当前位置:首页>文档>专题18.33平行四边形(直通中考)(培优练)-(人教版)_初中数学_八年级数学下册(人教版)_专题突破练习-V4

专题18.33平行四边形(直通中考)(培优练)-(人教版)_初中数学_八年级数学下册(人教版)_专题突破练习-V4

  • 2026-04-06 07:51:40 2026-04-06 07:39:29

文档预览

专题18.33平行四边形(直通中考)(培优练)-(人教版)_初中数学_八年级数学下册(人教版)_专题突破练习-V4
专题18.33平行四边形(直通中考)(培优练)-(人教版)_初中数学_八年级数学下册(人教版)_专题突破练习-V4
专题18.33平行四边形(直通中考)(培优练)-(人教版)_初中数学_八年级数学下册(人教版)_专题突破练习-V4
专题18.33平行四边形(直通中考)(培优练)-(人教版)_初中数学_八年级数学下册(人教版)_专题突破练习-V4
专题18.33平行四边形(直通中考)(培优练)-(人教版)_初中数学_八年级数学下册(人教版)_专题突破练习-V4
专题18.33平行四边形(直通中考)(培优练)-(人教版)_初中数学_八年级数学下册(人教版)_专题突破练习-V4
专题18.33平行四边形(直通中考)(培优练)-(人教版)_初中数学_八年级数学下册(人教版)_专题突破练习-V4
专题18.33平行四边形(直通中考)(培优练)-(人教版)_初中数学_八年级数学下册(人教版)_专题突破练习-V4
专题18.33平行四边形(直通中考)(培优练)-(人教版)_初中数学_八年级数学下册(人教版)_专题突破练习-V4
专题18.33平行四边形(直通中考)(培优练)-(人教版)_初中数学_八年级数学下册(人教版)_专题突破练习-V4
专题18.33平行四边形(直通中考)(培优练)-(人教版)_初中数学_八年级数学下册(人教版)_专题突破练习-V4
专题18.33平行四边形(直通中考)(培优练)-(人教版)_初中数学_八年级数学下册(人教版)_专题突破练习-V4
专题18.33平行四边形(直通中考)(培优练)-(人教版)_初中数学_八年级数学下册(人教版)_专题突破练习-V4
专题18.33平行四边形(直通中考)(培优练)-(人教版)_初中数学_八年级数学下册(人教版)_专题突破练习-V4
专题18.33平行四边形(直通中考)(培优练)-(人教版)_初中数学_八年级数学下册(人教版)_专题突破练习-V4
专题18.33平行四边形(直通中考)(培优练)-(人教版)_初中数学_八年级数学下册(人教版)_专题突破练习-V4
专题18.33平行四边形(直通中考)(培优练)-(人教版)_初中数学_八年级数学下册(人教版)_专题突破练习-V4
专题18.33平行四边形(直通中考)(培优练)-(人教版)_初中数学_八年级数学下册(人教版)_专题突破练习-V4
专题18.33平行四边形(直通中考)(培优练)-(人教版)_初中数学_八年级数学下册(人教版)_专题突破练习-V4
专题18.33平行四边形(直通中考)(培优练)-(人教版)_初中数学_八年级数学下册(人教版)_专题突破练习-V4
专题18.33平行四边形(直通中考)(培优练)-(人教版)_初中数学_八年级数学下册(人教版)_专题突破练习-V4
专题18.33平行四边形(直通中考)(培优练)-(人教版)_初中数学_八年级数学下册(人教版)_专题突破练习-V4
专题18.33平行四边形(直通中考)(培优练)-(人教版)_初中数学_八年级数学下册(人教版)_专题突破练习-V4
专题18.33平行四边形(直通中考)(培优练)-(人教版)_初中数学_八年级数学下册(人教版)_专题突破练习-V4
专题18.33平行四边形(直通中考)(培优练)-(人教版)_初中数学_八年级数学下册(人教版)_专题突破练习-V4
