当前位置:首页>文档>期中真题精选(压轴60题专练)-八年级数学下学期(人教版)(教师版)_初中数学_八年级数学下册(人教版)_期中+期末

期中真题精选(压轴60题专练)-八年级数学下学期(人教版)(教师版)_初中数学_八年级数学下册(人教版)_期中+期末

  • 2026-04-01 14:21:27 2026-03-26 11:00:26

文档预览

期中真题精选(压轴60题专练)-八年级数学下学期(人教版)(教师版)_初中数学_八年级数学下册(人教版)_期中+期末
期中真题精选(压轴60题专练)-八年级数学下学期(人教版)(教师版)_初中数学_八年级数学下册(人教版)_期中+期末
期中真题精选(压轴60题专练)-八年级数学下学期(人教版)(教师版)_初中数学_八年级数学下册(人教版)_期中+期末
期中真题精选(压轴60题专练)-八年级数学下学期(人教版)(教师版)_初中数学_八年级数学下册(人教版)_期中+期末
期中真题精选(压轴60题专练)-八年级数学下学期(人教版)(教师版)_初中数学_八年级数学下册(人教版)_期中+期末
期中真题精选(压轴60题专练)-八年级数学下学期(人教版)(教师版)_初中数学_八年级数学下册(人教版)_期中+期末
期中真题精选(压轴60题专练)-八年级数学下学期(人教版)(教师版)_初中数学_八年级数学下册(人教版)_期中+期末
期中真题精选(压轴60题专练)-八年级数学下学期(人教版)(教师版)_初中数学_八年级数学下册(人教版)_期中+期末
期中真题精选(压轴60题专练)-八年级数学下学期(人教版)(教师版)_初中数学_八年级数学下册(人教版)_期中+期末
期中真题精选(压轴60题专练)-八年级数学下学期(人教版)(教师版)_初中数学_八年级数学下册(人教版)_期中+期末
期中真题精选(压轴60题专练)-八年级数学下学期(人教版)(教师版)_初中数学_八年级数学下册(人教版)_期中+期末
期中真题精选(压轴60题专练)-八年级数学下学期(人教版)(教师版)_初中数学_八年级数学下册(人教版)_期中+期末
期中真题精选(压轴60题专练)-八年级数学下学期(人教版)(教师版)_初中数学_八年级数学下册(人教版)_期中+期末
期中真题精选(压轴60题专练)-八年级数学下学期(人教版)(教师版)_初中数学_八年级数学下册(人教版)_期中+期末
期中真题精选(压轴60题专练)-八年级数学下学期(人教版)(教师版)_初中数学_八年级数学下册(人教版)_期中+期末
期中真题精选(压轴60题专练)-八年级数学下学期(人教版)(教师版)_初中数学_八年级数学下册(人教版)_期中+期末
期中真题精选(压轴60题专练)-八年级数学下学期(人教版)(教师版)_初中数学_八年级数学下册(人教版)_期中+期末
期中真题精选(压轴60题专练)-八年级数学下学期(人教版)(教师版)_初中数学_八年级数学下册(人教版)_期中+期末
期中真题精选(压轴60题专练)-八年级数学下学期(人教版)(教师版)_初中数学_八年级数学下册(人教版)_期中+期末
期中真题精选(压轴60题专练)-八年级数学下学期(人教版)(教师版)_初中数学_八年级数学下册(人教版)_期中+期末
期中真题精选(压轴60题专练)-八年级数学下学期(人教版)(教师版)_初中数学_八年级数学下册(人教版)_期中+期末
期中真题精选(压轴60题专练)-八年级数学下学期(人教版)(教师版)_初中数学_八年级数学下册(人教版)_期中+期末
期中真题精选(压轴60题专练)-八年级数学下学期(人教版)(教师版)_初中数学_八年级数学下册(人教版)_期中+期末
期中真题精选(压轴60题专练)-八年级数学下学期(人教版)(教师版)_初中数学_八年级数学下册(人教版)_期中+期末
期中真题精选(压轴60题专练)-八年级数学下学期(人教版)(教师版)_初中数学_八年级数学下册(人教版)_期中+期末
期中真题精选(压轴60题专练)-八年级数学下学期(人教版)(教师版)_初中数学_八年级数学下册(人教版)_期中+期末
期中真题精选(压轴60题专练)-八年级数学下学期(人教版)(教师版)_初中数学_八年级数学下册(人教版)_期中+期末
期中真题精选(压轴60题专练)-八年级数学下学期(人教版)(教师版)_初中数学_八年级数学下册(人教版)_期中+期末
期中真题精选(压轴60题专练)-八年级数学下学期(人教版)(教师版)_初中数学_八年级数学下册(人教版)_期中+期末
期中真题精选(压轴60题专练)-八年级数学下学期(人教版)(教师版)_初中数学_八年级数学下册(人教版)_期中+期末
期中真题精选(压轴60题专练)-八年级数学下学期(人教版)(教师版)_初中数学_八年级数学下册(人教版)_期中+期末
期中真题精选(压轴60题专练)-八年级数学下学期(人教版)(教师版)_初中数学_八年级数学下册(人教版)_期中+期末
期中真题精选(压轴60题专练)-八年级数学下学期(人教版)(教师版)_初中数学_八年级数学下册(人教版)_期中+期末
期中真题精选(压轴60题专练)-八年级数学下学期(人教版)(教师版)_初中数学_八年级数学下册(人教版)_期中+期末
期中真题精选(压轴60题专练)-八年级数学下学期(人教版)(教师版)_初中数学_八年级数学下册(人教版)_期中+期末
期中真题精选(压轴60题专练)-八年级数学下学期(人教版)(教师版)_初中数学_八年级数学下册(人教版)_期中+期末
期中真题精选(压轴60题专练)-八年级数学下学期(人教版)(教师版)_初中数学_八年级数学下册(人教版)_期中+期末
期中真题精选(压轴60题专练)-八年级数学下学期(人教版)(教师版)_初中数学_八年级数学下册(人教版)_期中+期末
期中真题精选(压轴60题专练)-八年级数学下学期(人教版)(教师版)_初中数学_八年级数学下册(人教版)_期中+期末
期中真题精选(压轴60题专练)-八年级数学下学期(人教版)(教师版)_初中数学_八年级数学下册(人教版)_期中+期末
期中真题精选(压轴60题专练)-八年级数学下学期(人教版)(教师版)_初中数学_八年级数学下册(人教版)_期中+期末
期中真题精选(压轴60题专练)-八年级数学下学期(人教版)(教师版)_初中数学_八年级数学下册(人教版)_期中+期末
期中真题精选(压轴60题专练)-八年级数学下学期(人教版)(教师版)_初中数学_八年级数学下册(人教版)_期中+期末
期中真题精选(压轴60题专练)-八年级数学下学期(人教版)(教师版)_初中数学_八年级数学下册(人教版)_期中+期末
期中真题精选(压轴60题专练)-八年级数学下学期(人教版)(教师版)_初中数学_八年级数学下册(人教版)_期中+期末
期中真题精选(压轴60题专练)-八年级数学下学期(人教版)(教师版)_初中数学_八年级数学下册(人教版)_期中+期末
期中真题精选(压轴60题专练)-八年级数学下学期(人教版)(教师版)_初中数学_八年级数学下册(人教版)_期中+期末
期中真题精选(压轴60题专练)-八年级数学下学期(人教版)(教师版)_初中数学_八年级数学下册(人教版)_期中+期末
期中真题精选(压轴60题专练)-八年级数学下学期(人教版)(教师版)_初中数学_八年级数学下册(人教版)_期中+期末
期中真题精选(压轴60题专练)-八年级数学下学期(人教版)(教师版)_初中数学_八年级数学下册(人教版)_期中+期末
期中真题精选(压轴60题专练)-八年级数学下学期(人教版)(教师版)_初中数学_八年级数学下册(人教版)_期中+期末
期中真题精选(压轴60题专练)-八年级数学下学期(人教版)(教师版)_初中数学_八年级数学下册(人教版)_期中+期末
期中真题精选(压轴60题专练)-八年级数学下学期(人教版)(教师版)_初中数学_八年级数学下册(人教版)_期中+期末
期中真题精选(压轴60题专练)-八年级数学下学期(人教版)(教师版)_初中数学_八年级数学下册(人教版)_期中+期末
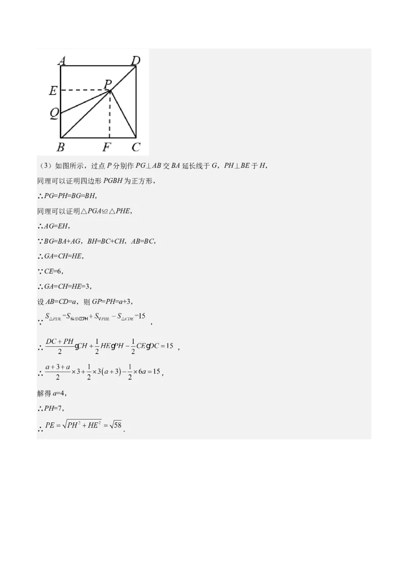
期中真题精选(压轴60题专练)-八年级数学下学期(人教版)(教师版)_初中数学_八年级数学下册(人教版)_期中+期末
期中真题精选(压轴60题专练)-八年级数学下学期(人教版)(教师版)_初中数学_八年级数学下册(人教版)_期中+期末
期中真题精选(压轴60题专练)-八年级数学下学期(人教版)(教师版)_初中数学_八年级数学下册(人教版)_期中+期末
期中真题精选(压轴60题专练)-八年级数学下学期(人教版)(教师版)_初中数学_八年级数学下册(人教版)_期中+期末
期中真题精选(压轴60题专练)-八年级数学下学期(人教版)(教师版)_初中数学_八年级数学下册(人教版)_期中+期末
期中真题精选(压轴60题专练)-八年级数学下学期(人教版)(教师版)_初中数学_八年级数学下册(人教版)_期中+期末
期中真题精选(压轴60题专练)-八年级数学下学期(人教版)(教师版)_初中数学_八年级数学下册(人教版)_期中+期末
期中真题精选(压轴60题专练)-八年级数学下学期(人教版)(教师版)_初中数学_八年级数学下册(人教版)_期中+期末
期中真题精选(压轴60题专练)-八年级数学下学期(人教版)(教师版)_初中数学_八年级数学下册(人教版)_期中+期末
期中真题精选(压轴60题专练)-八年级数学下学期(人教版)(教师版)_初中数学_八年级数学下册(人教版)_期中+期末
期中真题精选(压轴60题专练)-八年级数学下学期(人教版)(教师版)_初中数学_八年级数学下册(人教版)_期中+期末
期中真题精选(压轴60题专练)-八年级数学下学期(人教版)(教师版)_初中数学_八年级数学下册(人教版)_期中+期末
期中真题精选(压轴60题专练)-八年级数学下学期(人教版)(教师版)_初中数学_八年级数学下册(人教版)_期中+期末
期中真题精选(压轴60题专练)-八年级数学下学期(人教版)(教师版)_初中数学_八年级数学下册(人教版)_期中+期末
期中真题精选(压轴60题专练)-八年级数学下学期(人教版)(教师版)_初中数学_八年级数学下册(人教版)_期中+期末
期中真题精选(压轴60题专练)-八年级数学下学期(人教版)(教师版)_初中数学_八年级数学下册(人教版)_期中+期末
期中真题精选(压轴60题专练)-八年级数学下学期(人教版)(教师版)_初中数学_八年级数学下册(人教版)_期中+期末
期中真题精选(压轴60题专练)-八年级数学下学期(人教版)(教师版)_初中数学_八年级数学下册(人教版)_期中+期末
期中真题精选(压轴60题专练)-八年级数学下学期(人教版)(教师版)_初中数学_八年级数学下册(人教版)_期中+期末
期中真题精选(压轴60题专练)-八年级数学下学期(人教版)(教师版)_初中数学_八年级数学下册(人教版)_期中+期末
期中真题精选(压轴60题专练)-八年级数学下学期(人教版)(教师版)_初中数学_八年级数学下册(人教版)_期中+期末
期中真题精选(压轴60题专练)-八年级数学下学期(人教版)(教师版)_初中数学_八年级数学下册(人教版)_期中+期末
期中真题精选(压轴60题专练)-八年级数学下学期(人教版)(教师版)_初中数学_八年级数学下册(人教版)_期中+期末
期中真题精选(压轴60题专练)-八年级数学下学期(人教版)(教师版)_初中数学_八年级数学下册(人教版)_期中+期末
期中真题精选(压轴60题专练)-八年级数学下学期(人教版)(教师版)_初中数学_八年级数学下册(人教版)_期中+期末
期中真题精选(压轴60题专练)-八年级数学下学期(人教版)(教师版)_初中数学_八年级数学下册(人教版)_期中+期末
期中真题精选(压轴60题专练)-八年级数学下学期(人教版)(教师版)_初中数学_八年级数学下册(人教版)_期中+期末
期中真题精选(压轴60题专练)-八年级数学下学期(人教版)(教师版)_初中数学_八年级数学下册(人教版)_期中+期末
期中真题精选(压轴60题专练)-八年级数学下学期(人教版)(教师版)_初中数学_八年级数学下册(人教版)_期中+期末
期中真题精选(压轴60题专练)-八年级数学下学期(人教版)(教师版)_初中数学_八年级数学下册(人教版)_期中+期末
期中真题精选(压轴60题专练)-八年级数学下学期(人教版)(教师版)_初中数学_八年级数学下册(人教版)_期中+期末
期中真题精选(压轴60题专练)-八年级数学下学期(人教版)(教师版)_初中数学_八年级数学下册(人教版)_期中+期末
期中真题精选(压轴60题专练)-八年级数学下学期(人教版)(教师版)_初中数学_八年级数学下册(人教版)_期中+期末
期中真题精选(压轴60题专练)-八年级数学下学期(人教版)(教师版)_初中数学_八年级数学下册(人教版)_期中+期末
期中真题精选(压轴60题专练)-八年级数学下学期(人教版)(教师版)_初中数学_八年级数学下册(人教版)_期中+期末
期中真题精选(压轴60题专练)-八年级数学下学期(人教版)(教师版)_初中数学_八年级数学下册(人教版)_期中+期末
期中真题精选(压轴60题专练)-八年级数学下学期(人教版)(教师版)_初中数学_八年级数学下册(人教版)_期中+期末
期中真题精选(压轴60题专练)-八年级数学下学期(人教版)(教师版)_初中数学_八年级数学下册(人教版)_期中+期末
期中真题精选(压轴60题专练)-八年级数学下学期(人教版)(教师版)_初中数学_八年级数学下册(人教版)_期中+期末
期中真题精选(压轴60题专练)-八年级数学下学期(人教版)(教师版)_初中数学_八年级数学下册(人教版)_期中+期末
期中真题精选(压轴60题专练)-八年级数学下学期(人教版)(教师版)_初中数学_八年级数学下册(人教版)_期中+期末
期中真题精选(压轴60题专练)-八年级数学下学期(人教版)(教师版)_初中数学_八年级数学下册(人教版)_期中+期末
期中真题精选(压轴60题专练)-八年级数学下学期(人教版)(教师版)_初中数学_八年级数学下册(人教版)_期中+期末
期中真题精选(压轴60题专练)-八年级数学下学期(人教版)(教师版)_初中数学_八年级数学下册(人教版)_期中+期末
期中真题精选(压轴60题专练)-八年级数学下学期(人教版)(教师版)_初中数学_八年级数学下册(人教版)_期中+期末
期中真题精选(压轴60题专练)-八年级数学下学期(人教版)(教师版)_初中数学_八年级数学下册(人教版)_期中+期末
期中真题精选(压轴60题专练)-八年级数学下学期(人教版)(教师版)_初中数学_八年级数学下册(人教版)_期中+期末
期中真题精选(压轴60题专练)-八年级数学下学期(人教版)(教师版)_初中数学_八年级数学下册(人教版)_期中+期末
期中真题精选(压轴60题专练)-八年级数学下学期(人教版)(教师版)_初中数学_八年级数学下册(人教版)_期中+期末
期中真题精选(压轴60题专练)-八年级数学下学期(人教版)(教师版)_初中数学_八年级数学下册(人教版)_期中+期末
期中真题精选(压轴60题专练)-八年级数学下学期(人教版)(教师版)_初中数学_八年级数学下册(人教版)_期中+期末
期中真题精选(压轴60题专练)-八年级数学下学期(人教版)(教师版)_初中数学_八年级数学下册(人教版)_期中+期末
期中真题精选(压轴60题专练)-八年级数学下学期(人教版)(教师版)_初中数学_八年级数学下册(人教版)_期中+期末
期中真题精选(压轴60题专练)-八年级数学下学期(人教版)(教师版)_初中数学_八年级数学下册(人教版)_期中+期末
期中真题精选(压轴60题专练)-八年级数学下学期(人教版)(教师版)_初中数学_八年级数学下册(人教版)_期中+期末
期中真题精选(压轴60题专练)-八年级数学下学期(人教版)(教师版)_初中数学_八年级数学下册(人教版)_期中+期末
期中真题精选(压轴60题专练)-八年级数学下学期(人教版)(教师版)_初中数学_八年级数学下册(人教版)_期中+期末
期中真题精选(压轴60题专练)-八年级数学下学期(人教版)(教师版)_初中数学_八年级数学下册(人教版)_期中+期末
期中真题精选(压轴60题专练)-八年级数学下学期(人教版)(教师版)_初中数学_八年级数学下册(人教版)_期中+期末
期中真题精选(压轴60题专练)-八年级数学下学期(人教版)(教师版)_初中数学_八年级数学下册(人教版)_期中+期末
期中真题精选(压轴60题专练)-八年级数学下学期(人教版)(教师版)_初中数学_八年级数学下册(人教版)_期中+期末
期中真题精选(压轴60题专练)-八年级数学下学期(人教版)(教师版)_初中数学_八年级数学下册(人教版)_期中+期末
期中真题精选(压轴60题专练)-八年级数学下学期(人教版)(教师版)_初中数学_八年级数学下册(人教版)_期中+期末
期中真题精选(压轴60题专练)-八年级数学下学期(人教版)(教师版)_初中数学_八年级数学下册(人教版)_期中+期末
期中真题精选(压轴60题专练)-八年级数学下学期(人教版)(教师版)_初中数学_八年级数学下册(人教版)_期中+期末
期中真题精选(压轴60题专练)-八年级数学下学期(人教版)(教师版)_初中数学_八年级数学下册(人教版)_期中+期末
期中真题精选(压轴60题专练)-八年级数学下学期(人教版)(教师版)_初中数学_八年级数学下册(人教版)_期中+期末
期中真题精选(压轴60题专练)-八年级数学下学期(人教版)(教师版)_初中数学_八年级数学下册(人教版)_期中+期末
期中真题精选(压轴60题专练)-八年级数学下学期(人教版)(教师版)_初中数学_八年级数学下册(人教版)_期中+期末
期中真题精选(压轴60题专练)-八年级数学下学期(人教版)(教师版)_初中数学_八年级数学下册(人教版)_期中+期末
期中真题精选(压轴60题专练)-八年级数学下学期(人教版)(教师版)_初中数学_八年级数学下册(人教版)_期中+期末
期中真题精选(压轴60题专练)-八年级数学下学期(人教版)(教师版)_初中数学_八年级数学下册(人教版)_期中+期末
期中真题精选(压轴60题专练)-八年级数学下学期(人教版)(教师版)_初中数学_八年级数学下册(人教版)_期中+期末
期中真题精选(压轴60题专练)-八年级数学下学期(人教版)(教师版)_初中数学_八年级数学下册(人教版)_期中+期末
期中真题精选(压轴60题专练)-八年级数学下学期(人教版)(教师版)_初中数学_八年级数学下册(人教版)_期中+期末
期中真题精选(压轴60题专练)-八年级数学下学期(人教版)(教师版)_初中数学_八年级数学下册(人教版)_期中+期末
期中真题精选(压轴60题专练)-八年级数学下学期(人教版)(教师版)_初中数学_八年级数学下册(人教版)_期中+期末
期中真题精选(压轴60题专练)-八年级数学下学期(人教版)(教师版)_初中数学_八年级数学下册(人教版)_期中+期末
期中真题精选(压轴60题专练)-八年级数学下学期(人教版)(教师版)_初中数学_八年级数学下册(人教版)_期中+期末
期中真题精选(压轴60题专练)-八年级数学下学期(人教版)(教师版)_初中数学_八年级数学下册(人教版)_期中+期末
期中真题精选(压轴60题专练)-八年级数学下学期(人教版)(教师版)_初中数学_八年级数学下册(人教版)_期中+期末
期中真题精选(压轴60题专练)-八年级数学下学期(人教版)(教师版)_初中数学_八年级数学下册(人教版)_期中+期末
期中真题精选(压轴60题专练)-八年级数学下学期(人教版)(教师版)_初中数学_八年级数学下册(人教版)_期中+期末
期中真题精选(压轴60题专练)-八年级数学下学期(人教版)(教师版)_初中数学_八年级数学下册(人教版)_期中+期末
