引导人民强健体魄,某市组织了一系列活动,其中乒乓球比赛的冠军由A,B两队争夺,已知A, B两队之间的比赛采用5局3胜制,且本次比赛共设有3000元奖金,奖金分配规则如下:①若比赛进行3 局即可决定胜负,则赢方获得全部奖金,输方没有奖金;②若比赛进行4局即可决定胜负,则赢方获得 90%的奖金,输方获得10%的奖金;③若比赛打满5局才决定胜负,则赢方获得80%的奖金,输方获得 20%的奖金.已知每局比赛A队,B队赢的概率分别为 , ,且每局比赛的结果相互独立. (1)若比赛进行4局即可决定胜负,则A队赢得比赛的概率为多少? (2)求A队获得奖金金额X的分布列及数学期望. 【答案】(1) (2)分布列见解析, 【分析】(1)由独立事件乘法公式、组合数公式直接计算即可.(2)由独立事件乘法公式、组合数公式先求出随机变量的可能的值及其相应的概率值,然后再列出分布 列,由期望公式直接计算即可. 【详解】(1)因为比赛进行了4局即可决定胜负,且A队赢得比赛, 所以第4局必然是A队赢,且前3局比赛中A队赢2局, 所以若比赛进行了4局即可决定胜负,则A队赢得比赛的概率为 . (2)由题意知X的所有可能取值为3000,2700,2400,600,300,0, 则 , , , , , , 所以X的分布列为 X 3000 2700 2400 600 300 0 P 所以 . 38.某电商车间生产了一批电子元件,为了检测元件是否合格,质检员设计了如图,甲所示的电路.于是他 在一批产品中随机抽取了电子元件 , ,安装在如图甲所示的电路中,已知元件 的合格率都为 ,元 件 的合格率都为 .(1)质检员在某次检测中,发现小灯泡亮了,他认为这三个电子元件都是合格的,求该质检员犯错误的概率; (2)经反复测验,质检员把一些电子元件 , 接入了图乙的电路中,记该电路中小灯泡亮的个数为 ,求 的分布列. 【答案】(1) (2)分布列见解析 【分析】(1)先求出灯泡亮的概率,再求出灯泡亮了,并且质检员犯错误的概率,结合条件概率即可得 解; (2)求出图甲中小灯泡亮的概率,再由 得到相应的概率,得到分布列. 【详解】(1)当小灯泡亮的时候,后一个元件 是合格的,前面的AB至少有一个是合格的, 概率 , 小灯泡亮了,并且质检员犯错误的情况,对于前面的元件 , 分为两大类: 第一类:元件 合格,元件 不合格,故 , 第二类:元件 合格,元件 不合格,故 , 所以在发现小灯泡亮了的前提下,该质检员犯错误的概率为: .(2)在图甲中,记小灯泡亮的概率为 ,则 , 所以 服从二项分布: , 则 , , , . ∴ 的分布列为: 0 1 2 3 39.树人中学某班同学看到有关产品抽检的资料后,自己设计了一个模拟抽检方案的摸球实验.在一个不 透明的箱子中放入10个小球代表从一批产品中抽取出的样本(小球除颜色外均相同),其中有 个红球( , ),代表合格品,其余为黑球,代表不合格品,从箱中逐一摸出 个小球,方案一为不 放回摸取,方案二为放回后再摸下一个,规定:若摸出的 个小球中有黑色球,则该批产品未通过抽检. (1)若采用方案一, , ,求该批产品未通过抽检的概率; (2)(ⅰ)若 ,试比较方案一和方案二,哪个方案使得该批产品通过抽检的概率大?并判断通过抽检 的概率能否大于 ?并说明理由. (ⅱ)若 , ,现采用(ⅰ)中概率最大的方案,设在一次实验中抽得的红球为 个,求 的分 布列及数学期望. 【答案】(1) (2)(ⅰ)方案二使得该批产品通过抽检的概率大,抽检的概率不能大于 .理由见解析,(ⅱ)分布列 见解析, 【分析】(1)根据题意可知小球为不放回,从而利用古典概型求解. (2)根据题意对(ⅰ)问中分别求出两种方案的概率,作差比较后,从而求解; 对(ⅱ)中根据题意可知对于方案二为有放回抽取,利用二项分布求出每次抽到的概率,求出分布列与期望 值.【详解】(1)设事件 为“该批产品未通过抽检”,则 . 所以该批产品未通过抽检的概率为 . (2)(ⅰ)设事件 为“方案一使得该批产品通过抽检”,事件 为“方案二使得该批产品通过抽检”, 则: , , 所以: , 因为 , ,所以上式小于 ,故方案二使得该批产品通过抽检的概率大, 又因为: , 所以通过抽检的概率不能大于 . (ⅱ)由题可得 ,所以 的可能取值为 , , , , 所以: , , , , 则 的分布列为: 所以 的期望 . 40.某校设计了一个实验学科的实验考查方案;考生从6道备选题中一次性随机抽取3题,按照题目要求 独立完成全部实验操作,规定:至少正确完成其中2题便可通过.已知6道备选题中考生甲有4题能正确完 成,2题不能完成;考生乙每题正确完成的概率都是 ,且每题正确完成与否互不影响,求: (1)分别写出甲、乙两考生正确完成题数的概率分布列,并计算数学期望; (2)试用统计知识分析比较两考生的实验操作能力. 【答案】(1)甲分布列见解析, ;乙分布列见解析, ;(2)答案不唯一,见解析. 【分析】(1)由题意可知,甲、乙两位考生正确完成实验操作的题数分别服从超几何和二项分布,分别 列出分布列,计算均值即可; (2)结合分布列中的数据,分别计算对应的均值、方差及至少正确完成2题的概率比较即可. 【详解】(1)设考生甲正确完成实验操作的题数为 ,则 的取值范围是 , , , , 所以 的分布列为 1 2 3 则 . 设考生乙正确完成实验操作的题数为 ,易知 , 所以 , , , . 所以 的分布列为 0 1 2 3 所以 . (2)由(1),知 , , , , . 所以 , ,故从正确完成实验操作的题数的均值方面分析,两人水平相当; 从正确完成实验操作的题数的方差方面分析,甲的水平更稳定; 从至少正确完成2题的概率方面分析,甲通过的可能性更大.因此甲的实验操作能力较强. 题型四 正态分布 策略方法 关于正态总体在某个区间内取值的概率求法 (1)熟记P(μ-σ