当前位置:首页>文档>2010年全国初中学生化学素质和实验能力竞赛(第二十届天原杯)复赛试题_初中化学_01.人教版初中化学_01.初中化学课件PPT--教案--试题_初中化学全套_化学试题

2010年全国初中学生化学素质和实验能力竞赛(第二十届天原杯)复赛试题_初中化学_01.人教版初中化学_01.初中化学课件PPT--教案--试题_初中化学全套_化学试题

  • 2026-05-12 00:25:08 2026-04-02 14:51:01

文档预览

2010年全国初中学生化学素质和实验能力竞赛(第二十届天原杯)复赛试题_初中化学_01.人教版初中化学_01.初中化学课件PPT--教案--试题_初中化学全套_化学试题
2010年全国初中学生化学素质和实验能力竞赛(第二十届天原杯)复赛试题_初中化学_01.人教版初中化学_01.初中化学课件PPT--教案--试题_初中化学全套_化学试题
2010年全国初中学生化学素质和实验能力竞赛(第二十届天原杯)复赛试题_初中化学_01.人教版初中化学_01.初中化学课件PPT--教案--试题_初中化学全套_化学试题
2010年全国初中学生化学素质和实验能力竞赛(第二十届天原杯)复赛试题_初中化学_01.人教版初中化学_01.初中化学课件PPT--教案--试题_初中化学全套_化学试题
2010年全国初中学生化学素质和实验能力竞赛(第二十届天原杯)复赛试题_初中化学_01.人教版初中化学_01.初中化学课件PPT--教案--试题_初中化学全套_化学试题
2010年全国初中学生化学素质和实验能力竞赛(第二十届天原杯)复赛试题_初中化学_01.人教版初中化学_01.初中化学课件PPT--教案--试题_初中化学全套_化学试题
2010年全国初中学生化学素质和实验能力竞赛(第二十届天原杯)复赛试题_初中化学_01.人教版初中化学_01.初中化学课件PPT--教案--试题_初中化学全套_化学试题
2010年全国初中学生化学素质和实验能力竞赛(第二十届天原杯)复赛试题_初中化学_01.人教版初中化学_01.初中化学课件PPT--教案--试题_初中化学全套_化学试题
2010年全国初中学生化学素质和实验能力竞赛(第二十届天原杯)复赛试题_初中化学_01.人教版初中化学_01.初中化学课件PPT--教案--试题_初中化学全套_化学试题
2010年全国初中学生化学素质和实验能力竞赛(第二十届天原杯)复赛试题_初中化学_01.人教版初中化学_01.初中化学课件PPT--教案--试题_初中化学全套_化学试题
2010年全国初中学生化学素质和实验能力竞赛(第二十届天原杯)复赛试题_初中化学_01.人教版初中化学_01.初中化学课件PPT--教案--试题_初中化学全套_化学试题
2010年全国初中学生化学素质和实验能力竞赛(第二十届天原杯)复赛试题_初中化学_01.人教版初中化学_01.初中化学课件PPT--教案--试题_初中化学全套_化学试题
2010年全国初中学生化学素质和实验能力竞赛(第二十届天原杯)复赛试题_初中化学_01.人教版初中化学_01.初中化学课件PPT--教案--试题_初中化学全套_化学试题
2010年全国初中学生化学素质和实验能力竞赛(第二十届天原杯)复赛试题_初中化学_01.人教版初中化学_01.初中化学课件PPT--教案--试题_初中化学全套_化学试题

文档信息

文档格式
doc
文档大小
5.019 MB
文档页数
10 页
上传时间
2026-04-02 14:51:01

文档内容

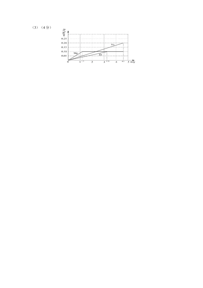
