当前位置:首页>文档>第28讲难溶电解质的溶解平衡及溶液中粒子浓度关系分析(学生版)_05高考化学_新高考复习资料_2024年新高考资料_一轮复习资料_大一轮课堂2024年高考化学大一轮复习课件+习题_习题

第28讲难溶电解质的溶解平衡及溶液中粒子浓度关系分析(学生版)_05高考化学_新高考复习资料_2024年新高考资料_一轮复习资料_大一轮课堂2024年高考化学大一轮复习课件+习题_习题

  • 2026-04-01 22:12:43 2026-03-29 08:13:21

文档预览

第28讲难溶电解质的溶解平衡及溶液中粒子浓度关系分析(学生版)_05高考化学_新高考复习资料_2024年新高考资料_一轮复习资料_大一轮课堂2024年高考化学大一轮复习课件+习题_习题
第28讲难溶电解质的溶解平衡及溶液中粒子浓度关系分析(学生版)_05高考化学_新高考复习资料_2024年新高考资料_一轮复习资料_大一轮课堂2024年高考化学大一轮复习课件+习题_习题
第28讲难溶电解质的溶解平衡及溶液中粒子浓度关系分析(学生版)_05高考化学_新高考复习资料_2024年新高考资料_一轮复习资料_大一轮课堂2024年高考化学大一轮复习课件+习题_习题
第28讲难溶电解质的溶解平衡及溶液中粒子浓度关系分析(学生版)_05高考化学_新高考复习资料_2024年新高考资料_一轮复习资料_大一轮课堂2024年高考化学大一轮复习课件+习题_习题
第28讲难溶电解质的溶解平衡及溶液中粒子浓度关系分析(学生版)_05高考化学_新高考复习资料_2024年新高考资料_一轮复习资料_大一轮课堂2024年高考化学大一轮复习课件+习题_习题
第28讲难溶电解质的溶解平衡及溶液中粒子浓度关系分析(学生版)_05高考化学_新高考复习资料_2024年新高考资料_一轮复习资料_大一轮课堂2024年高考化学大一轮复习课件+习题_习题
第28讲难溶电解质的溶解平衡及溶液中粒子浓度关系分析(学生版)_05高考化学_新高考复习资料_2024年新高考资料_一轮复习资料_大一轮课堂2024年高考化学大一轮复习课件+习题_习题
第28讲难溶电解质的溶解平衡及溶液中粒子浓度关系分析(学生版)_05高考化学_新高考复习资料_2024年新高考资料_一轮复习资料_大一轮课堂2024年高考化学大一轮复习课件+习题_习题
第28讲难溶电解质的溶解平衡及溶液中粒子浓度关系分析(学生版)_05高考化学_新高考复习资料_2024年新高考资料_一轮复习资料_大一轮课堂2024年高考化学大一轮复习课件+习题_习题
第28讲难溶电解质的溶解平衡及溶液中粒子浓度关系分析(学生版)_05高考化学_新高考复习资料_2024年新高考资料_一轮复习资料_大一轮课堂2024年高考化学大一轮复习课件+习题_习题
第28讲难溶电解质的溶解平衡及溶液中粒子浓度关系分析(学生版)_05高考化学_新高考复习资料_2024年新高考资料_一轮复习资料_大一轮课堂2024年高考化学大一轮复习课件+习题_习题
第28讲难溶电解质的溶解平衡及溶液中粒子浓度关系分析(学生版)_05高考化学_新高考复习资料_2024年新高考资料_一轮复习资料_大一轮课堂2024年高考化学大一轮复习课件+习题_习题
第28讲难溶电解质的溶解平衡及溶液中粒子浓度关系分析(学生版)_05高考化学_新高考复习资料_2024年新高考资料_一轮复习资料_大一轮课堂2024年高考化学大一轮复习课件+习题_习题
第28讲难溶电解质的溶解平衡及溶液中粒子浓度关系分析(学生版)_05高考化学_新高考复习资料_2024年新高考资料_一轮复习资料_大一轮课堂2024年高考化学大一轮复习课件+习题_习题
第28讲难溶电解质的溶解平衡及溶液中粒子浓度关系分析(学生版)_05高考化学_新高考复习资料_2024年新高考资料_一轮复习资料_大一轮课堂2024年高考化学大一轮复习课件+习题_习题
第28讲难溶电解质的溶解平衡及溶液中粒子浓度关系分析(学生版)_05高考化学_新高考复习资料_2024年新高考资料_一轮复习资料_大一轮课堂2024年高考化学大一轮复习课件+习题_习题
