当前位置:首页>文档>第9课改革开放的起步核心背记与分层作业_新八下历史_00、更新资料3月23日_新版_第三套_第二套_2026春季新版-持续更新中_00.大单元教案+PPT课件+分层作业第2套已更完第13课

第9课改革开放的起步核心背记与分层作业_新八下历史_00、更新资料3月23日_新版_第三套_第二套_2026春季新版-持续更新中_00.大单元教案+PPT课件+分层作业第2套已更完第13课

  • 2026-04-02 21:14:51 2026-03-30 18:24:08

文档预览

第9课改革开放的起步核心背记与分层作业_新八下历史_00、更新资料3月23日_新版_第三套_第二套_2026春季新版-持续更新中_00.大单元教案+PPT课件+分层作业第2套已更完第13课
第9课改革开放的起步核心背记与分层作业_新八下历史_00、更新资料3月23日_新版_第三套_第二套_2026春季新版-持续更新中_00.大单元教案+PPT课件+分层作业第2套已更完第13课
第9课改革开放的起步核心背记与分层作业_新八下历史_00、更新资料3月23日_新版_第三套_第二套_2026春季新版-持续更新中_00.大单元教案+PPT课件+分层作业第2套已更完第13课
第9课改革开放的起步核心背记与分层作业_新八下历史_00、更新资料3月23日_新版_第三套_第二套_2026春季新版-持续更新中_00.大单元教案+PPT课件+分层作业第2套已更完第13课
第9课改革开放的起步核心背记与分层作业_新八下历史_00、更新资料3月23日_新版_第三套_第二套_2026春季新版-持续更新中_00.大单元教案+PPT课件+分层作业第2套已更完第13课
第9课改革开放的起步核心背记与分层作业_新八下历史_00、更新资料3月23日_新版_第三套_第二套_2026春季新版-持续更新中_00.大单元教案+PPT课件+分层作业第2套已更完第13课
第9课改革开放的起步核心背记与分层作业_新八下历史_00、更新资料3月23日_新版_第三套_第二套_2026春季新版-持续更新中_00.大单元教案+PPT课件+分层作业第2套已更完第13课
第9课改革开放的起步核心背记与分层作业_新八下历史_00、更新资料3月23日_新版_第三套_第二套_2026春季新版-持续更新中_00.大单元教案+PPT课件+分层作业第2套已更完第13课
第9课改革开放的起步核心背记与分层作业_新八下历史_00、更新资料3月23日_新版_第三套_第二套_2026春季新版-持续更新中_00.大单元教案+PPT课件+分层作业第2套已更完第13课
第9课改革开放的起步核心背记与分层作业_新八下历史_00、更新资料3月23日_新版_第三套_第二套_2026春季新版-持续更新中_00.大单元教案+PPT课件+分层作业第2套已更完第13课
第9课改革开放的起步核心背记与分层作业_新八下历史_00、更新资料3月23日_新版_第三套_第二套_2026春季新版-持续更新中_00.大单元教案+PPT课件+分层作业第2套已更完第13课
第9课改革开放的起步核心背记与分层作业_新八下历史_00、更新资料3月23日_新版_第三套_第二套_2026春季新版-持续更新中_00.大单元教案+PPT课件+分层作业第2套已更完第13课
第9课改革开放的起步核心背记与分层作业_新八下历史_00、更新资料3月23日_新版_第三套_第二套_2026春季新版-持续更新中_00.大单元教案+PPT课件+分层作业第2套已更完第13课
第9课改革开放的起步核心背记与分层作业_新八下历史_00、更新资料3月23日_新版_第三套_第二套_2026春季新版-持续更新中_00.大单元教案+PPT课件+分层作业第2套已更完第13课
第9课改革开放的起步核心背记与分层作业_新八下历史_00、更新资料3月23日_新版_第三套_第二套_2026春季新版-持续更新中_00.大单元教案+PPT课件+分层作业第2套已更完第13课