2010年全国初中学生化学素质和实验能力竞赛(第二十届天原杯)复赛试题 题 号 一 二 三 四 总 分 得 分 试题说明:1.本试卷共8页,满分100分。(附加题供选用) 2.可能用到的相对原子质量: H:1 C:12 N:14 O:16 Na:23 Mg:24 Si:28 S:32 Cl:35.5 K:39 Ca:40 Fe:56 Cu:64 Zn:65 Ba:137 3.考试时间:2小时 一、选择题(本题包括15个小题,每小题2分,共30分。每小 得分 评卷人 题有1个或2个选项符合题意。若有两个答案的错1个不得分, 漏选1个扣1分。请将答案填在下表相应题号的空格内。) 题 号 1 2 3 4 5 6 7 8 9 10 11 12 13 14 15 答 案 1.2009年12月在哥本哈根召开了世界气候大会。各国共同协商对策,以减少温室气体排放 量。下列气体中不属于温室气体的是( ) A.甲烷 B.臭氧 C.二氧化碳 D.二氧化硫 2.从探测“土卫六”发回的信息中得知“土卫六”酷似地球经常下“雨”,不过“雨”的 成分是液态甲烷。下列叙述中错误的是( ) A.这种“雨”可以作为燃料来提供能量 B.“土卫六”表面的温度比地球表面低 C.“土卫六”上形成了甲烷的气-液循环 D.“土卫六”表面是否存在有机物还无法确定 3.有一种用实际参加化学反应的离子符号来表示化学反应的式子叫离子方程式,在离子方 程式中,反应前后的电荷是守恒的。现有如下离子方程式:ROn-+F+2OH-=RO-+2F-+ 3 2 4 HO,由此可知在ROn-中,元素R的化合价是( ) 2 3 A.+4 B.+5 C.+6 D.+7 4.科学家发现在特殊条件下水能表现出有趣的结构 和性质。例如,在一定条件下给水施加弱电场,能使水 在常温常压下结成冰(俗称“热冰”,结构见右图)。 下列说法正确的是( ) A.在弱电场下,水分子的排列从无序转变为有序 B.水结成“热冰”的过程中原子个数发生变化 C.上述变化过程中分子之间的间隔没有发生变化 D.利用该性质,人们可能在常温常压下建成溜冰场 5.德国化学家格哈德·埃特尔在固体表面化学的研究中取得了非凡的成就,其成果之一是揭 示了氮气与氢气在催化剂表面合成氨的反应过程(下图所示)。符合上述反应过程的顺序是( ) A.⑤④①③② B. ④⑤①②③ C. ④⑤①③② D. ⑤④①②③ 6.下列解释不科学的是( ) A.在溶洞中,当溶有Ca(HCO ) 的水液发生分解,析出固体(在洞顶或洞底),日久天长便 3 2 形成了钟乳石 B.长期盛放NaOH溶液的试剂瓶不易打开,是因为NaOH与瓶中的CO 反应导致瓶内气 2 压小于瓶外大气压的缘故 C.“通风橱”是利用排风扇将橱内废气直接排放到室外的装置,它是一种不完善的防污 设施 D.高压氧舱可治疗煤气中毒,原因是和血红蛋白结合的CO跟氧气反应生成无毒的CO 2 7.在a、b两支试管中加入体积相同的同种生铁块。在a中加入食盐水, 塞上橡皮塞,如右图。U型玻璃管内为红墨水(开始时两端液面等高)。 放置一段时间后,下列有关叙述错误的是( ) A.生铁块中的主要成分是铁,也含有少量的碳 B.红墨水柱两边的液面变为左低右高 C.两试管中铁均被锈蚀 D.a试管中发生的反应是:2C+2Fe+3O =2FeCO 2 3 8.原子序数在1~18之间的四种元素甲、乙、丙、丁,其最外层电子数的总和为13,甲、乙和 丙是具有相同电子层数的相邻元素,则丁一定不是( ) A.氢 B.氯 C.氧 D.铍 9.下列装置所示的实验中,能达到实验目的的是( ) 10.已知所含元素化合价发生变化的反应是氧化还原反应,其中被还原的元素化合价降低, 被氧化的元素化合价升高。海洋中有丰富的资源,如下图所示利用海水可获得许多化工产品。 下列有关说法正确的是( ) A.第①步中除去粗盐中的SO 2-、Ca2+、Mg2+等杂质,加入的试剂顺序为: 4 NaCO 溶液、NaOH溶液、BaCl 溶液,过滤后加盐酸 2 3 2 B.第②步中加入的试剂为CaCl 溶液 2C.