期中真题精选(压轴60题专练)-八年级数学下学期(人教版)(教师版)_初中数学_八年级数学下册(人教版)_期中+期末
期中真题精选(压轴60题专练)-八年级数学下学期(人教版)(教师版)_初中数学_八年级数学下册(人教版)_期中+期末
期中真题精选(压轴60题专练)-八年级数学下学期(人教版)(教师版)_初中数学_八年级数学下册(人教版)_期中+期末
期中真题精选(压轴60题专练)-八年级数学下学期(人教版)(教师版)_初中数学_八年级数学下册(人教版)_期中+期末
期中真题精选(压轴60题专练)-八年级数学下学期(人教版)(教师版)_初中数学_八年级数学下册(人教版)_期中+期末
期中真题精选(压轴60题专练)-八年级数学下学期(人教版)(教师版)_初中数学_八年级数学下册(人教版)_期中+期末
期中真题精选(压轴60题专练)-八年级数学下学期(人教版)(教师版)_初中数学_八年级数学下册(人教版)_期中+期末
期中真题精选(压轴60题专练)-八年级数学下学期(人教版)(教师版)_初中数学_八年级数学下册(人教版)_期中+期末
期中真题精选(压轴60题专练)-八年级数学下学期(人教版)(教师版)_初中数学_八年级数学下册(人教版)_期中+期末
期中真题精选(压轴60题专练)-八年级数学下学期(人教版)(教师版)_初中数学_八年级数学下册(人教版)_期中+期末
期中真题精选(压轴60题专练)-八年级数学下学期(人教版)(教师版)_初中数学_八年级数学下册(人教版)_期中+期末
期中真题精选(压轴60题专练)-八年级数学下学期(人教版)(教师版)_初中数学_八年级数学下册(人教版)_期中+期末
期中真题精选(压轴60题专练)-八年级数学下学期(人教版)(教师版)_初中数学_八年级数学下册(人教版)_期中+期末
期中真题精选(压轴60题专练)-八年级数学下学期(人教版)(教师版)_初中数学_八年级数学下册(人教版)_期中+期末
期中真题精选(压轴60题专练)-八年级数学下学期(人教版)(教师版)_初中数学_八年级数学下册(人教版)_期中+期末
期中真题精选(压轴60题专练)-八年级数学下学期(人教版)(教师版)_初中数学_八年级数学下册(人教版)_期中+期末
期中真题精选(压轴60题专练)-八年级数学下学期(人教版)(教师版)_初中数学_八年级数学下册(人教版)_期中+期末
期中真题精选(压轴60题专练)-八年级数学下学期(人教版)(教师版)_初中数学_八年级数学下册(人教版)_期中+期末
期中真题精选(压轴60题专练)-八年级数学下学期(人教版)(教师版)_初中数学_八年级数学下册(人教版)_期中+期末
期中真题精选(压轴60题专练)-八年级数学下学期(人教版)(教师版)_初中数学_八年级数学下册(人教版)_期中+期末
期中真题精选(压轴60题专练)-八年级数学下学期(人教版)(教师版)_初中数学_八年级数学下册(人教版)_期中+期末
期中真题精选(压轴60题专练)-八年级数学下学期(人教版)(教师版)_初中数学_八年级数学下册(人教版)_期中+期末
期中真题精选(压轴60题专练)-八年级数学下学期(人教版)(教师版)_初中数学_八年级数学下册(人教版)_期中+期末
期中真题精选(压轴60题专练)-八年级数学下学期(人教版)(教师版)_初中数学_八年级数学下册(人教版)_期中+期末
期中真题精选(压轴60题专练)-八年级数学下学期(人教版)(教师版)_初中数学_八年级数学下册(人教版)_期中+期末
期中真题精选(压轴60题专练)-八年级数学下学期(人教版)(教师版)_初中数学_八年级数学下册(人教版)_期中+期末
期中真题精选(压轴60题专练)-八年级数学下学期(人教版)(教师版)_初中数学_八年级数学下册(人教版)_期中+期末
期中真题精选(压轴60题专练)-八年级数学下学期(人教版)(教师版)_初中数学_八年级数学下册(人教版)_期中+期末
期中真题精选(压轴60题专练)-八年级数学下学期(人教版)(教师版)_初中数学_八年级数学下册(人教版)_期中+期末
期中真题精选(压轴60题专练)-八年级数学下学期(人教版)(教师版)_初中数学_八年级数学下册(人教版)_期中+期末
期中真题精选(压轴60题专练)-八年级数学下学期(人教版)(教师版)_初中数学_八年级数学下册(人教版)_期中+期末
期中真题精选(压轴60题专练)-八年级数学下学期(人教版)(教师版)_初中数学_八年级数学下册(人教版)_期中+期末
期中真题精选(压轴60题专练)-八年级数学下学期(人教版)(教师版)_初中数学_八年级数学下册(人教版)_期中+期末
期中真题精选(压轴60题专练)-八年级数学下学期(人教版)(教师版)_初中数学_八年级数学下册(人教版)_期中+期末
期中真题精选(压轴60题专练)-八年级数学下学期(人教版)(教师版)_初中数学_八年级数学下册(人教版)_期中+期末

文档信息

文档格式
docx
文档大小
8.208 MB
文档页数
173 页
上传时间
2026-03-26 11:00:26

文档内容

期中真题精选(压轴 60 题专练) 一、单选题 1.(2022春·重庆渝中·八年级重庆市求精中学校校考期中)如图,正方形ABCD的边长为a,点E在边 AB上运动(不与点A,B重合), ,点F在射线AM上,且 ,CF与AD相交于点 G,连接EC、EF、EG.下列结论:① ,② 的周长为 ;③ ; ④当G是线段AD的中点时, .正确的个数是( ) A.1个 B.2个 C.3个 D.4个 【答案】B 【分析】在BC上截取BH=BE,连接EH,证明△FAE≌△EHC(SAS),可得EF=EC,∠AEF=∠ECB, 即可判断①正确,延长AD到H,使得DH=BE,证明△GCE≌△GCH(SAS),可得EG=DG+BE,判断③ 错误,而△AEG的周长=AE+EG+AG=AB+AD=2a,可判断②错误,设BE=x,则DH=x,在Rt△AEG中,则 有 ,解得BE= a,判断④正确. 【详解】解:如图1中,在BC上截取BH=BE,连接EH.∵BE=BH,∠EBH=90°, ∴EH= BE, ∵AF= BE, ∴AF=EH, ∵∠DAM=∠EHB=45°,∠BAD=90°, ∴∠FAE=∠EHC=135°, ∵BA=BC,BE=BH, ∴AE=HC, ∴△FAE≌△EHC(SAS), ∴EF=EC,∠AEF=∠ECB, ∵∠ECH+∠CEB=90°, ∴∠AEF+∠CEB=90°, ∴∠FEC=90°, ∴∠ECF=∠EFC=45°,故①正确, 如图2中,延长AD到H,使得DH=BE,而 则△CBE≌△CDH(SAS),∴∠ECB=∠DCH, ∴∠ECH=∠BCD=90°, ∴∠ECG=∠GCH=45°, ∵CG=CG,CE=CH, ∴△GCE≌△GCH(SAS), ∴EG=GH, ∵GH=DG+DH,DH=BE, ∴EG=BE+DG,故③错误, ∴△AEG的周长=AE+EG+AG=AE+AH=AD+DH+AE=AE+EB+AD=AB+AD=2a,故②错误, 设BE=x,则DH=x, ∵G是线段AD的中点, ∴AG=DG= a, ∴EG=DK= a+x, 在Rt△AEG中,则有 , 解得x= a, ∴BE= ,故④正确, ∴正确的有:①④两个, 故选:B. 【点睛】本题考查正方形的性质,勾股定理的应用,全等三角形的判定和性质等知识,解题的关键是学会 添加常用辅助线构造全等三角形解决问题,属于中考选择题中的压轴题. 2.(2021秋·上海·八年级期中)如果关于x的不等式组 的解集为 ,且式子 的值 是整数,则符合条件的所有整数m的个数是( ). A.5 B.4 C.3 D.2 【答案】C【分析】先求出两个不等式的解集,根据不等式组的解集为 可得出m≤2,再由式子 的值是整 数,得出|m|=3或2,于是m=-3,3,-2或2,由m≤2,得m=-3,-2或2. 【详解】解:解不等式 得x>m, 解不等式 得x>2, ∵不等式组解集为x>2, ∴m≤2, ∵式子 的值是整数, 则|m|=3或2,∴m=-3,3,2或-2, 由m≤2得,m=-3,-2或2. 即符合条件的所有整数m的个数是3个. 故选:C. 【点睛】本题考查了解一元一次不等式组以及二次根式的性质,熟练运用一元一次不等式组的解法是解题 的关键. 3.(2021秋·湖北省直辖县级单位·八年级校考期中)如图,边长一定的正方形ABCD,Q为CD上一个动 点,AQ交BD于点M,过M作MN⊥AQ交BC于点N,作NP⊥BD于点P,连接NQ,下列结论:①AM= MN;②MP= BD;③BN+DQ=NQ;④ 为定值,其中正确的结论个数是( ) A.1 B.2 C.3 D.4 【答案】D 【分析】如图1,连接AC、AN,AC交BD于点H,根据正方形的性质可得A,B,N,M四点共圆,进而 可得∠ANM=∠NAM=45°,于是可判断①;由余角的性质可得∠HAM=∠PMN,从而可利用AAS证明 Rt△AHM≌Rt△MPN,可得MP=AH,再根据正方形的性质即可判断②;如图2,将△ADQ绕点A顺时针 旋转90°至△ABR,使AD和AB重合,连接AN,根据旋转的性质和SAS可推得△RAN≌△QAN,进而可得RN=QN,进一步即可判断③;如图3,作MS⊥AB于S,MW⊥BC于W,由题意易得四边形SMWB是正方 形,进一步即可推出△AMS≌△NMW,可得AS=NW,进而得AB+BN=2BW,然后利用等腰直角三角形 的性质即可判断④,于是可得答案. 【详解】解:如图1,连接AC、AN,AC交BD于点H, ∵四边形ABCD是正方形, ∴AC⊥BD,AC=BD,AH=CH,∠DBC=∠ABD=45°, ∵∠AMN=∠ABC=90°, ∴A,B,N,M四点共圆, ∴∠NAM=∠DBC=45°,∠ANM=∠ABD=45°, ∴∠ANM=∠NAM=45°, ∴AM=MN,故①正确; ∵∠MAH+∠AMH=90°,∠PMN+∠AMH=90°, ∴∠HAM=∠PMN, ∵∠AHM=∠MPN=90°,AM=MN, ∴Rt△AHM≌Rt△MPN(AAS), ∴MP=AH= AC= BD,故②正确; 如图2,将△ADQ绕点A顺时针旋转90°至△ABR,使AD和AB重合,连接AN, 则AR=AQ,∠BAR=∠DAQ,∠ABR=∠ADQ=90°, ∴R、B、N三点在同一直线上, ∵∠BAN+∠QAD=∠NAQ=45°, ∴∠RAN=∠QAN=45°, 又∵AN=AN, ∴△RAN≌△QAN(SAS), ∴RN=QN,即BN+DQ=NQ,故③正确;如图3,作MS⊥AB,垂足为S,作MW⊥BC,垂足为W, ∵点M是对角线BD上的点, ∴四边形SMWB是正方形,有MS=MW=BS=BW, ∵∠AMN=∠SMW=90°, ∴∠AMS=∠NMW, 又∵∠ASM=∠NWM=90°, ∴△AMS≌△NMW(ASA), ∴AS=NW, ∴AB+BN=SB+BW=2BW, ∵BW:BM=1∶ , ∴ ,故④正确. 故答案为D. 【点睛】本题属于正方形的综合题,主要考查了正方形的性质和判定、四点共圆、圆周角定理的推论、等 腰直角三角形的性质、全等三角形的判定和性质以及旋转的性质等知识,综合性强、具有相当的难度,正 确添加辅助线、灵活应用所学知识是解题的关键. 4.(2021秋·重庆·八年级重庆南开中学校考期中)在边长为12的正方形ABCD中,E为CD边中点,连接 AE,将 沿线段AE翻折得到 ,延长AF交BC边于点N,连接EN,延长EF交BC边于点G, 其中 ,连接DF并延长交BC边于点K,连接EK,则下列结论:① ;② ;③ ;④ ;⑤ .其中正确的有( ) A.1个 B.2个 C.3个 D.4个 【答案】D 【分析】先证明 可得 是 的垂直平分线,可判断①,再证明 可得 而 设 则 再利用勾股定理求解 即可判断②,证明 可得 可判断③,设 而 则 则 再利用勾股定理求解 可判断 ④,分别计算 ,可判断⑤,从而可得答案. 【详解】解: 正方形 由对折可得: 是 的垂直平分线, 故①正确,符合题意; 而设 则 解得: 故②正确,符合题意; 故③正确,符合题意, 设 而 则 故④错误,不符合题意; ,故⑤正确,符合题意; 综上:正确的有:①②③⑤,故选D 【点睛】本题考查的是正方形的性质,全等三角形的判定与性质,轴对称的性质,等腰直角三角形的判定 与性质,勾股定理的应用,灵活运用以上知识解题是解题的关键. 二、填空题 5.(2021春·北京·八年级期中)如图所示的网格是正方形网格,则 ______ (点 、 、 、 、 是网格线交点). 【答案】45 【分析】如图作辅助线,证明 AHC是等腰直角三角形, AFH≌ CDE,得到∠HAC=45°,∠FAH= ∠DCE,然后根据平行线的性△质求出∠FAC=∠ACB,将∠△ACB-∠△DCE转化为∠FAC-∠FAH=∠HAC 进行计算即可. 【详解】解:如图所示作辅助线,点F、H均在格点上,设一小格为1, 由勾股定理得:AH=CH=CE= ,AC= , ∴AH2+CH2=AC2, ∴ AHC是等腰直角三角形,∠HAC=45°, 又△∵AF=CD=2,FH=DE=1, ∴ AFH≌ CDE, ∴△∠FAH=△∠DCE, ∵AF∥BC, ∴∠FAC=∠ACB, ∴∠ACB-∠DCE=∠FAC-∠FAH=∠HAC=45°, 故答案为:45.【点睛】本题考查了勾股定理及其逆定理的应用,等腰直角三角形的判定和性质,全等三角形的判定和性 质以及平行线的性质等知识,通过作辅助线构造出等腰直角三角形和全等三角形是解题的关键. 6.(2022春·江西上饶·八年级统考期中)在 中, , , ,过点 的直线 把 分割成两个三角形且交线段AC于点P,使其中只有一个是等腰三角形,则 _____________________. 【答案】3或3.6或1 【分析】在Rt△ABC中,通过解直角三角形可得出AC=5、S ABC=6,找出所有可能的剪法,利用等腰三 △ 角形的性质和勾股定理求出AP即可. 【详解】解:在Rt△ABC中,∠ABC=90°,AB=3,BC=4, ∴AC= =5, 沿过点B的直线把△ABC分割成两个三角形,使其中只有一个是等腰三角形,有三种情况: 如图①所示,AB=AP=3; 如图②所示,AB=BP=3,且P在AC上时, 作△ABC的高BD,则BD= =2.4, ∴AD=DP= =1.8, ∴AP=2AD=3.6;如图③所示,CB=CP=4, ∴AP=AC-CP=5-4=1; 综上所述:AP的值为3或3.6或1, 故答案为:3或3.6或1. 【点睛】本题考查了勾股定理、等腰三角形的性质,找出所有可能的分割法是解题的关键. 7.(2022春·黑龙江哈尔滨·八年级校考期中)如图,在 中, ,点 为 的 中点,点 分别为 上的点,连接 ,若 ,则 的 长度为_________. 【答案】 【分析】延长DE至G,使GE=ED,连接FG、AG,过F作 于H,易证 ,由全等的 性质得AG=BD=4,易证EF为GD的垂直平分线,所以GF=FD= ,易证 为等腰直角三角形,设 FH=AH=x,在 中,用勾股定理求得x=1,进而求得AF= 【详解】解:延长DE至G,使GE=ED,连接FG、AG,过F作 于H, 在 和 中,∴ AG=BD=4, 为等腰直角三角形 设 ,则 为GD的垂直平分线 在 中, 整理得: 配方得: 开平方根得: 或 (舍去) ∴ ∴ 故答案为: 【点睛】本题考查了三角形全等的判定及性质,垂直平分线的的性质,等腰直角三角的性质及判定,勾股 定理,解题的关键是作出辅助线.本题添加辅助线的一个技巧是因为BD,DF,AF三边位置太分散了,所以 通过三角形的全等改变位置,使它们集中,刚好可以构成 ,从而解决问题. 8.(2022春·重庆·八年级重庆市育才中学校联考期中)图,已知 为等边三角形,D、E分别为 、 上一点,并满足 ,连接 、 相交于F点,连接 ,且 ,过点B作 , 与 相交于G点,现将 沿 翻折得到 ,点I为 中点,且 ,则点I到 的距离为______. 【答案】 【分析】过点 作 于点 ,过点 作 于点 ,连接 ,其中 交 于点 ,先证出 ,根据全等三角形的性质可得 ,从而可得 ,再证出 ,根据全等三角形的性质可得 ,从而可得 ,然后根据直角三角形斜边上的中线性质、等边三角形的判定与性质可得 ,由此证出 ,根据全等三角形的性质可得 ,利用直角三角形的性质、勾股定理可得 ,最后利用 的 面积公式可得 的长,利用 的面积公式即可得出答案. 【详解】:如图,过点 作 于点 ,过点 作 于点 ,连接 ,其中 交 于点 ,是等边三角形, , 在 和 中, , , , , , , ,即 , 在 和 中, , , , ,即 , 点 是 斜边 上的中点,, 是等边三角形, , 在 和 中, , , , 在 中, , , , , , , 由轴对称的性质得: , 垂直平分 , , 设 ,则 , , , 解得 , , , ,, 又 即点 到 的距离为 , 故答案为: . 【点睛】本题考查了三角形全等的判定定理与性质、等边三角形的判定与性质、直角三角形斜边上的中线、 轴对称等知识点,通过作辅助线,构造全等三角形和直角三角形是解题关键. 9.(2022春·浙江宁波·八年级宁波市第七中学校联考期中)如图,菱形 的边长 ,取对角线 上两点E,H,使 ,当 时,则 _________. 【答案】2 【分析】如图,作FM⊥BD于M,EN⊥AB于N,先证NA=NE,设NA=NE=x,则BE=2x,BN= x,根据 AB=2 +2列出方程求出x,再证明DF=DH,在Rt△FMD中求出FM、DM,最后在Rt△HFM中,利用勾 股定理即可解决问题. 【详解】解:如图,作FM⊥BD于M,EN⊥AB于N.∵四边形ABCD是菱形,∠ABC=60°, ∴∠ABD=∠ADB=30°, ∵∠AED=75°=∠ABE+∠BAE, ∴∠BAE=45°, ∵∠ENA=90°, ∴∠NAE=∠NEA=45°, ∴NA=NE, 设NA=NE=x,则BE=2x,BN= x, ∵AB=2 +2, ∴ x+x=2 +2, ∴x=2, ∴BE=4,AE=2 , ∵∠HFD=180°-∠FHD-∠FDH=75°,∠FHD=75°, ∴∠DFH=∠DHF, ∴DF=DH=BE=2, 在Rt△FMD中,∵∠FMD=90°,∠FDM=30°,DF=4, ∴FM=2,DM=2 ,HM=4-2 , ∴FH= = =2 −2 , ∴AE+FH=2 −2 +2=2 . 故答案为:2 . 【点睛】此题考查了菱形的性质、30度角的直角三角形的性质、等腰直角三角形的性质、勾股定理等知识, 解题的关键是正确作出辅助线,灵活运用特殊三角形边角之间的关系解决问题. 10.(2022春·黑龙江大庆·八年级校考期中)如图,在正方形 中AB=1.AB与直线 的夹角为30°, 延长 交直线 于点 作正方形 ,延长 交直线 于点 ,作正方形 ,延长 交直 线 于点 ,作正方形 ……依此规律,则 __________ (用指数表示即可) 【答案】 【分析】由四边形 是正方形,得到AB= ,AB ,于是得到AB AC,根据平行线的性质 1 得到∠ =30°,解直角三角形得到 , =2,同理: , ,找出规 律 ,答案即可求出. 【详解】解:∵四边形ABCB 是正方形, 1 ∴AB=AB,AB CB , 1 1 ∴AB AC, 1 ∴∠CA A=30°, 1 ∴ , =2,∴ , ∴ , 同理: , , … ∴ , ∴ , 故答案为: . 【点睛】本题考查正方形的性质,含30°直角三角形的性质,平行线的性质,熟记各性质并求出后一个正 方形的边长是前一个正方形的边长的 倍是解题的关键. 11.(2021秋·北京·八年级校考期中)如图,在矩形ABCD中,AB=6,BC=8.