第9课改革开放的起步核心背记与分层作业_新八下历史_00、更新资料3月23日_新版_第三套_第二套_2026春季新版-持续更新中_00.大单元教案+PPT课件+分层作业第2套已更完第13课
第9课改革开放的起步核心背记与分层作业_新八下历史_00、更新资料3月23日_新版_第三套_第二套_2026春季新版-持续更新中_00.大单元教案+PPT课件+分层作业第2套已更完第13课
第9课改革开放的起步核心背记与分层作业_新八下历史_00、更新资料3月23日_新版_第三套_第二套_2026春季新版-持续更新中_00.大单元教案+PPT课件+分层作业第2套已更完第13课

文档信息

文档格式
docx
文档大小
0.518 MB
文档页数
14 页
上传时间
2026-03-30 18:24:08

文档内容

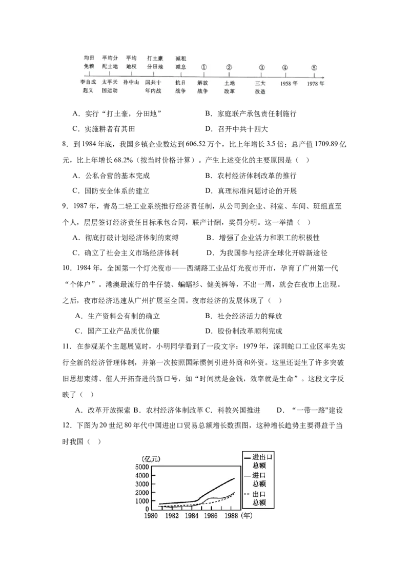
第 9 课 《改革开放的起步》 核心背记与分层作业 硬核干货!核心背记与分层作业,精准提分! 1.农村家庭联产承包责任制 【速记口诀】 小岗包干 197 8 ,联产承包遍地花,乡镇企业异军起,农村旧貌换新颜 【三句话背全文】 1978年安徽凤阳小岗村率先实行包干到户、自负盈亏,农民获得生产自主权,极大调动生 产积极性。 在中央支持倡导下,家庭联产承包责任制 1983年在全国普遍推行,解放农村生产力,推动 农业向专业化、商品化、社会化发展。 随着改革推进,农村废除人民公社制度,建立乡镇基层政权,乡镇企业兴起,为农民致富 和现代化开辟新路。 2.城市经济体制改革初步展开 【速记口诀】首钢试点扩主权,破除大锅促生产,多种经济共发展,城市改革稳步前进 【三句话背全文】 农村改革突破后,城市改革逐步推进,1979年首都钢铁公司等8家企业率先开展扩大企业 自主权试点。 80年代初改革转向经济责任制,将企业、职工利益与经营成果挂钩,打破“吃大锅饭”弊 端,激发企业活力。 为缓解就业压力,国家支持城镇集体经济和个体经济发展,形成以公有制为主体、多种经 济形式并存的所有制结构。 3.对外开放和兴办经济特区【速记口诀】广东福建开特区,一九八零四地立,深圳崛起成窗口,对外开放启新局 【三句话背全文】 改革开放进程中,我国率先吸引利用外资,兴办中外合资、中外合作企业,对外开放逐步 推开。 1980年中央决定在广东的深圳、珠海、汕头和福建的厦门设立经济特区,实行特殊经济政 策和管理体制,提供税收、进出口等优惠条件。 经济特区成为改革开放的 “试验田” 和示范窗口,深圳等边陲小镇快速发展为现代化城 市,彰显敢闯敢试的特区精神。 4.调整外交政策 【速记口诀】 中日缔约中美建,外交政策新转变,和平发展是主题,外部环境更稳健 【三句话背全文】 1978年中日签订和平友好条约,1979年中美正式建立外交关系,美国承认一个中国原则, 台湾是中国领土的一部分。 20世纪80年代,我国根据国际形势调整外交政策,改变战争不可避免的判断,邓小平提 出“和平与发展是当代世界的两大问题”的重要论断。 中国坚持反对霸权主义、维护世界和平,积极发展与各国友好关系,到1989 年建交国达 13 7 个,为改革开放营造良好外部环境。 【想一想】城市经济体制改革的必要性和作用是什么? 【参考答案】 必要性:计划经济下政企不分、企业无自主权,“大锅饭”致效率低;农村改革倒逼城市 突破旧体制;知青返城带来就业压力,单一公有制难以承载。 作用:扩大企业自主权、推行经济责任制,调动生产积极性;形成以公有制为主体的多元 所有制,拓宽就业;为后续改革与市场经济体制奠基。【材料研读】 中国主张世界上所有国家不论大小、富贫、强弱一律平等,坚决反对以大欺小,以富压贫, 以强凌弱。各国的事应由各国人民自己去管,世界上的事应由各国协商解决,而不能由一 两个超级大国说了算。中国自己决不称霸,也坚决反对来自任何方面和以任何形式出现的 霸权主义。 —— 《关于第七个五年计划的报告》(1986年3月25日) 结合材料,谈谈你对我国外交政策调整的认识。 【参考答案】立足“和平与发展”论断,放弃“战争不可避免”认知,服务改革开放。坚 持独立自主和平外交,反对霸权主义,主张国家平等、事务自主。1978年中日缔约、1979 年中美建交,80年代建交高潮(1989年达137国),为改革营造稳定外部环境,彰显大国 担当。 【课后活动】 1.谈谈为什么家庭联产承包责任制受到农民的热烈拥护。 【参考答案】1978年小岗村包干到户让农民获得生产自主权,打破“大锅饭”,多劳多得。 1983年政策全国普及,粮食增产(如小岗村1979 年丰收),解决温饱、增加收入。废除 人民公社,建乡镇政权,契合农村生产力水平,操作简便见效快。 2.1984年,邓小平视察深圳、珠海、厦门经济特区后说:“特区是个窗口,是技术的窗口, 管理的窗口,知识的窗口,也是对外政策的窗口。从特区可以引进技术,获得知识,学到 管理,管理也是知识。特区成为开放的基地,不仅在经济方面、培养人才方面使我们得到 好处,而且会扩大我国的对外影响。” 结合邓小平这段话,谈谈经济特区对我国改革开放和社会主义现代化建设起到了哪些作用。 【参考答案】 特区是技术、管理、知识、对外政策窗口,引进外资、技术与管理经验,深圳等快速城市 化,提供可复制模式。培养外向型人才,传播市场理念。作为政策试验田,为全国改革探 路。扩大对外影响,助力中国融入全球经济体系。 1.1978年,安徽凤阳县小岗生产队农民订立把土地分到户、实行包干到户的合同书。此 事推动了( )A.新解放区的土地改革 B.农业合作化运动 C.人民公社化运动 D.家庭联产承包责任制 2.随着农业生产向专业化、商品化、社会化发展,为农民致富和实现现代化开辟一条新路 的是( ) A.农村乡镇企业 B.农业生产合作社 C.“一五”计划 D.实行对外开放 3.1984年10月,中共十二届三中全会通过了《中共中央关于经济体制改革的决定》,提 出要发展社会主义商品经济。这一决定( ) A.改善了我国工业化布局 B.推动了城市经济体制改革 C.确立了民主集中制原则 D.有利于新中国政权的巩固 4.郑举选,风云一时的全国个体工商户传奇性代表,也是武汉市汉正街市场发展的里程碑 式人物。2018年12月18日,党中央、国务院授予郑举选同志改革先锋称号,并被评为小 商品市场“汉正街”模式的主要开创者。郑举选在时代大潮中书写时代传奇的经历反映的 精神品质是( ) A.艰苦创业、无私奉献 B.保家卫国、英雄主义 C.开天辟地、立党为公 D.改革创新、与时俱进 5.1980年,我国设立深圳、珠海、汕头、厦门四个经济特区。设立经济特区的主要目的 是( ) A.探索对外开放的新模式 B.解决沿海地区的就业问题 C.发展重工业,增强国防实力 D.实现与港澳地区的经济对接 6.1979年,中美正式建立外交关系。中美建交的前提是( ) A.美国承认世界上只有一个中国,台湾是中国领土不可分割的一部分 B.美国放弃对台湾的任何支持 C.美国与台湾断绝一切外交关系 D.美国承认中华人民共和国是唯一合法政府 7.下面是中国共产党历史上实行的土地政策的时间轴,⑤处应是( )A.实行“打土豪,分田地” B.家庭联产承包责任制施行 C.实施耕者有其田 D.召开中共十四大 8.到1984年底,我国乡镇企业数达到606.52万个,比上年增长3.5倍;总产值1709.89亿 元,比上年增长68.2%(按当时价格计算)。产生上述变化的主要原因是( ) A.公私合营的基本完成 B.农村经济体制改革的推行 C.国防安全体系的建立 D.真理标准问题讨论的开展 9.1987年,青岛二轻工业系统推行经济责任制,从公司到企业、科室、车间、班组直至 个人,层层签订经济责任目标承包合同,联产计酬,奖罚分明。这一举措( ) A.彻底打破计划经济体制的束缚 B.