第③步中发生分解反应 D.在第④步中溴元素被还原 11.在一个密闭的钢筒内有甲、乙、丙、丁四种物质,在电火花作用下,发生充分反应,测得反 应前后各物质的质量如下: 甲 乙 丙 丁 反应前质量 / g 64 10 1 25 反应后质量 / g ------ 54 37 9 已知甲的相对分子质量为丁的2倍,则该反应的化学方程式中甲与丁的化学计量数之比为 ( ) A.1∶2 B.1∶1 C.2∶ 1 D.2∶3 12.下列所示的图像能反映相对应实验的是( ) A、向pH=12的Ca(OH) 溶液中不断加水稀释 2 B.向碳酸钙固体中逐滴加入稀盐酸至过量 C.在40℃,将饱和的硝酸钾溶液恒温蒸发水分至有白色晶体析出 D.将足量的金属镁片和锌片分别和等质量的相同质量分数的稀硫酸混合 13.在“绿色化学工艺”中,最好是反应物中原子全部转化为欲制得的产物,即原子的利用 率为100%。在用C H(丙炔)合成C HO(2-甲基丙烯酸甲酯)的过程中,欲使原子的利用率达 3 4 5 8 2 到最高,在催化剂作用下还需要其他的反应物是( ) A.CO和CHOH B.CO 和HO C.H 和CO D.CHOH和H 3 2 2 2 3 2 14.右图是甲、乙两种物质的溶解度曲线。在t℃时向盛有100 g水的 2 烧杯中先后加入w g甲 和w g乙(两种物质溶解时互不影响),充分搅 拌。将混合物的温度降低到t℃。下列说法正确的是( ) 1 A.甲物质的溶解度随温度升高而减小 B.温度降低到t℃时,得到甲、乙的饱和溶液 1 C.温度降低到t℃时,甲、乙的溶质质量分数相等, 1 得到甲、乙的不饱和溶液 D.t℃时,甲物质的溶液为饱和溶液,乙物质的溶液为不饱和溶液 2 15.t℃时,将一定量KNO 的不饱和溶液平均分为三份,分别恒温蒸发出水的质量为5 g、10 3 g、15 g,析出KNO 晶体的质量依次为a g、b g、c g,则a、b、c三者的关系为( ) 3 A.c == a + b B.c == 2 b - a C.c == a + 2 b D.c == 2 a - b 得分 评卷人 二、填空题(本题包括8个小题,共40分) 16.(3分)现有部分常见元素的性质或原子结构如下表: 元素编号 元素性质或原子结构X 由它形成的某种单质气体的密度约为空气的1.1倍 Y 历史上道尔顿曾用 ⊙ 来作为它的元素符号,它的单质是最轻的气体 Z 由它组成的某种单质是细鳞片状的很软的固体,有金属光泽和滑腻感 W K层和M层电子数之和等于L层的电子数 (1)元素X和Y能形成原子个数比为1∶1的化合物,其化学式为______________。 (2)写出元素Z组成的这种单质的一种用途_________________________________。 (3)元素W可形成一种单质,其式量为256,该单质的化学式为_____________。 17.(3分)汽车安装的排气净化器的技术核心是使用高效催化剂,使废气中的CO和NO 在 x 催化剂表面进行氧化还原反应。 (1)写出氮氧化物(用NO 表示)跟CO反应转化为无毒物质的化学方程式 。 x (2)若汽车尾气中含有38 g NO和NO 的混合物,经过充分转化后生成无毒物质的质量(m) 2 范围是 (计算结果保留1位小数)。 18.(7分)现测得二氧化碳在空气中的含量为0.038%,当其含量超过0.05%时就会加剧温室 效应。所以人们一方面想限制其排放量,另一方面又想对它进行再利用。 (1)目前有以超临界(一种介于气态和液态之间的状态)CO 作致冷剂(以前曾用氟利昂),这 2 种做法对环境的积极意义在于 。 (2)有科学家提出回收利用CO 的构想:把空气吹入碳酸钾溶液,从溶液中提取出CO,又在 2 2 合成塔使之变为燃料甲醇(CHOH)。