当前位置:首页>文档>考点27函数y=Asin(ωx+φ)(3种核心题型+基础保分练+综合提升练+拓展冲刺练)解析版_2.2025数学总复习_2025年新高考资料_一轮复习_2025年高考数学一轮复习核心题型讲与练(完结)

考点27函数y=Asin(ωx+φ)(3种核心题型+基础保分练+综合提升练+拓展冲刺练)解析版_2.2025数学总复习_2025年新高考资料_一轮复习_2025年高考数学一轮复习核心题型讲与练(完结)

  • 2026-03-29 14:56:45 2026-03-27 12:02:16

文档预览

考点27函数y=Asin(ωx+φ)(3种核心题型+基础保分练+综合提升练+拓展冲刺练)解析版_2.2025数学总复习_2025年新高考资料_一轮复习_2025年高考数学一轮复习核心题型讲与练(完结)
考点27函数y=Asin(ωx+φ)(3种核心题型+基础保分练+综合提升练+拓展冲刺练)解析版_2.2025数学总复习_2025年新高考资料_一轮复习_2025年高考数学一轮复习核心题型讲与练(完结)
考点27函数y=Asin(ωx+φ)(3种核心题型+基础保分练+综合提升练+拓展冲刺练)解析版_2.2025数学总复习_2025年新高考资料_一轮复习_2025年高考数学一轮复习核心题型讲与练(完结)
考点27函数y=Asin(ωx+φ)(3种核心题型+基础保分练+综合提升练+拓展冲刺练)解析版_2.2025数学总复习_2025年新高考资料_一轮复习_2025年高考数学一轮复习核心题型讲与练(完结)
考点27函数y=Asin(ωx+φ)(3种核心题型+基础保分练+综合提升练+拓展冲刺练)解析版_2.2025数学总复习_2025年新高考资料_一轮复习_2025年高考数学一轮复习核心题型讲与练(完结)
考点27函数y=Asin(ωx+φ)(3种核心题型+基础保分练+综合提升练+拓展冲刺练)解析版_2.2025数学总复习_2025年新高考资料_一轮复习_2025年高考数学一轮复习核心题型讲与练(完结)
考点27函数y=Asin(ωx+φ)(3种核心题型+基础保分练+综合提升练+拓展冲刺练)解析版_2.2025数学总复习_2025年新高考资料_一轮复习_2025年高考数学一轮复习核心题型讲与练(完结)
考点27函数y=Asin(ωx+φ)(3种核心题型+基础保分练+综合提升练+拓展冲刺练)解析版_2.2025数学总复习_2025年新高考资料_一轮复习_2025年高考数学一轮复习核心题型讲与练(完结)
考点27函数y=Asin(ωx+φ)(3种核心题型+基础保分练+综合提升练+拓展冲刺练)解析版_2.2025数学总复习_2025年新高考资料_一轮复习_2025年高考数学一轮复习核心题型讲与练(完结)
考点27函数y=Asin(ωx+φ)(3种核心题型+基础保分练+综合提升练+拓展冲刺练)解析版_2.2025数学总复习_2025年新高考资料_一轮复习_2025年高考数学一轮复习核心题型讲与练(完结)
考点27函数y=Asin(ωx+φ)(3种核心题型+基础保分练+综合提升练+拓展冲刺练)解析版_2.2025数学总复习_2025年新高考资料_一轮复习_2025年高考数学一轮复习核心题型讲与练(完结)
考点27函数y=Asin(ωx+φ)(3种核心题型+基础保分练+综合提升练+拓展冲刺练)解析版_2.2025数学总复习_2025年新高考资料_一轮复习_2025年高考数学一轮复习核心题型讲与练(完结)
考点27函数y=Asin(ωx+φ)(3种核心题型+基础保分练+综合提升练+拓展冲刺练)解析版_2.2025数学总复习_2025年新高考资料_一轮复习_2025年高考数学一轮复习核心题型讲与练(完结)
考点27函数y=Asin(ωx+φ)(3种核心题型+基础保分练+综合提升练+拓展冲刺练)解析版_2.2025数学总复习_2025年新高考资料_一轮复习_2025年高考数学一轮复习核心题型讲与练(完结)
考点27函数y=Asin(ωx+φ)(3种核心题型+基础保分练+综合提升练+拓展冲刺练)解析版_2.2025数学总复习_2025年新高考资料_一轮复习_2025年高考数学一轮复习核心题型讲与练(完结)
考点27函数y=Asin(ωx+φ)(3种核心题型+基础保分练+综合提升练+拓展冲刺练)解析版_2.2025数学总复习_2025年新高考资料_一轮复习_2025年高考数学一轮复习核心题型讲与练(完结)
考点27函数y=Asin(ωx+φ)(3种核心题型+基础保分练+综合提升练+拓展冲刺练)解析版_2.2025数学总复习_2025年新高考资料_一轮复习_2025年高考数学一轮复习核心题型讲与练(完结)
考点27函数y=Asin(ωx+φ)(3种核心题型+基础保分练+综合提升练+拓展冲刺练)解析版_2.2025数学总复习_2025年新高考资料_一轮复习_2025年高考数学一轮复习核心题型讲与练(完结)
考点27函数y=Asin(ωx+φ)(3种核心题型+基础保分练+综合提升练+拓展冲刺练)解析版_2.2025数学总复习_2025年新高考资料_一轮复习_2025年高考数学一轮复习核心题型讲与练(完结)
考点27函数y=Asin(ωx+φ)(3种核心题型+基础保分练+综合提升练+拓展冲刺练)解析版_2.2025数学总复习_2025年新高考资料_一轮复习_2025年高考数学一轮复习核心题型讲与练(完结)
考点27函数y=Asin(ωx+φ)(3种核心题型+基础保分练+综合提升练+拓展冲刺练)解析版_2.2025数学总复习_2025年新高考资料_一轮复习_2025年高考数学一轮复习核心题型讲与练(完结)
考点27函数y=Asin(ωx+φ)(3种核心题型+基础保分练+综合提升练+拓展冲刺练)解析版_2.2025数学总复习_2025年新高考资料_一轮复习_2025年高考数学一轮复习核心题型讲与练(完结)
考点27函数y=Asin(ωx+φ)(3种核心题型+基础保分练+综合提升练+拓展冲刺练)解析版_2.2025数学总复习_2025年新高考资料_一轮复习_2025年高考数学一轮复习核心题型讲与练(完结)
考点27函数y=Asin(ωx+φ)(3种核心题型+基础保分练+综合提升练+拓展冲刺练)解析版_2.2025数学总复习_2025年新高考资料_一轮复习_2025年高考数学一轮复习核心题型讲与练(完结)
考点27函数y=Asin(ωx+φ)(3种核心题型+基础保分练+综合提升练+拓展冲刺练)解析版_2.2025数学总复习_2025年新高考资料_一轮复习_2025年高考数学一轮复习核心题型讲与练(完结)
考点27函数y=Asin(ωx+φ)(3种核心题型+基础保分练+综合提升练+拓展冲刺练)解析版_2.2025数学总复习_2025年新高考资料_一轮复习_2025年高考数学一轮复习核心题型讲与练(完结)
考点27函数y=Asin(ωx+φ)(3种核心题型+基础保分练+综合提升练+拓展冲刺练)解析版_2.2025数学总复习_2025年新高考资料_一轮复习_2025年高考数学一轮复习核心题型讲与练(完结)
考点27函数y=Asin(ωx+φ)(3种核心题型+基础保分练+综合提升练+拓展冲刺练)解析版_2.2025数学总复习_2025年新高考资料_一轮复习_2025年高考数学一轮复习核心题型讲与练(完结)
考点27函数y=Asin(ωx+φ)(3种核心题型+基础保分练+综合提升练+拓展冲刺练)解析版_2.2025数学总复习_2025年新高考资料_一轮复习_2025年高考数学一轮复习核心题型讲与练(完结)
考点27函数y=Asin(ωx+φ)(3种核心题型+基础保分练+综合提升练+拓展冲刺练)解析版_2.2025数学总复习_2025年新高考资料_一轮复习_2025年高考数学一轮复习核心题型讲与练(完结)
考点27函数y=Asin(ωx+φ)(3种核心题型+基础保分练+综合提升练+拓展冲刺练)解析版_2.2025数学总复习_2025年新高考资料_一轮复习_2025年高考数学一轮复习核心题型讲与练(完结)
考点27函数y=Asin(ωx+φ)(3种核心题型+基础保分练+综合提升练+拓展冲刺练)解析版_2.2025数学总复习_2025年新高考资料_一轮复习_2025年高考数学一轮复习核心题型讲与练(完结)
考点27函数y=Asin(ωx+φ)(3种核心题型+基础保分练+综合提升练+拓展冲刺练)解析版_2.2025数学总复习_2025年新高考资料_一轮复习_2025年高考数学一轮复习核心题型讲与练(完结)
考点27函数y=Asin(ωx+φ)(3种核心题型+基础保分练+综合提升练+拓展冲刺练)解析版_2.2025数学总复习_2025年新高考资料_一轮复习_2025年高考数学一轮复习核心题型讲与练(完结)