增强了企业活力和职工的积极性 C.确立了社会主义市场经济体制 D.为我国参与经济全球化开辟新途径 10.1984年,全国第一个灯光夜市——西湖路工业品灯光夜市开市,孕育了广州第一代 “个体户”。港澳最流行的牛仔装、蝙蝠衫、健美裤等,不出一周,就会在夜市上出现。 之后,夜市经济迅速从广州扩展至全国。夜市经济的发展体现了( ) A.生产资料公有制的确立 B.社会经济活力的释放 C.国产工业产品质优价廉 D.股份制改革顺利完成 11.在参观某个主题展览时,小明同学看到了一段文字:1979年,深圳蛇口工业区率先实 行全新的经济管理体制,并第一次按照国际惯例引进外商和外资。这里还诞生了许多突破 旧思想束缚、催人开拓奋进的新口号,如“时间就是金钱,效率就是生命”。这段文字反 映了( ) A.改革开放探索 B.农村经济体制改革C.科教兴国推进 D.“一带一路"建设 12.下图为20世纪80年代中国进出口贸易总额增长数据图,这种增长趋势主要得益于当 时我国( )A.加入世界贸易组织 B.实施第一个五年计划 C.实行家庭联产承包责任制 D.建立经济特区和开放沿海城市 13.20世纪70年代,发达资本主义国家遭遇二战后最为严重的经济危机,这些国家的企 业为寻找出路,瞄准了中国市场。1978年5月,邓小平指出:“这些发达国家有很多困难, 它们的资金没有出路,愿意把钱借给我们。”经过谈判,中国政府与日本、意大利等国签 署了贷款协议。这说明当时我国发展经济的有利因素是( ) A.经济特区的设立 B.拨乱反正的完成 C.三中全会的召开 D.国际环境的变化 14.1979年3月25日,“柳林海”轮从上海港启航,横跨太平洋,航行1.2万海里后,于 4月18日首次抵达美国西雅图港,结束了中美两国几十年不通航的历史。与中美通航有直 接关系的事件是( ) A.抗美援朝战争胜利 B.中国恢复联合国合法席位 C.中美两国正式建交 D.美国总统尼克松访问中国 15.中国共产党自成立以来,在不同历史时期分别采取了“打土豪,分田地”“地主减租 减息、农民交租交息”“没收地主土地,实行耕者有其田”“家庭联产承包责任制”等举 措。这些举措主要体现了中国共产党始终致力于( ) A.摧毁封建土地剥削制度 B.对农业社会主义改造 C.为中国人民谋幸福的使命 D.确立农民土地所有制 16.新闻照片可以作为研究历史的图像史料。下图为一位美籍华人与中国国际旅行社共同 成立的新中国第一家合资豪华饭店——建国饭店的开业照片。投资人坐着喝咖啡,服务员 身上都穿着西式衬衫,脚上却有人穿皮鞋、有人还在穿“解放鞋”。该照片最有可能拍摄 于( )A.1949年 B.1972年 C.1980年 D.2001年 17.阅读下列材料,回答问题。 材料一 农村政策放宽后,一些适宜搞包产到户的地方,搞了包产到户,效果很好, 变化很快。 ——摘自邓小平《关于农村政策问题》 材料二 现行体制的条条框框捆住了我们的手脚,国有企业缺乏应有的自主权,只有 压力,没有动力,更谈不上活力,严重压抑了企业和广大职工群众的积极性、主动性、创 造性。使本来应该生机盎然的社会主义经济在很大程度上失去了活力。 ——摘编自《复兴之路》 (1)材料一中放宽后的农村政策指的是什么?这一政策“效果很好”好在哪里? (2)据材料二,指出国有企业改革的原因。结合所学,分析政府是如何增强企业活力的? (3)请给以上探究拟一个合适的主题。 18.阅读下列材料,回答问题。 材料一 1978年12月,中共十一届三中全会在北京召开。这次会议冲破了长期 “左”的错误的严重束缚,确定了解放思想、开动脑筋、实事求是、团结一致向前看的指 导方针,果断结束“以阶级斗争为纲”,重新确立马克思主义的思想路线、政治路线、组 织路线,作出了把党和国家的工作中心转移到经济建设上来、实行改革开放的历史性决策。 材料二 1984年,邓小平视察深圳等经济特区后,认为特区不是搞资本主义,而是 搞社会主义。