第28讲难溶电解质的溶解平衡及溶液中粒子浓度关系分析(学生版)_05高考化学_新高考复习资料_2024年新高考资料_一轮复习资料_大一轮课堂2024年高考化学大一轮复习课件+习题_习题
第28讲难溶电解质的溶解平衡及溶液中粒子浓度关系分析(学生版)_05高考化学_新高考复习资料_2024年新高考资料_一轮复习资料_大一轮课堂2024年高考化学大一轮复习课件+习题_习题
第28讲难溶电解质的溶解平衡及溶液中粒子浓度关系分析(学生版)_05高考化学_新高考复习资料_2024年新高考资料_一轮复习资料_大一轮课堂2024年高考化学大一轮复习课件+习题_习题
第28讲难溶电解质的溶解平衡及溶液中粒子浓度关系分析(学生版)_05高考化学_新高考复习资料_2024年新高考资料_一轮复习资料_大一轮课堂2024年高考化学大一轮复习课件+习题_习题

文档信息

文档格式
docx
文档大小
1.150 MB
文档页数
16 页
上传时间
2026-03-29 08:13:21

文档内容

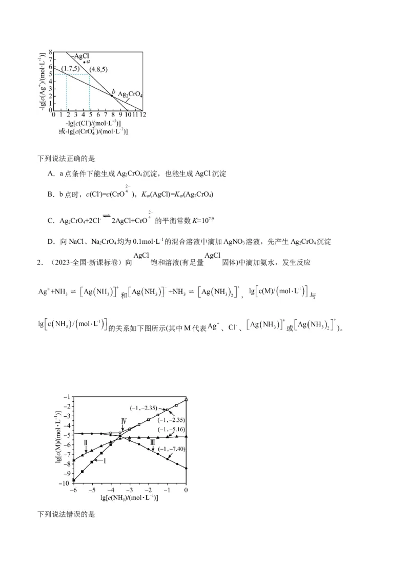
第二十八讲 难溶电解质溶解平衡 及反应过程中溶液粒子浓度变化的图像分析 【基础巩固】 1.医院中常用硫酸钡(俗称钡餐)作为内服造影剂,其不溶于水和脂质,所以不会被胃肠道黏膜吸收,因此对 人基本无毒性。已知:K (BaCO)=5.1×10-9;K (BaSO)=1.1×10-10。下列推断正确的是( ) sp 3 sp 4 A.BaCO 的溶度积常数表达式为K (BaCO)=n(Ba2+)·n(CO) 3 sp 3 B.可用2%~5%的NaSO 溶液给钡离子中毒患者洗胃 2 4 C.若误服含c(Ba2+)=1.0×10-5 mol·L-1的溶液时,会引起钡离子中毒 D.不用碳酸钡作为内服造影剂,是因为K (BaCO)>K (BaSO) sp 3 sp 4 2.(2023·浙江·高考真题)碳酸钙是常见难溶物,将过量碳酸钙粉末置于水中达到溶解平衡: [已知 , , 的电离常 数 ],下列有关说法正确的是 A.上层清液中存在 B.上层清液中含碳微粒最主要以 形式存在 C.向体系中通入 气体,溶液中 保持不变 D.通过加 溶液可实现 向 的有效转化 3.(2023·全国甲卷)下图为 和 在水中达沉淀溶解平衡时的 关系图( ; 可认为 离子沉淀完全)。下列叙述正确的是A.由 点可求得 B. 时 的溶解度为 C.浓度均为 的 和 可通过分步沉淀进行分离 D. 混合溶液中 时二者不会同时沉淀 4.(2024·福建泉州·统考一模)室温下,用 溶液滴定盐酸酸化的 溶液的 pH-t曲线如图所示。下列说法正确的是 已知:①室温时 ② A. 的水解平衡常数 B.若b点 ,则x=3.2 C.ab段仅发生反应: D.从a到c点,水的电离程度一直在减小 5.(2023·四川广元模拟)次氯酸为一元弱酸,具有强氧化性,能杀菌、消毒。其溶液中 HClO、ClO-所占物 质的量分数(分布系数δ)随pH变化的关系如图所示。下列说法错误的是( ) A.该温度下,次氯酸的电离平衡常数K=10-5 a B.次氯酸的电离方程式为HClOH++ClO-C.向pH=5的次氯酸溶液中滴加少量的甲基橙,溶液最终变为黄色 D.某浓度的次氯酸溶液中加水稀释过程中,保持不变 6.(2023·嘉兴检测)常温下,向10 mL 一定浓度的硝酸银溶液中,逐滴加入 0.1 mol/L的氨水, 反应过程中-lgc(Ag+)或-lgc([Ag(NH ) ]+)与加入氨水体积的关系如图所示。下列说法不正 3 2 确的是( ) A.NH的浓度:b点小于m点 B.原硝酸银溶液的浓度是0.1 mol/L C.m点:c(NO)-c(Ag+)-c(NH)<0.01 mol·L-1 D.a―→c的过程中,溶液pH始终增大 7.(2023·河北·校联考一模)下列离子方程式,不能正确解释相应现象的是 A.