该技术流程如下: 3 (说明:吸收池中盛有饱和的KCO 溶液,合成塔内的反应条件为300℃、200kPa和催化剂。) 2 3 ① 合成塔中反应的化学方程式为 。 ② 请在上述流程图中找出循环利用的物质(标出物质名称和循环方向)。 ③ 如果空气不经过吸收池和分解池,而是直接通入合成塔,你认为可行吗?并简述理由 。 ④ 若生产4.8吨甲醇,则可回收空气中的CO 吨。 2 19.(5分)有核电荷数小于18的A、B、C、D四种元素,A元素组成的单质是清洁的能源;B 单质的体积在空气中占21%;C原子有3个电子层,最内层电子数是最外层的2倍;D元素是 农作物生长所需要的营养元素,其组成的单质可以被豆科植物的根瘤菌吸收、利用。 (1)写出B、D元素的名称:B , D 。 (2)写出A、B可能形成化合物的化学式 、 。 (3)写出由A、B、D三种元素组成的两种化合物之间发生中和反应的化学方程式 。 (4)活泼性强的金属氢化物的化学式可表示为MH ,它与水剧烈反应生成碱和A的单质,请 n 写出C的氢化物与水发生反应的化学方程式 。 20.(6分)某化工厂排出的废水透明、澄清、略显蓝色。一同学取少量废水,用盐酸酸化,有白 色沉淀生成(不溶于稀硝酸)。过滤,将所得的滤液分成两份,一份滤液中加入稀硫酸,也有白 色沉淀生成(不溶于稀硝酸);另一份滤液中加入足量NaOH溶液,产生蓝色沉淀。已知白色 的Fe(OH) 固体在潮湿的空气中可生成红褐色的Fe(OH) 。试回答: 2 3 (1)过滤后,向滤液中滴加NaOH溶液,开始时观察不到蓝色沉淀,原因是: 。 (2)该同学设计了一个从废水中除去重金属离子的实验方案如下:①固体A中一定含有的物质为 (写化学式)。 ②B溶液中的溶质一定含有 (写化学式)。 21.(6分)某校化学兴趣小组在课外活动中,对某溶液进行了多次检验,其中3次检验的结果 如下表所示。 序号 溶液中检验出的物质 1 KCl、KSO、NaCO 2 4 2 3 2 NaSO、BaCl、KCO 2 4 2 2 3 3 NaSO、KCl、KCO 2 4 2 3 阅读上表后回答: (1)表中第________次结果肯定不准确。 (2)为验证其他2次检验结果中是否存在SO 2-、CO2-和Cl-,又进行以下操作:①加入过量 4 3 的___________(填物质名称,下同),目的是检验__________并将其除去;②加入_________ 溶液,过滤;③向滤液中加入__________溶液。该小组同学查阅资料后,发现可以利用焰色反 应来确定溶液中存在的阳离子。 (3)通过上述实验,该小组还是觉得无法确定其他2次检验结果中哪一次是正确的,你认为 可能的原因是_________________________________________________________________。 22.(4分)金属镁可与热水反应生成氢氧化镁,所得溶液呈碱性,可使酚酞溶液显红色。某同 学将镁条放在水中煮沸,趁热取出部分溶液,滴加酚酞溶液,变为红色,放置在空气中一段时 间后,发现溶液的红色褪去了。 (1)溶液的红色褪去说明溶液的碱性 ; (2)据你推测,导致溶液碱性变化的原因是: 。 (3)设计一个实验来验证你的一种推测,简要说明操作、现象及结论。 23.(6分)两种抗胃酸药剂的主要成分及建议每次剂量见下表: 主要成分 NaHCO Mg(OH) 3 2 主要成分相对分子质量 84 58 建议每次剂量/g 0.5 0.3 (1)医生建议胃溃疡患者尽可能不要服用NaHCO 的可能原因是: 3 。 (2)服用Mg(OH) 的药效比服用NaHCO “强”而且“持久”的可能原因是: 2 3 。 (3)服用Mg(OH) 的患者可能出现“轻泻”的原因是: 2 。 得分 评卷人 三、实验题(本题包括3个小题,共20分) 24.(4分)某兴趣小组用右图所示装置收集并测量反应产生的气体及其体积。