他指出:“特区是个窗口,是技术的窗口,管理的窗口,知识的窗口,也是 对外政策的窗口。” (1)根据材料一,简述中共十一届三中全会的历史意义。 (2)请列举除深圳外其它任一个经济特区名称,根据材料二,概括经济特区的作用。 (3)结合所学知识,说明改革开放的历史必然性。题号 1 2 3 4 5 6 7 8 答案 D A B D A A B B 题号 9 10 11 12 13 14 15 16 答案 B B A D D C C C 1.D 【详解】根据所学知识可知,1978年,安徽凤阳县小岗生产队农民订立把土地分到户、实 行包干到户的合同书,家庭联产承包责任制由此逐渐确立并推行,D项正确;新解放区的 土地改革是在1950年开始实行的,到1952年已经完成,时间上不符合题意,排除A项; 农业合作化运动是对农业进行社会主义改造的方式,发生在1953-1956年,排除B项;人 民公社化运动是1958年开始的,是“左”倾错误的反映,排除C项。故选D项。 2.A 【详解】据题干“农业生产向专业化、商品化、社会化发展”和所学知识可知,随着农业 生产向专业化、商品化、社会化发展,农村乡镇企业迅速发展起来。乡镇企业为农村致富 和实现现代化开辟了一条新路,A项正确;农业生产合作社属于1950年代农业集体化运动, 排除B项;一五计划侧重于工业建设,排除C项;对外开放主要针对城市和外贸领域,排 除D项。故选A项。 3.B 【详解】根据所学可知,1984年《中共中央关于经济体制改革的决定》明确提出发展社会 主义商品经济,并以此为指导思想,重点推进城市经济体制改革(如国企改革、价格改革 等),B项正确;我国工业化布局的改善是一个长期、系统且战略性的过程,涉及国家经 济、资源分布、地缘政治等多方面因素,如西部大开发、中部崛起等战略。材料关注城市 经济体制改革,是改善工业化布局的一个因素,不符合题意,排除A项;1945年中共七大 确立了民主集中制原则,早于材料时间,排除C项;新中国政权的巩固与抗美援朝、土地 改革等有关,与材料时间不符,排除D项。故选B项。 4.D 【详解】据题干“党中央、国务院授予郑举选同志改革先锋称号,并被评小商品市场‘汉 正街’模式的主要开创者。”结合所学可知,“汉正街模式”是打破计划经济、探索市场经济的创新实践,“改革先锋”称号体现党中央对其推动改革的肯定,郑举选顺应时代需 求发展个体经济,体现了“与时俱进”,D项正确;题干强调的是制度创新而非单纯吃苦 奉献,排除A项;保家卫国、英雄主义属于革命战争或国防领域,与个体经济改革无关, 排除B项;开天辟地、立党为公特指中国共产党成立的历史意义(如红船精神),与题干 无关,排除C项。故选D项。 5.A 【详解】据所学可知,经济特区的设立是为了“探索对外开放的新模式”,通过吸引外资、 引进技术和管理经验,为全国改革开放积累经验,A项正确;“解决就业问题”是经济特 区发展的附带效果,并非主要目的,排除B项;“发展重工业”与特区以轻工业、加工贸 易为主的定位不符,排除C项;“与港澳经济对接”是地理位置带来的优势,但非设立的 根本目标,排除D项。故选A项。 6.A 【详解】据题干“中美建交的前提条件。”结合所学可知,1979年中美建交的核心前提是 美国承认一个中国原则。中美建交的关键前提是美国必须承认“世界上只有一个中国,台 湾是中国领土不可分割的一部分”,A项正确。“放弃对台湾的任何支持”不符合史实, 美国仍通过《与台湾关系法》保持非官方联系,排除B项;“与台湾断绝一切外交关系” 是建交后的具体行动,而非前提条件,排除C项;“承认中华人民共和国是唯一合法政 府”是建交的必然结果,而非前提,排除D项。故选A项。 7.B 【详解】据图示信息可知,时间轴中⑤处对应的时间为1978年。