如果��、F分别是AD、BC 上的点,且EF经过AC中点O,G,H是对角线AC上的点.下列判断正确的有______. ①在AC上存在无数组G、H,使得四边形EGFH是平行四边形;②在AC上存在无数组G、H,使得四边 形EGFH是矩形;③在AC上存在无数组G、H,使得四边形EGFH是菱形;④当AG= 时,存在E、F、 G,H,使得四边形EGFH是正方形. 【答案】①②④ 【分析】如图,矩形ABCD, 为对角线的交点,由中心对称性证明: 所以当 时,四 边形 是平行四边形,当 时,四边形 是矩形,当 四边形 是菱形,再利用正方形的性质求解 从而可得答案. 【详解】解:如图,矩形ABCD, 为对角线的交点, 由中心对称性可得: 所以当 时, 四边形 是平行四边形, 所以AC上存在无数组G、H,使得四边形EGFH是平行四边形;故①符合题意; 当 时, 四边形 是矩形,而 不是定值, 所以在AC上存在无数组G、H,使得四边形EGFH是矩形;故②符合题意; 当 四边形 是菱形, 而 位置确定,所以 唯一, 所以在AC上不存在无数组G、H,使得四边形EGFH是菱形,故③不符合题意; 如图,当四边形EGFH是正方形时,由矩形 可得: 所以当AG= 时,存在E、F、G,H,使得四边形EGFH是正方形,故④符合题意; 故答案为:①②④ 【点睛】本题考查的是平行四边形的判定与性质,矩形的判定与性质,菱形的判定,正方形的性质,掌握 “特殊四边形的判定与性质”是解本题的关键. 12.(2021春·天津·八年级耀华中学校考期中)如图, 是等边三角形,M是正方形ABCD对角线BD (不含B点)上任意一点, , (点N在AB的左侧),当AM+BM+CM的最小值为 时,正方形的边长为______. 【答案】 【分析】首先通过SAS判定 ,得出 ,因为 , ,得出 是等边三角形,AM+BM+CM=EN+MN+CM,而且为最小值,我们可以得出EC= ,作辅助线, 过点E作 交CB的延长线于F,由题意求出 ,设正方形的边长为x,在 中,根据勾股定理求得正方形的边长为 . 【详解】 ∵ 为正三角形, ∴ , ∴ ∵BD是正方形ABCD的对角线, ∴ ∴ . 在 和 中 , ∴ (SAS) ∴ 在 中, 又∵ , ∴ 为等边三角形, ∴ . ∵AM+BM+CM最小值为 . ∴EN+MN+CM的最小值为 即CE= . 过点E作 交CB的延长线于F,可得 . 设正方形的边长为x,则BF= , .在 , ∵ , ∴ 解得 (负值舍去). ∴正方形的边长为 . 故答案为: . 【点睛】本题考查了等边三角形和正方形边相等的性质,全等三角形的判定,灵活使用辅助线,掌握直角 三角的性质,熟练运用勾股定理是解题的关键. 三、解答题 13.(2022春·北京·八年级统考期中)我们规定:一组邻边相等且对角互补的四边形叫做完美四边形. (1)在以下四种四边形中,一定是完美四边形的是______(请填序号); ①平行四边形 ②菱形 ③矩形 ④正方形 (2)如图1,菱形 中, , , 分别是 , 上的点,且 ,求证:四边形 是完美四边形; (3)如图2和如图3中,四边形 均为完美四边形, , ,连接 . ①在图2中,求证: 平分 ; ②在图3中,当 时,直接用等式写出线段 , , 之间的数量关系. 【答案】(1)④ (2)见解析(3)①见解析,②BC+CD= AC 【分析】(1)根据“完美四边形”的定义即可判断; (2)连接BD,先证 ABD是等边三角形得AD=BD,再证 ADE≌ BDF得DE=DF,∠AED=∠BFD,结 合∠AED+∠DEB=180△°知∠BFD+∠DEB=180°,从而得证;△ △ (3)①延长CB至点E,使BE=CD,连接AE,证 ADC≌ ABE得∠ACD=∠E,AC=AE,继而知 ∠ACE=∠E,从而得∠ACD=∠ACE,即可得证;△ △ ②延长CB使BE=CD,连接AE,由“SAS“可证 ADC≌ ABE,可得AC=AE,∠EAB=∠CAD,CD=BE, △ △ 在Rt CAE中,由勾股定埋可求CE= AC,即可求解. △ 【详解】(1)解:根据完美四边形的定义,可知“正方形”是完美四边形; 故答案为:④; (2)证明:如图,连接BD, ∵菱形ABCD, ∴AB=AD,AD∥BC. ∵∠A=60°, ∴ ABD是等边三角形,∠ABC=120°, ∴△AD=BD ∵BD平分∠ABC, ∴∠DBC=60°=∠A, ∵AE=BF, ∴ ADE≌ BDF(SAS), ∴△DE=DF,△∠AED=∠BFD, ∵∠AED+∠DEB=180°, ∴∠BFD+∠DEB=180°,∴四边形DEBF是完美四边形. (3)①证明:延长CB至点E,使BE=CD,连接AE, ∵∠ABC+∠D=180°,∠ABC+∠ABE=180°, ∴∠ABE=∠D, 又∵AB=AD, ∴ ADC≌ ABE(SAS), ∴△∠ACD=∠△E,AC=AE, ∴∠ACE=∠E, ∴∠ACD=∠ACE, ∴CA平分∠DCB; ②BC+CD= AC,理由如下:如图2,延长CB,使BE=CD,连接AE, ∵∠ADC+∠ABC=180°,∠ABE+∠ABC=180°, ∴∠ADC=∠ABE, 又∵AD=AB,BE=CD, ∴ ADC≌ ABE(SAS), ∴△AC=AE,△∠EAB=∠CAD,CD=BE,∴∠CAE=∠DAB=90°, ∴ , ∴CD+BC= AC. 【点睛】本题考查了完美四边形的定义,三角形面积,三角形全等的性质和判定,圆内接四边形的性质等 知识,是四边形综合题,解题的关键是理解题意,灵活运用所学知识解决问题,属于中考压轴题. 14.(2022春·山东临沂·八年级统考期中)有一个直角三角形纸片 , ,两直角边 , . (1)如图1,若将 沿着直线 折叠,使顶点 与点 重合,求 的长; (2)如图2,若将 沿直线 折叠,使 落在斜边 上,且与 重合,求 的面积. 【答案】(1) ;(2) . 【分析】(1)根据折叠的性质AE=EB,设 ,则 ,在Rt△ACE中根据勾股定理即 可求得CE的长度; (2)根据折叠的性质CF=FG,再根据等面积法求得CF的长度,即可求得△ACF的面积. 【详解】解:(1)∵将 沿着直线 折叠,使顶点 与点 重合, ∴AE=EB,即AE=BC-CE, 又∵ , , , 设 ,则 ∴在Rt△ACE中,根据勾股定理 ,即 ,解得 ,即 ; (2)∵将 沿直线 折叠,使 落在斜边 上,且与 重合, ∴CF=FG, ,设 , ∵ , , , 在Rt△ABC中,根据勾股定理 ,即 , ,即 , 即 ,解得 ,即 , ∴ . 【点睛】本题考查勾股定理,折叠的性质.(1)中,能根据折叠前后对应边相等推出AE=BC-CE是解题 的关键;(2)中掌握等面积法是解决此题的关键. 15.(2021春·安徽宣城·八年级统考期中)如图,在△ABC中,∠B=90°,AB=8厘米,BC=6厘米,P、Q 是△ABC边上的两个动点,其中点P从点A开始沿A→B方向运动速度为1厘米/秒,点Q从点B开始沿 B→C→A方向运动速度为2厘米/秒,若它们同时出发,设出发的时间为t秒. (1)求出发2秒后,PQ的长; (2)点Q在CA边上运动时,当△BCQ成为等腰三角形时,求点Q的运动时间. 【答案】(1) 厘米;(2)当t为5.5秒或6秒或6.6秒时,△BCQ为等腰三角形. 【分析】(1)运动2秒后,根据P、Q运动速度可知道运动的路程BQ和AP长,在Rt△QBP中,利用勾 股定理即可求出PQ. (2)已知点Q在CA边上运动时,若 BCQ成为等腰三角形,可分三种情况讨论,即CQ=BQ,CQ=BC, BC=BQ,得出点Q运动的路程,已知速△度即可求出运动时间,在直角三角形中可利用勾股定理求解.【详解】(1)BQ=2×2=4cm, BP=AB﹣AP=8﹣2×1=6cm. ∵∠B=90°, PQ= (cm); 故答案为: 厘米 (2)分三种情况: ①当CQ=BQ时,如图1所示: 则∠C=∠CBQ. ∵∠ABC=90°, ∴∠CBQ+∠ABQ=90°, ∵∠A+∠C=90°, ∴∠A=∠ABQ ∴BQ=AQ, ∴BQ是Rt△ABC斜边上的中线 ∵AC= ∴CQ=AQ=5, ∴BC+CQ=11, ∴t=11÷2=5.5秒. ②当CQ=BC时,如图2所示:则BC+CQ=12 ∴t=12÷2=6秒. ③当BC=BQ时,如图3所示: 过B点作BE⊥AC于点E, 则BE (cm) ∴CE= cm, ∴CQ=2CE=7.2cm, ∴BC+CQ=13.2cm, ∴t=13.2÷2=6.6秒. 综上所述,当t为5.5秒或6秒或6.6秒时, BCQ为等腰三角形. △【点睛】本题考查了三角形上的动点问题,根据等腰三角形的性质,分情况讨论,可利用勾股定理解直角 三角形. 16.(2020春·北京海淀·八年级清华附中校考期中)小明在学习二次根式后,发现一些含根号的式子可以 写成另一个式子的平方,如: ,善于思考的小明利用完全平方公式进行了以下探索: .请你仿照小明的方法解决下列问题: (1) ,则 ______, _______;(2)已知 是 的算术平方根,求 的值; (3)当 时,化简 _______. 【答案】(1)2,1;(2)-2018;(3)2. 【分析】(1)根据题目所给方法对 变形即可; (2)根据题意结合所给方法求出 ,然后对所求式子变形,整体代入计算即可; (3)根据题目所给方法,将 写成 的形式,然后根据二 次根式的性质化简即可. 【详解】解:(1)∵ , ∴a=2,b=1; 故答案为:2,1 (2)∵ 是 的算术平方根, ∴ , ∴ ; (3)∵ , ∴ , , , , . 故答案为:2【点睛】本题考查了二次根式的性质,解题的关键是正确理解题中所给方法,将根号内的式子变形为完全 平方式的形式. 17.(2021春·新疆塔城·八年级统考期中)如图所示,已知 中,∠B=90°,AB=16cm,AC=20cm. P、Q是 的边上的两个动点,其中点P从点A开始沿A→B方向运动,且速度为每秒lcm,点Q从点 B开始沿B→C→A方向运动,且速度为每秒2cm,它们同时出发,设出发的时间为ts. (1)BC= cm; (2)求当点P在边AC的垂直平分线上时CQ的值; (3)当点Q在边CA上运动时,直接写出使 为等腰三角形的运动时间. 【答案】(1)12;(2)13cm;(3)当t为11秒或12秒或13.2秒时,△BCQ为等腰三角形. 【分析】(1)由勾股定理可得: ,从而可得答案; (2)画出符合题意的图形,利用垂直平分线的性质得到: , 再利用勾股定理求 解时间 , 从而可得答案; (3)分三种情况讨论,当 证明 , 可得此时的时间 ,当 , 结合已知条件求 解时间 即可,当 时,过B点作BE⊥AC于点E,利用等面积法求解 , 再利用勾股定理求解 ,利用等腰三角形的三线合一可得 的长度,从而可得此时的时间 , 从而可解答此问. 【详解】解:(1)∵∠B=90°,AB=16cm,AC=20cm ∴BC= = =12(cm). 故答案为:12; (2)如图,∵点P在边AC的垂直平分线上, ∴PC=PA=t,PB=16-t, 在 中, , 即 解得:t= . 此时,点Q在边AC上,CQ=2× −12=13(cm); (3)①当CQ=BQ时,如图1所示, 则∠C=∠CBQ, ∵∠ABC=90°, ∴∠CBQ+∠ABQ=90°.∠A+∠C=90°, ∴∠A=∠ABQ, ∴BQ=AQ, ∴CQ=AQ=10, ∴BC+CQ=22, ∴t=22÷2=11秒. ②当CQ=BC时,如图2所示,则BC+CQ=24, ∴t=24÷2=12秒. ③当BC=BQ时,如图3所示, 过B点作BE⊥AC于点E, 由 ∴BE= = = , ∴CE= = . ∴CQ=2CE= ∴BC+CQ= ∴t= 秒. 综上所述:当t为11秒或12秒或 秒时, 为等腰三角形. 【点睛】本题考查了勾股定理的应用,线段的垂直平分线的性质,等腰三角形的性质,同时考查了等腰三 角形中的分类讨论的思想,掌握以上知识是解题的关键. 18.(2020春·江苏扬州·八年级校考期中)数学教育家波利亚曾说:“对一个数学问题,改变它的形式, 变换它的结构,直到发现有价值的东西,这是数学解题的一个重要原则”. 材料一:平方运算和开方运算是互逆运算.如a2±2ab+b2=(a±b)2,那么 ,如何将双重二次根式 化简.我们可以把 转化为 完全平方的形式, 因此双重二次根式 得以化简. 材料二:在直角坐标系xOy中,对于点P(x,y)和Q(x,y’)给出如下定义:若 则称点Q为 点P的“横负纵变点”.例如:点(3,2)的“横负纵变点”为(3,2),点(﹣2,5)的“横负纵变点”为(﹣ 2,﹣5).问题: (1)点 的“横负纵变点”为 ,点 的“横负纵变点”为 ; (2)化简: ; (3)已知a为常数(1≤a≤2),点M( ,m)是关于x的函数 图像上 的一点,点M’是点M的“横负纵变点”,求点M’的坐标. 【答案】(1) , ;(2) ;(3)(﹣ ,﹣ ) 【分析】(1)根据“横负纵变点”的定义即可解决问题. (2)模仿例题解决问题即可. (3)首先化简双重二次根式,再根据待定系数法,“横负纵变点”解决问题即可. 【详解】解:(1)根据题目意思, ∵ 和 , 点 的“横负纵变点”为 ,点 的“横负纵变点”为 , 故答案为: , ; (2)∵ ∴ ; (3)∵ ,∵点M( ,m)是关于x的函数 图像上的一点, ∴ , 即:M( , ), 又∵点M’是点M的“横负纵变点 ∴M′的坐标为( , ). 【点睛】本题属于一次函数综合题,考查了待定系数法,横负纵变点”的定义,双重二次根式的化简等知 识,解题的关键是理解题意,学会模仿解决问题,属于中考常考题型. 19.(2020春·上海·八年级上海市文来中学校考期中)图,正方形ABCD的一边在直线AM上,点P在对 角线AC上,点E是射线AB上一动点,连接PE,射线 交直线AM于点F,已知正方形边长为8, . (1)如图1,当点E在线段AB上时,求证 . (2)连接CE,当 时,请在图2中画出相应的图形,并求线段AF的长. (3)如果 的角平分线交射线AB于点N,设 , ,直接写出y关于x的函数解析式,并写 出定义域. 【答案】(1)见解析 (2)图见解析,4 (3) , .【分析】(1)过点P作 , ,先证明矩形PGAH为正方形,进而判断出 , ,得到 即可; (2)过点P作 , ,由 可得 ,由三线合一可得 , 根据勾股定理求出AC的长,进而求出AP的长长,根据勾股定理求出 ,进而根据AF=FH-AH 求解即可; (3)联结NF,过P作 , ,根据(1)(2)的结论表示出AF,证明 , 得到 ,在 中,根据 可求出y关于x的函数解析式. (1) 证明:过点P作 , ,垂足为G,H, ∵四边形ABCD为正方形,∴ , , ∵ , ,∴ , ∴四边形PGAH为矩形, 又 , , ∴ ,∴ , ∴矩形PGAH为正方形, ∴ , ,即 . 又∵ ,∴ , ∴ , ∴ , 在 和 中, ,∴ (ASA), ∴ ; (2) 解:过点P作 , ,垂足分别为G、H, 由(1)知 ,∴ , ∵ ,又 ,∴ , 又∵在 中: , ∵ , ∴ , ∵ , , ∴ , ∴ , ∴ , 又 , ∴ . (3) 解:如图3,联结NF,过P作 , ,垂足分别为G,H, 由(1)知 ,由(2)知:在 中: , , ∴ , ∵ , ∴ , ∴ , ∵PN平分 ,∴ , 在 和 中, ∴ (SAS), ∴ , 在 中: , ∴ , ∴ ∴ , ∴ , ∴x的取值范围为: . 【点睛】此题考查了全等三角形的性质和判定,矩形的判定和性质,正方形的判定和性质,勾股定理,以 及函数解析式等知识,解本题的关键是熟练掌握图形的判定与性质. 20.(2022春·重庆·八年级重庆实验外国语学校校考期中)如图,在平行四边形 中, ,于E, 于G,交 于F. (1)如图1,若 , ,求 的长; (2)如图2,平行四边形 外部有一点H,连接 、 ,满足 , ,求证: . (3)如图3,在 上有一点M,连接 ,将 绕着点M顺时针旋转90°得 ,连接 、 ,点P为 的中点,连接 .在(1)的条件下,当 最小时,直接写出线段 的长度. 【答案】(1) (2)见解析 (3) 【分析】(1)根据“ASA”结合题目中已知条件证明 ,然后得出 ,根据勾股 定理算出AE的长,即可得出CE的长,算出BC的长,即可得出AD的长; (2)过点A作 于点N,交EH于点M,连接CH,交AN于点O,HE交CG于点K,根据“AAS” 证明 ,推导出HK=CK,得出 ,利用等腰直角三角形的性质,推导出结论即可; (3)连接 ,过点 作 交BC于点Q,交AD于点P,设EM=x,根据已知条件先证明 ,根据全等三角形的性质,结合解析(1)中结论,用x表示出CQ的长度,列出关于的关系式,得出当当点M在点E的右边,且到点E的距离为 时 最小,根据 ,结合勾股 定理求出AP的长度即可. 【详解】(1)解:∵四边形ABCD为平行四边形, ∴AB=CD= , , , , , , , , , , , , , , , , , , , , . (2)过点A作 于点N,交EH于点M,连接CH,交AN于点O,HE交CG于点K,如图所示:四边形ABCD为平行四边形, , , , , 四边形AGCN为矩形, ,AG=CN, , , , , , , , , , , ,ME=CK, ,, , , , , 即HK=ME, ∴HK=CK, , , , , , , , ∴NO=AG, ∵ , , ∴ , ∴ . (3)连接 ,过点 作 交BC于点Q,交AD于点P,设EM=x, 根据旋转可知, , , ,∴ , , , , , , 根据(1)可知, , , , , 当 时, 最小,即 最小, 即当点M在点E的右边,且到点E的距离为 时 最小, , , 四边形AEQP为矩形, , , 根据解析(1)可知, , ,, , , , 点为 的中点, , , , 垂直平分AD, , , 即 , 为直角三角形, , . 【点睛】本题主要考查了四边形的综合题,主要考查了全等三角形的判定性质、等腰直角三角形的性质, 矩形的判定和性质,平行四边形的性质和判定,垂直平分线的性质和判定,勾股定理及逆定理的应用,作 出正确的辅助线,灵活运用性质和判定是解题的关键. 21.(2022春·广东广州·八年级校联考期中)在□ABCD中,连接BD,若 ,点E为边AD上一点, 连接CE.(1)如图1,点G在BD上,连接CG,过G作 于点H,连接DH并延长交AB于点M.求证: ; (2)如图1,在(1)的前提下,若 , .求证: ; (3)如图2, , ,点N在BC边上, ,若CE是 的角平分线,线段PQ (点P在点Q的左侧)在线段CE上运动, ,连接BP,NQ,求 的最小值. 