专题18.33平行四边形(直通中考)(培优练)-(人教版)_初中数学_八年级数学下册(人教版)_专题突破练习-V4
专题18.33平行四边形(直通中考)(培优练)-(人教版)_初中数学_八年级数学下册(人教版)_专题突破练习-V4
专题18.33平行四边形(直通中考)(培优练)-(人教版)_初中数学_八年级数学下册(人教版)_专题突破练习-V4
专题18.33平行四边形(直通中考)(培优练)-(人教版)_初中数学_八年级数学下册(人教版)_专题突破练习-V4
专题18.33平行四边形(直通中考)(培优练)-(人教版)_初中数学_八年级数学下册(人教版)_专题突破练习-V4
专题18.33平行四边形(直通中考)(培优练)-(人教版)_初中数学_八年级数学下册(人教版)_专题突破练习-V4
专题18.33平行四边形(直通中考)(培优练)-(人教版)_初中数学_八年级数学下册(人教版)_专题突破练习-V4
专题18.33平行四边形(直通中考)(培优练)-(人教版)_初中数学_八年级数学下册(人教版)_专题突破练习-V4
专题18.33平行四边形(直通中考)(培优练)-(人教版)_初中数学_八年级数学下册(人教版)_专题突破练习-V4
专题18.33平行四边形(直通中考)(培优练)-(人教版)_初中数学_八年级数学下册(人教版)_专题突破练习-V4
专题18.33平行四边形(直通中考)(培优练)-(人教版)_初中数学_八年级数学下册(人教版)_专题突破练习-V4
专题18.33平行四边形(直通中考)(培优练)-(人教版)_初中数学_八年级数学下册(人教版)_专题突破练习-V4
专题18.33平行四边形(直通中考)(培优练)-(人教版)_初中数学_八年级数学下册(人教版)_专题突破练习-V4
专题18.33平行四边形(直通中考)(培优练)-(人教版)_初中数学_八年级数学下册(人教版)_专题突破练习-V4
专题18.33平行四边形(直通中考)(培优练)-(人教版)_初中数学_八年级数学下册(人教版)_专题突破练习-V4
专题18.33平行四边形(直通中考)(培优练)-(人教版)_初中数学_八年级数学下册(人教版)_专题突破练习-V4
专题18.33平行四边形(直通中考)(培优练)-(人教版)_初中数学_八年级数学下册(人教版)_专题突破练习-V4
专题18.33平行四边形(直通中考)(培优练)-(人教版)_初中数学_八年级数学下册(人教版)_专题突破练习-V4
专题18.33平行四边形(直通中考)(培优练)-(人教版)_初中数学_八年级数学下册(人教版)_专题突破练习-V4
专题18.33平行四边形(直通中考)(培优练)-(人教版)_初中数学_八年级数学下册(人教版)_专题突破练习-V4
专题18.33平行四边形(直通中考)(培优练)-(人教版)_初中数学_八年级数学下册(人教版)_专题突破练习-V4
专题18.33平行四边形(直通中考)(培优练)-(人教版)_初中数学_八年级数学下册(人教版)_专题突破练习-V4
专题18.33平行四边形(直通中考)(培优练)-(人教版)_初中数学_八年级数学下册(人教版)_专题突破练习-V4
专题18.33平行四边形(直通中考)(培优练)-(人教版)_初中数学_八年级数学下册(人教版)_专题突破练习-V4
专题18.33平行四边形(直通中考)(培优练)-(人教版)_初中数学_八年级数学下册(人教版)_专题突破练习-V4
专题18.33平行四边形(直通中考)(培优练)-(人教版)_初中数学_八年级数学下册(人教版)_专题突破练习-V4
专题18.33平行四边形(直通中考)(培优练)-(人教版)_初中数学_八年级数学下册(人教版)_专题突破练习-V4

文档信息

文档格式
docx
文档大小
4.715 MB
文档页数
48 页
上传时间
2026-04-06 07:39:29

文档内容

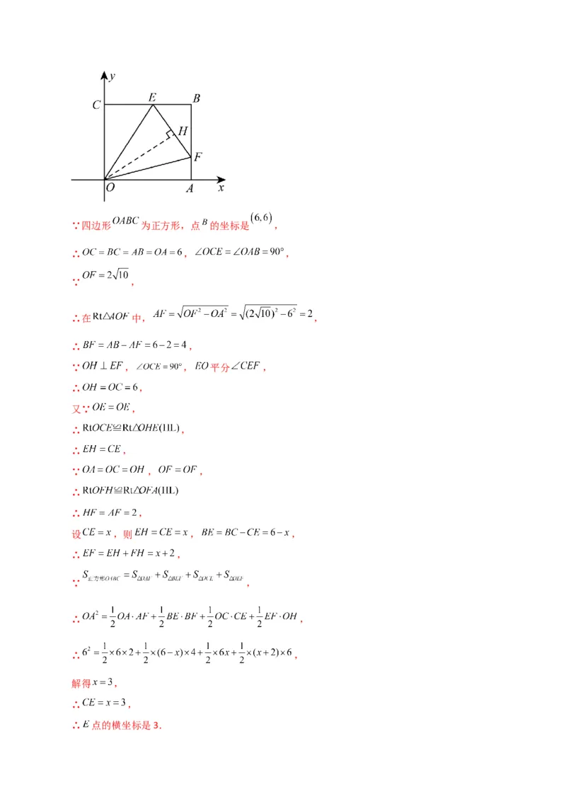