考点27函数y=Asin(ωx+φ)(3种核心题型+基础保分练+综合提升练+拓展冲刺练)解析版_2.2025数学总复习_2025年新高考资料_一轮复习_2025年高考数学一轮复习核心题型讲与练(完结)
考点27函数y=Asin(ωx+φ)(3种核心题型+基础保分练+综合提升练+拓展冲刺练)解析版_2.2025数学总复习_2025年新高考资料_一轮复习_2025年高考数学一轮复习核心题型讲与练(完结)
考点27函数y=Asin(ωx+φ)(3种核心题型+基础保分练+综合提升练+拓展冲刺练)解析版_2.2025数学总复习_2025年新高考资料_一轮复习_2025年高考数学一轮复习核心题型讲与练(完结)
考点27函数y=Asin(ωx+φ)(3种核心题型+基础保分练+综合提升练+拓展冲刺练)解析版_2.2025数学总复习_2025年新高考资料_一轮复习_2025年高考数学一轮复习核心题型讲与练(完结)
考点27函数y=Asin(ωx+φ)(3种核心题型+基础保分练+综合提升练+拓展冲刺练)解析版_2.2025数学总复习_2025年新高考资料_一轮复习_2025年高考数学一轮复习核心题型讲与练(完结)
考点27函数y=Asin(ωx+φ)(3种核心题型+基础保分练+综合提升练+拓展冲刺练)解析版_2.2025数学总复习_2025年新高考资料_一轮复习_2025年高考数学一轮复习核心题型讲与练(完结)
考点27函数y=Asin(ωx+φ)(3种核心题型+基础保分练+综合提升练+拓展冲刺练)解析版_2.2025数学总复习_2025年新高考资料_一轮复习_2025年高考数学一轮复习核心题型讲与练(完结)
考点27函数y=Asin(ωx+φ)(3种核心题型+基础保分练+综合提升练+拓展冲刺练)解析版_2.2025数学总复习_2025年新高考资料_一轮复习_2025年高考数学一轮复习核心题型讲与练(完结)
考点27函数y=Asin(ωx+φ)(3种核心题型+基础保分练+综合提升练+拓展冲刺练)解析版_2.2025数学总复习_2025年新高考资料_一轮复习_2025年高考数学一轮复习核心题型讲与练(完结)
考点27函数y=Asin(ωx+φ)(3种核心题型+基础保分练+综合提升练+拓展冲刺练)解析版_2.2025数学总复习_2025年新高考资料_一轮复习_2025年高考数学一轮复习核心题型讲与练(完结)
考点27函数y=Asin(ωx+φ)(3种核心题型+基础保分练+综合提升练+拓展冲刺练)解析版_2.2025数学总复习_2025年新高考资料_一轮复习_2025年高考数学一轮复习核心题型讲与练(完结)
考点27函数y=Asin(ωx+φ)(3种核心题型+基础保分练+综合提升练+拓展冲刺练)解析版_2.2025数学总复习_2025年新高考资料_一轮复习_2025年高考数学一轮复习核心题型讲与练(完结)
考点27函数y=Asin(ωx+φ)(3种核心题型+基础保分练+综合提升练+拓展冲刺练)解析版_2.2025数学总复习_2025年新高考资料_一轮复习_2025年高考数学一轮复习核心题型讲与练(完结)
考点27函数y=Asin(ωx+φ)(3种核心题型+基础保分练+综合提升练+拓展冲刺练)解析版_2.2025数学总复习_2025年新高考资料_一轮复习_2025年高考数学一轮复习核心题型讲与练(完结)
考点27函数y=Asin(ωx+φ)(3种核心题型+基础保分练+综合提升练+拓展冲刺练)解析版_2.2025数学总复习_2025年新高考资料_一轮复习_2025年高考数学一轮复习核心题型讲与练(完结)
考点27函数y=Asin(ωx+φ)(3种核心题型+基础保分练+综合提升练+拓展冲刺练)解析版_2.2025数学总复习_2025年新高考资料_一轮复习_2025年高考数学一轮复习核心题型讲与练(完结)
考点27函数y=Asin(ωx+φ)(3种核心题型+基础保分练+综合提升练+拓展冲刺练)解析版_2.2025数学总复习_2025年新高考资料_一轮复习_2025年高考数学一轮复习核心题型讲与练(完结)
考点27函数y=Asin(ωx+φ)(3种核心题型+基础保分练+综合提升练+拓展冲刺练)解析版_2.2025数学总复习_2025年新高考资料_一轮复习_2025年高考数学一轮复习核心题型讲与练(完结)
考点27函数y=Asin(ωx+φ)(3种核心题型+基础保分练+综合提升练+拓展冲刺练)解析版_2.2025数学总复习_2025年新高考资料_一轮复习_2025年高考数学一轮复习核心题型讲与练(完结)
考点27函数y=Asin(ωx+φ)(3种核心题型+基础保分练+综合提升练+拓展冲刺练)解析版_2.2025数学总复习_2025年新高考资料_一轮复习_2025年高考数学一轮复习核心题型讲与练(完结)
考点27函数y=Asin(ωx+φ)(3种核心题型+基础保分练+综合提升练+拓展冲刺练)解析版_2.2025数学总复习_2025年新高考资料_一轮复习_2025年高考数学一轮复习核心题型讲与练(完结)
考点27函数y=Asin(ωx+φ)(3种核心题型+基础保分练+综合提升练+拓展冲刺练)解析版_2.2025数学总复习_2025年新高考资料_一轮复习_2025年高考数学一轮复习核心题型讲与练(完结)
考点27函数y=Asin(ωx+φ)(3种核心题型+基础保分练+综合提升练+拓展冲刺练)解析版_2.2025数学总复习_2025年新高考资料_一轮复习_2025年高考数学一轮复习核心题型讲与练(完结)
考点27函数y=Asin(ωx+φ)(3种核心题型+基础保分练+综合提升练+拓展冲刺练)解析版_2.2025数学总复习_2025年新高考资料_一轮复习_2025年高考数学一轮复习核心题型讲与练(完结)
考点27函数y=Asin(ωx+φ)(3种核心题型+基础保分练+综合提升练+拓展冲刺练)解析版_2.2025数学总复习_2025年新高考资料_一轮复习_2025年高考数学一轮复习核心题型讲与练(完结)
考点27函数y=Asin(ωx+φ)(3种核心题型+基础保分练+综合提升练+拓展冲刺练)解析版_2.2025数学总复习_2025年新高考资料_一轮复习_2025年高考数学一轮复习核心题型讲与练(完结)
考点27函数y=Asin(ωx+φ)(3种核心题型+基础保分练+综合提升练+拓展冲刺练)解析版_2.2025数学总复习_2025年新高考资料_一轮复习_2025年高考数学一轮复习核心题型讲与练(完结)
考点27函数y=Asin(ωx+φ)(3种核心题型+基础保分练+综合提升练+拓展冲刺练)解析版_2.2025数学总复习_2025年新高考资料_一轮复习_2025年高考数学一轮复习核心题型讲与练(完结)
考点27函数y=Asin(ωx+φ)(3种核心题型+基础保分练+综合提升练+拓展冲刺练)解析版_2.2025数学总复习_2025年新高考资料_一轮复习_2025年高考数学一轮复习核心题型讲与练(完结)
考点27函数y=Asin(ωx+φ)(3种核心题型+基础保分练+综合提升练+拓展冲刺练)解析版_2.2025数学总复习_2025年新高考资料_一轮复习_2025年高考数学一轮复习核心题型讲与练(完结)
考点27函数y=Asin(ωx+φ)(3种核心题型+基础保分练+综合提升练+拓展冲刺练)解析版_2.2025数学总复习_2025年新高考资料_一轮复习_2025年高考数学一轮复习核心题型讲与练(完结)
考点27函数y=Asin(ωx+φ)(3种核心题型+基础保分练+综合提升练+拓展冲刺练)解析版_2.2025数学总复习_2025年新高考资料_一轮复习_2025年高考数学一轮复习核心题型讲与练(完结)
考点27函数y=Asin(ωx+φ)(3种核心题型+基础保分练+综合提升练+拓展冲刺练)解析版_2.2025数学总复习_2025年新高考资料_一轮复习_2025年高考数学一轮复习核心题型讲与练(完结)
考点27函数y=Asin(ωx+φ)(3种核心题型+基础保分练+综合提升练+拓展冲刺练)解析版_2.2025数学总复习_2025年新高考资料_一轮复习_2025年高考数学一轮复习核心题型讲与练(完结)
考点27函数y=Asin(ωx+φ)(3种核心题型+基础保分练+综合提升练+拓展冲刺练)解析版_2.2025数学总复习_2025年新高考资料_一轮复习_2025年高考数学一轮复习核心题型讲与练(完结)
考点27函数y=Asin(ωx+φ)(3种核心题型+基础保分练+综合提升练+拓展冲刺练)解析版_2.2025数学总复习_2025年新高考资料_一轮复习_2025年高考数学一轮复习核心题型讲与练(完结)
考点27函数y=Asin(ωx+φ)(3种核心题型+基础保分练+综合提升练+拓展冲刺练)解析版_2.2025数学总复习_2025年新高考资料_一轮复习_2025年高考数学一轮复习核心题型讲与练(完结)