【答案】(1)见解析 (2)见解析 (3) 【分析】(1)设CH与DG相交于K,根据直角三角形的性质和对顶角相等求解即可; (2)过点D作DF⊥DM,交CE于F,先证明△DCF≌△DGH(ASA),得到△FDH是等腰直角三角形, 求得HF= DH,再证明△DMB≌△CGH(AAS)证得CF=BM,DB=CH即可证得结论; (3)在图2中,过B作BF∥PQ,且BF= ,连接QF、GF、DF,根据平行四边形的判定和性质 以及角平分线的对称性可得BP=FQ,点N关于CE的对称点G在CD上,连接QG,则QG=QN, CG=CN, 由BP+PQ+QN=FQ+QG+PQ≥FG+ ,(当F、Q、G共线时取等号),知BP+PQ+QN的最小值是FG 的长,过点F作FM⊥BD于M,过点G作GH⊥DF于H,利用平行四边形的性质和含30°的直角三角形的 三边关系以及勾股定理及其逆定理分别求得FH、HG即可解答. (1) 证明:设CH与DG相交于K, ∵BD⊥CD,GH⊥CE, ∴∠CDK=∠GHK=90°,∴∠HGD+∠GKH=∠DCE+∠DKC=90°, ∵∠GKH=∠DKC, ∴∠HGD=∠DCE; (2) 证明:在图1中,过点D作DF⊥DM,交CE于F, ∵BD⊥CD,DF⊥DM, ∴∠CDG=∠FDH=90°, ∴∠CDF=∠GDH, 在△DCF和△DGH中, , ∴△DCF≌△DGH(ASA), ∴DF=DH,CF=HG, ∴△FDH是等腰直角三角形, ∴∠DHF=∠DFH=45°,HF= DH, ∵DC=DG,∠CDG=90°, ∴∠DGC=∠DCG=45°, ∴∠DGC=∠DHF, ∵∠DGC+∠GCH+∠CKG=∠DHF+∠BDM+∠DKH=180°,∠CKG=∠DKH, ∴∠GCH=∠BDM, ∵四边形ABCD是平行四边形, ∴AB∥CD, ∴∠MBD=∠CDG=90°,则∠MBD=∠GHC=90°, 在△DMB和△CGH,, ∴△DMB≌△CGH(AAS), ∴DB=CH, ∵CF=HG,BM=HG, ∴CF=BM, ∵CF+HF=CH, ∴BM+ DH=DB; (3) 解:在图2中,过B作BF∥PQ,且BF= ,连接QF、DF,则四边形PBFQ是平行四边形, ∴BP=FQ, ∵CE是∠DCB的平分线, ∴点N关于CE的对称点G在CD上,连接QG,GF、则QG=QN,CG=CN, ∴BP+PQ+QN=FQ+QG+PQ≥FG+ ,(当F、Q、G共线时取等号), ∴BP+PQ+QN的最小值是FG的长, 过点F作FM⊥BD于M,过点G作GH⊥DF于H, ∵四边形ABCD是平行四边形,∠ABC=120°, ∴∠DCB=60°,CD=AB= ,又∠CDB=90°, ∴∠DBC=30°,则BC=2CD=2 ,BD= CD= , ∵CE平分DCB, ∴∠DCE=∠BCE= ∠DCB=30°,又BF∥CE, ∴∠CBF=∠BCE=30°,则∠MBF=60°, ∵FM⊥BD,∴∠BFM=30°,则BM= BF= ,FM= BM= , ∴DM=BD-BM= ,则DF= , ∴BD2=DF2+BF2, ∴∠BFD=90°即BF⊥DF,又BF∥CE, ∴CE⊥DF,又GH⊥DF, ∴GH∥CE,∠DHG=90°, ∴∠DGH=∠DCE=30°, ∵BC=4CN=2 , ∴CN= =CG, ∴DG=CD-CG= , 在Rt△DHG中,DH= DG= ,HG= DH= , ∴FH=DF-DH= , 在Rt△FHG中,FG= , ∴BP+PQ+QN的最小值是 . 【点睛】本题是四边形的综合题,主要考查平行四边形的判定与性质、含30°直角三角形的边角关系、平 行线的判定与性质、勾股定理及其逆定理、角平分线的性质、等腰直角三角形的判定与性质、全等三角形的判定与性质、最短路径问题等知识,涉及知识点较多,难度较难,熟练掌握相关知识的联系与运用,添 加辅助线解决问题是解答的关键. 22.(2022春·福建泉州·八年级泉州七中校考期中)在平面直角坐标系中,已知 ,以OA为一边在 第一象限内画正方形OABC, 为x轴上的一个动点,以BD为一边画正方形BDEF(点F在直线AB 右侧). (1)当 时,试判断线段AF与CD的数量关系,并说明理由; (2)当 时,求点E的坐标; (3)当D点从A点向右移动9个单位,求这一过程中F点移动的路程是多少? 【答案】(1) ;理由见解析 (2)点E的坐标为 或 (3)9 【分析】(1)先根据正方形的性质得出 , , ,再根据角的和差求 出 ,然后根据三角形全等的判定定理与性质即可得; (2)分点D在点A的右侧和点D在点A的左侧,分别画出图形.①如图1,先利用(1)的结论可得 ,再利用勾股定理求出 ,从而可得 ,然后过点E作 轴于点G,根据三角形全 等的判定定理与性质可得 , ,从而可得 ,由此即可得;②如图2,同①的方法,利用 三角形全等的判定定理与性质得出 , ,从而可得 ,由此即可得出结果; (3)参照(2)①的方法,求出点F的坐标,从中可发现点F的坐标与m的关系,由此即可得出答案. (1) 解: ,理由如下: 四边形OABC和四边形BDEF都是正方形,∴ , , , ,即 在 和 中 , , . (2) 由题意,分以下两种情况: ①点D在点A的右侧,过点E作 轴于点G,如图1所示: 四边形OABC和四边形BDEF都是正方形, , , , , ,即 , 由(1)可知, , 在 中, , ,在 和 中 , , , , , 此时点E的坐标为 ; ②点D在点A的左侧,过点E作 轴于点H,如图2所示: 由(1)可知, , 在 中, , , 同理可证: , , , 此时点E的坐标为 ; 综上所示,点E的坐标为 或 . (3) 当点D在点A处时,点E在x轴上, 则AE=EF=3, ∴OE=OA+AE=6,∴E(6,0),F(6,3), 当D点从A点向右移动9个单位时, =9, ∴ , 作F'H⊥x轴于H,如图所示: 由(1)得: (SAS), ∴ , , ∴ , 在 和 中, , ∴ (AAS), ∴ , , ∴H与E重合,OE=OA+AE=6, ∴ , ∴点F始终在直线x=6上运动, , ∴F点移动的路程是9. 【点睛】本题主要考查了正方形的性质、三角形全等的判定与性质、点的坐标变换规律等知识点,较难的 是题(2),依据题意,分两种情况讨论,然后分别通过作辅助线,构造全等三角形,是解题关键. 23.(2022春·湖北武汉·八年级武汉市武珞路中学校考期中)如图:正方形ABCD边长为m,正方形 DEFG边长为n(n<m),以AD,DG为边作平行四边形ADGM,以,CD,DE为边作平行四边形 CDEN,点P,Q分别是DM,CE的中点.正方形DEFG绕点D旋转.(1)求证:△MDA≌△ECD; (2)求△DPQ的面积(用含m,n的代数式表示) (3)直接写出PQ的长度的最大值(用含m,n的代数式表示) 【答案】(1)见解析 (2) (3) 【分析】(1)只需要利用SAS证明 MDA≌△ECD即可; (2)如图所示,延长MD交EC于J△,根据全等三角形的性质得到DM=CE,∠ADM=∠DCE,从而证明 ∠DJC=90°,设PM=PD=EQ=CQ=x,QJ=y,由勾股定理可以推出 ,则 ; (3)如图所示,连接NQ,MN,BM,BN,证明PQ是三角形MND的中位线,得到 ,只需要 求出MN的最大值即可得到答案. (1) 解:∵四边形ABCD和四边形DEFG都是正方形, ∴AD=DC,GD=ED,∠ADC=∠EDG=90°, ∴∠ADG+∠CDE=360°-∠ADC-∠EDG=180°, ∵四边形ADGM和四边形CDEN都是平行四边形, ∴AM=DG, , ∴AM=DE,∠DAM+∠ADG=180°,∴∠DAM=∠CDE, ∴△MDA≌△ECD(SAS); (2) 解:如图所示,延长MD交EC于J, ∵△MDA≌△ECD, ∴DM=CE,∠ADM=∠DCE, ∵∠ADM+∠CDJ=180°-∠ADC=90°, ∴∠DCE+∠CDJ=90°, ∴∠DJC=90°, ∵P、Q分别是DM,CE的中点, ∴ , 设PM=PD=EQ=CQ=x,QJ=y, ∵ , ∴ , ∴ , ∴ ; (3) 解:如图所示,连接NQ,MN,BM,BN, ∵四边形CDEN是平行四边形,CQ=EQ, ∴D、Q、N三点共线,DQ=NQ,DE=CN, ∵DP=PM, ∴PQ是三角形MND的中位线,∴ , ∵ , ∴∠DCN+∠CDE=180°, 又∵∠ADG+∠CDE=180°, ∴∠DCN=∠ADG, ∵∠BAM=360°-∠BAD-∠DAM=360°-∠BAD-(180°-∠ADG), ∴∠BAM=90°+∠ADG, 又∵∠BCN=∠BCD+∠DCN=90°+∠DCN, ∴∠BAM=∠BCN, ∵AM=GD,GD=DE,DE=CN, ∴AM=CN, 又∵AB=CB, ∴△BAM≌△BCN(SAS), ∴BM=BN,∠ABM=∠CBN, ∴∠MBA+∠ABN=∠CBN+∠ABN=90°, ∴ , ∴ , 又∵BN≤BC+CN, ∴当B、C、N三点共线时,BN有最大值,即此时PQ有最大值, ∴ 【点睛】本题主要考查了正方形的性质,平行四边形的性质,全等三角形的性质与判定,勾股定理,三角形中位线定理等等,解题的关键在于能够正确寻找全等三角形解决问题. 24.(2022春·广东珠海·八年级珠海市紫荆中学校考期中)已知矩形ABCD中,AB = 5,AD = 4,点E在 AB边上,AE= 1.点M是线段BC上的动点,BM = x,连ME,把△BME沿ME折叠,得到△FEM,延长 MF交CD于点G,连接EG. (1)当x = _________时,△MCG是等腰三角形; (2)延长EG与∠CMG的平分线交于点H,连接DH,DE. ①在M移动过程中,四边形DEMH能否成为菱形?若能,加以证明,并写出此时x的值;若不能,请说明 理由. ②写出线段DH的最小值为_________ . 【答案】(1) (2)①四边形DEMH能成为菱形,理由见解析;此时x=1;② 【分析】(1)过点E作EN⊥CD于点N,根据矩形性质,得出 ,根据 是等腰三角形, 得出 , , ,根据“HL”证明 ,得出 ,列出关于x的方程,解方程即可得出结果; (2)①当 时,即 ,证明 ,得出 ,证明 ,根据折叠 证明 ,得出 ,说明 ,证明 ,得出 ,证明 ,得出 ,即可证明四边形DEMH为平行四边形,即可 得出结论; ②根据 ,得出点H一定在过M点垂直EM的直线上,说明当 时,DH最小,求出 DH即可.(1) 解:过点E作EH⊥CD于点H,如图所示: ∵四边形 为矩形, ∴ , , , ∵ , ∴四边形 为矩形, ∴ , , ∵ , ∴BE=4, 根据折叠可知,EF=BE=4, , 当 是等腰三角形时, , ∵ , ∴ , ∴ , ∵在 和 中 , ∴ , ∴ , ∵ , ∴ ,解得: . 故答案为: . (2) ①当 时,即 , ∴在Rt△BEM中, , , ∴ , ∵ , , ∴ , ∴ , ∵ , ∴ , ∴ , ∵MH平分 , ∴ , 根据折叠可知, , ∴ , 即 , ∵ , ∴ , 过点E作EN⊥CD于点N,如图所示:根据解析(1)可知, , ∴ , 根据折叠可知, , 根据解析(1)可知, , ∴ , ∴ , 即 , ∵ , , ∴ (SSS), ∴ , ∵ , ∴ , ∵ , ∴ , ∴ , ∴ , ∴ , ∴四边形DEMH为平行四边形, ∵EM=MH, ∴四边形DEMH为菱形; 即M移动过程中,四边形DEMH能成为菱形,此时x=1; ②∵ , ∴点H一定在过M点垂直EM的直线上, ∴当 时,DH最小, 根据解析①可知,当 时,四边形DEMH为菱形, ∵ , ∴四边形DEMH为正方形, ∴此时 , ∴ , 即DH的最小值为 .故答案为: . 【点睛】本题主要考查了矩形的性质,三角形全等的判定和性质,菱形的判定,等腰三角形的判定和性质, 平行线的判定和性质,垂线段最短,折叠的性质,勾股定理,正确作出辅助线,熟练掌握三角形全等的判 定方法,是解题的关键. 25.(2022春·黑龙江哈尔滨·八年级哈尔滨工业大学附属中学校校考期中)在 中, , ,点O是 的中点,延长 到点D使 ,连接 、 . (1)如图1,求证:四边形 是正方形;(2)如图2,在四边形 内部作 ,连接 ,若 , ,求 的长; (3)如图3,在(2)的条件下,点F是 上的一点,连接 并延长交 于点G,若 ,求 的面积. 【答案】(1)见解析 (2)10 (3) 【分析】(1)利用中点的性质得到 ,进而可证得四边形 是平行四边形,根据 和 即可求证结论. (2)利用ASA可得 ,进而得 , ,利用勾股定理即可求解. (3)过B作BH⊥CE,垂足为H,连接BE,利用AAS可得△BCH≌△CDE,进而得到BE=BA,连接 BF,利用SSS可得△BAF≌△BEF,可得∠BEG=90°,连接BG,利用HL可得△BEG≌△BCG,进而可得 CG=DG=5,设AF=a,则DF=10-a,FG=5+a,利用勾股定理即可求得 ,利用三角形面积公式即 可求解. (1) 解:∵O是 中点, ∴ , ∵ , ∴四边形 是平行四边形, ∵ , ∴平行四边形 是矩形, ∵ , ∴四边形 是正方形. (2) 过作O作 ,交 于F, 如图所示:由(1)得,OD=OC,∠COD=90°, ∴∠DOE+∠DOF=90°,∠COF+∠DOF=90°, ∴∠DOE=∠COF, 又∵ ,且∠DHE=∠CHO(对顶角), ∴∠EDO+∠DHE=∠FCO+∠CHO, ∴∠EDO=∠FCO, 在△ODE和△OCF中, , ∴ , ∴ , , ∴ , ∴ . (3) 过B作BH⊥CE,垂足为H,连接BE,∴∠BHC=∠CED=90°, ∵四边形ABCD为正方形, ∴BC=CD,∠ACB=∠BDC=45°, 由(2)得,∠ECO=∠EDO, ∴∠HCB=∠EDC, ∴△BCH≌△CDE(AAS), ∴ , ∴ , ∴EH=CH, ∴BH是CE的中垂线, ∴BE=BC, ∴BE=BA, 连接BF,BF=BF(公共边),且AF=EF, ∴△BAF≌△BEF(SSS), ∴∠BEF=∠BAF=90°, ∴∠BEG=90°, ∴∠BEG =∠BCG, 连接BG,∠BEG=90°,BG=BG(公共边),BE=BC, ∴△BEG≌△BCG(HL), ∴EG=CG, ∴∠GCE=∠GEC, ∵∠GCE+∠CDE=90°,∠CEG+∠DEG=90°,∴∠DEG =∠GDE, ∴GE=DG, ∴CG=DG=5, ∴GE =5, 设AF=a, ∴EF=a, ∴DF=10-a,FG=5+a, 在Rt△DFG中,∠FDG=90°, ,即 , 解得: , ∴ , . 【点睛】本题考查了全等三角形的判定及性质、正方形的判定及性质、勾股定理的应用,熟练掌握相关判 定及性质,利用勾股定理及全等三角形的判定及性质,巧妙运用辅助线解决问题是解题的关键. 26.(2022春·浙江杭州·八年级杭州市公益中学校考期中)如图1,一张矩形纸片 ,其中 , ,先沿对角线 折叠,点 落在点 的位置, 交 于点 . (1)求证: ; (2)求 的长; (3)如图2,再折叠一次,使点 与 重合,折痕 交 于 ,求 的长. 【答案】(1)见解析 (2)(3) 【分析】(1)由折叠性质知 , ,再利用“ ”证 ,然后根据全等三 角形的性质即可得 ; (2)设 ,由全等三角形的性质知 ,再在 中,利用勾股定理即可得; (3)先求出 ,再证 是 的中位线得 , ,证 ,设 ,则 ,由勾股定理得 ,即 ,解之可得答 案. (1)证明: 四边形 是矩形, , , ,∵沿对角线 对折,点 落在点 的位置, ,∴ , ,在 和 中, , ,∴ . (2)解:由(1)已证: , ,设 ,则 , 在 中, ,即 ,解得 ,即 . (3)解:在 中, ,∵点 与点 重合,折痕为 ,∴ , , , , , , , ,(三角形中位线定理), , , , , 由折叠的性质得: , , ,设 ,则 ,在 中, ,即 ,解得 , 即 . 【点睛】本题是四边形的综合问题,考查了矩形与折叠问题、勾股定理、三角形中位线定理、全等三角形 的判定与性质等知识点,熟练掌握矩形的性质和折叠的性质是解题的关键. 27.(2022春·福建福州·八年级统考期中)如图1,在正方形ABCD中,BD为对角线,延长AB至点E, 使得AB=BE,连接CE (1)求证:四边形BECD是平行四边形; (2)如图2,点F在线段BD上,连接EF、CF,若CE=EF, ①求∠BEF的大小; ②求 的值. 【答案】(1)详见解析 (2)①15°;② 【分析】(1)由 AE//CD,BE=CD,即可证明四边形BECD是平行四边形; (2)①延长CB至点M,使得BC=BM,推出EM=EF,再证明 FBM≌ FBE(SAS),推出 EFM是等边三 角形,据此即可求解; △ △ △ ②过点F作FH⊥BC于点H,求得∠BCF=30°,设FH=x,则BH=x,CF=2x,CH= x,据此计算即可求 解.(1) 证明:∵ 四边形ABCD是正方形, ∴ AE//CD,AB=CD, ∵ AB=BE, ∴BE=CD, ∴ 四边形BECD是平行四边形; (2) 解:①延长CB至点M,使得BC=BM,连接FM,EM, ∵ CB⊥BE, ∴ CE=EM, ∵ EF=EC, ∴ EM=EF, ∵ 四边形ABCD是正方形, ∴∠ABD=∠CBD, ∴ ∠FBM=∠FBE, ∵ CB=BM,AB=BE,AB=BC, ∴ BM=BE, 又∵ BF=BF,∴ FBM≌ FBE(SAS), ∴ △FM=FE,△ ∴ EFM是等边三角形, ∴ △∠FEM=60°, ∵ ∠MBE=90°,BM=BE, ∴ ∠BEM=45°, ∴ ∠BEF=∠FEM−∠BEM=60°−45°=15°; ②过点F作FH⊥BC于点H, 知∠CBD=∠BEC=∠BCE=45°, 由①可知∠BEF=15°, ∴ ∠CEF=30°, ∵ EC=EF, ∴ ∠ECF=∠CFE=75°, ∴ ∠BCF=30°, 设FH=x,则BH=x,CF=2x,CH= x, ∴ BC=BH+CH=x+ x=(1+ )x, ∴ EF=EC= BC= ×(1+ )x=( + )x, ∴ . 【点睛】本题考查了正方形的性质,平行四边形的判定和性质,等边三角形的判定和性质,含30度角的直 角三角形的性质,全等三角形的判定和性质,解题的关键是学会利用参数构建等式解决问题. 28.(2022春·福建龙岩·八年级校联考期中)定义:如图,E,F,G,H四点分别在四边形ABCD的四条 边上,若四边形EFGH为菱形,我们称菱形EFGH为四边形ABCD的内接菱形.(1)如图,矩形ABCD, ,点E在线段AB上且 ,四边形EFGH是矩形ABCD的内接菱形,求 GC的长度; (2)如图,平行四边形ABCD, , ,点E在线段AB上且 ,请你在图中画出平行四边 形ABCD的内接菱形EFGH,点F在边BC上;(尺规作图,保留痕迹)当BF最短时,请求出BC的长. 【答案】(1) (2)作图见解析, 【分析】(1)连接 ,证明 ,可得 ; (2)根据(1)中可知 ,根据对角线垂直平分作内接菱形 ;如图5,当 与 重合, 则 与 重合时,此时 的长最小,就是 的长,根据直角三角形30度角的性质和勾股定理计算可得 结论. (1) 解:连接 ,如图所示: 四边形 是矩形, , , , , 四边形 是菱形, , , , ,即 , , ,; (2) 由(1)知: , , 作法:作 ,连接 ,再作 的垂直平分线,交 、 于 、 ,如图所示: 四边形 即为所求作的内接菱形 ; 当 与 重合,则 与 重合时,此时 的长最小,过 作 于 ,如图所示: 在 中, , , , , 四边形 是菱形, , , , 即当 的长最短时, 的长为 . 【点睛】本题考查新定义 四边形的内接菱形,基本作图 线段的垂直平分线,菱形性质,矩形性质,熟 练掌握基本作图及平行四边形、菱形和矩形的性质是解题的关键. 29.(2022春·山东济宁·八年级统考期中)【问题情境】如图1,已知点A,B在直线l的同侧,在直线l 上找一点P,使得 的值最小. 小军的思路是:如图2,作点A关于直线l的对称点 ,连接 ,则 与直线l的交点P即为所求. 【启发应用】请参考小军同学的思路,探究并解答下列问题:(1)如图3,在图2的基础上,设 与直线l的交点为点C,过点B作 ,垂足为点D.若 , , ,求出此时 的最小值; (2)如图3,若 , , ,则此时 的最小值为______; (3)【解决问题】根据以上解决问题的思路,直接写出 的最小值. 