专题18.33 平行四边形(直通中考)(培优练) 一、单选题(本大题共10小题,每小题3分,共30分) 1.(2022·湖北咸宁·校考模拟预测)如图, 中, , 平分 , ,E为 的中点,则 的长为( ) A.2 B.3 C.1.5 D.2.5 2.(2022下·陕西西安·八年级校考期末)如图,平行四边形 中, , , 平分 ,交 于E, 交 于点N,交 于点F,作 交 于点M,则 ( ) A. B. C.1 D. 3.(2023上·浙江宁波·八年级校考期中)如图,在长方形 中, ,对角线 , 平 分 交 于点 , 是线段 上的点,连接 ,过点 作 交 的延长线于点 ,当 为等腰三角形时, ( ) A.4 B.5 C.6 D.74.(2023上·陕西西安·八年级校考期中)长方形ABCD中, , ,将其沿 折叠,点 A,B分别落到点 与点 处,恰好点C在 上,且 ,则线段 的长度为( ) A.5 B. C. D. 5.(2023下·天津滨海新·八年级校考期末)菱形 中, 分别在 和 上,且 是 等边三角形, .则 等于( ) A. B. C. D. 6.(2023下·山东泰安·八年级统考期末)如图,菱形 的边长为4,且 , 是 的 中点, 为 上一点且 的周长最小,则 的周长的最小值为( ) A. B. C. D. 7.(2024上·江苏无锡·九年级统考期末)正方形 , 如图放置, , , 相交于 点P,Q为 边上一点,且 ,则 的最大值为( )A. B. C.7 D. 8.(2024上·四川广元·九年级统考期末)如图,在正方形 中,点 的坐标是 ,点 分 别在边 上, ,若 平分 .则 点的横坐标是( ) A.2 B.3 C. D. 9.(2024上·重庆沙坪坝·九年级统考期末)如图,在正方形 中,点E是 上一点,过点E作 交 于点F,连接 , ,若 ,则 的度数是( ) A. B. C. D. 10.(2023上·福建南平·九年级校考期中)如图,正方形 的边长为 ,对角线 、 相交于 点 ,将 绕 点顺时针旋转 得到 , 交 于点 连接 交 于 ,连接 .则 下列结论: ① ; ②四边形 是菱形;③△BDG的面积是 ; ④ ;其中正确的是( ) A.①②③④ B.①②④ C.①②③ D.①③④ 二、填空题(本大题共8小题,每小题4分,共32分) 11.(2023上·湖北武汉·九年级校考阶段练习)如图,平行四边形 中, 于点E, , , , 则 的长为 . 12.(2024下·广东深圳·八年级南山实验教育麒麟中学校考开学考试)如图,把一个矩形纸片 放入平面直角坐标系中,使 、 分别落在 轴、 轴上,连接 ,将纸片 沿 折叠,使 点 落在 的位置上. 若 , ,则点 的坐标为 . 13.(2023上·福建漳州·八年级漳州三中校考期中)如图,矩形 中, ,点 是 边上一点,连接 ,把 沿 折叠,使点 落在点 处,当 为直角三角形时, 的长为 .14.(2024上·浙江宁波·八年级校考期末)如图,菱形 中, , ,点 是 上 一点,将菱形沿着 折叠,使点 落在点 处, 与 交于点 ,点 是 的中点, , 则 的长为 . 15.(2024下·广东深圳·九年级校考开学考试)如图,在菱形 中,E、F分别是 , 边上 的中点, 为 上一点,若 , ,则 的长为 16.(2024下·江苏·八年级专题练习)如图,在正方形 中,点E是边 上的一点,点F在边 的延长线上,且 ,连接 交边 于点G.过点A作 ,垂足为点M,交边 于点 N.若 , ,则线段 的长为 . 17.(2024·全国·八年级竞赛)如图,三个正方形的边长分别为 ,若 ,则阴影部分的面积为 . 18.(2023上·四川成都·九年级统考期末)如图,等边三角形 中, , 、 分别是边 、 上的动点,且 ,则 的最小值为 . 三、解答题(本大题共6小题,共58分) 19.