“家庭联产承包责任制施 行”始于1978年安徽凤阳小岗村的试点,随后在全国推广,符合1978年的时间节点,B 项正确;“实行‘打土豪,分田地’”是国共十年内战时期(1927—1937年)的土地政策, 对应时间轴中“国共十年内战”阶段,与1978年不符,排除A项;“实施耕者有其田”是 解放战争时期(1945—1949年)及新中国成立初期土地改革(1950—1952年)的政策,对 应时间轴中“解放战争”“土地改革”阶段,与1978年不符,排除C项;“召开中共十四 大”是1992年,提出建立社会主义市场经济体制,时间与1978年不符,排除D项。故选 B项。 8.B 【详解】据题干“到1984年底,我国乡镇企业数达到606.52万个,比上年增长3.5倍;总 产值1709.89亿元,比上年增长68.2%(按当时价格计算)”和所学知识可知,农村经济体制改革的推行指家庭联产承包责任制的实施,解放了农村生产力,剩余劳动力转向乡镇企 业,直接促进了其发展,B项正确;公私合营属于1956年社会主义改造的内容,与1984 年无关,排除A项;国防安全体系与经济发展无直接关联,排除C项;真理标准问题讨论 是1978年的思想解放运动,为改革开放奠定基础,但非直接推动乡镇企业发展的原因,排 除D项。故选B项。 9.B 【详解】根据题干“1987年,青岛二轻工业系统推行经济责任制,从公司到企业、科室、 车间、班组直至个人,层层签订经济责任目标承包合同,联产计酬,奖罚分明。”和所学 知识可知,这种承包责任制有利于激发企业活力,调动职工的生产积极性,B项正确; 1987年计划经济体制仍占主导,“彻底打破”表述过于绝对,排除A项;社会主义市场经 济体制是在21世纪初才基本确立,与题干时间不符,排除C项;题干举措是国内企业的改 革,与参与经济全球化无直接关联,排除D项。故选B项。 10.B 【详解】据题干“港澳最流行的牛仔装、蝙蝠衫、健美裤等,不出一周,就会在夜市上出 现。之后,夜市经济迅速从广州扩展至全国。”和所学知识可知,1978年改革开放后,国 家逐步放宽对经济的管控,鼓励多种所有制经济共同发展。1984年夜市经济兴起、“个体 户”涌现,港澳流行服饰快速在国内夜市出现,反映了民营经济(个体经济)蓬勃发展、 市场交易活跃,充分体现了社会经济活力的释放,B项正确;“生产资料公有制的确立” 是1956年三大改造的结果,与题干时间不符,排除A项;题干中强调的是“港澳最流行的 牛仔装、蝙蝠衫、健美裤”在国内夜市出现,重点在于流行文化的传播与个体经济发展, 而非“国产工业产品质量、价格”,排除C项;“股份制改革”主要涉及国企改革,高潮 在1990年代,与1984年个体经济无关,排除D项。故选B项。 11.A 【详解】据题干"1979年,深圳蛇口工业区率先实行全新的经济管理体制,并第一次按照 国际惯例引进外商和外资""时间就是金钱,效率就是生命"和所学知识可知,1979年正值改 革开放初期,深圳蛇口工业区率先打破计划经济体制束缚,实行全新的经济管理体制,按 照国际惯例引进外商和外资,诞生"时间就是金钱,效率就是生命"等新口号,体现了改革 开放探索,A项正确;材料反映的是城市经济体制改革,并非农村家庭联产承包责任制, 排除B项;科教兴国战略提出于1995年,与题干时间不符,排除C项;"一带一路"建设始 于2013年,时间不符,排除D项。故选A项。12.D 【详解】根据题干信息“20世纪80年代中国进出口贸易总额增长数据图”并结合所学知 识可知,1980年我国设立经济特区,1984年开放14个沿海城市,逐步扩大对外开放,直 接推动了进出口贸易的快速增长,与图表趋势相符,D项正确;中国加入世界贸易组织是 在2001年,不属于80年代,排除A项;第一个五年计划实施于1953—1957年,与题干时 间不符,排除B项;家庭联产承包责任制是农村改革措施,主要促进农业发展,与进出口 贸易增长无直接关联,排除C项。故选D项。 