考点27函数y=Asin(ωx+φ)(3种核心题型+基础保分练+综合提升练+拓展冲刺练)解析版_2.2025数学总复习_2025年新高考资料_一轮复习_2025年高考数学一轮复习核心题型讲与练(完结)
考点27函数y=Asin(ωx+φ)(3种核心题型+基础保分练+综合提升练+拓展冲刺练)解析版_2.2025数学总复习_2025年新高考资料_一轮复习_2025年高考数学一轮复习核心题型讲与练(完结)
考点27函数y=Asin(ωx+φ)(3种核心题型+基础保分练+综合提升练+拓展冲刺练)解析版_2.2025数学总复习_2025年新高考资料_一轮复习_2025年高考数学一轮复习核心题型讲与练(完结)
考点27函数y=Asin(ωx+φ)(3种核心题型+基础保分练+综合提升练+拓展冲刺练)解析版_2.2025数学总复习_2025年新高考资料_一轮复习_2025年高考数学一轮复习核心题型讲与练(完结)
考点27函数y=Asin(ωx+φ)(3种核心题型+基础保分练+综合提升练+拓展冲刺练)解析版_2.2025数学总复习_2025年新高考资料_一轮复习_2025年高考数学一轮复习核心题型讲与练(完结)
考点27函数y=Asin(ωx+φ)(3种核心题型+基础保分练+综合提升练+拓展冲刺练)解析版_2.2025数学总复习_2025年新高考资料_一轮复习_2025年高考数学一轮复习核心题型讲与练(完结)
考点27函数y=Asin(ωx+φ)(3种核心题型+基础保分练+综合提升练+拓展冲刺练)解析版_2.2025数学总复习_2025年新高考资料_一轮复习_2025年高考数学一轮复习核心题型讲与练(完结)
考点27函数y=Asin(ωx+φ)(3种核心题型+基础保分练+综合提升练+拓展冲刺练)解析版_2.2025数学总复习_2025年新高考资料_一轮复习_2025年高考数学一轮复习核心题型讲与练(完结)
考点27函数y=Asin(ωx+φ)(3种核心题型+基础保分练+综合提升练+拓展冲刺练)解析版_2.2025数学总复习_2025年新高考资料_一轮复习_2025年高考数学一轮复习核心题型讲与练(完结)
考点27函数y=Asin(ωx+φ)(3种核心题型+基础保分练+综合提升练+拓展冲刺练)解析版_2.2025数学总复习_2025年新高考资料_一轮复习_2025年高考数学一轮复习核心题型讲与练(完结)
考点27函数y=Asin(ωx+φ)(3种核心题型+基础保分练+综合提升练+拓展冲刺练)解析版_2.2025数学总复习_2025年新高考资料_一轮复习_2025年高考数学一轮复习核心题型讲与练(完结)
考点27函数y=Asin(ωx+φ)(3种核心题型+基础保分练+综合提升练+拓展冲刺练)解析版_2.2025数学总复习_2025年新高考资料_一轮复习_2025年高考数学一轮复习核心题型讲与练(完结)

文档信息

文档格式
docx
文档大小
4.074 MB
文档页数
79 页
上传时间
2026-03-27 12:02:16

文档内容

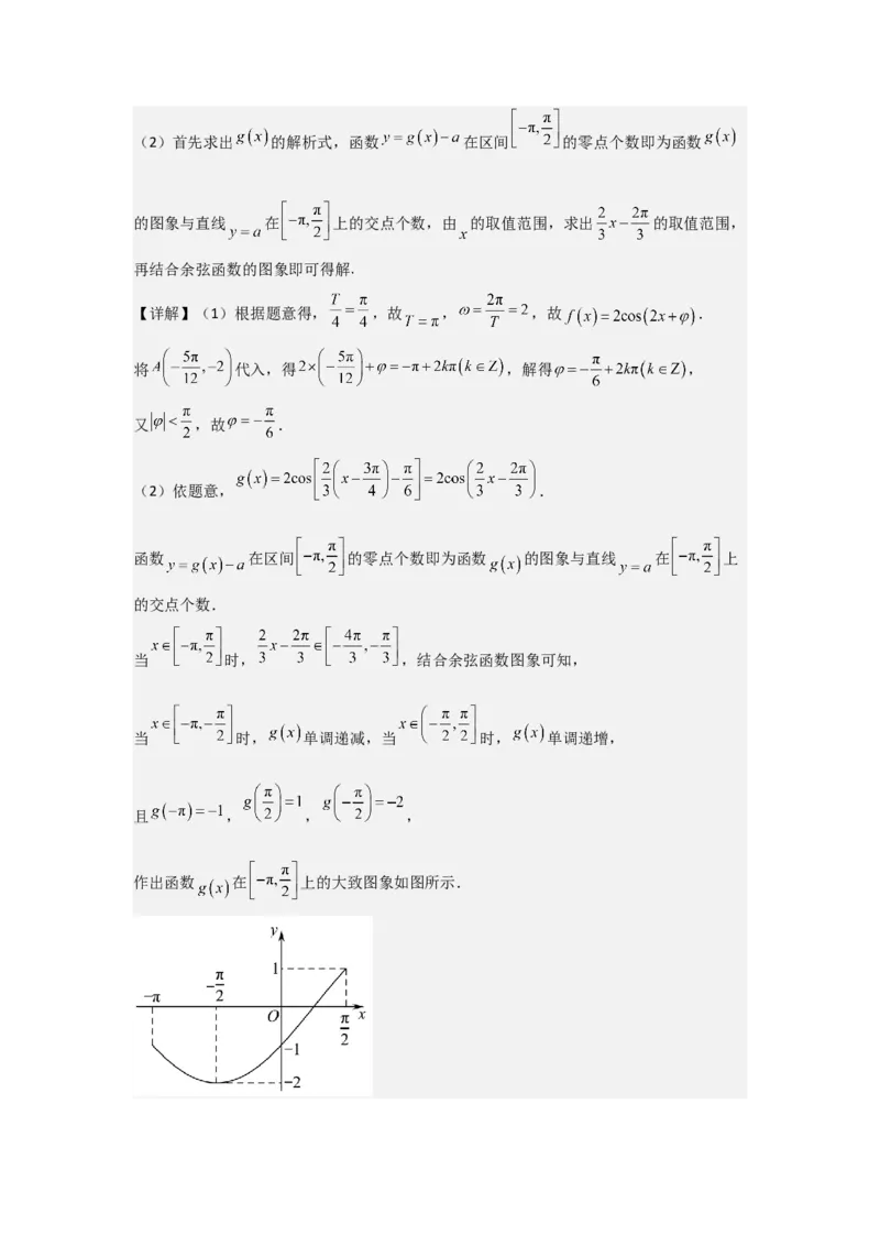
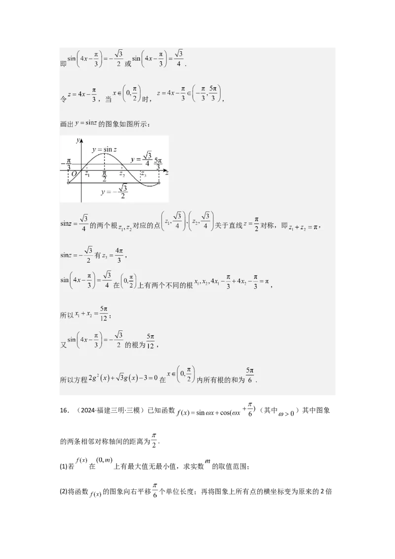
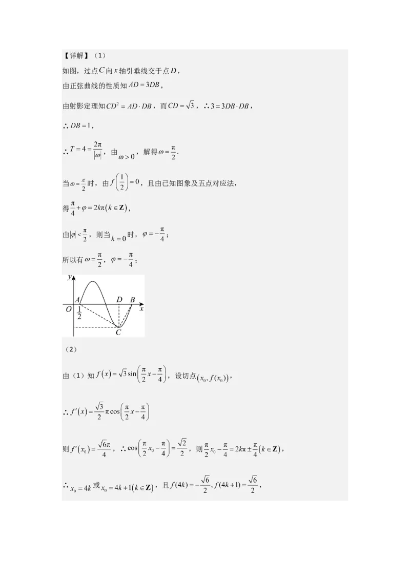
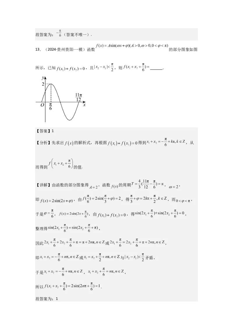
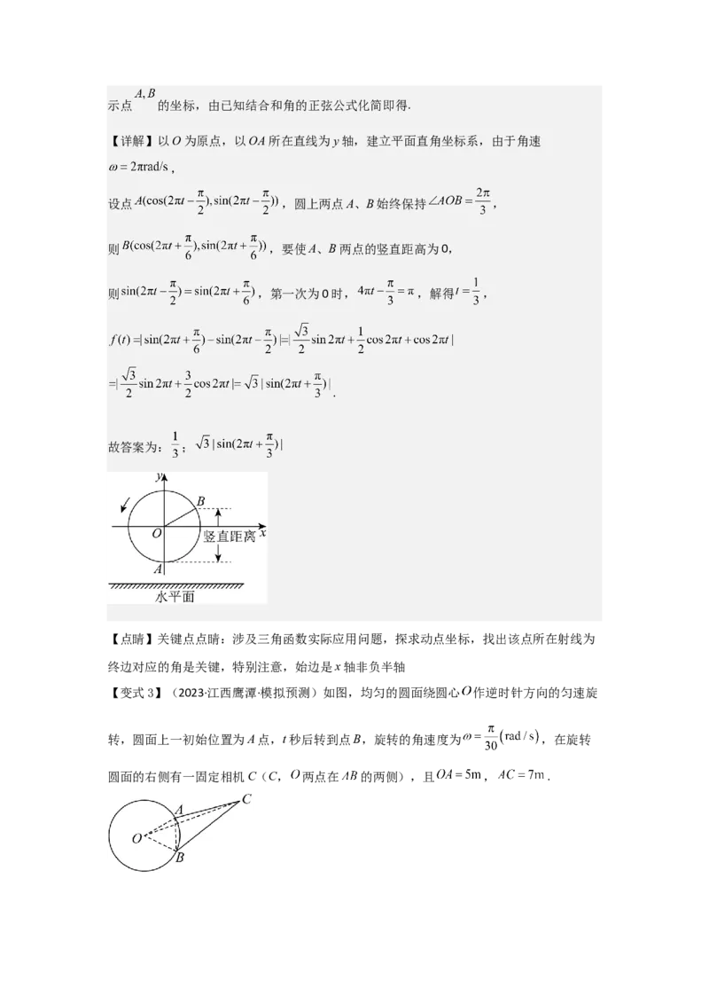
考点 27 函数y=Asin(ωx+φ)(3 种核心题型+基础保分练 +综合提升练+拓展冲刺练) 【考试提醒】 1.结合具体实例,了解y=Asin(ωx+φ)的实际意义;能借助图象理解参数ω,φ,A的意义, 了解参数的变化对函数图象的影响. 2.会用三角函数解决简单的实际问题,体会可以利用三角函数构建刻画事物周期变化的数 学模型. 【知识点】 1.简谐运动的有关概念 已知函数y=Asin(ωx+φ)(A>0,ω>0),x≥0 振幅 周期 频率 相位 初相 A T= f== ωx+φ φ 2.用“五点法”画y=Asin(ωx+φ)(A>0,ω>0)一个周期内的简图时,要找五个特征点 ωx+φ 0 π 2π x y=Asin(ωx+φ) 0 A 0 -A 0 3.函数y=sin x的图象经变换得到y=Asin(ωx+φ)(A>0,ω>0)的图象的两种途径常用结论 1.函数y=Asin(ωx+φ)+k图象平移的规律:“左加右减,上加下减”. 2.函数y=Asin(ωx+φ)图象的对称轴由ωx+φ=kπ+,k∈Z确定;对称中心由ωx+φ= kπ,k∈Z确定其横坐标. 【核心题型】 题型一 函数y=Asin(ωx+φ)的图象及变换 (1)由y=sin ωx的图象到y=sin(ωx+φ)的图象的变换:向左平移(ω>0,φ>0)个单位长度而 非φ个单位长度. (2)如果平移前后两个图象对应的函数的名称不一致,那么应先利用诱导公式化为同名函数, ω为负时应先变成正值 【例题1】(2024·四川·模拟预测)已知函数 的最小正周期为 , 给出下列三个结论: ① ;②函数 在 上单调递减; ③将 的图象向左平移 个单位可得到 的图象. 其中所有正确结论的序号是( ) A.①② B.①③ C.②③ D.①②③ 【答案】D 【分析】由函数的最小正周期求出 ,即可求出函数解析式,再根据正弦函数的性质一一 判断即可. 【详解】因为函数 的最小正周期为 且 ,所以 ,解得 , 所以 ; 则 ,故①正确; 当 时, ,因为 在 上单调递减, 所以函数 在 上单调递减,故②正确;将 的图象向左平移 个单位得到 , 因为 ,所以结论③正确. 故选:D 【变式1】(2024·北京通州·二模)已知的数 ( ),若 的最 小正周期为 , 的图象向左平移 个单位长度后,再把图象上各点的横坐标变为原来 的2倍(纵坐标不变)得到函数 的图象,则 ;若 在区间 上有3个零点,则 的一个取值为 . 【答案】 或 6(答案不唯一) 【分析】由 的最小正周期为 ,可求出 ,再根据三角函数的平移 和伸缩变化可求出 ;根据 ,求出 ,结合题意可 得 ,解不等式即可得出答案. 【详解】因为 的最小正周期为 ,所以 ,解得: , 所以 , 的图象向左平移 个单位长度后, 可得: , 再把图象上各点的横坐标变为原来的2倍(纵坐标不变)得到函数 的图象,所以 ; 因为 , , 在区间 上有3个零点, 所以 ,解得: , 则 的一个取值可以为6. 故答案为: 或 ;6(答案不唯一). 【变式2】(2024·山东·模拟预测)在 中,角 , , 所对的边分别为 , , , 函数 , 图象的相邻两对称轴间的距离为 ,且 ,将 的图象向右平移 个单位得到 的图象且 , 的内切圆的周长为 .则 的面积的最小值为 . 【答案】 【分析】根据题意求出 的解析式,由平移规律得到 的解析式,由 得 到 ,由面积公式和余弦定理 ,借助基本不等式即可求出 的 取值,进而得到面积最小值. 【详解】因为函数 图象的相邻两对称轴间的距离为 , 所以 ,可得 , 所以 , 故 ,即 ,所以 或 , 所以 或 , 因为 , 所以 ,即 , 因为将 的图象向右平移 个单位得到 的图象, 所以 . 由 ,得 , 所以 ,即 , 且 ,所以 . 因为 的内切圆的周长为 , 所以 的内切圆的半径为1, 所以 ,所以 ,即 , 在 中,由余弦定理得: , 所以 , 所以 , 所以 ,即 , 当且仅当 时取等号,所以 的面积的最小值为 . 故答案为: 【点睛】易错点睛:利用基本不等式求最值时,要注意其必须满足的三个条件: (1)“一正二定三相等”“一正”就是各项必须为正数;(2)“二定”就是要求和的最小值,必须把构成和的二项之积转化成定值;要求积的最大 值,则必须把构成积的因式的和转化成定值; (3)“三相等”是利用基本不等式求最值时,必须验证等号成立的条件,若不能取等号则 这个定值就不是所求的最值,这也是最容易发生错误的地方. 【变式3】(2024·全国·模拟预测)将函数 图象上所有点的横坐标伸 长至原来的2倍(纵坐标不变),再向左平移 个单位长度,得到函数 的图象. (1)求函数 在区间 内的所有零点之和; (2)若 ,讨论函数 的单调性. 【答案】(1) (2) 在 上单调递增,在 上单调递减 【分析】(1)利用三角恒等变换及平移公式化简可得函数 ,利用正弦函数的图 象及性质可得求得 的零点,进而求得结果. (2)由(1)可得, , ,结果三角函数性 质计算即可求得结果. 【详解】(1)由题可得, , 所以函数 . 