(8分)(2024·全国·八年级竞赛)如图 ,在 中, , 于点 , 平分 ,交 于点 ,交 于点 . (1)若 ,求证: ; (2)如图 ,作 交 于点 ,求证: . 20.(8分)(2023上·内蒙古鄂尔多斯·八年级校考期中)如图①,在四边形 中, , 点 E 是 的中点, 若 是 的平分线.(1)求证: 是 的平分线 (2)线段 之间的数量关系是 ; 问题探究: 如图②.在四边形 中, , 与 的延长线交于点F, 点E是 的中 点, 若 是 的平分线, 试探究 之间的等量关系,并证明你的结论. 21.(10分)(2024上·福建福州·八年级福建省福州第一中学校考期末)已知,如图, 为射线 上的一动点, 为 的角平分线且交 于点 ,以 为边在 内部作菱形 ,使得 交 于点 ,连接 并延长交 于点 . (1)求证: ; (2)判断 与 的位置关系并证明; (3)若 的周长为3,求菱形 的周长.22.(10分)(2023下·江苏苏州·八年级校考阶段练习)在正方形纸片 中,点 、 分别是 、 上的点,连接 . (1)问题探究:如图1,作 ,交 于点 ,求证: ; (2)问题解决:如图2,将正方形纸片 沿过点 、 的直线折叠,点 的对应点 恰好落在 上,点 的对应点为点 ,若 , ,求线段 的长. 23.(10分)(2024上·山东烟台·八年级统考期末)如图, 是四边形 的对角线,边 在其 所在的直线上平移,将通过平移得到的线段记为 ,连接 、 . (1)如图1,四边形 是正方形时,作 ,垂足为O,连接 、 .判断 、 之 间的数量关系和位置关系,并证明; (2)如图2,四边形 是菱形时,设 ,点O在 上,且 .判断 与 的数量关系,写出推理过程,并用含有 的代数式表示 ; (3)在(2)的条件下,若 , ,当四边形 是菱形时(如图3),请直接写 出线段 平移的距离为 .24.(12分)(2023下·江苏连云港·九年级统考期中)【实践操作】 在矩形 中, , ,现将纸片折叠,点 的对应点记为点 ,折痕为 (点 、 是折痕与矩形的边的交点),再将纸片还原. 【初步思考】 (1)若点 落在矩形 的边 上(如图 )当点 与点 重合时, _____ ,当点 与点 重合时, ______ ; 【深入探究】 (2)若点 落在矩形 的内部(如图 ),且点 、 分别在 、 边上, 的最小值是 ______ ; 【拓展延伸】 (3)若点 与点 重合,点 在 上,射线 与射线 交于点 (如图 )在各种不同的折叠 位置中,是否存在某一情况,使得线段 与线段 的长度相等?若存在,请求出线段 的长度;若 不存在,请说明理由.参考答案: 1.A 【分析】延长 交 于点F,证 ,再由E为 的中点,即可求解; 解:延长 交 于点F, ∵ 平分 , ∴ , ∵ , ∴ , ∵ , ∴ , ∴ , ∵E为 的中点,∴ , ∵ ∴ , 故选:A. 【点拨】本题主要考查三角形的全等证明、中位线的性质,掌握相关知识并正确做出辅助线是解题的 关键. 2.D 【分析】由平行四边形的性质以及三角形内角和的性质可得 , ,求得 ,再根据 ,得到 ,即可求解. 解:平行四边形 中, , ∵ 平分 ∴ ∵ ∴ , ∴ ∴ ∵ ∴ ∴ ∵ ∴ ,即 ∴ ,即 ∴ ,∴ ∴ ∵ ∴ ∴ , ∵ ∴ ∴ ∴ ∴ ∵ ∴ ∴ 故选:D 【点拨】此题考查了平行四边形的性质,等腰三角形的性质,直角三角形斜边中线的性质等,解题的 关键是熟练掌握相关基础性质. 3.B 【分析】过 作 于 ,由矩形的性质并结合勾股定理确定 ,再证明 以及 为等腰三角形,即可推导 , ,然后由 计算 的长即可. 解:过 作 于 , ∵四边形 是矩形, ∴ , , , ∵ , ∴ ,∵ , , ∴ , ∴ , ∴ , ∵ 平分 交 于点 , ∴ , ∴ 是等腰直角三角形, ∴ , ∵ , ∴ , ∵ 为等腰三角形, ∴ , ∵ , , ∴ , ∴ , ∴ , ∴ , ∴ , 故选:B. 