【答案】(1) (2) (3) 【分析】(1)根据等腰三角形的判定证得△ACP和△BDP为等腰直角三角形,利用勾股定理求得PA和 PB,从而求得PA+PB; (2)作A′E∥l,交BD的延长线于E,根据已知条件求得BE、A′E,然后根据勾股定理即可求得A′B,从而 求得AP+BP的值; (3)设AC=5m-3,PC=1,可得PA,设BD=8-5m,PD=3,可得PB,结合(2)即可求解. (1) 解:∵AA′⊥l,AC=1,PC=1, ∴AC=CP,∠ACP=90°, ∴∠CAP=∠CPA=45°, ∴PA= , ∵点A关于直线l的对称点为A', ∴PA′=PA= , ∴∠CPA′=∠CPA=45°, ∵BD⊥l,∠BPD=∠CPA′=45°, ∴∠PBD=90°-45°=45°=∠BPD,∴BD=PD=2, ∴PB= , ∴AP+PB的最小值为 = ; (2) 作A′E∥l,交BD的延长线于E,如图3,则四边形A′EDC是矩形, ∴A′E=DC=6,DE=A′C=AC=1, ∵BD=2, ∴BD+AC=BD+DE=3, 即BE=3, 在Rt△A′BE中,A′B= , ∴AP+BP=A′P+BP=A′B= ; (3) 如图3,设AC=5m-3,PC=1,则PA= , 设BD=8-5m,PD=3,则PB= , ∵DE=AC=5m-3, ∴BE=BD+DE=5,A′E=CD=PC+PD=4, ∴PA+PB=A′B= , ∴ = . 【点睛】本题考查了轴对称-最短路线问题,熟练掌握轴对称的性质和勾股定理的应用是解题的关键. 30.(2022秋·黑龙江哈尔滨·八年级统考期中)如图1,在 中, ,点E在 边上, 交 的延长线于点D.(1)若 ,求证: ; (2)如图2,连接 ,点F为 的中点,延长 交 于点G,连接 ,若 ,求证: ; (3)如图3,在(2)的条件下,若 , ,点H为 的中点,求线段 的长. 【答案】(1)见解析 (2)见解析 (3)5 【分析】(1)如图1中,过点A作 于点H,过点C作 于点T,设 交 于点O.证 明 ,可得结论; (2)证明 垂直平分线段即可; (3)过点A作 于点J,交 于点Q,连接 ,过点D作 于点R.解直角三角形求出 , ,再利用勾股定理,可得结论. 【详解】(1)证明:如图1中,过点A作 于点H,过点C作 于点T,设 交 于点 O. ∵ , , ∴ , ∵ , ,∴ , ∵ , ∴ , ∵ , , ∴ , ∵ , ∴ , ∴ , ∴ , , ∴ , ∴ . (2)证明:如图2中, ∵ , ∴ , ∵ , ∴ , , ∴ , ∴ , ∵ , ∴ , ∴ ; (3)解:过点A作 于点J,交 于点Q,连接 ,过点D作 于点R.∵ , , ∴ , ∵ , , ∴ , ∴ , ∴ , ∴ , ∴ , ∵ , ∴ , ∴ , , , ∵ , , ∴ , ∴ , ∴ ,设 , ∵ , ∴ , ∴ , ∴ , ∵ , ∴ , ∴ . 【点睛】本题属于三角形综合题,考查了等腰三角形的性质,解直角三角形等知识,解题的关键是学会添 加常用辅助线,构造直角三角形解决问题,属于中考压轴题. 31.(2022春·浙江舟山·八年级校考期中)如图1,四边形ABCD是平行四边形,点E在边AD上,连接 BE,过点D作DF BE,交BC于点F,点G,H分别是BE,DF的中点,连接EH,GF. (1)求证:四边形EGFH为平行四边形; (2)若BC=10,AB=6,∠ABC=60°; ①当BG=GF时,求四边形EGFH的面积: ②如图2,延长FG交AB于点P,连接AG,记ΔAPG的面积为S,ΔBPG的面积为S,若FP⊥AB,求 1 2的值. 【答案】(1)证明见解析 (2)①当BG=GF时,四边形EGFH的面积为 ;② 的值为 【分析】(1)由 , 知四边形 是平行四边形,从而得 ,再由 、 分别 是 、 的中点得 ,结合 即可得证; (2)①连接 ,先证 ,由四边形 为平行四边形知 ,过点 作 ,则 ,由 , 知 , ,再证四边形 为矩形, 设 ,则 , , ,由 得 ,根据 可得答案; ②延长 交 的延长线于点 ,证 得 ,设 ,则 , , , ,由 得 ,根据 与 同高可得 ,从而得出答案. (1) 解:如图1, 在平行四边形 中, , , 四边形 是平行四边形,, 、 分别是 、 的中点, , , 四边形 为平行四边形; (2) ①连接 , 、 , , , ,S =S , BGF EGF △ △ , ,即 , 由(1)知,四边形 为平行四边形, , 过点 作 ,则 , , , , , , , , 四边形 为矩形, 设 ,则 , , , ∴ , 解得: ,; ②延长 交 的延长线于点 , , , , , , 设 ,则 , , , , 由 得 , 与 同高, . 【点睛】本题是四边形的综合问题,解题的关键是掌握平行四边形的判定与性质、全等三角形的判定与性 质等知识点. 32.(2022春·广东广州·八年级校考期中)正方形 中, , 分别为 , 上一点, , , 交于点 , 为 的中点. (1)求证: ≌ ; (2)求证: ; (3)求证: 【答案】(1)见解析 (2)见解析 (3)见解析【分析】(1)根据四边形ABCD是正方形,判定 (2)根据全等的性质可得 ,再根据 ,得出 ,进而得到 即 (3)连接OC,在 取点H,使得 ,连接OH,证明 为等腰直角三角形,进而得出 再判定 得出 根据 即可得到 (1) 证明:∵ 四边形 是正方形 , 在 和 中, (2) 证明: , 又 ,即 (3) 证明:如图,连接OC, 在 取点H,使得 ,连接OH ∵ O为BD的中点,即O为正方形的对称中心, ∴ 是等腰直角三角形, 由(1)知 在 和 中,又 是等腰直角三角形 在 和 中, 【点睛】本题主要考查了正方形的性质,全等三角形的判定与性质以及等腰直角三角形性质的综合应用, 解决问题的关键是证出 是等腰直角三角形,依据全等三角形的对应边相等进行求解. 33.(2022春·福建莆田·八年级校考期中)平面直角坐标系中有正方形 , 为坐标原点,点 、 分别在 轴、 轴正半轴上,点 、 、 分别为边 、 、 上的点, 于 .(1)如图1,若点 与点 重合,点 坐标为 , ,求 点坐标; (2)如图2,若点 与点 重合,且 为边 的中点,求证: ; (3)如图3,若点 为线段 的中点,连接 交 于点 ,连接 ,试探究线段 与 的数量关 系,并证明你的结论. 【答案】(1) (2)证明见解析 (3) 【分析】(1)证明△OAF≌△BOP(ASA),得出OF=PB=3,则P点坐标可求出. (2)取OA的中点N.连接CN交AF于H,连接MN.证明AC=CM即可解决问题. (3)如图3中,过N点分别作NH⊥OB于点H,NG⊥CB于点G,连接ON,PN,证明△OPN是等腰直角 三角形即可解决问题. (1) 解:∵A(0,8),正方形AOBC,∴ , ∵AF⊥OP于M, ∴∠OMF=90°, ∴∠MOF+∠OFM=90°, ∵∠OFM+∠OAF=90°, ∴∠MOF=∠OAF. ∵OA=OB,∠AOF=∠OBP, ∴△OAF≌△BOP(ASA), ∴OF=PB=3, ∴P(8,3). (2) 取OA的中点N.连接CN交AF于H,连接MN.P为BC的中点, ∴PC=PB,AN=ON,OA=BC, ∴PC=ON, , ∴四边形OPCN是平行四边形, ∴ , ∵AF⊥OP, ∴CN⊥AM, ∵NA=NO, ∴ ∴ 是 的垂直平分线, ∴AC=CM,∵AC=BC=2PC, ∴CM=2PC. (3) 结论: . 理由: 如图3中,过N点分别作NH⊥OB于点H,NG⊥CB于点G,连接ON, ∵∠NGB=∠NHB=∠GBH=90°, ∴四边形BGNH是矩形, ∴∠GNH=90°, ∵N在正方形AOBC的对角线上, ∴∠NBG=∠NBH, ∵NG⊥BC,NH⊥OB, ∴NH=NG, ∵EF⊥OP,M为OP的中点, ∴ON=PN, ∴Rt△ONH≌Rt△PNG(HL), ∴∠ONH=∠PNG, ∴∠ONP=∠HNG=90°, ∴△ONP是等腰直角三角形, ∴ . 【点睛】本题属于四边形综合题,考查了正方形的性质,全等三角形的判定和性质,等腰直角三角形的和 性质,勾股定理的应用,坐标与图形等知识,解题的关键是学会添加常用辅助线,构造全等三角形解决问 题.34.(2022春·黑龙江哈尔滨·八年级校考期中)如图1,已知正方形ABCD,对角线交于点O,H为边AB 上一点,且满足OH BC, (1)求证:H为AB中点; (2)如图2,E为AD上一点,F为CD上一点,且AF=BE,求证:AF⊥BE; (3)如图3,在(2)的条件下,连接HG,K为AF上一点,连接DK、KC、OK,若满足 ∠ABE+∠AKD+∠KCD=135°, , OKD的面积为 ,求CK长. △ 【答案】(1)证明见解析 (2)证明见解析 (3) 【分析】(1)取 中点M,连接 ,利用正方形的性质及中位线的性质与平行四边形的判定和性质得 出四边形 为平行四边形,即可证明; (2)根据正方形的性质及全等三角形的判定和性质得出 ,结合图形求解即可; (3)根据直角三角形斜边上的中线得出 ,结合图形及各角之间的关系得出 , 过C作 延长线于点W,过O作 于Q,作 于P,得出四边形OPWQ为矩形, 再由全等三角形及正方形的判定得出四边形 为正方形,结合正方形的性质及题意得出 , 设 ,利用勾股定理求解即可得出结果. (1) 证明:取 中点M,连接 , ∵四边形 为正方形,∴ , ∴ , ∵ , ∴四边形 为平行四边形, ∴ , ∴H为 中点. (2) 解:∵四边形 为正方形 ∴ , 又∵ , ∴ , ∴ , ∵ , , ∴ , ∴ ; (3) ∵ 中, ,HG为 斜边中线, , ∴ 由 , 由(2)得∠DAK=∠ABE,∴ , ∴ , ∴ =135°, ∴ , 过C作 延长线于点W, 过O作 于Q,作 于P, ∴四边形OPWQ为矩形, ∴ , 即 , ∵OC=OD, ∴ , ∴OP=OQ, ∴四边形 为正方形, ∵ , ∴ , ∴WK=CW, ∵ , ∴DQ=PC,即PW+CW=KQ+DK, ∵ , ∴DK=2PW=2OQ, 由 的面积 得 , 解得: ,设 , 在 , , 解得: (负值舍去), . 【点睛】题目主要考查正方形的判定和性质,三角形中位线的性质,直角三角形斜边上的中线的性质及勾 股定理解三角形等,综合性较强,理解题意,作出相应辅助线,综合运用这些知识点是解题关键. 35.(2021春·全国·八年级期中)如图1,已知△ABC中,∠ACB=90°,AC=BC=6,点D在AB边的延 长线上,且CD=AB. (1)求BD的长度; (2)如图2,将△ACD绕点C逆时针旋转α(0°<α<360°)得到△A'CD'. ①若α=30°,A'D'与CD相交于点E,求DE的长度; ②连接A'D、BD',若旋转过程中A'D=BD'时,求满足条件的α的度数. (3)如图3,将△ACD绕点C逆时针旋转α(0°<α<360°)得到△A'CD',若点M为AC的中点,点N为 线段A'D'上任意一点,直接写出旋转过程中线段MN长度的取值范围. 【答案】(1)3 ﹣3 ;(2)①6 ﹣2 ;②45°或225°;(3)3 ﹣3≤MN≤6 +3 【分析】(1)过点C作CH⊥AB于H,由等腰直角三角形的性质可得CH=BH= AB,由勾股定理求出 DH,则可求出答案; (2)①由旋转的性质可得CD=CD'= ,∠DCD'=30°=∠CDA=∠CD'A',由等腰三角形的性质和直角三角形的性质可得CF=D'F=3 ,EF= ,CE=2EF=2 ,即可求解; ②分两种情况讨论,由“SSS”可证△A'CD≌△BCD',可得∠A'CD=∠BCD',即可求解; (3)当A'D'⊥AC时,N是AC与A'D'的交点时,MN的长度最小,当A'D'⊥AC时,N是AC与A'D'的交 点时,MN的长度最小,即可求解. 【详解】解:(1)如图1,过点C作CH⊥AB于H, ∵∠ACB=90°,AC=BC=6,CH⊥AB, ∴AB=CD=6 ,CH=BH= AB=3 ,∠CAB=∠CBA=45°, ∴DH= , ∴BD=DH﹣BH=3 ﹣3 ; (2)①如图2,过点E作EF⊥CD'于F, ∵将△ACD绕点C逆时针旋转α(0°<α<360°)得到△A′CD′, ∴CD=CD'=6 , ∵图1中CD=2CH, ∴∠DCD'=30°=∠CDA=∠CD'A', ∴CE=D'E, 又∵EF⊥CD',∴CF=D'F=3 ,EF= ,CE=2EF=2 , ∴DE=DC﹣CE=6 ﹣2 ; ②如图2﹣1, ∵∠ABC=45°,∠ADC=30°, ∴∠BCD=15°, ∴∠ACD=105°, ∵将△ACD绕点C逆时针旋转α(0°<α<360°)得到△A′CD′, ∴AC=A'C,CD=CD',∠ACA'=∠DCD'=α, ∴CB=CA', 又∵A′D=BD′, ∴△A'CD≌△BCD'(SSS), ∴∠A'CD=∠BCD', ∴105°﹣α=15°+α, ∴α=45°; 如图2﹣2, 同理可证:△A'CD≌△BCD',∴∠A'CD=∠BCD', ∴α﹣105°=360°﹣α﹣15°, ∴α=225°, 综上所述:满足条件的α的度数为45°或225°; (3)如图3,当A'D'⊥AC时,N是AC与A'D'的交点时,MN的长度最小, ∵∠A'=45°,A'D'⊥AC, ∴∠A'=∠NCA'=45°, ∴CN=A'N=3 , ∵点M为AC的中点, ∴CM= AC=3, ∴MN的最小值=NC﹣CM=3 ﹣3; 如图4,当点A,点C,点D'共线,且点N与点D'重合时,MN有最大值, 此时MN=CM+CN=6 +3, ∴线段MN的取值范围是3 ﹣3≤MN≤6 +3. 【点睛】本题主要考查全等三角形的判定与性质、勾股定理、等腰直角三角形的性质、旋转的性质及二次根式的性质,熟练掌握全等三角形的判定与性质、勾股定理、等腰直角三角形的性质、旋转的性质及二次 根式的性质是解题的关键. 36.(2022秋·浙江·八年级期中)将一个三角形的三个顶点分别作关于各自对边所在直线的对称点,由这 三个对称点确定的三角形叫做原三角形的“再生三角形”. (1)一个周长为l,面积为S的等边三角形的“再生三角形”的周长是_______,面积是________. (2)如图1,已知 中, , 是 的“再生三角形”,其中点 , , 分别是点A,B,C的对称点,试猜想 与 的面积有怎样的数量关系,并加以证明.(提 示:连结 ,并延长 交 于点D.) (3)如图2,已知 中, 是 的“再生三角形”,其中点 , , '分别是点A,B,C的对称点.探究:线段 与线段 的数量关系. 【答案】(1)2l,4S;(2) ,理由见解析;(3) . 【分析】(1)画出图形,结合图形和轴对称的性质即可得出结论; (2)连结AA'交CB于点E并延长A'A'交B'C'于D,根据轴对称的性质和等高三角形面积之比等于高之比即 可得出结论; (3)连接AA'交BC于D,可通过轴对称的性质得出△ABA' 为等边三角形,△A'B'C' 为等边三角形, △A'BC'为等腰直角三角形,从而得出线段 与线段 的数量关系. 【详解】解:(1) 如图 △A'B'C' 为对边△ABC的“再生三角形", 则 ∠A'BC'=∠A'BC+∠ABC+∠ABC'=180°,∴A'、B、C' 共线且 A'B=AB=CB=C'B, ∴B 为 A'C' 中点, 同理 A 为 B'C' 中点, C 为 A'B' 中点, , ∴△A'B'C' 周长为 △ABC 周长两倍为2l, 且△ABC≌△A'BC≌△B'AC≌△C'AB, , ∴△A'B'C' 面积为 4S, 故答案为: 2l,4S; (2)猜想: , 证明:连结AA'交CB于点E并延长A'A'交B'C'于D, 由对称性可知 AA'⊥BC,AE=A'E, , 由 AB'=AB,AC'=AC,∠B'AC'=∠BAC=90° 得 △B'AC'≌△BAC (SAS), ∴∠B'C'A=∠BCA,∴BC//B'C', ∴AA'⊥B'C', 即 AD⊥B'C', ∴AE=AD, ∴A'D=3AE, 则 , ; (3) ,理由如下: 连结 AA'交BC于D, 则 AD⊥BC, ∵∠ABC=30°,AB=CB, ∴∠BAC=∠BCA=75°, 由对称性可得 :∠C'AB=∠BAC=75° ,∠B'AC=∠BAC=75°, ∴∠BAD=90°-∠ABD=60°, ∴∠C'AA'=75°+60°=135°,∠A'AB'=75°+75°-60°=90°, ∴∠C'AB'=360°-135°-90°=135°=∠C'AA', ∵∠ABA'=2∠ABC=60°=∠BAA', ∴△ABA' 为等边三角形, ∴AA'=AB=AB', 又 ∵AC'=AC', ∴△AC'B'≌△AC'A'(SAS) , ∴C'B'=C'A', 同理 B'A'=C'A, ∴△A'B'C' 为等边三角形, 又 ∠A'BC'=3∠ABP=90°,A'B=C'B,, , 【点睛】本题考查轴对称的性质,等边三角形的性质和判定,全等三角形的性质和判定,勾股定理等. (1)中能正确画出图形,结合图形分析是解题关键;(2)中掌握等底三角形面积之比等于高之比是解题 关键;(3)能根据轴对称以及角度之间的关系得出特殊的三角形是解题关键. 37.(2022春·广东深圳·八年级深圳市光明区光明中学校考期中)已知 AOB和 MON都是等腰直角三角 形,∠AOB=∠MON=90°. △ (1)如图1:连AM,BN,求证: AOM≌ BON; (2)若将Rt MON绕点O顺时针旋转,当点A,M,N恰好在同一条直线上时,如图2所示,线段OH// BN,OH与AM交点为H,若OB=4,ON=3,求出线段AM的长; (3)若将 MON绕点O顺时针旋转,当点N恰好落在AB边上时,如图3所示,MN与AO交点为P,求 证:MP2+PN2=2PO2. 【答案】(1)见解析;(2) 或 ;(3)见解析 【分析】(1)根据角的和差关系可得∠AOM=∠BON,利用SAS即可得结论. (2)当MN在OA左侧时,根据全等三角形的性质及三角形内角和定理可得∠ANJ=∠JOB=90°,根据平 行线的性质可得∠OHN=∠ANJ=90°,利用等腰直角三角形的性质可求出MN、HM、OH的长,利用勾股定 理可求出AH的长,即可得出AM的长;同理可得出MN在OA右侧时AM的长,即可得答案; (3)如图,在OB上取一点T,使得OT=OP,连接PT,NT.利用SAS可证明 POM≌△TON,即可证 明∠M=∠ONM=45°,可得∠PNT=∠ONM+∠ONT=90°,可得PT2=PN2+NT2=△PN2+PM2,即可得出结论. 【详解】(1)∵△AOB和△MON都是等腰直角三角形, ∴OM=ON,AO=BO, ∵∠AOB=∠MON=90°,∴∠AOB+∠AON=∠MON+∠AON, ∴∠AOM=∠BON, 在△AOM和△BON中 , ∴△AOM≌△BON(SAS). (2)如图,当MN在OA左侧时,设OA交BN于J, ∵△AOM≌△BON, ∴∠OAM=∠OBN, ∵∠AJN=∠BJO, ∴∠ANJ=∠JOB=90°, ∵OH//BN, ∴∠OHN=∠ANJ=90°, ∵OM=ON=3,∠MON=90°,OH⊥MN, ∴MN= =3 ,MH=HN=OH= , ∵OA=OB=4, ∴AH= = = , ∴AM=MH+AH= . 如图,当MN在OA右侧时, 同理可得:MN= ,MH=HN=OH= ,AH= ,∴AM=AH-MH= . 综上所述,BN的长为 或 . (3)如图,在OB上取一点T,使得OT=OP,连接PT,NT. ∵∠MON=∠POT=90°, ∴∠MON-∠PON=∠POT-∠PON, ∴∠MOP=∠NOT, 在△POM和△TON中 ∴△POM≌△TON(SAS), ∴PM=TN,∠M=∠ONT=45°, ∵∠M=∠ONM=45°, ∴∠ONM=∠ONT=45°, ∴∠PNT=∠ONM+∠ONT=90°, ∴PT2=PN2+NT2=PN2+PM2 ∵△POT是等腰直角三角形, ∴PT2=2OP2, ∴PM2+NP2=2OP2.