根据正弦函数的图象及性质可得, 的零点为 , 所以函数 在区间 内的所有零点之和为. (2)由(1)可得, ,所以 , 所以 . 令 ,得 , 所以 ,解得 , 所以函数 的单调递增区间为 ; 令 ,得 , 所以 ,解得 , 所以函数 的单调递减区间为 . 综上,函数 在 上单调递增,在 上 单调递减. 题型二 由图象确定y=Asin(ωx+φ)的解析式 确定y=Asin(ωx+φ)+b(A>0,ω>0)的步骤和方法 (1)求A,b.确定函数的最大值M和最小值m,则A=,b=. (2)求ω.确定函数的最小正周期T,则ω=. (3)求φ.常用方法如下:把图象上的一个已知点代入(此时要注意该点在上升区间上还是在下 降区间上)或把图象的最高点或最低点代入. 【例题2】(2024·陕西西安·模拟预测)已知函数 的部分图 象如图所示,将函数 的图象向左平移 个单位长度后得到函数 的图象,则在下 列区间上函数 单调递增的是( )A. B. C. D. 【答案】C 【分析】由 的图象,棱台三角函数的性质求得 ,进而得到 ,结合正弦型函数的性质,即可求解. 【详解】由函数 的图象,可得 ,解得 ,所以 , 所以 ,又由 ,即 , 可得 ,即 , 因为 ,所以 ,所以 , 所以 ,令 , 解得 , 所以函数 的单调增区间是 . 故选:C. 【变式1】(2024·海南·模拟预测)如图是某质点做简谐运动的部分图像,该质点的振幅为 2,位移 与时间 满足函数 ,点 在该函数的图象上,且位置如图所示,则 . 【答案】 【分析】由函数图象求出函数解析式,再确定 与 的比值. 【详解】由图象可知: , ( ),所以 , 由 ,又 ,所以 . 又 , . 所以 . 故答案为: 【变式2】(2024·湖北武汉·二模)函数 的部分图象如图所示, 则 . 【答案】【分析】令 ,解出 ,根据图中零点得到方程解出即可. 【详解】令 ,则 , 根据图象得 为函数零点,零点左右函数为上升趋势, 则 , 则 ,因为 ,则 , , 故答案为: 【变式3】(2023·河北·模拟预测)已知函数 的部分图象如图所示, 其中 ,且 . (1)求 与 的值; (2)若斜率为 的直线与曲线 相切,求切点坐标. 【答案】(1) , (2) 或 【分析】(1)在 中,由射影定理得 长,即 个周期,从而待定 ,再由 求解 即可; (2)设切点坐标,利用导数的几何意义表示出切线斜率,求解切点坐标.【详解】(1) 如图,过点 向 轴引垂线交于点 , 由正弦曲线的性质知 , 由射影定理知 ,而 ,∴ , ∴ , ∴ ,由 ,解得 . 当 时,由 ,且由已知图象及五点对应法, 得 , 由 ,则当 时, ; 所以有 , ; (2) 由(1)知 ,设切点 , ∴ 则 ,∴ ,则 , ∴ 或 ,且 ,∴故其切点坐标为 或 题型三 三角函数图象、性质的综合应用 (1)研究y=Asin(ωx+φ)的性质时可将ωx+φ视为一个整体,利用换元法和数形结合思想进 行解题. (2)方程根的个数可转化为两个函数图象的交点个数. (3)三角函数模型的应用体现在两方面:一是已知函数模型求解数学问题;二是把实际问题 抽象转化成数学问题,利用三角函数的有关知识解决问题. 命题点1 图象与性质的综合应用 【例题3】(2024·四川·模拟预测)已知函数 的最小正周 期为 ,且 的图象关于点 中心对称,给出下列三个结论: ① ; ②函数 在 上单调递减; ③将 的图象向左平移 个单位可得到 的图象. 其中所有正确结论的序号是( ) A.①② B.①③ C.②③ D.①②③ 【答案】D 【分析】由题意先求出 ,再由三角函数的性质对选项一一判断即可得 出答案. 【详解】因为函数 的周期为 ,所以 , 又图象对称中心为 ,即 , 则 ,有 ,由 ,所以 ,故 , 此时 ,结论①正确; 当 时, ,函数 单调递减,结论②正确; 将 的图象向左平移 个单位可得图象对应的函数为 , 因为 ,所以结论③正确. 故选:D. 【变式1】(23-24高三下·天津·阶段练习)已知函数 , 且 的最小正周期为 ,给出下列结论: ①函数 在区间 单调递减; ②函数 关于直线 对称; ③把函数 的图象上所有点向左平移 个单位长度,可得到函数 的图象. 其中所有正确结论的序号是( ) A.①② B.①③ C.②③ D.①②③ 【答案】A 【分析】先将函数 化简为最简形式,然后利用周期求出 的值,再利用正弦函数的性 质进行判断即可求解. 【详解】因为函数 , 又 的最小正周期为 且 ,所以 ,解得 ,所以 . 因为 ,所以 ,因为 在 上单调递减, 所以函数 在 上单调递减,故①正确; 令 ,解得 ,所以直线 是函数 的一条对称 轴,故②正确; 将函数 的图象上所有点向左平移 个单位长度可得到 ,故③错误, 所以正确的结论序号为:①②. 故选:A. 【变式2】(2024·青海西宁·模拟预测)将函数 的图象上所有点的横坐标伸长到 原来的3倍,纵坐标不变,得到函数 的图象,则 的最小正周期为 , . 【答案】 / 【分析】根据三角函数图象的伸缩变换可得 ,结合 和求出 即 可求解. 【详解】由题意知, , 则 的最小正周期 ,. 故答案为: ; 【变式3】(2023·山西·模拟预测)已知函数 的 部分图象如图所示. (1)求 的解析式; (2)将 的图象向右平移 个单位长度,得到函数 的图象,求 在 上的值域. 【答案】(1) (2) . 【分析】(1)由图可知 ,根据最小正周期求得 ,由图象经过点 求得 ,即可得出 ; (2)利用图象平移规律得 ,根据三角函数的性质求得值域. 【详解】(1)由图可知 ,的最小正周期 ,则 ,即 . 因为 的图象经过点 ,所以 , 解得 ,因为 ,所以 , 故 . (2)由(1)结合题意可得 . 因为 ,所以 . 当 ,即 时, 取得最大值 ; 当 ,即 时, 取得最小值 . 故 在 上的值域为 . 命题点2 函数零点(方程根)问题 【例题4】(2023·河南·模拟预测)若关于 的方程 在 内有两个不 同的解 ,则 的值为( ) A. B. C. D. 【答案】D 【分析】利用辅助角公式化简已知方程,求得 ,进而求得 . 【详解】关于 的方程 在 内有两个不同的解 ,即 ( ,取 为锐角) 在 内有两个不同的解 , 即方程 在 内有两个不同的解 . 不妨令 ,由 ,则 , 所以 , 所以 .则 , 即 , 所以 . 故选:D. 【变式1】(2022·陕西渭南·一模)若关于 的方程 在 上 有实数根,则实数 的取值范围是 . 【答案】 【分析】利用三角函数的倍角公式,将方程整理化简,利用三角函数的图象和性质,确定条件 关系,进行求解即可. 【详解】 , , 即 , ,即 , , , 设 ,则 在 上有实数根, , 在 的图像有交点,如图由于 由图象可知, ,即 故答案为: 【变式2】(2022·全国·模拟预测)若方程 在 上的两个 不等实根为 , ,则 . 【答案】 /0.2 【分析】利用二倍角公式及正弦函数的两角差公式化简原方程,利用正弦函数的对称性得 到 的关系式即可求解. 【详解】解: , 当 时, .由题意可得 ,根据正弦 函数的对称性得 ,即 ,则 ,所以 .故答案为: . 【变式3】(2023·上海宝山·二模)已知函数 . (1)求函数 的最小正周期和单调区间; (2)若关于 的方程 在 上有两个不同的实数解,求实数 的取值范围. 【答案】(1)最小正周期 ;单调递增区间为 ;单调递减区间为 . (2) 【分析】(1)利用降幂公式和辅助角公式化简函数解析式,用周期公式求周期,整体代入 法求函数单调区间; (2)由区间内函数的单调性和函数值的变化范围求解实数 的取值范围. 【详解】(1) , 则函数 的最小正周期 ; 令 ,解得 , 可得函数 的单调递增区间为 · 令 ,解得 , 可得因数 的单调递减区间为 ;(2)由(1)可知, 时, 在 上单调递增,在 上单调递减, 当 , , 由 增大到1, 当 , , 由1减小到 , 若关于 的方程 在 上有两个不同的实数解,则实数 的取值范围为 命题点3 三角函数模型 【例题5】(2024·四川凉山·三模)摩天轮是一种大型转轮状的机械建筑设施,游客坐在摩 天轮的座舱里慢慢地往上转,可以从高处俯瞰四周景色.某摩天轮最高点距离地面高度为 120m,转盘直径为110m,设置48个座舱,开启后按逆时针方向匀速旋转,游客在座舱转 到距离地面最近位置进仓,转一周大约需要30min.某游客坐上摩天轮的座舱10min后距 离地面高度约为( ) A.92.5m B.87.5m C.82.5m D. 【答案】A 【分析】以轴心 为坐标原点,与地面平行的直线为 轴建立平面直角坐标系,根据题意, 求得函数 ,令 时,即可求解. 