长期放置的 溶液中含有 : B. 溶液中 : C.向 溶液中加入适量 得到蓝色沉淀: D.长期放置的 溶液中出现红棕色固体: 8.(2023·沧州部分学校测试)亚硒酸(H SeO )是一种二元弱酸。常温下,向 H SeO 溶液中逐滴 2 3 2 3 加入KOH溶液,混合溶液中lgX[X为或]与pH的变化关系如图所示。下列说法正确的是( ) A.曲线b表示lg[]与pH的变化关系B.H SeO 的第一步电离平衡常数K =102.37 2 3 a1 C.根据图中信息可以判断KHSeO 溶液呈碱性 3 D.pH=5.23时,溶液中存在:c(K+)+c(H+)=c(OH-)+3c(HSeO) 9.(2023·株洲攸县一中月考)室温下,用 0.1 mol/L的NH ·H O滴定10.00 mL 0.1 mol/L 稀盐酸, 3 2 滴定过程中加入NH ·H O的体积与溶液中lg的关系如图所示[已知:该温度下,K (NH ·H O) 3 2 b 3 2 =1.8×10-5,不考虑溶液混合时体积和温度的变化],下列说法错误的是( ) A.a点溶液中,各离子的物质的量浓度由大到小的顺序为c(H+)>c(Cl-)>c(OH-) B.b点溶液中,所含有的溶质为NH Cl和NH ·H O 4 3 2 C.c点溶液中,=3 D.a、b、c三点溶液中,水的电离程度由大到小的顺序为a>c>b 10.(2023·永州第一次适应性考试)常温下,用 HCl 或 NaOH 调节 0.100 mol·L-1HCOONH 的 4 pH,忽略 NH ·H O 分解及溶液体积变化,溶液中 c(HCOO-)、c(HCOOH)、c(NH)、 3 2 c(NH ·H O)四种微粒pX与pH关系如下图所示[pX=-lgc(X)]。 3 2 已知:①x、y点的坐标:x(3.75,1.3),y(9.25,1.3);②K (HCOOH)>K (NH ·H O)。下列说 a b 3 2 法正确的是( ) A.曲线①表示pc(HCOO-)随pH的变化 B.K (NH ·H O)的数量级为10-10 b 3 2 C.z点的横坐标为6.2 D.pH=7时,溶液中离子浓度大小:c(HCOO-)<c(NH)11.(2023·荆荆宜三校上学期9月联考)某二元酸H X在水中的电离方程式是 H X===H++HX 2 2 -,HX- H++X2-,常温下,向20.00 mL 0.1 mol·L-1H X溶液中滴入0.1 mol·L-1NaOH溶液, ⇌ 2 pOH 与所加NaOH溶液体积的关系如图所示。下列说法错误的是( ) 水 已知pOH 表示溶液中由水电离出的c(OH-) 的负对数,即pOH =-lgc(OH-) 。 水 水 水 水 A.常温下,0.1 mol·L-1H X溶液的pH为1.4 2 B.溶液中水的电离程度:d>c>b C.e点溶液呈碱性 D.d点溶液中存在:2c(Na+)=c(HX-)+c(X2-) 12.(2023·广州质检)某浓度的二元弱酸HB溶液在不同pH下,测得pC(M)变化如图所示[已知: pC(M)= 2 -lg c(M),M代指HB或HB-或B2-],下列说法正确的是( ) 2 A.曲线 Ⅱ 表示pC(HB-)与pH关系 B.pH=5时,c(HB-)c C.当 被完全中和时, D.滴定至c点时,c(Na+)<2c(A2-)+c(HA-) 5..(2023·河南·校联考模拟预测)用强碱滴定某一元弱酸时,弱酸被强碱部分中和后得到“弱pH酸盐和 弱酸”组成的缓冲溶液,其中存在pH=pK 一lg 。25°C时0.1mol·L-1的NaOH溶液滴定16.00mL某未 a 知浓度的HA溶液,滴定过程中消耗NaOH溶液的体积与混合溶液pH之间的关系如图所示(已知:pK=- a lgK,100.48=3,酸性HA>HCN)。下列说法错误的是 a A.25℃时,HA电离常数的数量级为10-5 B.b点溶液中存在c(HA)+c(H+)>c(A-)+c(OH-) C.c点溶液中离子浓度的大小关系为c(HA)>c(A-)>c(H+)>c(OH-) D.