【点睛】本题考查全等三角形的判定与性质、等腰直角三角形的性质及勾股定理,熟练掌握相关性质及判 定定理并运用分类讨论的思想是解题关键. 38.(2021春·四川成都·八年级校考期中)角平分线性质定理描述了角平分线上的点到两边距离的关系, 小明发现将角平分线放在三角形中,还可以得出一些线段比例的关系. 请完成下列探索过程: 【研究情景】 如图1,在△ABC中,∠ABC的角平分线交AC于点D. 【初步思考】 (1)若AB=4,BC=7,则 = ; 【深入探究】 (2)请判断 和 之间的数值关系,并证明; 【应用迁移】 (3)如图2,△ABC和△ECD都是等边三角形,△ABC的顶点A在△ECD的边ED上,CD交AB于点 F,若AE=4,AD=2,求△CFB的面积. 【答案】(1) ;(2) ,证明见解析;(3) 【分析】(1)过点D作DM⊥AB于点M,作DN⊥BC于点N,运用角平分线性质可得DM=DN,再利用三角形面积公式即可求得答案; (2)过点D作DE⊥AB于E,DF⊥BC于F,过点B作BE⊥AC于E,利用两种不同的方法表示出△ABD 和△BDC的面积,表示出 ,即可证明; (3)连接BD,过点A作AG⊥BC于G,过点C作CH⊥DE于H,证明△ACE≌△BCD,得到CD平分 ∠BDA,且BD=AE=4,根据所得结论可得 和 ,再运用勾股定理可求出CH, AC,最后根据S BCF= S ACB得到结果. △ △ 【详解】解:(1)过点 作 于点 ,作 于点 , 平分 , , , , ; 故答案为: ; (2) .理由如下: 如图,过点D作DE⊥AB于E,DF⊥BC于F,过点B作BE⊥AC于E,∵S ABD= , △ S BDC= , △ ∴ , 又∵ , ∴ ; (3)连接BD,过点A作AG⊥BC于G,过点C作CH⊥DE于H, ∵△ABC和△ECD是等边三角形, ∴CE=CD,AC=BC,∠ECD=∠ACB=60°, ∴∠ECD-∠ACD=∠ACB-∠ACD, 即∠ACE=∠DCB, ∴△ACE≌△BCD(SAS), ∴∠E=∠BDC=60°=∠CDE=60°,即CD平分∠BDA,且BD=AE=4, 同理可得: , ∴ , ∴ , ∵AE=4,AD=2, ∴DE=AE+AD=4+2=6, ∵△ECD是等边三角形,CH⊥DE, ∴EH=DH=3,CE=DE=6, ∴CH= , ∵AH=DH-AD=3-2=1, ∴AC= , ∴CG=BG= ,∴AG= , ∴S BCF= S ACB= = . △ △ 【点睛】本题是三角形综合题,主要考查了角平分线性质,等边三角形的性质,三角形的面积,全等三角 形的判定和性质,勾股定理,知识点较多,解题的关键是构造全等三角形,得到角平分线,运用所得结论 进行类比. 39.(2022秋·广东深圳·八年级校考期中)已知△ACB和△ECD都是等腰直角三角形,∠ACB=∠ECD= 90°. (1)如图1,若D为△ACB内部一点,请判断AE与BD的数量关系,并说明理由; (2)如图2,若D为AB边上一点,AD=5,BD=12,求DE的长. (3)运用(1)(2)解答中所积累的经验和知识,完成下题:如图3,已知∠CAE=90°,AC=AE, ,AB=BC=1,求BE的长. 图1 图2 图3 【答案】(1) ,理由见解析;(2)13;(3) 【分析】(1)证明 即可得 ; (2)方法同(1)证明 ,从而 ,最后由勾股定理即可求得(3)根据(1)(2)的方法作点 关于 对称点 则 ,连接 ,证明 = ,通 过证明 得 ,在 中用勾股定理求得 的长. 【详解】(1)如图 △ACB和△ECD都是等腰直角三角形,∠ACB=∠ECD=90° (SAS) . (2)如图 △ACB和△ECD都是等腰直角三角形,∠ACB=∠ECD=90° , (SAS) ,在 中, . (3)如图:作点 关于 对称点 ,连接 则 , , 又在 与 中 (AAS) 在 中 = , . 【点睛】本题考查了轴对称图形的性质,三角形全等的判定与性质,等腰三角形的性质,勾股定理,找到 三角形全等的条件或通过辅助线构造三角形全等的条件是解题的关键. 40.(2021春·陕西西安·八年级西北工业大学附属中学校考期中)(1)如图①,点P为直线l上一个动点, 点A,B是直线l外同侧的两个定点,连接PA,PB,AB.若AB=2,则PA﹣PB的最大值为 . (2)如图②,在四边形ABCD中,AB=AD,∠BAD=90°,对角线AC⊥BD,垂足为点O,OA=2OC,点 E为OC中点,点F在AB上,且BF=3AF,点P为BD上一动点,连接PE,PF,若AC=6,求PF﹣PE 的最大值. (3)如图③,在△ABC中,AB=AC=3,∠BAC=150°,点P为平面内一动点,连接PA,PB,PC.若 PA=2,求PB﹣PC的最大值. 【答案】(1)2;(2) ;(3) 【分析】(1)根据三角形三边关系:两边之差小于第三边,所以只有当A、B、P共线时PA﹣PB有最大值 为2; (2)由(1)的原理确定F、E、P共线,PF﹣PE有最大值为FE',作点E关于BD的对称点E',连接FE'并延长交BD于P',根据题中数量关系求出FE'即可; (3)以A为圆心AP为半径画圆,P点的轨迹在圆上,可确定当B、P、C共线时PB﹣PC有最大值,根据 题中数量关系求值即可. 【详解】(1)∵三角形任两边之差小于第三边, ∴只有当A、B、P共线时PA﹣PB有最大值为AB=2, 故答案为:2; (2)如图②,作点E关于BD的对称点E',连接 ,连接FE'并延长交BD于P',则 , 同理,由(1)可知,此时F、 、P共线时, 在最大值FE',从而PF﹣PE有最大值为FE', ∵AC=6,OA=2OC,OA+OC=AC, ∴OA=4,OC=2, ∵点E为OC中点, ∴OE= OC=1, 根据对称性得:OE'=OE=1, ∵AB=AD,∠BAD=90°,AC⊥BD, ∴△AOB为等腰直角三角形, ∴AB= AO=4 , ∵BF=3AF,AF+BF=AB, ∴AF= , 作FH⊥AC于H, ∵△AOB为等腰直角三角形, ∴∠BAE=45°, 即△AFH也为等腰直角三角形, ∴AH=FH= AF=1, ∴HE'=AO﹣AH﹣OE'=4﹣1﹣1=2, ∴在 中,由勾股定理得:FE'= = = , 故PF﹣PE的最大值为 ;(3)如图③,把 绕点A逆时针旋转150゜到△ACD ,连接PD, 则△ABP≌△ACD, ∴AP=AD=2,PB=CD,∠BAP=∠CAD, ∴∠PAD=∠PAC+∠CAD=∠PAC+∠BAP=∠BAC=150゜. 过点D作DE⊥PA交PA的延长线于点E, 则∠EAD=180゜-∠PAD=30゜, ∴ , 由勾股定理得: , ∴PE=AP+AE= . 在Rt△DEP中,由勾股定理得: . ∵CD-PC PD, ∴PB-PC≤≤PD, ∴当C、P、D三点共线时,PB-PC最大,且最大值为 .【点睛】本题主要考查三角形三边的不等关系,等腰三角形的判定与性质,点的对称,图形的旋转等知识, 熟练掌握这些知识点是解题的关键. 41.(2021春·湖北武汉·八年级统考期中)如图,我们把对角线互相垂直的四边形叫做“垂美四边形”. (1)性质探究:如图1.已知四边形ABCD中,AC⊥BD.垂足为O,求证:AB2+CD2=AD2+BC2; (2)解决问题:已知AB=5 .BC=4 ,分别以△ABC的边BC和AB向外作等腰Rt△BCE和等腰 Rt△ABD; ①如图2,当∠ACB=90°,连接DE,求DE的长; ②如图3.当∠ACB≠90°,点G、H分别是AD、AC中点,连接GH.若GH=2 ,则S ABC= . △ 【答案】(1)见解析;(2)① ;② 【分析】(1)根据AC⊥BD可以得到∠AOB =∠COD=90°即可得到AB²=AO²+OB²,CD² =DO²+OC²即 AB²+CD²=AO²+OB²+DO²+OC²同理可以得到AD²+BC²=AO²+OB²+DO²+OC²即可得到答案; (2)连DC、AE相交于点F,先证明△ABE≌△DBC得到∠CDB=∠BAE从而证得AE⊥CD再利用勾股定 理和(1)中的结论求解即可得到答案; (3)连DC、AE相交于点F,作CP⊥BD交DB延长线于点P,BP²+CP²=BC²=(4 )²=32, DP²+PC²=DC²=( )²=96,(DP²+PC²)-(BP²+CP²)=96-32=64,DP²-BP²=64从而求出BP= ,再证明 AB∥PC则S ABC= AB×BP. △ 【详解】解:(1)证明:∵AC⊥BD ∴∠AOB=90° 在Rt△AOB中AB²=AO²+OB²∴∠COD=90° 在Rt△COD中CD² =DO²+OC² ∴AB²+CD²=AO²+OB²+DO²+OC² 同理AD²+BC²=AO²+OB²+DO²+OC² ∴AB2+CD2=AD2+BC² (2) ①解:连DC、AE相交于点F ∵Rt△BCE和Rt△ABD是等腰三角形 ∴BE=BCAB=BD ∠CBE=∠ABD=90° ∴∠ABE=∠DBC=90°+∠ABC ∴△ABE≌△DBC ∴∠CDB=∠BAE ∵∠ABD=90° ∴∠CDB+∠CDA+∠DAB=90° ∴∠BAE+∠CDA+∠DAB=90° ∴∠AFD=90° ∴AE⊥CD ∵AB=5 ,BC=4 ∠ACB=90° ∴AC= ∵AB=5 ,BD=5 ∠ABD=90° ∴AD= ∵BC=4 ,BE=4 ∠CBE=90°∴CE= 由(1)中结论AD²+EC²=AC²+DE² ∴(10)²+(8)²=(3 )²+DE² ∴DE= ②连DC、AE相交于点F ∵点G、H分别是AD、AC中点,GH= ∴DC=2GH= 作CP⊥BD交DB延长线于点P BP²+CP²=BC²=(4 )²=32 DP²+PC²=DC²=( )²=96 ∴(DP²+PC²)-(BP²+CP²)=96-32=64 ∴DP²-BP²=64 ∴(BD+BP)²-BP²=64 ∴(5 +BP)²-BP²=64 ∴BP= ∵∠PBA=90°,∠P=90°, ∴∠PBA+∠P=90°+90°=180°∴AB∥PC 则S ABC= AB×BP= ×5 × △ 【点睛】本题主要考查了四边形的综合问题,等腰直角三角形的性质,全等三角形的性质与判定,勾股定 理,垂直的定义,解题的关键在于能够熟练掌握相关知识进行求解. 42.(2021春·山东济南·八年级统考期中)如图1,已知点B(0,9),点C为x轴上一动点,连接BC, △ODC和△EBC都是等边三角形. (1)求证:DE=BO; (2)如图2,当点D恰好落在BC上时. ①求点E的坐标; ②如图3,点M是线段BC上的动点(点B,点C除外),过点M作MG⊥BE于点G,MH⊥CE于点H, 当点M运动时,MH+MG的值是否发生变化?若不会变化,直接写出MH+MG的值;若会变化,简要说明 理由. 【答案】(1)见解析;(2)①E( ,9);②9 【分析】(1)证明△DEC≌△OBC(SAS)可得结论. (2)①证明∠CBE=90°,求出BE即可解决问题. ②利用面积法证明MG+MH=DE即可解决问题. 【详解】解:(1)证明:如图1中,∵△ODC和△EBC都是等边三角形, ∴OC=DC,BC=CE,∠OCD=∠BCE=60°, ∴∠BCE+∠BCD=∠OCD+∠BCD, 即∠ECD=∠BCO, ∴△DEC≌△OBC(SAS), ∴DE=BO. (2)①如图2中, ∵△ODC是等边三角形, ∴∠OCB=60°, ∵∠BOC=90°, ∴∠OBC=30°, 设OC=x,则BC=2x, ∴x2+92=(2x)2, 解得x= , ∴BC= , ∵△EBC是等边三角形,∴BE=BC= , 又∵∠OBE=∠OBC+∠CBE=90°, ∴E( ,9); ②如图3中,MH+MG的值不变.连接EM. ∵S EBC=S EBM+S ECM,MG⊥BE,MH⊥EC, △ △ △ ∴ •BC•DE= •BE•MG+ •EC•MH, ∵BE=BC=CE,DE=9, ∴MG+MH=9. 【点睛】本题属于三角形综合题,考查了等边三角形的性质,全等三角形的判定和性质,三角形的面积等 知识,解题的关键是学会利用参数构建方程解决问题,学会利用面积法解决线段之间的关系,属于中考压 轴题. 43.(2021春·山东青岛·八年级胶州市初级实验中学校考期中)如图,在Rt ABC中,∠C=90°, ∠A=30°,AB=4,动点P从点A出发,沿AB以每秒2个单位长度的速度向终点B运动,过点P作PD⊥AC 于点D(点P不与点A、B重合),作∠DPQ=60°,边PQ交射线DC于点Q,设点P的运动时间为t秒. (1)用含t的代数式表示线段PD= ;PQ= ;CD= . (2)当点Q与点C重合时,求t的值; (3)当线段PQ的垂直平分线经过 ABC一边中点时,直接写出t的值. 【答案】(1)t,2t,2 - t;(2)1;(3) 或 或【分析】(1)利用勾股定理和含30度角的直角三角形的性质求出AC,PD,然后求出AD,PQ和CD即 可得出结论; (2)利用AQ=AC,即可得出结论; (3)分三种情况,利用含30度角的直角三角形的性质和勾股定理求解,即可得出结论. 【详解】解:(1)由题意可得:AP= , AB=4,∠A=30°,∠C=90°, ∴ , , ∴AC= , ∵PD⊥AC, ∴∠ADP=∠PDQ=90°, ∴AD= ∴CD= , ∵∠DPQ=60°, ∴∠DQP=30°, ∴ , 故答案为: , , ; (2)由(1)得 ∴AQ=2AD= 当Q与C重合时,AQ=AC即 = ∴t=1; (3)①如图,当PQ的垂直平分线过AB的中点F时,∴∠PGF=90°,PG= PQ= AP=t,AF= AB=2. ∵∠A=∠AQP=30°, ∴∠FPG=60°, ∴∠PFG=30°, ∴PF=2PG=2t, ∴AP+PF=2t+2t=2, ∴t= ②如图,当PQ的垂直平分线过AC的中点N时, ∴∠QMN=90°,AN= AC= ,QM= PQ= AP=t. ∵在Rt△NMQ中,∠NQM=30°, ∴QN=2MN, ∵ , ∴ , ∴ , ∴ ∵AN+NQ=AQ ∴ , ; ③如图,当PQ的垂直平分线过BC的中点F时,∴BF= BC=1,PE= PQ=t, ∵∠HEP=90°,∠EPH=∠A+∠AQP=60°, ∴∠H=30°, ∵∠ABC=60°, ∴∠BFH=30°=∠H, ∴BH=BF=1. 在Rt△PEH中,PH=2PE=2t. ∵AH=AP+PH=AB+BH, ∴2t+2t=5, ∴t= . 即当线段PQ的垂直平分线经过△ABC一边中点时,t的值为 或 或 . 【点睛】此题是三角形综合题,主要考查了等腰三角形的判定和性质,含30度角的直角三角形的性质,勾 股定理,垂直平分线的性质,正确作出图形是解本题的关键. 44.(2022春·广东佛山·八年级校考期中)如图,两个全等的等边三角形△ABC与△ACD,拼成的四边形 ABCD中,AC=6,点E、F分别为AB、AD边上的动点,满足BE=AF,连接EF交AC于点G,连接BD 与CE、AC、CF分别交于点M、O、N,且AC⊥BD. (1)求证:△CEF是等边三角形. (2)△AEF的周长最小值是 . (3)若BE=3,求证:BM=MN=DN.【答案】(1)见解析;(2)6+3 ;(3)见解析 【分析】(1)证明△BEC≌△AFC(SAS),可得结论. (2)△AEF的周长=AE+AF+EF=AE+BE+EF=AB+EF=6+EF,推出EF的值最小时,△AEF的周长最小, 因为△ECF是等边三角形,推出EF=CE,推出当CE⊥AB时,CE的值最小. (3)求出BD=6 ,再求出BM=DN=2 ,可得BM=MN=DN=2 解决问题. 【详解】(1)证明:∵△ABC,△ACD是全等的等边三角形, ∴AC=BC,∠ABC=∠DAC=∠BCA=60°, ∵AF=BE,在△CBE和△CAF中, , ∴△BEC≌△AFC(SAS), ∴CE=CF,∠BCE=∠ACF, ∴∠BCE+∠ACE=∠ACF+∠ACE, ∴∠ECF=∠BCA=60°, ∴△CEF是等边三角形. (2)解:∵△AEF的周长=AE+AF+EF=AE+BE+EF=AB+EF=6+EF, ∴EF的值最小时,△AEF的周长最小, ∵△ECF是等边三角形, ∴EF=CE, ∴当CE⊥AB时,CE的值最小, ∵三角形ABC是等边三角形, ∴∠ABC=60°, ∴∠BCE=30°, ∴BE= , ∴CE= , ∴△AEF的周长的最小值为6+3 ,故答案为:6+3 . (3)证明:∵△ABC,△ACD是全等的等边三角形,AC⊥BD ∴AO=CO,BO=DO,∠ABO= ∠ABC=30° ∵BE=3,AB=AC=6, ∴点E为AB中点,点F为AD中点, ∴AO= AB=3, ∴BO= , ∴BD=6 , ∵△ABC是等边三角形,BE=AE=3, ∴CE⊥AB, ∴BM=2EM, ∴ ∴BM=2 , 同理可得DN=2 , ∴MN=BD﹣BM﹣DN=2 ∴BM=MN=DN. 【点睛】此题考查了三角形全等,勾股定理,线段最值问题,解题的关键是根据题意找到题目中边角之间 的关系. 45.(2021秋·福建漳州·八年级福建省漳州第一中学校考期中)【初步探究】BC90 BC (1)如图1,在四边形 中, ,E是边 上一点, ,连接 . 请判断 的形状,并说明理由. 【问题解决】 (2)若设 ,试利用图1验证勾股定理. 【拓展应用】 (3)如图2,在平面直角坐标系中,已知点 ,点 ,点C在第一象限内,若 为等腰直角 三角形,求点C的坐标. 【答案】(1) 是等腰直角三角形,理由见解析;(2)见解析;(3)点C的坐标为(1,2)或(3,3) 或 . 【分析】(1)利用全等三角形的判定证明 ≌ ,再由全等三角形的性质及直角三角形的性质即 可得到结论; (2)利用图形的面积建立等式进行化简即可; (3)分三种情况,作辅助线构造全等三角形求解即可. 【详解】解:(1) 是等腰直角三角形,理由如下: 在 和 中, , ∴ ≌ , ∴AE= DE,∠AEB=∠EDC, ∵在 中,∠C=90°, ∴∠EDC+∠DEC= 90°, ∴∠AEB+∠DEC= 90°,∵∠AEB+∠DEC+∠AED=180°, ∴∠AED=90°, ∴ 是等腰直角三角形; (2)由题可知,四边形ABCD为梯形, ∵ ≌ , , , , ∴AB=CE=b,BE=CD=a, ∴ , 又∵ , ∴ , ∴ , ∴ ; (3)①当∠CAB=90°,CA=AB时,如图,过点C作CF⊥x轴于点F,过点B作BE⊥x轴于点E, ∵点A(2,0),点B(4,1), ∴BE=1,OA=2,OE=4, ∴AE= 2, ∵∠CAB=90°,BE⊥x轴, ∴∠CAF+∠BAE= 90°,∠BAE+∠ABE=90°, ∴∠CAF=∠ABE, 又∵AC= AB,∠AFC=∠AEB=90°, ∴ ≌ , ∴CF=AE= 2,AF=BE=1, ∴OF=OA-AF=1,∴点C坐标为(1,2); ②当∠ABC=90°,AB=BC时,如图,过点B作BE⊥x轴于点E,过点C作CF⊥BE交EB延长线于点F, ∵∠ABC=90°,BE⊥x轴, ∴∠ABE+∠CBF= 90°,∠ABE+∠BAE=90°, ∴∠BAE=∠CBF, 又∵BC= AB,∠AEB=∠CFB=90°, ∴ ≌ , ∴BE=CF=1,AE=BF= 2, ∴EF=3, ∴点C坐标为(3,3); ③当∠ACB=90°,CA=BC时,如图,过点C作CD⊥x轴于点D,过点B作BF⊥CD于点F,BE⊥x轴于 点E, ∵∠ACB=90°,CD⊥x轴, ∴∠ACD+∠BCF=90°,∠ACD+∠CAD=90°, ∴∠BCF=∠CAD, 又∵AC= BC,∠CDA=∠BFC=90°, ∴ ≌ , ∴CF=AD, BF=CD=DE, ∵AD+DE=AE=2, ∴2=AD+CD=AD+CF+DF=2AD+1,∴ , ∴ , , ∴点C坐标为 , 综上所述,点C的坐标为(1,2)或(3,3)或 . 