【详解】设座舱距离地面的最近的位置为点 ,以轴心 为原点,与地面平行的直线为轴建立平面直角坐标系,如图所示, 设函数 表示游客离底面的高度, 因为摩天轮的最高点距离地面为 ,直径为 ,且转一周大约需要 , 周期 , ,所以 , 即 , 当 时,游客在点 ,其中以 为终边的角为 , 所以 , 当 时,可得 所以,摩天轮的座舱 后距离地面高度约为 . 故选:A. 【变式1】(2024·四川成都·二模)筒车亦称“水转筒车”,是一种以水流作动力,取水灌 田的工具,唐陈廷章《水轮赋》:“水能利物,轮乃曲成.升降满农夫之用,低徊随匠氏之 程.始崩腾以电散,俄宛转以风生.虽破浪于川湄,善行无迹;既斡流于波面,终夜有声.”如 图,一个半径为4 的筒车按逆时针方向每分钟转一圈,筒车的轴心O距离水面的高度为 .在筒车转动的一圈内,盛水筒P距离水面的高度不低于 的时间为( ) A.9秒 B.12秒 C.15秒 D.20秒 【答案】D【分析】画出示意图,结合题意和三角函数值可解出答案. 【详解】假设 所在直线垂直于水面,且 米,如下示意图, 由已知可得 , 所以 ,处在劣弧 时高度不低于 米, 转动的角速度为 /每秒, 所以水筒P距离水面的高度不低于 的时间为 秒, 故选:D. 【变式2】(2024·广东佛山·二模)近年,我国短板农机装备取得突破,科技和装备支撑稳 步增强,现代农业建设扎实推进.农用机械中常见有控制设备周期性开闭的装置.如图所示, 单位圆O绕圆心做逆时针匀速圆周运动,角速度大小为 ,圆上两点A,B始终满足 ,随着圆O的旋转,A,B两点的位置关系呈现周期性变化.现定义:A,B两点 的竖直距离为A,B两点相对于水平面的高度差的绝对值.假设运动开始时刻,即 秒时, 点A位于圆心正下方:则 秒时,A,B两点的竖直距离第一次为0;A,B两点的 竖直距离关于时间t的函数解析式为 . 【答案】 【分析】以O为原点,以OA所在直线为y轴建立平面直角坐标系,利用三角函数定义表示点 的坐标,由已知结合和角的正弦公式化简即得. 【详解】以O为原点,以OA所在直线为y轴,建立平面直角坐标系,由于角速 , 设点 ,圆上两点A、B始终保持 , 则 ,要使A、B两点的竖直距高为0, 则 ,第一次为0时, ,解得 , . 故答案为: ; 【点睛】关键点点睛:涉及三角函数实际应用问题,探求动点坐标,找出该点所在射线为 终边对应的角是关键,特别注意,始边是x轴非负半轴 【变式3】(2023·江西鹰潭·模拟预测)如图,均匀的圆面绕圆心 作逆时针方向的匀速旋 转,圆面上一初始位置为A点,t秒后转到点B,旋转的角速度为 ,在旋转 圆面的右侧有一固定相机C(C, 两点在 的两侧),且 , .(1)记旋转角为 .若 ,求t的取值范围及弦 的长度; (2)在(1)的条件下,若 , ,求 的长. 【答案】(1) ; 米; (2) 米. 【分析】(1)延长 交圆于D,计算旋转一周的时间,第一次到D和第二次到D的时间, 由此可得t的取值范围,利用圆的性质解 求 ; (2)求出 时 的值,再由余弦定理求 ,结合余弦定理可求 . 【详解】(1)如图所示,延长 交圆于D, 根据题意可知,旋转一周的时间 秒, 所以第一次旋转到D用30秒,第二次旋转到D用30+60秒, 所以 时, , 又因为 , 在 中, , (2)由(1)知, 时 , 在 中 ,由余弦定理易知 ,又因为 ,所以 , 在 中,由余弦定理易知 【课后强化】 【基础保分练】 一、单选题 1.(2024·河北邯郸·模拟预测)若函数 的部分图象如 图所示, , 为图象上的两个顶点.设 ,其中O为坐标原点, ,则 的值为( ) A. B. C. D. 【答案】A 【分析】首先由已知条件列出方程组求解得 ,再利用向量求出夹角 ,最后求得 即可. 【详解】由图可知, , 由题意知 ,解得 . 又因为 , ,且 ,则 , 因为 ,所以 . 所以 . 故选:A 2.(2024·陕西西安·模拟预测)已知函数 的部分图 像如图所示,则 ( ) A. B. C.0 D. 【答案】B 【分析】结合函数图像可求得函数的解析式,然后代入计算可得到结果. 【详解】由图可得 , , ,所以 , 所以 ,因为 在函数的图像上, 可得 ,解得 ,因为 ,所以 , , 所以 . 故选:B. 3.(2024·吉林长春·模拟预测)已知函数 ,如图 是直线 与曲 线 的两个交点, ,则 ( ) A.0 B. C. D. 【答案】C 【分析】设 ,依题可得, ,结合 的解可得 ,从而得到 的值,再根据 即可得 ,进 而求得 . 【详解】设 ,由 可得 , 由 可知, 或 , ,由图可知, 当 时, ,即 , ;当 时, ,即 , ; 综上: ; 因为同一图象对应的解析式是一样的,所以此时不妨设 ,则 , 因为 , 则 ,解得 , 所以 , . 故选:C. 4.(2024·湖北武汉·模拟预测)若函数 在区间 上是减 函数,且 , , ,则 ( ) A. B. C.1 D.2 【答案】A 【分析】利用辅助角公式化简函数表达式,根据单调性与函数值,结合正弦函数的图象, 确定 与 的值,两式相减,即可求出 的值. 【详解】由题知 , 因为 , , 所以 , 又因为 在区间 上是减函数,所以 , 两式相减,得 , 因为 ,所以 . 故选:A. 二、多选题 5.(2024·辽宁丹东·一模)已知函数 ( , )满足 ,且 在 上单调递减,则( ) A. B. 为奇函数 C. 的对称轴为 , D. 在 上有3个零点 【答案】AC 【分析】先通过条件推知 是 的对称中心,以及 是 的的对称轴,然 后结合 在 上单调递减得出 , 在 上单调递减,再推知 ,至此可直接验证A正确,而验证 是否为0即可判断B,分别解 方程 和 即可判断C和D. 【详解】由于 在 上单调递减, ,故 对应的点是 的对称中心,即 . 同样地由于 在 上单调递减,故最小正周期 . 同时,由于对任意的实数 ,方程 在一个形如 的区间上至多有两个根, 且在有两个根的情况下,这两个根的平均值 对应的直线 一定是 的的对称轴, 而 , ,从而 ,故 对应的直线 一定是 的的对称轴. 现在,由于 是 的对称中心, 是 的的对称轴,故 是 的对 称轴. 而 在 上单调递减, ,故 , 在 上单调递减. 再由 是 的对称中心,就知道 ,所以 ,故 . 此时得到 ,代入 得 ,即 . 从而 ,由 知 ,所以 ,即 . 经验证, 满足条件. 然后逐一验证各个选项:我们已经推出 ,故A正确; 由 ,知函数 在 处有定义但不过原点,从而不 可能是奇函数,B错误; 由于 当且仅当 ,即 ,即 , 故 的对称轴是 ,C正确; 由于 当且仅当 ,即 ,即 ,故 在 上的全部零点是 ,只有2个,D错误. 故选:AC. 6.(2024·山东日照·二模)已知函数 的部分图象 如图中实线所示,图中圆 与 的图象交于 两点,且 在 轴上,则下列命题正 确的是( ) A.函数 的最小正周期是 B.函数 在 上单调递减 C.函数 的图象向左平移 个单位后关于直线 对称D.若圆 的半径为 ,则 【答案】ACD 【分析】A选项,先求出 点的横坐标,求出最小正周期,A正确;B选项,求出 ,得到特殊点的函数值得到 ,得到函数解析式,整体法得到 在 上不单调递减,B错误;C选项,求出向左平移 个单位的解析式,代入检验 得到C正确;D选项,由 和勾股定理得到 ,代入 求出 ,得 到函数解析式. 【详解】A选项,由对称性可知 点的横坐标为 , 设 的最小正周期为 ,则 ,解得 ,A正确; B选项,因为 ,所以 , 点 在图象上,即点 在图象上,将其代入函数解析式得 , 又 ,故 ,解得 , 故 , 当 时, , 又 , 在 上不单调,故函数 在 上不单调递减,B错误; C选项,函数 的图象向左平移 个单位后得到 , 其中 ,故 关于直线 对称,C正确; D选项,若圆 的半径为 ,即 , 又 ,故 ,解得 , 所以将 代入 中得, ,解得 , 则 ,D正确. 故选:ACD 三、填空题 7.(22-23高三上·河北·阶段练习)如图是函数 的部分图象,A是图象的一个最高点,D是 图象与y轴的交点,B,C是图象与x轴的交点,且 , 的面积等于 .若 时,关于x的方程 恰有3个不同的实数根,则m的取值 范围是 .【答案】 【分析】根据三角函数的图象特征可求解析式为 ,根据 以及 有一共3个交点即可求解. 【详解】由题意可得 , 设 的最小正周期为T,则 ,即 .所以 ,又图 象过点 ,则 ,又因为 ,所以 ,所以 , 当 时, , 在 上先增后减再增,且 ,由 ,解得 在 上有2 个不同的实数根,所以 需要有1个实数根,此时 ,或 ,故m的取值范围为 . 故答案为: 8.