若用该装置制取氢气,通过分液漏斗中加入30 mL稀盐酸,与平底烧瓶中盛放的0.65 g锌粒充分反应(盐酸足量),已知该温度下氢气的密度为 0.0892 g / L,应能收集到 mL的氢气?3次实验收集到的氢气体积的平均值约为242 mL。你认为造成这种实验误差的 主要原因是 。 25.(4分)你认为下列有关化学实验的叙述是否正确?(在“结论”栏中填“是”或“否”) 序号 实验现象或数据 结论 分别加热溶质的质量分数为1%的NaCO 和NaHCO 溶液, 1 2 3 3 观察气泡的生成可区分出这两种溶液 2 用pH试纸测定一杯敞口久置于空气中的蒸馏水的pH为6 3 配制溶质的质量分数为1%的澄清石灰水备用 用排水法收满3瓶(每瓶250 mL)O[ρ(O)=1.43 g/L],需称 4 2 2 取的氯酸钾的质量为2.74 g 26.(12分)龙海实验学校初三兴趣小组利用如下装置(部分固定装置已略去)制备氮化钙, 并探究其化学式(实验式)。 (1)按图连接好实验装置。检查装置气密性的方法是 。 (2)反应过程中末端导管必须插入试管A的水中,目的是 。 (3)制备氮化钙的操作步骤是:①打开活塞k并通入N;②点燃酒精灯,进行反应;③反应结 2 束后, ;④拆除装置,取出产物。 (4)数据记录如下: 空硬玻璃管质量m/g 硬玻璃管与钙的质量m/g 硬玻璃管与产物的质量m/g 0 1 2 114.8 120.8 122.2 ①计算得到化学式(实验式)CaN,其中x= 。 x 2 ②若通入的N 中混有少量O,如上计算得到的x 3(填写“>”、“=”、“<”),判断 2 2 依 据 是 : 。 得分 评卷人 四、计算题(本题包括2个小题,共10分) 27.(4分)为确定氨的组成,在一定温度、压强下进行如下实验:取20 mL氨,设法使它完全 分解为N 和H,体积为40 mL。加入20 mL O ,当H 和O 完全化合成水,剩余气体体积为 2 2 2 2 2 15 mL(已知一定温度、压强下一定体积各种气体中的分子数相同)。请根据以上数据确定氨 的分子式。28.(6分)取50.00 g某质量分数浓度的NaOH溶液,向 其中通入二氧化碳气体后,再向溶液中逐滴滴入18.25% 的盐酸,产生CO 气体的质量(假设反应后CO 完全逸 2 2 出)与所加的盐酸体积之间的关系如右图所示。(保留两 位小数) (1)计算原NaOH溶液的质量分数浓度。 (2)求NaOH溶液中通入CO 后,所得溶液中的溶质及其质量。(保留两位小数) 2 附加题(10分)已知钠与水反应的化学方程式为:2Na+2HO= 2NaOH+ H ↑。质量均为m g的 2 2 钠、镁、锌三种金属分别与25 g 质量分数为19.6% 的稀硫酸反应。 (1)由于金属的量不确定,产生的氢气的质量大小有多种可能(不考虑镁与水的反应),如镁、 锌产生氢气的质量相同且都小于钠产生的氢气质量的情况表示为Na>Mg=Zn 。请按以上表 示,写出所有可能情况。 ______________________________________________________________________________ (2)试确定,当产生的氢气的质量大小为Na>Mg=Zn时,m的取值范围________________。(3)m= 4.6 时,Zn与酸反应产生H 的质量与金属质量(m)的关系如下图。请在图中再画 2 出钠和镁二种 金属 分 别 与酸反应产生H 2 的质量与金属质量(m)的关系图线。(在图线上用元 素符号注明) 2010年全国初中学生 化学素质和实验能力竞赛(第二十届天原杯)复赛试题参考答案 一、选择题: 题号 1 2 3 4 5 6 7 8 答案 D D B A、D D B、D B、D C、D 题号 9 10 11 12 13 14 15 答案 B、C C C B、D A、C C B 二、填空题:(除标明分数外,其余皆为每空1分) 16.