【点睛】本题考查了全等三角形的判定与性质,勾股定理的验证,平面直角坐标系中等腰直角三角形的存 在性问题,熟练掌握各性质及判定定理,正确作辅助线构造出全等三角形是解题的关键. 46.(2022秋·全国·八年级期中)已知,在△ABC中,AB=AC, (1)如图1, 若 ,且点D在CA的延长线上时,求证: ; (2)如图2, 若 ,试判断AD,BD,CD之间的等量关系,并说明理由 (3)如图3,若 BD=5,求CD的长.【答案】(1)证明见解析;(2) ;(3)13 【分析】(1)先求解 再证明 为等边三角形, 证明 结合勾股定理可得结论; (2)如图,以 为边作等边 设 再证明 再利用勾股定 理可得答案; (3)如图,以 为腰作等腰直角 证明 可得 再 利用勾股定理求解 从而可得答案. 【详解】解:(1) AB=AC, 为等边三角形, (2) ,理由如下: 如图,以 为边作等边由(1)可得: 为等边三角形, 而 设 (3)如图,以 为腰作等腰直角【点睛】本题考查的是全等三角形的判定与性质,等边三角形的判定与性质,勾股定理的应用,作出适当 的辅助线构建全等三角形,直角三角形是解题的关键. 47.(2022秋·北京海淀·八年级校考期中)若△ABC和△ADE均为等腰三角形,且AB=AC=AD=AE,当 ∠ABC和∠ADE互余时,称△ABC与△ADE互为“底余等腰三角形”,△ABC的边BC上的高AH叫做 △ADE的“余高”.(1)如图1,△ABC与△ADE互为“底余等腰三角形”. ①若连接BD,CE,判断△ABD与△ACE是否互为“底余等腰三角形”:_______ (填“是”或“否”) ; ②当∠BAC=90°时,若△ADE的“余高”AH= ,则DE=_______; ③当0°<∠BAC<180°时,判断DE与AH之间的数量关系,并证明; (2)如图2,在四边形ABCD中,∠ABC=60°,DA⊥BA,DC⊥BC,且DA=DC. ①画出△OAB与△OCD,使它们互为“底余等腰三角形”; ②若△OCD的“余高”长为a,则点A到BC的距离为_______(用含a的式子表示). 【答案】(1)①是;② ;③ ;见解析;(2)①见解析;② 【分析】(1)①连接BD、CE,根据四边形内角和为360°,求出 ,即可得出答案; ②当 时, 是等腰直角三角形,故 ,求出AB,由此可知 , ,得出 是等腰直角三角形,故可求出DE; ③过点A作 交DE于点F,故 , ,推出 ,根据AAS证 明 ,由全等三角形的性质得 ,即可求出DE与AH的关系; (2)①连接BD,取BD中点为点O,连接AO、CO即可; ②过点O作 交于点M,过点A作 交于点N,故 ,由 得出 ,求出 , ,推出 ,在 中由勾股定理即可 求出AN. 【详解】(1)①如图1,连接BD、CE, ∵ , ∴ , , , , ∵ , ∴ , ∵四边形BCDE的内角和为360°, ∴ , ∴ 与 互为“底余等腰三角形”, 故答案为:是; ②当 时, 是等腰直角三角形, ∴ , ∵ , ∴ , , ∵ 与 互为“底余等腰三角形”, ∴ , , ∴ 是等腰直角三角形, ∴ , 故答案为: ; ③过点A作 交DE于点F,故 , ,∵ , ∴ , 在 与 中, , ∴ , ∴ , ∵ , ∴ ; (2) ①如图2,连接BD,取BD中点为点O,连接AO、CO, ∵ , , ∴ , 都是直角三角形, ∴ , 在 与 中, , ∴ , ∴ ,, ∴ , ∴所作图形能使 与 互为“底余等腰三角形”; ②过点O作 交于点M,过点A作 交于点N,故 , , ∵ , ∴ , ∴ , , ∴ , 在 中, , , ∴ , ∴ , , 故答案为: . 【点睛】本题考查几何图形的综合应用,主要涉及到全等三角形的判定与性质、等腰三角形的性质、多边 形的内角和、直角三角形的性质以及勾股定理等,掌握“底余等腰三角形”的定义是解题的关键. 48.(2022春·黑龙江哈尔滨·八年级哈尔滨市第十七中学校校考期中)在矩形ABCD( )中,点 E在边AD上,点F在DC延长线上,连接BE、BF,且 . (1)如图1,求证, , (2)如图2,当E是AD中点时,求证: ; (3)如图3,在(2)的条件下,过点E作 交CD于点G,若 ,求线段DG的长. 【答案】(1)见解析 (2)见解析(3) 【分析】(1)设 ,则 , ,根据 ,即有 ,则有 ,在 中,可得 ,即有 ; (2)连接EC并延长交BF的延长线于点H,延长CE交BA延长线于点G,先证得 , 再证 ,即可得证结论; (3)过点E作 于K,延长EK交BF于L,先证明四边形ELFG为平行四边形,再证明 ,得到KL=DG,BL=EG,在求证KL是中位线,进而求出KL的长度,设 , 则 ,由(2)知 ,在 和 中,利用勾股定理得: ,即可求出KL,则DG得解. (1) ∵矩形ABCD, ∴ , 在 中,设 ,则 , , ∵ , ∴ , ∴ , 在 中, , ∴ ; (2) 连接EC并延长交BF的延长线于点H,延长CE交BA延长线于点G, 如图,∵E为AD中点, ∴ , 在 和 中, , ∴ , ∴ , ∴ , ∵ , ∴ , ∴ , ∴ , ∴ , ∴ , ∴ , 在 和 中, , ∴ , ∴ , 又∵ , ∴ ,∴ , 即 ; (3) 根据(2)的结论有 , 过点E作 于K,延长EK交BF于L, 如图, 0 ∵ , ∴ , ∴ , ∴ , ∴ , ∵ , ∴四边形ELFG为平行四边形, ∴ , , ∵ , ∴ , ∵ , ∴ ,可证长方形ABKE, ∴ , 在 和 中, ,∴ , ∴ , , ∴ , 在 中, , , ∴ (中位线) 设 ,则 ,由(2)知 , ∴ , 在 和 中, 利用勾股定理得: , ∵ , ∴ , ∴解得: , ∴ . 【点睛】本题考查了全等三角形的判定与性质、平行四边形的判定与性质、勾股定理、中位线的判定与性 质、解一元二次方程等知识,作出科学的辅助线,证得 是解答本题的关键. 49.(2022春·江西宜春·八年级统考期中)[特例感知]如图1,在正方形 中,点E,F分别为 , 的中点, 、 交于点G. (1)易证 ,可知 、 的关系为___________________; (2)连接 ,若 ,求 的长.[初步探究]如图2,在正方形 中,点E为 边上一点, 分别交 、 于F、G,垂足为 O.求证: . [基本应用]如图3,将边长为6的正方形 折叠,使得点A落在边 的中点M处,折痕为 ,点 P、Q分别在边 、 上,请直接写出折痕 的长: ________. [应用拓展]如图4,在四边形 中, , , , , 于 E, 交 于F,则 长为________. 【答案】特例感知:(1) 且 ;(2)6;初步探究:见解析;基本应用: ;应用拓 展: 【分析】[特例感知](1)由“SAS”可证 ,即可得出结论; (2)由“AAS”可证 ,可得AD=BH,由直角三角形的性质可求得 的长; [初步探究]“ASA”可证 ,可得DE=DH=FG; [基本应用]由全等三角形的性质可证PQ=AM,由勾股定理可求解; [应用拓展]由“AAS”可证 ,可得AH=BE, DH=AE,由“ASA"可证 ,可得 DE=AF= . 【详解】[特例感知]解:(1)∵四边形 是正方形, ∴ , ∵点 , 是 , 的中点, ∴ , , ∴ , 在 和 中 ∴ , ∴ , ,∵ , ∴ , ∴ , ∴ . 故答案为: 且 . (2)解:延长 交 的延长线于点H, ∵四边形 是正方形, ∴ 且 , ∴ , 又∵ , ∴ , ∴ , 又由(1)知: , ∴ , ∴在 中, , ∴ . [初步探究]过点C作 交 于点H,交DE于N, ∵ , , ∴四边形 是平行四边形,∴ , ∵ , , ∴ , ∵ , , ∴ , 又∵ , , ∴ , ∴ , ∴ . [基本应用]如图,连接AM,过点 作 于H点, ∴ , ∵ , ∴四边形ABQH是矩形, ∴HQ=AB=6, 由折叠可知PQ⊥AM, ∴ , ∵ , ∴ , ∵四边形 是正方形, ∴ , ∴ , 在 和 中∴ , ∴ , ∵点 是 的中点, ∴ , 在 中,由勾股定理得, , ∴ = . 故答案为: . [应用拓展]过点 作 于 , ∵ , ∴ , ∴ , 又∵ , , ∴ , ∴ , , ∵ , , , ∴ , ∴四边形 是矩形, ∴ , ,∴ , ∴ , ∴ , ∴ , ∴ , ∴ , ∴ , ∴ , 又∵ , , ∴ , ∴ . 故答案为: . 【点睛】此题是四边形综合题,考查了正方形的性质,勾股定理,折叠的性质,全等三角形的判定和性质, 熟练掌握正方形的性质是解题的关键. 50.(2022春·湖北孝感·八年级统考期中)如图1, 为正方形 的边 上一动点( 与 、 不重 合),点 在 边上,且 ,连接 、 交于点 . (1)求证: ; (2)当 运动到 中点处时(如图2),连接 ,请你判断线段 与 之间的关系,并说明理由; (3)如图3,在(2)的条件下,过 点作 于点 ,交 、 于点 、 ,若 ,求的长度. 【答案】(1)见解析; (2) ,见解析; (3) . 【分析】(1)证明 即可得出答案; (2)延长BQ、AD交于一点F,证明DF=AD,在 中利用直角三角形斜边中线定理即可得出答案; (3)通过角度的推导证明 和 均为等腰三角形,设QM=MN=x,在 中利用勾股定理即 可列方程求解. (1) 证明:在正方形ABCD中有:AB=BC,∠ABP=∠BCQ=90°, ∵BP=CQ, ∴ , ∴∠PAB=∠QBC, ∵∠QBC+∠ABQ=90°, ∴∠PAB+∠ABQ=90°, ∴∠AEB=90°, ∴AP⊥BQ. (2) 解:AD=DE,理由如下: 如图,延长BQ、AD交于一点F,当点P为BC中点时,Q为CD中点,即CQ=DQ, ∵∠FQD=∠BQC,∠FDQ=∠C, ∴ , ∴FD=BC, ∴FD=AD, 由(1)得:∠FEA=90°, ∴ . (3) 解:由(1)得:AP⊥BQ, ∴∠ANE+∠NAE=90°, ∵∠NAE+∠AEH=90°, ∴∠ANE=∠AEH, 设∠ANE=∠AEH=α, ∵DE=DA, ∴∠DAE=∠AEH=α, ∵ , ∴∠APB=∠DAE=α, ∵ , ∴∠CQB=∠APB=α, ∵∠QNM=∠ANE=α,∴∠CQB=∠QNM, ∴QM=MN, ∵ , ∴∠ABQ=∠CQB=α, ∴∠ABQ=∠ANE, ∴AN=AB=2, 设QM=MN=x,则DM=DQ+QM=1+x,AM=AN+MN=2+x, ∵AD2+DM2=AM2, ∴22+(x+1)2=(x+2)2, 解得: , ∴ . 【点睛】本题考查正方形的性质,全等三角形的判定及性质,直角三角形斜边上的中线等于斜边的一半, 等腰三角形的判定及性质,熟练掌握正方形的边角性质及全等三角形的判定及性质,直角三角形斜边上的 中线等于斜边的一半,等腰三角形的判定及性质是解题关键. 51.(2022春·浙江金华·八年级校联考期中)(1)在菱形ABCD中 ,∠A=60 °,AD=4 ①如图1,点E ,点F分别是AB ,BC中点 ,求证:△AED≌△BFD; ②如图2,∠EDF=60⁰ ,点E ,点F分别在边AB ,边BC上 ,求四边形EDFB的面积; (2)如图3,在菱形ABCD中 ,∠A=∠EDF=45⁰ ,点E ,点F分别在边AB ,边BC上 ,AD=4,求四 边形EDFB的面积. 【答案】(1)①证明见解析;② ;(2) 【分析】(1)①根据菱形性质及∠A=60⁰ ,得到 和 均为等边三角形,进而结合点E ,点F 分别是AB ,BC中点 ,即可找到条件判定△AED≌△BFD(SAS); ②根据菱形性质及∠A=60⁰ ,得到 和 均为等边三角形,结合在四边形EDFB中,∠EDF=60⁰, ,得到 ,从而判定△AED≌△BFD(AAS),得到 ,再根据等 边三角形性质求得 ; (2)连接 ,过 作 于 ,作 于 ,找到条件得到 (AAS)以及 Rt Rt (HL),在 中, , ,则 , ,在Rt 中, , , ,则 , . 【详解】解:(1)①在菱形ABCD中 ,∠A=60⁰ , , , 和 均为等边三角形, , 点E ,点F分别是AB ,BC中点 , , 在 和 中, , △AED≌△BFD(SAS); ②连接 ,如图所示: 在菱形ABCD中 ,∠A=60⁰ , , , 和 均为等边三角形,, 在四边形EDFB中,∠EDF=60⁰ , , , , , 在 和 中, , △AED≌△BFD(AAS), , , 在等边 中,过 作 于 ,如图所示: 在Rt 中,∠A=60⁰ ,AD=4, , ; (2)连接 ,过 作 于 ,作 于 ,如图所示: 在菱形ABCD中 , 平分 , , , ∠A=∠EDF=45⁰ ,, 在四边形 中, , , , , 在 和 中, , (AAS), , 在Rt 和Rt 中, , Rt Rt (HL), ,即 , 在 中, , ,则 , , 在Rt 中, , , ,则 , 【点睛】本题是四边形的综合题,考查的是菱形的性质、全等三角形的判定和性质,涉及到等边三角形的 判定与性质、四边形内角和、邻补角定义、角平分线性质等知识,掌握菱形的性质、全等三角形的判定定 理和性质定理是解题的关键. 52.(2022秋·四川成都·八年级成都外国语学校校考期中)如图1,在△ABC和△ADE中, ∠DAE=∠BAC,AD=AE,AB=AC.(1)求证:△ABD≌△ACE; (2)如图2,在△ABC和△ADE中,∠DAE=∠BAC,AD=AE,AB=AC,∠ADB=90°,点E在△ABC内, 延长DE交BC于点F,求证:点F是BC中点; (3)△ABC为等腰三角形,∠BAC=120°,AB=AC,点P为△ABC所在平面内一点,∠APB=120°, AP=2,BP=4,请直接写出 CP的长. 【答案】(1)证明见详解;(2)证明见详解;(3) 或2 . 【分析】(1)因为∠DAE=∠BAC,可以得到∠DAB=∠EAC,因为AD=AE,AB=AC,即可得到 △ABD≌△ACE; (2)连接CE,延长EF至点H,取CF=CH,连接CH,由(1)可得△ABD≌△ACE,所以∠AEC=90°和 CE=BD,可以推出∠BDF=∠CEF,再证明△DBF≌△ECH,所以BF=CH,等量代换即可得到BF=FC,即 可解决; (3)点P在△ABC内部,将△ABP逆时针旋转120°,得到 ,连接 和PC,可以得到△ 是 直角三角形,利用勾股定理即可求出PC的值;当点P在△ABC外部,将△APB绕点A逆时针旋转120 得 到 ,连接 和PC,过点P作PD⊥ 于点D,连接PD可以得到△ ,△ 是直角三角形 和,利用勾股定理即可求出 及PC的值. 【详解】解:(1)证明:∵∠DAE=∠BAC ∴∠DAB=∠EAC ∵AD=AE,AB=AC ∴△ABD≌△ACE (2)证明:连接CE,延长EF至点H,取CF=CH,连接CH,如图所示:∵△ADB≌△AEC ∴BD=EC,∠ADB=∠AEC=90° ∵AD=AE ∴∠ADE=∠AED ∵∠ADE+∠EDB=∠AED+∠CEH=90° ∴∠EDB=∠CEH ∵CF=CH ∴∠CFH=∠CHF ∴∠DFB=∠H ∵CE=BD ∴△DBF≌△ECH ∴BF=CH ∴BF=CF ∴点F是BC的中点 (3)当点P在△ABC内部,如图所示,将△ABP逆时针旋转120°,得到 ,连接 和PC ∵将△ABP旋转120°得到 ∴∠ =120°,AP= =2,BP= =4 ∴ =2 ,∵∠ =120°,∠ =30°, ∴∠ =90°, ∴PC= . 当点P在△ABC外部,如图所示, 将△APB绕点A逆时针旋转120 到△ ,过点P作PD⊥ 于点D,连接PD, ∵将△ABP旋转120°得到 ∴∠ =120°,AP= =2,BP= =4, ∴ =2 , ∵∠ =120°,∠ =30°, ∴∠ =150°, ∴∠ =30°, 在Rt 中, , , , . 综上所述, 【点睛】本题主要考查了全等三角形以及旋转,合理的作出辅助线以及熟练旋转的性质是解决本题的关键. 53.(2021春·福建莆田·八年级福建省莆田市中山中学校考期中)同学们学过正方形与等腰三角形发现它 们都是轴对称图形,它们之间有很多相似,在正边形 中,E是对角线 上一点(不与点A、C重 合),以 、 为邻边作平行四边形 , 交 于点M,连接 .(1)如图1,当 时,过点E作 交 于点F,连接 并延长交 于点H. 求证: ; (2)在 中, , .过点A作直线 ,点C关于直线 的对称点为点D,连接 , 直线 交直线 于点E.如图2, ①依题意补全图形; ②请用等式表示线段 , , 之间的数量关系,并予以证明. 【答案】(1)见详解; (2)①见详解;②结论为:BE2+DE2=BC2,证明见详解. 【分析】(1)延长EF交CG于J,得出∠DAE=∠BAE=45°,AD=AB=CD=BC,根据四边形AEGD为平行 四边形,得出AD∥GE,AD=EG,AE=DG,再证四边形GEBC为平行四边形,可证点F为 EGC的垂心, 得出GH⊥AC,证明 ABE≌△DCG(SSS),再证 ABE≌△GEF(ASA)即可; △ (2)①过点C作AP△的垂线,交AP于G,在射线C△G上截取GD=CG,过BD作直线交PA于E,如图; ②连接CE,AD,根据轴对称性质得CE=DE,AD=AC,∠ACE=∠ADE,先证∠ACE=∠ABD,再证 ∠ACE+∠ABE=180°,根据四边形内角和∠BAC+∠ABE+∠BEC+∠ACE=360°,得出∠BAC+∠BEC=180°, 最后证明∠BEC=90°即可. (1) 证明:延长EF交CG于J, ∵四边形ABCD为正方形,AC为对角线, ∴∠DAE=∠BAE=45°,AD=AB=CD=BC,∵四边形AEGD为平行四边形, ∴AD∥GE,AD=EG,AE=DG, ∴∠GEH=∠DAE=45°, ∵DA∥BC,DA=BC, ∴GE=CB,且GE∥CB, ∴四边形GEBC为平行四边形, ∴CG∥EB,BE=CG, ∵JE⊥BE, ∴JE⊥CG, ∵DA⊥DC, ∴EG⊥DC, ∴点F为 EGC的垂心, ∴GH⊥A△C, ∴∠GHE=90°, ∴∠EGH=180°-∠GHE-∠GEH=45°, ∴∠EGH=∠EAB=45°, ∠MFE=∠JFC,∠EMF=∠CJF=90°, ∴∠GEF=180°-∠MFE-∠EMF=180°-∠JFC=∠CJF=∠GCM, 在 ABE和 DCG中 △ △ ∴△ABE≌△DCG(SSS), ∴∠ABE=∠DCG=∠GEF, 在 ABE和 GEF中, △ △ ∴△ABE≌△GEF(ASA), ∴ ;(2) ①过点C作AP的垂线,交AP于G,在射线CG上截取GD=CG,过BD作直线交PA于E,如图. ②结论为:BE2+DE2=BC2, 证明:连接CE,AD. 根据轴对称性质得CE=DE,AD=AC,∠ACE=∠ADE, ∵AB=AC, ∴AD=AB, ∴∠ADE=∠ABD, ∴∠ACE=∠ABD, ∵∠ABD+∠ABE=180°, ∴∠ACE+∠ABE=180°, 在四边形ABEC中, ∵∠BAC+∠ABE+∠BEC+∠ACE=360°, ∴∠BAC+∠BEC=180°,又∵∠BAC=90°, ∴∠BEC=90°. ∴BE2+ED2=BC2, ∴BE2+DE2=BC2. 【点睛】本题考查了正方形性质、平行四边形判定与性质、垂心性质、三角形全等判定与性质、作图、等 腰三角形的性质、四边形内角和、补角性质、判定两直线垂直、勾股定理和轴对称性质等,其中利用辅助 线画出准确图形是解题关键. 