(2024·全国·模拟预测)已知函数 的部分图象如图 所示,将 图象上所有点的横坐标缩小为原来的 ,纵坐标不变,得到 的 图象,若 在区间 上恰有两个极大值点,则实数m的取值范围是 . 【答案】 【分析】结合图象求得 的最小正周期,即可求得 ,然后结合图象上的点的坐标 及 可求得 ,得到 的解析式,进而利用三角函数图象的变换法则得到 的解析式,最后利用正弦函数的图象求得m的取值范围. 【详解】设 的最小正周期为T,则由图象知 , 所以 ,则 , 由 在 处取得最小值,可得 , , 得 , .因为 ,所以 , 所以 ;(或由题意可得 , ,亦可得 ) , 由 ,得 , 所以由题意得 ,解得 , 即实数m的取值范围是 . 故答案为: . 9.(2024·江西南昌·一模)“南昌之星”摩天轮半径为80米,建成时为世界第一高摩天轮, 成为南昌地标建筑之一.已知摩天轮转一圈的时间为30分钟,甲乙两人相差10分钟坐上摩 天轮,那么在摩天轮上,他们离地面高度差的绝对值的取值范围是 . 【答案】 【分析】由已知设甲乙两人坐上摩天轮的时间分别为 , ,得到甲乙两人坐上摩天轮 转过的角度,分别列出甲乙离地面的高度 , , 然后得到 ,由 的取值范围即可求解. 【详解】设甲乙两人坐上摩天轮的时间分别为 , , 则甲乙两人坐上摩天轮转过的角度分别为 , , 则甲距离地面的高度为 , 乙距离地面的高度为 ,则 因为 ,所以 ,所以 , 即 . 故答案为: . 四、解答题 10.(23-24高三上·山西·阶段练习)已知函数 的部分图象如 图所示. (1)求 的解析式; (2)求 在 上的值域. 【答案】(1) (2) 【分析】(1)根据 得到 ,根据 的图象关于直线 对称得到 ,即可得到 的解析式; (2)根据正弦型函数的单调性求值域即可. 【详解】(1)由图可得, 的最小正周期 . 因为 ,且 ,所以 . 因为 的图象关于直线 对称, 所以 ,解得 . 因为 ,所以 . 故 . (2)由 ,得 . 当 ,即 时, 取得最大值,最大值为2; 当 ,即 时, 取得最小值,最小值为 . 故 在 上的值域为 . 11.(2023·四川绵阳·一模)已知函数 的部分图象 如图所示. (1)求函数 的解析式; (2)将函数 的图象向右平移 个单位长度,得到 的图象,求函数 在上的单调递减区间. 【答案】(1) (2) 【分析】(1)根据函数图象求出 , ,进而得出 .根据“五点法”,即可求出 的值; (2)先求出 ,根据已知得出 .结合正弦函数的单调性, 解 ,即可得出答案. 【详解】(1)由图易知 , , 所以 , . 易知 ,故函数 的图象经过点 , 所以 . 又 ,∴ . ∴ . (2)由题意,易知 , 因为 时,所以 . 解 可得, , 此时 单调递减,故函数 的单调递减区间为 【综合提升练】 一、单选题 1.(2024·四川·模拟预测)已知函数 的部分图象如图 所示,则下列结论正确的是( ). A.当 时, 的最小值为 B. 在区间 上单调递增 C. 的最小正周期为 D. 的图象关于直线 对称 【答案】D 【分析】先由函数图象得到函数解析式,A选项,整体法求解函数的值域;B选项,整体法 求解函数单调性;C选项,利用 得到C正确;D选项,代入得到 ,D正确. 【详解】由图可知, , 又因为 ,所以 ,所以 ,所以 ,即 . 对于A:当 , ,∴ ,A错误; 对于B: , , 由于 在 上单调递增,在 上单调递减, 所以 在 上先增后减,B错误; 对于C: 的最小正周期为 ,C错误; 对于D:当 时, ,故 , 所以 的图象关于直线 对称,D正确, 故选:D. 2.(2024·陕西渭南·三模)将函数 的图象向左平移 个单位长度, 所得图象关于原点对称,则 的值可以为( ) A. B. C. D. 【答案】D 【分析】根据三角函数的图象变换,整理变换之后的函数解析式,结合三角函数的奇偶性, 可得答案. 【详解】由题意可知函数 的图象关于原点对称, 则 ,整理可得 ,当 时, . 故选:D. 3.(2023·辽宁抚顺·模拟预测)水车是古老黄河的文化符号,是我国劳动人民智慧的结晶, 是最早的自动灌溉系统.黄河边上的一架水车直径为16米,入水深度4米,为了计算水车 的旋转速度,某人给刚出水面的一个水斗(图中点A)做上记号,经过60秒该水斗到达水 车最顶端(图中点B),再经过11分20秒,做记号的水斗与水面的距离为n米,则n所在 的范围是( ) A. B. C. D. 【答案】B 【分析】理解题意,可列出时间x(分钟)后距离水面高度y满足关系,从而可将 代 入即可得出结论. 【详解】以水面与水车的交线为x轴,过水车轴垂直水面的直线为y轴建立平面直角坐标 系,水斗从A转到B,则转过的角为 ,从点B开始,记水斗经过时间x(分钟)后距离 水面高度y满足关系; ,又当 分钟时, . 故选:B. 4.(2024·广东广州·二模)已知函数 的部分图象如图所 示,若将函数 的图象向右平移 个单位后所得曲线关于 轴对称,则 的最小值为( ) A. B. C. D. 【答案】A 【分析】根据给定的图象特征,结合五点法作图列式求出 和 ,再根据图象的平移变换, 以及图象的对称性即可得解. 【详解】由 ,得 ,又点 及附近点从左到右是上升的,则 , 由 ,点 及附近点从左到右是下降的,且上升、下降的两段图象相邻,得 , 联立解得 , ,而 ,于是 , , 若将函数 的图像向右平移 个单位后,得到 , 则 ,而 ,因此 , 所以当 时, 取得最小值为 . 故选:A 5.(2024·陕西安康·模拟预测)已知函数 的部 分图象如图所示,其图象上最高点的纵坐标为2,且图象经过点 ,则( ) A. B.1 C.-1 D. 【答案】A 【分析】先通过图象经过点 列方程求出 ,进而可得 的解析式,再代 入 计算即可. 【详解】由已知得 , 所以 , 又图象经过点 , 则 ,即 , 又 为单调减区间上的点, 为单调增区间上的点,且在一个周期内, 所以 , 两式相减得 ,所以 ,又 , 所以 ,所以 , 所以 . 故选:A. 6.(2024·甘肃酒泉·三模)函数 ,其部分图象 如图所示,则 ( ) A. B. C. D. 【答案】B 【分析】根据最值可得 ,最小正周期可得 ,分析可知 为 的最大值点, 进而可得 ,即可得结果. 【详解】设 的最小正周期为 , 由题意可知: , ,即 , 且 ,则 , 可得 , 由图象可知: 为 的最大值点, 则 ,解得 , 且 ,可知 ,所以 .故选:B. 7.(23-24高三下·河南·阶段练习)已知函数 ,将 的图象向左平移 个单位长度后,得到函数 的图象.若 , 是关于x的方程 在 内的两个不同的根,则 ( ) A. B. C. D. 【答案】C 【分析】利用辅助角公式化简 ,根据图象的平移变换可得 的表达式,再结合题意 利用正弦函数的对称性可得 ,即可求得答案. 【详解】 , 其中 为辅助角, , , 则 , 当 时, , , , 因为 , 是关于 的方程 在 内的两个不同根, 所以 , 因此 . 故选:C.8.(2024·重庆·模拟预测)将函数 的图象向右平移 个单位后, 所得图象关于坐标原点对称,则 的值可以为( ) A. B. C. D. 【答案】B 【分析】由三角函数的平移变化结合奇函数的性质可得 ,解方程即可得 出答案. 【详解】因为 向右平移 个单位后解析式为 , 又图象关于原点对称, 时, , 故选:B. 二、多选题 9.(2024·安徽合肥·三模)已知 是函数 的两个零点,且 的最小值是 ,则( ) A. 在 上单调递增 B. 的图象关于直线 对称 C. 的图象可由 的图象向右平移 个单位长度得到 D. 在 上仅有1个零点 【答案】ABD 【分析】依题意可得 的最小正周期 ,即可求出 ,从而得到 解析式,再根 据正弦函数的性质一一判断即可.【详解】由题意可知,函数 的最小正周期 , , . 对于 ,当 时, , 因为 在 上单调递增,所以 在 上单调递增,故A正确; 对于B,因为 , 所以 的图象关于直线 对称,故B正确; 对于C,将 的图象向右平移 个单位长度得到: ,故C错误; 对于D,当 时, ,仅当 ,即 时, , 即 在 上仅有1个零点,故D正确. 故选:ABD. 10.(2024·浙江金华·三模)已知 在 上是单调函数,且 的图象关于点 对称,则( ) A.若 ,则 B. 的图象的一条对称轴方程为 C.函数 在 上无零点D.将 的图象向左平移 个单位长度后得到的函数为偶函数 【答案】ABC 【分析】利用 在 上单调,可得 ,再根据 的图象关于点 对称,可得 ,进而可得 ,结合每个选项计算可判断其 正确性. 