(3分)(1)HO (2)作润滑剂或电极 (3)S 2 2 8 17.(3分)(1)2NO+2xCO=2xCO+N (2) 73.5 g < m < 84.3 g (2分) x 2 218.(7分)(1)起到保护臭氧层的作用 (2)① ② (2分) ③不行。如果直接通入合成塔,由于空气中CO 的 2 含量太低了,不利于生成甲醇的反应进行。(2分) ④ 6.6 19.(5分) ⑴ 氧 氮 ⑵ HO、HO(各0.5分) 2 2 2 ⑶ HNO +NH•H O=NH NO +H O ⑷ NaH+H O=NaOH+H ↑ 3 3 2 4 3 2 2 2 20.(6分)⑴ 滤液中含有未反应盐酸,NaOH会和盐酸发生中和反应 ⑵ ① Fe、Ag、Cu (3分) ② Fe (NO )、Ba(NO ) (2分) 3 2 3 2 21.(6分)(1)2 (2)硝酸 CO2- (过量的)硝酸钡 硝酸银 (3)因为溶液中溶 3 质存在的形态主要是离子,1、3中的离子组成是相同的,区别仅仅是呈现形式不同而已。 22.(4分)(1)减弱 ①溶液吸收了空气中的CO ②氢氧化镁的溶解度随温度的降低 2 变小 (2)做对比实验,让上述红色溶液分别与空气接触和隔绝空气的条件下冷却,若前者褪色, 后者不褪色,则证明空气中的CO 使溶液碱性减弱,导致红色褪去 2 23.(6分)(1)NaHCO 和HCl反应生成气态CO,使胃内气压遽然升高(2分) 3 2 (2)0.3 g Mg(OH) 比0.5 g NaHCO 能中和更多的HCl,所以药效强于NaHCO ;Mg(OH) 2 3 3 2 和HCl反应速率慢于NaHCO 和HCl,所以药效比服用NaHCO 持久 (2分) 3 3 (3)Mg(OH) 和HCl反应生成MgCl 和HO,出现“轻泻”和MgCl 或Mg 有关(2分) 2 2 2 2 三、实验题:(除标明分数外,其余皆为每空1分) 24.(4分)224(2分) 加入酸液的体积“置换出”平底烧瓶中的空气,造成收集的气体体 积的偏大(2分) 25.(4分) 否 是 否 否 26.(12分)(1)关闭活塞k,将末端导管插入试管A的水中,用酒精灯微热硬玻璃管,若导管 末端有气泡冒出,撤去酒精灯冷却后,在导管内形成一段水柱,则证明装置的气密性良好。(2 分) (2)反应过程中导管末端必须始终插入试管A的水中,目的是:防止空气中的氧气通过末端 导管进入实验装置,生成氧化钙,引入杂质。 (2分) (3)继续通入氮气,将末端导管从试管A中撤出水面,再熄灭酒精灯。(2分) (4)①x = 3(2分) ②< 因为钙的总量不变,含有氧化钙的氮化钙总 质量增大[ m(xCaO)>m(CaN),钙与氮(不纯)元素的质量比减小,其个数比也变小,所以x x 2 值会减小。(3分) 四、计算题: 27.(4分)解:N、H、O 体积为60 mL,H 和O 化合成水剩余气体体积为15 mL,消耗45 2 2 2 2 2 mL气体。(1分) 由 2 H + O =2 HO知:消耗30 mL H、15 mL O,剩余气体中 2 2 2 2 2 O 5 mL、N 10 mL。(2分) 2 2 20 mL氨完全分解为10 mL N 和30 mL H ,即1 mL氨由1/2 mL N 和3/2 mL H 2 2 2 2 组成,所以氨的分子式为NH 。(1分) 3 28.(6分)(1)20.00% (2分) (2)m(Na CO)=6.63 g (2分) m(NaHCO )=10.49 g (2分) 2 3 3 附加题(1)(写出一种得1分,写三种且全部正确得4分。) Na>Mg>Zn Na=Mg>Zn、Mg>Na>Zn (2)m≥3.25 (2分)(3)(4分)