【点拨】本题主要考查了矩形的性质、全等三角形的判定与性质、勾股定理以及等腰三角形的判定与 性质等知识,正确作出辅助线,构建全等三角形是解题的关键. 4.C 【分析】本题考查了折叠的性质,勾股定理.设 , ,证明 , 推出 ,求得 ,推出 ,在 中,利用勾股定理 列式计算即可求解. 解:如图,∵ , ∴设 , , ∴ , , 由折叠的性质知 , , , ∵ , , , ∴ , ∴ , ∴ , ∴ , ∴ , 在 中, ,即 , 解得 , 故选:C. 5.B 【分析】根据菱形的性质推出 , ,根据平行线的性质得出 ,根据 等边三角形的性质得出 , ,根据等边对等角得出 , 设 ,根据三角形的内角和定理得出方程 ,求出方程的解即可 求出答案. 解:∵四边形 是菱形, ∴ , ∴ , ∵ 是等边三角形, , ∴ , ∴ 由三角形的内角和定理得: , 设 , 则 , ∵ , ∴ , 解得 , ∴ , 故选B. 【点拨】本题主要考查了菱形的性质,等边三角形的性质,三角形的内角和定理.解题的关键是熟练 运用这些性质和定理. 6.A 【分析】由菱形的性质可得点 与点 关于 对称,连接 交 于点 ,连接 ,则 的 周长 ,此时 的周长最小,过点 作 交 的延长线于 ,由菱形 的性质和 可得 ,从而可得 ,最后由勾股定理计算得出 , 即可得出答案. 解: 四边形 是菱形, 点 与点 关于 对称, 如图,连接 交 于点 ,连接 ,, 则 , 的周长 ,此时 的周长最小, 是 的中点,菱形 的边长为4, , 过点 作 交 的延长线于 , 四边形 为菱形,边长为4, , , , , , , , , , , 的周长的最小值 , 故选:A. 【点拨】本题主要考查了菱形的性质、轴对称的性质、含 角的直角三角形的性质、勾股定理,熟 练掌握菱形的性质、轴对称的性质、含 角的直角三角形的性质、勾股定理,添加适当的辅助线,求出 的长,是解题的关键. 7.B 【分析】如图,连接 ,取 的中点O,连接 ,延长 至E,使 ,连接 , ,利用等腰直角三角形性质可得 ,由 ,可得 , ,利用勾股定 理可得 ,再由三角形中位线定理可得 ,再证得 ,进而得出 是 的中线,即 ,由 ,即可求得答案. 解:如图,连接 ,取 的中点O,连接 ,延长 至E,使 ,连接 , , ∵四边形 、 是正方形, , ∴ , , , ∴ , ∵ , ∴ , , ∴ , ∴ ,即Q是 的中点, 又∵点O是 的中点, ∴ , ∵ , ∴ , ∴ ,在 和 中, , ∴ , ∴ , ∵ , ∴ , ∴ , ∵点O是 的中点, ∴ , 在 中, , ∴ 的最大值为 , 故选:B. 【点拨】本题考查了正方形性质,直角三角形性质,勾股定理,全等三角形的判定和性质,三角形中 位线定理等,熟练运用三角形中位线定理和全等三角形的判定和性质是解题关键. 8.B 【分析】过点 作 于点 ,结合点 和正方形的性质可得 , ,在 中,由勾股定理解得 的值,进而确定 得值;再根据角平分线的性 质可得 ,进而证明 , ,由全等三角形的性质可得 , ,设 ,则 , , ,然后根据 ,解得 的值,易得 ,即可确定 点的横坐标. 解:如下图,过点 作 于点 ,∵四边形 为正方形,点 的坐标是 , ∴ , , ∵ , ∴在 中, , ∴ , ∵ , , 平分 , ∴ , 又∵ , ∴ , ∴ , ∵ , , ∴ ∴ , 设 ,则 , , ∴ , ∵ , ∴ , ∴ , 解得 , ∴ , ∴ 点的横坐标是3.故选:B. 【点拨】本题主要考查了坐标与图形、正方形的性质、角平分线的性质定理、全等三角形的判定与性 质、勾股定理等知识,正确作出辅助线构造全等三角形是解题关键. 9.C 【分析】过点 作 于 , 于 ,根据全等三角形的判定定理结合正方形的性质证 得 ,得到 ,根据等腰三角形的性质和平角的定义即可求出答案. 