13.D 【详解】根据材料可知,20世纪70年代发达国家面临经济危机,主动寻求与中国合作, 邓小平在1978年5月提出利用外资,随后中国与日本等国签署贷款协议,因此20世纪70 年代中美关系缓和及西方经济危机促使国际资本流入中国,为中国发展提供了外部条件, 说明我国发展经济的有利因素是国际环境的变化,D项正确;“经济特区设立”是在1980 年,与题干时间不符,排除A项;“拨乱反正的完成”主要指政治领域的调整,且完成时 间在1978年12月十一届三中全会后,排除B项;“三中全会召开”是在1978年12月, 晚于题干中的5月,排除C项。故选D项。 14.C 【详解】根据题干信息“1979年3月25日”和“结束了中美两国几十年不通航的历史”并 结合所学知识可知,中美于1979年1月1日正式建交,直接推动两国关系正常化,通航是 建交后的具体成果,C项正确;抗美援朝战争是新中国成立初期(1950—1953年)反抗美 国侵略、保家卫国的战争,此时中美处于敌对状态,战争胜利后两国仍长期隔绝,与1979 年通航无直接关联,排除A项;1971年第26届联合国大会恢复中国合法席位,这是中国 国际地位提升的重要标志,但该事件主要涉及中国与联合国及国际社会的关系,并未直接 推动中美两国结束敌对、实现通航,排除B项;1972年尼克松访华,标志着中美关系开始 走向正常化(“破冰”),但此次访问并未实现两国正式建交,中美仍处于非外交关系状 态,通航等实质交流尚未启动,因此不属于“直接关系”,排除D项。故选C项。 15.C 【详解】根据题干“打土豪,分田地”“地主减租减息、农民交租交息”等不同历史时期 的土地举措和所学知识可知,这些举措始终围绕农民利益与农业发展展开——土地革命时 期满足农民土地需求,抗日战争时期兼顾地主与农民利益以团结抗战,解放战争时期彻底 废除封建剥削,改革开放后激发农民生产积极性,核心都是为了改善农民生活、促进农业发展,体现了中国共产党始终致力于为中国人民谋幸福的使命,C项正确;“摧毁封建土 地剥削制度”仅对应土地革命和解放战争时期的举措,不能涵盖抗日战争时期和家庭联产 承包责任制,排除A项;“对农业社会主义改造”是1953-1956年的历史事件,与题干中 多个时期的举措无关,排除B项;“确立农民土地所有制”仅适用于土地革命和解放战争 时期,家庭联产承包责任制是在土地公有制基础上实行的,并非确立农民土地所有制,排 除D项。故选C项。 16.C 【详解】根据题干“新中国第一家合资豪华饭店”和结合所学知识可知,合资企业的出现 是改革开放后的产物。1978年十一届三中全会后中国开始改革开放,允许中外合资经营。 1980年处于改革开放初期,1979年《中外合资经营企业法》颁布,允许外资进入,符合第 一家合资饭店的背景,C项正确;1949年新中国成立初期,实行计划经济,无中外合资企 业,排除A项;1972年中美关系正常化,但改革开放尚未开始,中外合资未出现,排除B 项;2001年中国加入WTO,中外合资已普遍,并非“第一家”。图片中服务员西式衬衫 与“解放鞋”并存,反映改革开放初期新旧生活方式的过渡,符合80年代初特征,排除D 项。故选C项。 17.(1)政策:家庭联产承包责任制。 好的表现:①激发了农民的劳动热情;②带来了农村生产力的大解放;③农业生产和农民 收入均有很大提高。 (2)原因:现行体制的束缚,企业缺乏自主权,没有积极性,没有活力。 办法:实行政企分开,逐步扩大企业的生产经营自主权,实行经营责任制;实行以按劳分 配为主体、多种分配方式并存的制度。 (3)主题:改革开放时期的经济体制改革。 【详解】(1)政策:根据材料一“农村政策放宽后,一些适宜搞包产到户的地方,搞了包 产到户”和结合所学知识,可得出这一政策是家庭联产承包责任制。家庭联产承包责任制 是在土地公有制基础上,把土地长期承包给各农户使用,农业生产基本上变为分户经营、 自负盈亏。 表现:在实行家庭联产承包责任制前,农村人民公社体制下,集体劳动、平均分配,农民 生产积极性不高,而家庭联产承包责任制使农民有了生产经营的自主权,多劳多得,极大 地激发了农民的生产积极性。