若将HA改为等体积、等浓度的HCN,则pH随NaOH溶液体积的变化曲线竖直上移 6..(2023·河南·校联考模拟预测)食用级NaHSO 产品用作防腐剂、抗氧化剂等。根据常温时下列实验得 3 到的粒子浓度关系正确的是 实验操作和现象 粒子浓度的关系 向蓝色石蕊试纸上滴入2滴0.1 mol ·L-1NaHSO 溶液,试纸 ① 3 c(Na+) >c( ) >c( ) >c(HSO ) 变红 2 3 向10 mL0.1 mol ·L-1NaHSO 溶液中加入等体积等浓度的 c(Na+)-c( ) -c( ) -c(H SO ) =0.05 ② 3 2 3 NaOH溶液 mol ·L-1向0.1 mol ·L-1NaHSO 溶液中加入等浓度的NaOH溶液至 ③ 3 c( ) +c( )=c(Na+) pH=7 A.①③ B.②③ C.①② D.①②③ 7.(2023·江苏·统考高考真题)室温下,用含少量 的 溶液制备 的过程如题图所示。已 知 , 。下列说法正确的是 A. 溶液中: B.“除镁”得到的上层清液中: C. 溶液中: D.“沉锰”后的滤液中: 8..(2023·河北衡水·河北衡水中学校考模拟预测)25℃时,用 调节 二元弱酸 溶 液的 ,假设不同 下均有 。使用数字传感器测得溶液中含R微 粒的物质的量浓度随 的变化如图所示。下列分析不正确的是A.25℃时, 溶液的 B. 溶液和 溶液中 :前者大于后者 C. 的溶液中, D.25℃时 的 ,在足量的 溶液中滴加少量 溶液, 发生反应: 9.(2023·北京朝阳·统考三模)室温下,向10.0mL纯碱(可能含有 )的稀溶液中逐滴加入 0.100mol/L盐酸,滴定曲线如图,其中p、q为滴定终点,下列分析正确的是 A.p→q,选用酚酞做指示剂,到达滴定终点时溶液由红色变为无色 B.由滴定数据可知,原纯碱中 C.p点 的主要原因: D.q点溶液中: 10..(2023·北京海淀·北京市十一学校校考三模)为探究温度、浓度对铝和碳酸钠溶液反应的影响,某兴 趣小组查询了相关资料,并进行了实验探究。以下三组实验均采用了相同形状且等质量的打磨后的铝片。 【文献资料】 (I)铝和碱液的反应实质是铝先和水反应生成 和 ,生成的 和 反应生成 -而 溶解。 (II)碳酸氢钠溶液常温下就能缓慢分解,温度越高分解速率越大。温度/ 溶液 实验 实验现象 ① 25 0.5 5 有细小的气泡 有较多气泡,气体不能使澄清石灰水变浑 ② 25 a 5 浊;用试管收集的气体靠近火焰有爆鸣声 有大量白色絮状沉淀和气泡,气体可使澄 ③ 80 2.0 5 清石灰水变浑浊;气体通过 溶液除 杂后用试管收集,靠近火焰有爆鸣声 下列说法不正确的是 A. B.实验③的反应速率比实验②更大的原因之一是实验③中 浓度更大 C.实验③中的气体为 混合气体,白色沉淀的产生可能是由于 往溶液上方移动时与 反应生成 D.将实验②中的 溶液换成相同浓度的 溶液,无白色沉淀生成 11.(2023·上海浦东新·统考二模)将pH传感器、氯离子传感器、氧气传感器分别插入盛有氯水的广口瓶 中,用强光照射,测得的实验数据如图所示。下列说法正确的是 A.图甲中pH减小是由于光照促进了HClO的电离 B.图乙中 增大主要是由于反应消耗了水 C.图丙中氧气的体积分数增大是由于HClO的分解 D.该体系中存在两个电离平衡和两个化学平衡 12.(2023·浙江·校联考模拟预测) 是一元弱碱。难溶盐RA的饱和溶液中 随 而变化,不发生水解。25℃时, 与 有如图所示线性关系。下列叙述不正确的是 A. 时, B. 的电离平衡常数 C.当溶液 时, D. 的溶解积 13.一种从乙醛工业中产生的废钯(Pd)催化剂(钯5%~6%,炭93%~94%,铁、铜、锌、镍1% ~2%)中提取PdCl 和CuCl 的工艺流程如图所示: 2 2 已知:钯、铜、锌、镍可与氨水形成Pd(NH )等络离子。