【详解】 , 当 ,可得 ,又 在 上单调, 所以 ,解得 , 又 的图象关于点 对称,所以 ,解得 , 当 时, ,符合题意,所以 , 对于A:若 ,则可得 分别为函数 的极大值与极小值, 可得 ,故A正确; ,所以 的图象的一条对称轴方程为 ,故B正确; 因为 ,所以 ,所以函数 在 上无零点,故C正确; 将 的图象向左平移 个单位长度后得到的函数为 , 所以 的图象向左平移 个单位长度后得到的函数不为偶函数,故D不正确. 故选:ABC.11.(2024·河北石家庄·三模)函数 的部分图象 如图所示,则下列说法中正确的是( ) A. B. 的图象关于直线 对称 C. D.若方程 在 上有且只有5个根,则 【答案】ACD 【分析】根据图象可求得函数 的解析式,再根据三角函数的性质依次判断各选项. 【详解】对于A,由 ,得 ,即 ,又 , ,故A正确; 对于C,又 的图象过点 ,则 ,即 , ,即得 , ,又 , , 所以 ,故C正确; 对于B,因为 ,而 ,故直线 不是函数 的对称轴,故B错误; 对于D,由 ,得 , 解得 或 , , 方程 在 上有5个根,从小到大依次为: , 而第7个根为 ,所以 ,故D正确. 故选:ACD. 三、填空题 12.(2024·江苏·模拟预测)将函数 图象上的每个点的横坐标变为原来 的 倍(纵坐标不变),再将得到的图象向左平移 个单位长度,所得的图象关于 轴对 称,写出一个符合条件的 的值 . 【答案】 (答案不唯一) 【分析】由函数平移、伸缩变换法则得新函数表达式,结合三角函数奇偶性即可列式求得 参数 的值. 【详解】将函数 图象上的每个点的横坐标变为原来的 倍(纵坐标不 变), 再将得到的图象向左平移 个单位长度,所得的图象对应的解析式为 , 由题意 的图象关于 轴对称, 所以 ,解得 , ,令 ,得 .故答案为: (答案不唯一). 13.(2024·贵州贵阳·一模)函数 的部分图象如图 所示,已知 ,且 ,则 . 【答案】1 【分析】先求出 的解析式,再根据 得到 ,从 而得到 的值. 【详解】由函数的部分图象得 ,函数 的周期 , , 即 ,由 ,得 ,而 , 于是 , ,由 ,得 , 整理得 , 因此 或 , 即 或 与 矛盾, 于是 , , 所以 . 故答案为:1【点睛】思路点睛:依据图象求解析式时,要遵循“两看一算”即看周期与振幅,利用对 称轴算初相位,另外,已知三角函数值的关系要求自变量的关系时,要利用诱导公式化成 同名的三角函数的相等关系,再依据终边的位置关系得到自变量的关系. 14.(2024高三·全国·专题练习)已知函数 的部分 图象如图所示,将函数 图象上所有点的横坐标缩短为原来的 ,纵坐标伸长到原来的 2倍,再把得到的图象向左平移 个单位长度,可得到 的图象.若方程 在 上有两个不相等的实数根,则 的取值范围为 . 【答案】 【分析】易得 ,再由点 在 的图象上,代入函数解析式求得 ,再利用伸缩变换和平移变换得到 ,作出其图象, 利用数形结合法求解. 【详解】解:由 的部分图象,可得 . 由图可知点 在 的图象上,则 , , 由五点作图法可得 , ,解得 ,则 .将函数 图象上所有点的横坐标缩短为原来的 ,纵坐标伸长到原来的2倍得到 的图象, 再把得到的图象向左平移 个单位长度,可得到 的图象. 作出函数 的部分图象如图所示, 由根据函数 的图象知: 当 时,直线 与函数 在 上的图象有两个交点, 即方程 在 上有两个不相等的实数根. 故答案为: 四、解答题 15.(23-24高三上·吉林白城·阶段练习)已知函数 为奇函数,且 图象的相邻两条 对称轴间的距离为 . (1)求 的解析式与单调递减区间; (2)将函数 的图象向右平移 个单位长度,再把横坐标缩小为原来的 (纵坐标不变),得到函数 的图象,当 时,求方程 的所有根的和. 【答案】(1) , (2) . 【分析】(1)利用恒等变换化简后,结合三角函数的性质求解; (2)利用图象变换法,求得 的函数表达式,解方程求得 的值,利用换元思想, 结合三角函数的图象和性质分析求出即可. 【详解】(1)由题意可得: 因为 图象的相邻两条对称轴间的距离为 , 所以 的最小正周期为 ,即可得 , 又 为奇函数,则 , 又 ,所以 ,故 . 令 ,得 , 所以函数 的递减区间为 . (2)将函数 的图象向右平移 个单位长度,可得 的图象, 再把横坐标缩小为原来的 ,得到函数 的图象, 又 ,则 或 ,即 或 . 令 ,当 时, , 画出 的图象如图所示: 的两个根 对应的点 关于直线 对称,即 , 有 , 在 上有两个不同的根 , 所以 ; 又 的根为 , 所以方程 在 内所有根的和为 . 16.(2024·福建三明·三模)已知函数 (其中 )其中图象 的两条相邻对称轴间的距离为 . (1)若 在 上有最大值无最小值,求实数 的取值范围; (2)将函数 的图象向右平移 个单位长度;再将图象上所有点的横坐标变为原来的2倍(纵坐标不变),得到 的图象,设 ,求 在 的极大值点. 【答案】(1) (2) 和 【分析】(1)化简函数 ,利用周期求出 解析式,再结合正弦函数图象求解即可. (2)先根据图象的平移伸缩变换得到 的解析式,再求导求其极大值点即可. 【详解】(1) 因为图象相邻对称轴间的距离为 , 所以周期 ,即 , 因此 , 当 时, 若 在 有最大值无最小值,由正弦函数图象得 只需 ,解得 , 即 的取值范围为 . (2)将 的图象向右平移 个单位得 再将图象所有点横坐标变为原来2倍得 , 所以 , 令 得 ,解得 或 或 , 当 时, , 单调递增, 当 时, , 单调递减, 当 时, , 单调递增, 当 时, , 单调递减, 所以 的极大值点为 和 . 17.(2023·贵州遵义·模拟预测)已知函数 的部分 图象如图所示. (1) 求函数 的解析式; (2)若函数 在区间 上恰有两个零点 ,求 的值. 【答案】(1) (2) 【分析】(1)结合五点法作图,由周期得 ,结合最值点可得 ,代入点 的坐标 得A,即可得函数解析式;(2)由题意知 和 的图象有两个不同交点,作出函数 在 上的图象,结合函数的对称性可得 的值. 【详解】(1)设 的最小正周期为 ,则 ,可得 , 且 ,解得 , 由图象可知:当 时, 取到最大值, 且 ,则 , 可得 ,解得 , 又因为 ,可得 ,则 , 且 的图象过点 ,则 ,解得 , 所以 . (2)令 , 由 ,可得 , 可知 的零点等价于 与 的图象交点横坐标, 且 ,作出 在 内的图象,不妨设 ,如图所示: 由图象可知: ,且 关于直线 对称,所以 . 18.(2023·海南省直辖县级单位·模拟预测)如图为函数 的部分图象,且 , . (1)求 , 的值; (2)将 的图象上所有点的横坐标扩大到原来的3倍(纵坐标不变),再向右平移 个 单位长度,得到函数 的图象,讨论函数 在区间 的零点个数. 【答案】(1) , (2)答案见解析 【分析】(1)由周期求出 ,根据 求出 ;(2)首先求出 的解析式,函数 在区间 的零点个数即为函数 的图象与直线 在 上的交点个数,由 的取值范围,求出 的取值范围, 再结合余弦函数的图象即可得解. 【详解】(1)根据题意得, ,故 , ,故 . 将 代入,得 ,解得 , 又 ,故 . (2)依题意, . 函数 在区间 的零点个数即为函数 的图象与直线 在 上 的交点个数. 当 时, ,结合余弦函数图象可知, 当 时, 单调递减,当 时, 单调递增, 且 , , , 作出函数 在 上的大致图象如图所示.观察可知,当 或 时, 有 个零点; 当 时, 有 个零点; 当 或 时, 有 个零点. 19.(2023·陕西安康·一模)已知函数 的部分 图象如图所示. (1)求函数 的解析式; (2)将函数 图象上所有的点向右平移 个单位长度,再将所得图象上每一个点的横 坐标变为原来的2倍(纵坐标不变),得到函数 的图象.当 时,方程 恰有三个不相等的实数根, ,求实数a的取值范围以及 的值. 【答案】(1) (2) , 【分析】(1)由三角函数图象的最大值与最小值,求出 ,得到最小正周期,求出 ,再代入特殊点的坐标,求出 ,得到函数解析式; (2)先根据平移变换和伸缩变换得到 ,令 ,换 元后利用整体法求出函数的单调性和端点值,得到 ,再根据对称性得到 ,相加后得到 ,求出 答案. 【详解】(1)由图示得: ,解得: , 又 ,所以 ,所以 , 所以 . 又因为 过点 ,所以 ,即 , 所以 ,解得 , 又 ,所以 ,所以 . (2) 图象上所有的点向右平移 个单位长度,得到 , 将所得图象上每一个点的横坐标变为原来的2倍(纵坐标不变),得到 , 当 时, ,令 ,则 , 令 ,在 上单调递增,在 上单调递减, 在 上单调递增, 且 , , 所以 时,.当 时,方程 恰有三个不相等的实数根. 