农民积极投入农业生产,提高了劳动效率,解放了农村生产 力,进而推动农业生产快速发展,粮食产量等大幅提升,农民的收入也随之增加,生活得到改善。因此可得出表现是:①激发了农民的劳动热情;②带来了农村生产力的大解放; ③农业生产和农民收入均有很大提高。 (2)原因:根据材料二“现行体制的条条框框捆住了我们的手脚,国有企业缺乏应有的自 主权,只有压力,没有动力,更谈不上活力,严重压抑了企业和广大职工群众的积极性、 主动性、创造性”可得出在计划经济体制下,政府对国有企业管得过多过死,企业没有自 主决策、自主经营的权力,职工的积极性也因缺乏激励机制而受到压抑,导致整个社会主 义经济缺乏活力,所以国有企业需要改革。故原因:现行体制的束缚,企业缺乏自主权, 没有积极性,没有活力。 办法:结合所学知识可得出,过去政府直接管理企业的生产经营等各个环节,政企不分, 改革后,实行政企分开,政府把生产经营的权力下放给企业,让企业能够根据市场需求和 自身情况,自主决策生产什么、生产多少、如何生产等,扩大了企业的生产经营自主权; 实行经营责任制,明确企业的责任和利益,促使企业提高经营管理水平。 调整所有制结构: 单一的公有制经济形式难以适应复杂的经济发展需求,改革后,发展以公有制经济为主体 的多种所有制经济共同发展的格局,允许个体经济、私营经济等非公有制经济存在和发展, 引入竞争机制,为经济发展注入活力; 过去的平均主义分配方式,干多干少一个样,干好 干坏一个样,严重影响职工积极性,改革后,实行按劳分配为主、多种分配方式并存的制 度,打破平均主义,鼓励多劳多得,奖勤罚懒,充分调动了企业职工的生产积极性和创造 性。故办法:实行政企分开,逐步扩大企业的生产经营自主权,实行经营责任制;实行以 按劳分配为主体、多种分配方式并存的制度。 (3)主题:综合上述材料和结合所学知识可得出,材料一围绕农村经济体制改革(家庭联 产承包责任制)展开,材料二围绕城市经济体制改革(国有企业改革)展开,而农村和城 市的经济体制改革都是中国改革开放的重要组成部分,是在改革开放的大背景下,对经济 体制进行的探索和调整,以解放和发展生产力,所以拟定“改革开放时期的经济体制改 革”这一主题,能够涵盖两则材料的核心内容。 18.(1)意义:十一届三中全会是新中国成立以来党的历史上具有深远意义的伟大转折,开 启了改革开放和社会主义现代化建设的新时期。 (2)珠海;汕头;厦门;(答出任意1个即可)经济特区引进了外国先进技术和管理经验, 发展外向型经济,成为我国对外开放的窗口和基地。 (3)社会基本矛盾运动的必然要求;人民希望提高生活水平的要求 【详解】(1)历史意义:根据材料一“作出了把党和国家的工作中心转移到经济建设上来、实行改革开放的历史性决策”以及结合所学知识可知,十一届三中全会作出了党的工作重 心转移到经济建设上来、实行改革开放的的伟大决策,将党领导的社会主义事业引向健康 发展的道路,是新中国成立以来党的历史上具有深远意义的伟大转折,开启了改革开放和 社会主义现代化建设的新时期。 (2)名称:据所学知识,1980年,我国在广东的深圳、珠海、汕头和福建的厦门设置四 个经济特区,因此,除深圳外还可以列举珠海;汕头;厦门。 作用:根据材料二“特区是个窗口,是技术的窗口,管理的窗口,知识的窗口,也是对外 政策的窗口”并结合所学可知,经济特区是我国对外开放的重要开端,它作为对外开放的 “窗口”和试验田,在吸引外资、引进先进技术和管理经验,推动国内的经济体制改革, 扩大对外经济交流,促进社会主义现代化建设等方面发挥了重要作用,为后续全国范围内 的改革开放积累了宝贵经验。因此经济特区引进了外国先进技术和管理经验,发展外向型 经济,成为我国对外开放的窗口和基地。 (3)历史必然性:结合所学改革开放的原因知识可知,从根本原因和社会原因分析,如: 我国实行改革开放的原因是社会基本矛盾运动(生产力与生产关系的关系)的必然要求; 人民希望提高生活水平的要求。