54.(2022春·广东广州·八年级校考期中)如图,在矩形ABCD中,AB=8,BC=16,点P从点D出发向 点A运动,运动到点A停止,同时,点Q从点B出发向点C运动,运动到点C即停止,点P、Q的速度都 是每秒1个单位,连接PQ、AQ、CP,设点P、Q运动的时间为t秒. (1)当t= 时,四边形ABQP是矩形; (2)当t=6时,判断四边形AQCP的形状,并说明理由; (3)直接写出以PQ为对角线的正方形面积为96时t的值; (4)整个运动当中,线段PQ扫过的面积是 . 【答案】(1)8,(2)菱形,理由见解析,(3)8﹣4 或8+4 ;(4)64. 【分析】(1)由矩形性质得出BC=AD=16,AB=CD=8,由已知可得,BQ=DP=t,AP=CQ=16﹣t, 当BQ=AP时,四边形ABQP为矩形,得出方程,解方程即可; (2)t=6时,BQ=6,DP=6,得出CQ=16﹣6=10,AP=16﹣6=10,AP=CQ,AP∥CQ,四边形 AQCP为平行四边形,在Rt△ABQ中,由勾股定理求出AQ=10,得出AQ=CQ,即可得出结论; (3)分两种情况:求出正方形的边长为4 ,则对角线PQ为8 ,由勾股定理求出QM的长,由题意 得出方程,解方程即可; (4)连接AC、BD,AC、BC相交于点E,线段PQ扫过的面积=△AED的面积+△BEC的面积,即可得出 结果. 【详解】解:(1)∵在矩形ABCD中,AB=8,BC=16, ∴BC=AD=16,AB=CD=8,由已知可得,BQ=DP=t,AP=CQ=16﹣t, 在矩形ABCD中,∠B=90°,AD∥BC, 当BQ=AP时,四边形ABQP为矩形, ∴t=16﹣t, 解得:t=8, ∴当t=8s时,四边形ABQP为矩形; 故答案为:8 (2)四边形AQCP为菱形;理由如下: ∵t=6, ∴BQ=6,DP=6, ∴CQ=16﹣6=10,AP=16﹣6=10, ∴AP=CQ,AP∥CQ, ∴四边形AQCP为平行四边形, 在Rt△ABQ中,AQ= = =10, ∴AQ=CQ, ∴平行四边形AQCP为菱形, ∴当t=6时,四边形AQCP为菱形; (3)∵正方形面积为96, ,∴正方形的边长为:4 ,∴PQ= ×4 =8 ; 分两种情况: ①如图1所示:作PM⊥BC于M, 则PM=AB=8,DP=BQ=t,AP=BM=16﹣t, 由勾股定理得:QM= =8 , BM=BQ+QM, ∴t+8 =16﹣t, 解得:t=8﹣4 ; ②如图2所示:DP=BQ=t,AP=BM=16﹣t, ∵BQ=BM+QM,∴16﹣t+8 =t, 解得:t=8+4 ; 综上所述,以PQ为对角线的正方形面积为96时t的值为:8﹣4 或8+4 ; (4)连接AC、BD,AC、BC相交于点E, 则整个运动当中,线段PQ扫过的面积是:△AED的面积+△BEC的面积,如图3所示: ∵△AED的面积+△BEC的面积= 矩形ABCD的面积, ∴整个运动当中,线段PQ扫过的面积= 矩形ABCD的面积= ×AB×BC= ×8×16=64. 故答案为:64. 【点睛】本题考查了正方形的判定与性质、矩形的判定与性质、菱形的判定、勾股定理、平行四边形的判 定、三角形面积公式以及分类讨论等知识;熟练掌握正方形的判定与性质和勾股定理是解题关键. 55.(2021秋·黑龙江哈尔滨·八年级哈尔滨市第六十九中学校校考期中)四边形 中, ,连 接 . (1)如图1,若 平分 ,求证: . (2)如图2,若 , ,求证: .(3)如图3,在(2)的条件下,作 于点 ,连接 ,若 , ,求 的长度. 【答案】(1)见解析;(2)见解析;(3) 【分析】(1)过点 分别作 于点 , 交 的延长线于点 ,根据角平分线的性质可 得 ,结合已知条件HL证明 ,继而可得 ,根据平角的定义以及 等量代换即可证明 ; (2)过点 分别作 于点 , 交 的延长线于点 ,过点 作 ,根据含30 度角的直角三角形的性质可得 ,根据三线合一,可得 ,进而可得 ,根据角 平分线的判定定理可推出 ,进而即可证明 ; (3)先证明四边形 是矩形,证明 ,进而证明四边形 是正方形,设 ,根据(2)的结论以及三角形内角和定理,求得 ,进而求得 ,根据含30度 角的直角三角形的性质,即可求得 ,进而在 中,勾股定理即可求得 的长. 【详解】(1)如图,过点 分别作 于点 , 交 的延长线于点 , 平分 , , 在 与 中(HL) 即 (2)如图,过点 作 交 的延长线于点 ,过点 作 , , 即 (3)如图,过点 分别作 于点 , 交 的延长线于点 ,, 四边形 是矩形 在 与 中 , 四边形 是正方形 设在 中 在 中, 【点睛】本题考查了三角形全等的性质与判定,角平分线的性质与判定,三角形内角和定理,三角形的外 角性质,勾股定理,正方形的性质与判定,正确的添加辅助线是解题的关键. 56.(2021秋·浙江温州·八年级温州市第十四中学校考期中)如图1,在Rt 中, , AC=BC=4,D是AB的中点.延长 至点 ,在 右侧作 ,点 为射线 上一点,连结 交 于点 ,过点 作 交 于点 . (1)求证: ; (2)如图 2,点 在射线 上,且 平分 ,连结 . ①求证: ; ②当 是以 为腰的等腰三角形时,则 .(直接写出答案,结果保留根号). 【答案】(1)见解析;(2)①见解析;② 或 . 【分析】(1)先证明∠DGC+∠DFC=180°,再根据∠BFD+∠DFC=180°,得出结论; (2)①先证明∠FHD=∠CHD,再证明 =∠DFH,最后根据 DFH≌△DGH得出结论;②分两种情 况讨论:①当EH=HF时;②当EH=EF时,分别求解即可. △【详解】解:(1)∵ , , ∴∠ACB=∠FDG=90°, ∴∠DGC+∠DFC=360°-∠ACB-∠FDG=180°, ∵∠BFD+∠DFC=180°, ∴∠BFD=∠DGC; (2)①连接DC,DH,DO⊥AC,DK⊥BC,DP⊥HF,交HF的延长线于点P, ∵AC=BC,D是AB的中点, ∴CD是∠BCA的平分线, ∴∠FHD=∠CHD, ∵DO⊥AC,DK⊥BC, ∴DO=DK, ∵ 平分 , ∴∠BFE=HFE=∠DFC, ∴∠PFD=∠KFD, ∵DK⊥BC,DP⊥HF, ∴DK=DP, ∴DP=DO, ∵DO⊥AC,DP⊥HF, ∴DH平分∠FHC, ∴∠FHD=∠CHD, 由(1)得 =∠HFE+∠HFC,∠BFE=∠HFE=∠DFC, ∴ =∠DFC+∠HFC=∠DFH,即 =∠DFH, ∵DH=DH, ∴△DFH≌△DGH, ∴FH=GH; ②连接DH,由①得GH=FH, DGH≌△DFH, ∴DG=DF, △ ∵∠DOC=∠DKB=90º,DK=DO, ∴△DOG≌△DKF, ∴OG=FK, ∵AB=AC, ∴∠A=∠ABC=45º, ∵CD⊥AB, ∴DB=DC=DA, ∴BK=OC, ∴BK-FK=OC-OG, 设BF=x,则CG=x,FC=4-x, 当EH=HF时,则∠FEH=∠EFH=∠BFE, ∴EH∥BC, ∴四边形BCHE为矩形, ∴EH=BC=4=FH,则CH=GH-GC=4-x, 根据勾股定理可得: , ∴ , 解得: ,即BF= . 当EH=EF时,作EK⊥FH于点K, ∵EF平分∠BFH, ∴BE=KE,BF=FK, ∵EF=EH, ∴FK=KH,即FH=2BF, 设BF=x,则FH=2x,FC=4-x, ∵FH=GH=2x,CG=x,∴GH=x, 根据勾股定理可得: , ∴ , 解得 (负值舍去), 即BF= , 综上:BF= 或 . 【点睛】本题考查了全等三角形的性质与判定,等腰三角形的性质,勾股定理及矩形的判定,解题的关键 是熟练掌握有关性质. 57.(2022春·浙江台州·八年级校联考期中)如图1,在矩形ABCD中,AB=a,BC=6,动点P从B出发沿 射线BC方向移动,作△PAB关于直线PA的对称△PAB′. (1)如图2,当点P在线段BC上运动时,直线PB′与CD相交于点M,连接AM,若∠PAM=45°,请直接 写出∠B′AM和∠DAM的数量关系; (2)在(1)的条件下,请求出此时a的值: (3)当a=8时, ①如图3,当点B′落在AC上时,请求出此时PB的长; ②当点P在BC的延长线上时,请直接写出△PCB′是直角三角形时PB的长度.【答案】(1) ;(2) ;(3)① ;②PB的长度为8或 或 . 【分析】(1)证明Rt△MAD≌Rt△MAB′(AAS),即可得到∠B′AM=∠DAM; (2)由Rt△MAD≌Rt△MAB′(AAS),得到AD=AB′=AB=a,即可求得a=6; (3)①利用勾股定理求出AC,在Rt△PB′C中利用勾股定理即可解决问题; ②分三种情形分别求解即可,如图2-1中,当∠PCB′=90°时.如图2-2中,当∠PCB′=90°时.如图2-3中, 当∠CPB′=90°时,利用勾股定理即可解决问题. 【详解】解:(1)∵四边形ABCD是矩形, ∴∠D=∠B=∠BAD=90°, ∵△PAB′与△PAB关于直线PA的对称, ∴△PAB≌△PAB′, ∴AB′=AB,∠AB′P=∠B=90°,∠B′AP=∠BAP, ∵∠PAM=45°,即∠B′AP +∠B′AM =45°, ∴∠DAM +∠BAP =45°, ∴∠DAM=∠B′AM, ∵AM=AM, ∴Rt△MAD≌Rt△MAB′(AAS), ∴∠B′AM=∠DAM; (2)∵由(1)知:Rt△MAD≌Rt△MAB′, ∴AD=AB′=AB=a, ∵AD=BC=6, ∴a=6; (3)①在Rt△ABC中,∠ABC=90°, 由勾股定理得:AC= =10, 设PB=x,则PC=6−x, 由对称知:PB′=PB=x,∠AB′P=∠B=90°, ∴∠PB′C=90°, 又∵AB′=AB=8, ∴B′C=2, 在Rt△PB′C中, ,∴(6−x)2=22+x2, 解得:x= , 即PB= ; ②∵△PAB′与△PAB关于直线PA的对称, ∴△PAB≌△PAB′, ∴AB′=AB,∠AB′P=∠B=90°,PB′=PB, 设PB′=PB=t, 如图2-1中,当∠PCB'=90°,B'在CD上时, ∵四边形ABCD是矩形, ∴∠D=90°,AB′=AB=CD=8,AD=BC=6, ∴DB′ , ∴CB′=CD−DB′=8−2 , 在Rt△PCB'中,∵B'P2=PC2+B'C2, ∴t2= (8−2 )2+(6−t)2, ∴t= ; 如图2-2中,当∠PCB'=90°,B'在CD的延长线上时,在Rt△ADB'中,DB′ , ∴CB′=8+2 , 在Rt△PCB'中,则有:(8−2 )2+(t−3)2=t2, 解得t= ; 如图2-3中,当∠CPB'=90°时, ∵∠B=∠B′=∠BPB′=90°,AB=AB′, ∴四边形AB'PB为正方形, ∴BP=AB=8, ∴t=8, 综上所述,PB的长度为8或 或 ; 【点睛】本题考查了轴对称的性质,矩形的性质,正方形的判定和性质,全等三角形的判定和性质,勾股定理等知识,解题的关键是正确寻找全等三角形解决问题. 58.(2021春·黑龙江哈尔滨·八年级哈尔滨市第四十九中学校校考期中)已知:正方形 中, 是对 角线 所在直线上一点. (1)如图1,若 在对角线 上,连接 ,过点 作 交 于点 .求证: ; (2)如图2,在(1)的条件下,若 , ,求 的长; (3)如图3,若 在 的延长线上,连接 ,过点 作 交 延长线于点 ,连接 ,若 , 的面积是 ,求 的长. 【答案】(1)证明见解析;(2) ;(3) 【分析】(1)过点P分别作PE⊥AB于E,PF⊥BC于F,先证明四边形PEBF是正方形,得到 ∠EPQ+∠FPQ=90°,PE=PF,再证明△CPF≌QPE即可得到答案; (2)先求出 ,则 ,再求出BE=BF=4,则CF=BC-BF=AB- BF=2,由△CPF≌QPE可知CF=EQ=2,故BQ=BE-EQ=2; (3)过点P分别作PG⊥AB交BA延长线于G,PH⊥BE于H,同理可以证明四边形PGBH为正方形,的 PG=PH=BG=BH,同理可以证明△PGA≌△PHE,得到AG=EH,可以得到GA=CH=HE,则 GA=CH=HE=3,设AB=CD=a,则GP=PH=a+3,根据 ,求解即可. 【详解】解:(1)如图所示,过点P分别作PE⊥AB于E,PF⊥BC于F, ∴∠PEQ=∠PFB=∠PFC=90°, ∵四边形ABCD是正方形, ∴∠EBP=∠FBP=45°,∠ABC=90°,∴四边形PEBF是矩形,△PEB和△PFB都是等腰直角三角形, ∴PE=PF,∠EPF=90°, ∴四边形PEBF是正方形 ∴∠EPQ+∠FPQ=90°, 又∵PQ⊥PC, ∴∠CPF+∠FPQ=∠CPQ=90°, ∴∠CPF=∠EPQ ∴△CPF≌QPE(ASA) ∴PQ=PC; (2)∵四边形ABCD是正方形,AB=6, ∴∠A=90°,AB=AD=6, ∴ , ∴ , ∵PE=BE,∠PEB=90°, ∴ 即 , ∴BE=BF=4, ∴CF=BC-BF=AB-BF=2 由△CPF≌QPE可知CF=EQ=2, ∴BQ=BE-EQ=2;(3)如图所示,过点P分别作PG⊥AB交BA延长线于G,PH⊥BE于H, 同理可以证明四边形PGBH为正方形, ∴PG=PH=BG=BH, 同理可以证明△PGA≌△PHE, ∴AG=EH, ∵BG=BA+AG,BH=BC+CH,AB=BC, ∴GA=CH=HE, ∵CE=6, ∴GA=CH=HE=3, 设AB=CD=a,则GP=PH=a+3, ∵ , ∴ , ∴ , 解得a=4, ∴PH=7, ∴ .【点睛】本题主要考查了正方形的性质与判定,勾股定理,全等三角形的性质与判定,解题的关键在于能 够熟练掌握相关知识进行求解. 59.(2022春·广东广州·八年级广州大学附属中学校考期中)如图1,在正方形ABCD和正方形BEFG中, 点A,B,E在同一条直线上,P是线段DF的中点,连接PG,PC. (1)探究PG与PC的位置关系及 的值;(写出结论,不需要证明) (2)如图2,将原问题中的正方形ABCD和正方形BEFC换成菱形ABCD和菱形BEFG,且∠ABC= ∠BEF=60°,探究PG与PC的位置关系及 的值.写出你的猜想并加以证明; (3)如图3,将图2中的菱形BEFG绕点B顺时针旋转.使菱形BEFG的边BG恰好与菱形ABCD的边AB 在同一条直线上,问题(2)中的其他条件不变,你在(2)中得到的两个结论是否发生变化?写出你的猜 想并加以证明. 【答案】(1)PG⊥PC; =1;(2)PG⊥PC; ,证明见解析(3)仍成立,证明见解析 【分析】(1)可通过构建全等三角形求解.延长GP交DC于H,可证三角形DHP和PGF全等,已知的有DC GF,根据平行线间的内错角相等可得出两三角形中两组对应的角相等,又有DP=PF,因此构成 了全等三角形判定条件中的(AAS),于是两三角形全等,那么HP=PG,DH=GF=BG,那么可得出CH =CG,于是三角形CHG就是等腰三角形且CP是底边上的中线,根据等腰三角形三线合一的特点,即可 得出CP=PG=PH,CP⊥PG; (2)方法同(1),证三角形CHG是个等腰三角形,且顶角为120°,可根据30°的直角三角形来得出 PG、CP的比例关系; (3)经过(1)(2)的解题过程,我们要构建出以CP为底边中线的等腰三角形,那么可延长GP到H, 使PH=PG,连接CH、DH,那么根据前两问的解题过程,我们要求的是三角形CHG是个等腰三角形,关 键是证三角形CDH和CBG全等,已知的只有CD=CB,我们可通过其他的全等三角形来得出三角形CDH 和CBG全等的条件.三角形DHP和FGP中,有一组对顶角,DP=PF,HP=PG,那么这两个三角形就全 等,可得出DH=GF=BG,∠HDP=∠GFP,根据平行线间的内错角相等可得出∠CDP=∠EFD,那么 ∠CDH=∠EFG=∠CBG,由此可得出三角形CDH和CBG全等,然后证法同(2). 【详解】解:(1)线段PG与PC的位置关系是PG⊥PC; =1;证明如下: 如图1,延长GP交DC于H, ∵DC GF, ∴∠HDP=∠GFP,∠DHP=∠FGP 又P是线段DF的中点, ∴DP=PF, ∴△DHP≌△PGF, ∴HP=PG,DH=GF, ∵四边形ABCD和四边形BEFG都是正方形, ∴CD=CB,GF=BG, ∴CH=CD-DH=BC-BG=BC-FG=BC-DH=CG, 即CH=CG,∴三角形CHG就是等腰三角形且CP是底边上的中线, ∴CP=PG=PH,CP⊥PG; ∴线段PG与PC的位置关系是PG⊥PC; =1; (2)猜想:线段PG与PC的位置关系是PG⊥PC; . 证明:如图2,延长GP交DC于点H, ∵P是线段DF的中点, ∴FP=DP, 由题意可知DC GF, ∴∠GFP=∠HDP, ∵∠GPF=∠HPD, ∴△GFP≌△HDP, ∴GP=HP,GF=HD, ∵四边形ABCD是菱形, ∴CD=CB, ∴CG=CH, ∴△CHG是等腰三角形, ∴PG⊥PC,(三线合一) 又∵∠ABC=∠BEF=60°, ∴∠GCP=60°, 又∵∠CPG=90°, ∴2CP=CG,PG= PG, ∴ ; (3)在(2)中得到的两个结论仍成立. 证明:如图3,延长GP到H,使PH=PG,连接CH,CG,DH, ∵P是线段DF的中点, ∴FP=DP, ∵∠GPF=∠HPD, ∴△GFP≌△HDP, ∴GF=HD,∠GFP=∠HDP, ∵∠GFP+∠PFE=120°,∠PFE=∠PDC, ∴∠CDH=∠HDP+∠PDC=120°, ∵四边形ABCD是菱形, ∴CD=CB,∠ADC=∠ABC=60°,点A、B、G又在一条直线上, ∴∠GBC=120°, ∵四边形BEFG是菱形, ∴GF=GB, ∴HD=GB, ∴△HDC≌△GBC, ∴CH=CG,∠DCH=∠BCG, ∴∠DCH+∠HCB=∠BCG+∠HCB=120°, 即∠HCG=120°, ∵CH=CG,PH=PG, ∴PG⊥PC,∠GCP=∠HCP=60°, ∴ .即PG= PC. 【点睛】本题主要考查了正方形,菱形的性质,以及全等三角形的判定等知识点,根据已知和所求的条件 正确的构建出相关的全等三角形是解题的关键. 60.(2021春·北京·八年级期中)如图,在四边形 中, , , ,, ,点 从点 出发,以 的速度向点 运动;点 从点 同时出发,以 的速度向点 运动.规定其中一个动点到达端点时,另一个动点也随之停止运动.设点 , 运动的时间 为ts. (1) 边的长度为________ , 的取值范围为________. (2)从运动开始,当 ________时, . (3)在整个运动过程中是否存在 值,使得四边形 是菱形.若存在,请求出 值;若不存在,请说 明理由. 【答案】(1) , ;(2) 或 ;(3)不存在,见解析. 【分析】(1)过点 作 于 ,再利用勾股定理,即可得出结论,用点 , 的运动速度,即可 求出t的范围; (2)构造出直角三角形,表示出 ,利用勾股定理建立方程求解,即可得出结论; (3)先利用 求出时间 ,再求出 ,进而得出 ,判断,即可得出结论. 【详解】解:(1)如图1,过点 作 于 , , , , , , 四边形 是平行四边形, , ,, 根据勾股定理得, , 点 在 上运动, , 点 在 上运动, , , 故答案为 , ; (2)如图2, 过点 作 于 ,则四边形 是矩形, , , , , , 根据勾股定理得, , 或 , 故答案为 或 ; (3) 不存在,理由: 得四边形 是菱形, , ,, 此时, , 而 , 四边形 不可能是菱形. 【点睛】此题是四边形综合题,主要考查了矩形、菱形的判定和性质,勾股定理,构造出直角三角形是解 本题的关键.