因为 有三个不同的实数根 , 且 关于 对称, 关于 对称, 则 , 两式相加得: , 即 ,所以 . 【拓展冲刺练】 一、单选题 1.(2024·四川攀枝花·三模)将函数 的图象向右平移 个单位长度后 得到的图象与 的图象关于原点对称,则 的最小值是( ) A. B. C. D. 【答案】B 【分析】根据已知条件利用二倍角公式化简求出函数的解析式 ,根据函数的变化规律结合诱导公式即可求得结论. 【详解】令 ,则有 , 设 向右平移 个单位长度后得到的函数为 , 则有 , 根据已知条件 的图象与 的图象关于原点对称, 则有 ,即 , 所以 ,解得 , 又因为 ,所以当 时, 取最小值为 . 故选:B 2.(2024·辽宁·三模)已知函数 ,图象如图所示, 下列说法正确的是( ) A.函数 的振幅是 ,初相是 B.若函数 的图象上的所有点向左平移 后,对应函数为奇函数,则 C.若函数 在 上单调递减,则 的取值范围为 D.若函数 的图象关于 中心对称,则函数 的最小正周期 的最小值为【答案】C 【分析】根据函数图象得到 ,由 求出 ,即可得到 ,再根 据正弦函数的性质一一判断即可. 【详解】由图可知 ,且 ,即 , 又 ,所以 ,所以 , 故函数 的振幅是 ,初相是 ,故A错误; 将 的图象上的所有点向左平移 得到 , 依题意 ,解得 ,故B错误; 若函数 在 上单调递减,则 ,即 ,则 ,解得 , 又 ,所以 , 又 ,所以 ,解得 , 即函数 在 上单调递减,则 的取值范围为 ,故C正确; 若函数 的图象关于 中心对称,则 , 解得 , 又 ,所以 ,又函数的最小正周期 ,显然 没有最小值,故D错误. 故选:C 3.(2024·内蒙古呼和浩特·二模)如图所示的曲线为函数 的部分图象,将 图象上所有点的横坐标 伸长到原来的 倍,再将所得曲线向左平移 个单位长度,得到函数 的图像,则 的解析式为( ) A. B. C. D. 【答案】D 【分析】结合图象,以及周期公式,求出 ,再结合平移伸缩的法则即可求解. 【详解】由图象可知 , 则 的一个最低点为 , 的最小正周期为 ,则 , ,即 , 所以 ,又因为 ,所以 , 所以 , 将 图象上所有点的横坐标伸长到原来的 倍, 得 的图象, 再将所得曲线向左平移 个单位长度, 得 , 故 , 故选:D. 4.(2024·山东聊城·三模)设函数 的图象与函数 的图象关于 轴对称,将 的图象向右平移 个单位长度后得到函数 的图象,则函数 的图象与 的图象的所有交点的横坐标之和为( ) A.8 B.6 C.4 D.2 【答案】C 【分析】利用轴对称求得函数 ,利用三角函数平移变换得到函数 ,再利用函数 的对称中心计算得到结果. 【详解】由题意得 ,则 .函数 的图象由函数 图形向右平移1个单位得到. 由函数 的图象与 的图象关于点 对称,在定义域内有4个交点. 所以函数 的图象与 的图象的所有交点的横坐标之和为 故选:C. 二、多选题 5.(2024·山东泰安·模拟预测)已知函数 则下列结论正确的是 ( ) A.当 时, 的图象关于 中心对称 B.当 时,将 图象向右平移 个单位长度后的函数图象关于y轴对称 C.当 时, 在 上单调递减 D.设 的周期为T,若 时, , 为方程 的两个不相等实根,则 【答案】ABD 【分析】由已知可得 结合每个选项条件计算可判断其正确性. 【详解】 对于A:当 时, 又 ,所以 的图象关于 中心对称,故A正确; 对于B:当 时, 将 图象向右平移 个单位长度后的函数为 所以 为偶函数, 所以将 图象向右平移 个单位长度后的函数图象关于y轴对称,故B正确; 对于C:当 时, 因为 , 所以 ,所以 在 上不是单调递减函数,故C错误; 设 的周期为T,若 时,则 ,解得 , 当 时, 由 则可得 或 , 所以 , 当 时, 由 则可得 或 , 所以 ,故D正确. 故选:ABD. 6.(2023·湖南·模拟预测)已知函数 的部分图象如图 所示,则( )A. B. 在区间 上单调递增 C.将函数 图象上各点横坐标变为原来的 (纵坐标不变),再将所得图象向 右平移 个单位长度,可得函数 的图象 D.函数 的零点个数为7 【答案】ABD 【分析】根据给定的函数图象,结合五点法作答求出函数 的解析式,再分析判断 ABC;换元并构造函数,利用导数结合图形判断D作答. 【详解】观察图象知,函数 的周期 ,则 ,而 , 即有 ,由 知, ,因此 ,A正确; 显然 ,当 时, ,因此 单调递增,B 正确; 将 图象上各点横坐标变为原来的 得 ,再将所得图象向右平移 个单位 长度,得 , 而 ,C错误;由 ,得 ,令 ,则 , 令 ,显然当 时, ,即恒有 ,函数 在 上无零点, 当 时, ,令 , , 函数 在 上都递减,即有 在 上递减, , ,因此存在 , , 当 时, ,当 时, ,有 在 上递增,在 递减, , , 于是存在 , ,当 时, ,当 时, , 则函数 在 上递减,在 递增, , , 从而函数 在 上存在唯一零点,而函数 周期为 , 在 上单 调递增,如图, , , ,从而函数 在 上各有一个零点,又0是 的零点,即函数 在定义域上共有7个零点, 所以函数 的零点个数为7,D正确. 故选:ABD 【点睛】方法点睛:函数零点个数判断方法:(1)直接法:直接求出f(x)=0的解;(2)图象法: 作出函数f(x)的图象,观察与x轴公共点个数或者将函数变形为易于作图的两个函数,作出 这两个函数的图象,观察它们的公共点个数. 三、填空题 7.(2024·全国·模拟预测)已知函数 的部分图像如图所 示.若函数 的图像在区间 上有两条对称轴,且 ,则 的 取值范围是 . 【答案】 【分析】根据题意,由函数图像可得其解析式为 ,再由其对称性,代 入计算,即可得到结果. 【详解】设函数 的最小正周期为 . 由题意得 ,即 ,所以 ,所以 ,又 的图像过点 , 所以 ,所以 , 故 ,又 ,所以 , 所以 . 因为 ,且 的图像在区间 上有两条对称轴, 所以 , 即 ,所以 . 故答案为: 8.(2024高三·全国·专题练习)已知函数 的部分图象 如图所示,则 . 【答案】 【分析】由图象得到 ,并结合 可得 ,再结合图象得到 及 的 大致范围,进而得到 的值,即可得解.【详解】由 得 ,又 位于减区间上,所以 , 又 ,故 . 由 得 ,又 位于增区间上, 所以 ,得 . 设 的最小正周期为 ,则 ,即 , 得 .又 ,所以 , 故 . 故答案为: 9.(2024·辽宁抚顺·一模)已知 是函数 的两个 零点,且 ,若将函数 的图象向左平移 个单位后得到的图象关于 轴对 称,且函数 在 内恰有2个最值点,则实数 的取值范围为 . 【答案】 【分析】根据函数零点的最小距离可得 ,再利用平移规则和函数奇偶性可求得 ,根据函数 在 内恰有2个最值点可限定出 ,即可解得 实数 的取值范围. 【详解】由 可得 或; 根据正弦函数图象性质可知 ,解得 ; 将函数 的图象向左平移 个单位后可得 为偶函数, 则 ,又 可得 ; 因此 ; 当 时,可知 , 若函数 在 内恰有2个最值点,可知 , 解得 , 所以实数 的取值范围为 . 故答案为: . 【点睛】关键点点睛:本题关键在于利用正弦函数图象性质根据两零点的最小距离求得 ,再由平移后的函数为偶函数求得 ,得出函数 的解析式后问题便迎刃而 解. 四、解答题 10.(2023·四川泸州·一模)已知函数 的相邻两 对称轴间的距离为 . (1)求函数 的解析式;(2)将函数 图象上点的横坐标伸长到原来的 倍,纵坐标不变,再向右平移 个单位长 度得到函数 的图象,若 , ,求 的值. 【答案】(1) (2) 【分析】(1)化简 解析式,根据 的对称轴求出周期从而求出 ,进而求得 的解析式. (2)根据三角函数图象变换求得 ,由 ,求得 , , 然后构造方程组结合余弦的二倍角公式,即可求解. 【详解】(1)由题意知: , 且可得 的周期 ,得: , 所以: , 故: . (2)由题意得: ,因为: ,所以: ,得: , 因为: ,所以: ,由 , 所以: , 所以: 故: . 11.(22-23高一下·安徽马鞍山·阶段练习)已知函数 的部分图像如图所示,其中 的图像与 轴 的一个交点的横坐标为 . (1)求这个函数的解析式; (2)若函数 在区间 上存在零点,求实数 的取值范围. 【答案】(1) ; (2) .【分析】(1)利用图像分别求出 ; (2)利用分离常数法得到 ,求出 在区间 上的值域,即可求解. 【详解】(1)由图知: . ,所以 ,所以 . 所以 . 由 ,且 , 所以 . 所以 . (2)令 得: . 对于 , , 则 . 由 的图像和性质可得: 在区间 上的值域为 . 所以函数 在区间 上存在零点,有 .