请回答: 3 (1)“酸溶”时,Pd转化为PdCl ,其化学方程式为_________________________________; 2 该过程需控温70~80 ℃,温度不能太低或太高的原因为 _________________________________ __________________________________________________。 (2)“络合”时,溶液的 pH 需始终维持 8~9,则络合后溶液中含铁离子的浓度 ≤__________________________。[已知:Fe(OH) 、Fe(OH) 的K 分别为4×10-17、2.8×10-39] 2 3 sp 14.二次电池锂离子电池广泛应用于手机和电脑等电子产品中。某常见锂离子电池放电时电池 的总反应为: Li CoO + Li C === LiCoO +C (x<1)。2018年中国回收了全球可回收锂离子 1-x 2 x 6 2 6电池总量的69%。但现阶段我国废旧电池回收仍属于劳动密集型产业,效率仍需提高。一种 回收该锂离子电池中的锂和钴的流程: 已知:①Na S O 是一种中等强度的还原剂,遇强酸分解 2 2 3 ② Li CO 溶解度随温度升高而减小 2 3 (1)控制氢离子浓度为4 mol/L,反应温度90 ℃,测得相同时间内离子的浸出率与Na S O 溶液 2 2 3 的变化关系如图。则酸浸时应选用浓度为________mol/L的Na S O 溶液。Na S O 溶液浓度 2 2 3 2 2 3 增 至 0.3 mol/L 时 , LiCoO 的 浸 出 率 明 显 下 降 , 可 能 的 原 因 是 2 __________________________________________________(用化学方程式结合文字说明)。 (2)已知15 ℃左右 Li CO 的K 为3.2×10-2,该温度下 Li CO 的溶解度约为________g。将萃 2 3 sp 2 3 取后的 Li SO 溶液加热至95 ℃,加入饱和Na CO 溶液,反应10 min,________________(填 2 4 2 3 操作)得 Li CO 粉末。 2 3 15.(2023秋·广东湛江·高三湛江一中校考开学考试)糠酸(熔点133℃,沸点231℃,在热水中溶解度较 大,微溶于冷水)和糠醇(熔点-29℃,沸点171℃)均为重要的化工中间体,工业上可利用糠醛(沸点 161.7℃,易被氧化)发生歧化反应制取这两种物质(该反应为强放热反应),反应原理如下:实验步骤: 步骤1:向三颈烧瓶中加入 (约 )新蒸馏的糠醛,通过仪器A向三颈烧瓶中缓慢滴加 的 溶液。搅拌并保持反应温度为8~12℃,回流 ,得到粗产品。 步骤2:将粗产品倒入盛有 水的烧杯中,然后将液体转移至分液漏斗中,用乙醚萃取4次,分液得到 水层和醚层。 步骤3:向水层中分批滴加25%的盐酸,调至溶液的 ,冷却、结晶、抽滤、冷水洗涤,得到糠酸粗 品;向醚层中加入无水碳酸钾干燥,过滤除掉碳酸钾后,分离乙醚(乙醚的沸点为34.6℃)和糠醇。 回答下列问题: (1)仪器A的名称为 。与直形冷凝管相比,使用仪器B的优点是 。 (2)该反应必须严格控制反应温度为8~12℃,实验中采用了哪些保障措施? 。 (3)步骤3中分离乙醚和糠醇的实验操作为 。 (4)步骤3中洗涤粗糠酸用冷水的原因是 。进一步将粗糠酸提纯,应采用的方法是 。 (5)取 提纯后的糠酸样品,配成 溶液,准确量取 于锥形瓶中,加入几滴酚酞溶液,用 标准溶液滴定,平行滴定三次,平均消耗 标准溶液 。糠酸的纯度为。该中和滴定实验中,若其他实验操作均正确,则下列实验操作造成测得的糠酸的纯度比实际偏低的是 (填标号)。 A.蒸馏水洗净后,末用 标准溶液润洗碱式滴定管 B.指示剂酚酞溶液滴加过多(酚酞是一种弱酸) C.锥形瓶内壁用蒸馏水洗净后,再用配制好的糠酸样品溶液润洗2~3次,将润洗液倒掉,再装入 糠酸样品溶液,进行中和滴定 D.滴定前仰视碱式滴定管液面读数,滴定后俯视碱式滴定管液面读数