解:过点 作 于 , 于 , ∵四边形 是正方形, ∴ , ∴四边形 是矩形, , ∴ , ∴四边形 是正方形, ∴ , ∵ , ∴ , 在 和 中, , ∴ , ∴ , ∴ , ∵ , ∴ ,∴ , 在 和 中, , ∴ , ∴ , ∴ , ∴ , ∴ , 故选: . 【点拨】本题考查了正方形的判定和性质,全等三角形的判定和性质,等腰三角形的判定和性质,解 决问题的关键是添加辅助线构造全等三角形. 10.A 【分析】由正方形和旋转的性质,易证 为等腰直角三角形,即得出 .又易证 ≌ ,即得出 ,可判断①;由全等的性质可得出 .又易证 ≌ ,得出 .由三角形外角的性质和三角形内角和定理可求出 , 即得出 ,从而证明四边形 为菱形,可判断②;由等腰直角三角形和勾股定理可 求出 ,即 ,再根据 ,从而可求出 ,最后根据三 角形的面积公式计算即可求出 ,从而可判断③;根据正方形的性质可求出 ,再根据 ,可求出 ,即可求出 ,可判断④. 解: 四边形 是正方形, , , ,由旋转可得: , , , , , 为等腰直角三角形, , 又 , ≌ , , ,故①正确; ≌ , , 又 , , ≌ , , , , , , 四边形 是菱形,故②正确; , , , , , , ,故③正确; 根据正方形的性质可求出 ,, , 故④正确; 综上可知,①②③④都正确. 故选:A. 【点拨】本题考查了正方形的性质,旋转的性质,全等三角形的判定与性质,菱形的判定与性质,等 腰直角三角形的性质,勾股定理,三角形的面积等知识,熟练掌握上述知识并利用数形结合的思想是解题 的关键. 11. 【分析】设 ,则 ,由 ,可得, ,则 , ,则 为 的中点,延长 , 交于点 ,结合平行四边形的性质可证得 , ,进而可得 , , ,则 ,进而求得 ,可得 ,即 ,可知 垂直平分 ,得 ,由勾股定理可得 , 的中点 ,连接 ,则 , ,由 三角形中位线的性质可得 ,由勾股定理可得 ,即可求解. 解:设 ,则 , ∵ ,则 , ∴ ,则 , 又∵ , ∴ ,则 为 的中点,延长 , 交于点 , ∵四边形 是平行四边形, , , ∴ , , ∴ , , , ∴ , ∴ , , ,则 , 则 , ∴ , 即: , 又∵ , ∴ 垂直平分 , ∴ , 在 中,由勾股定理可得: , 取 的中点 ,连接 ,则 , , ∵ ,则 为 的中点, ∴ 为 的中位线, ∴ , , ∴ , 在 中,由勾股定理可得: , 故答案为: . 【点拨】本题考查了平行四边形的性质,全等三角形的判定及性质,垂直平分线的判定及性质,等角 对等边,三角形的中位线定理,勾股定理等知识点,添加辅助线构造全等三角形和直角三角形是解决问题 的关键. 12. 【分析】本题过点 作 于点 ,交 于点 ,由矩形的性质和折叠的性质,证明 ,得到 ,设 ,则 ,在 中应用勾股定理构建方程,即可求出 和 ,使用等面积法求出 , 点的纵坐标就求出来了,最后再解 ,求出 ,即点 的横坐标.即可解题. 解:过点 作 于点 ,交 于点 ,如图所示: 四边形 为矩形, , , , , , 由题易知,四边形 为矩形, 有 , 由折叠的性质可知, , , , , , , 设 ,则 , 有 , 即 ,解得 , , ,解得 , , , , 点 的坐标为 , 故答案为: . 【点拨】本题考查矩形的性质,全等三角形的性质和判定,折叠的性质,勾股定理,熟练掌握相关性质并灵活运用,即可解题. 13. 或1 【分析】当 为直角三角形时,有两种情况:①当点 落在矩形内部时,如答图 所示.连结 ,先利用勾股定理计算出 ,根据折叠的性质得 ,而当 为直角三角 形时,只能得到 ′ ,所以点 、 、 共线,即 沿 折叠,使点 落在对角线 上的 点 处,则 , ,可计算出 ,设 ,则 , ,然 后在 中运用勾股定理可计算出 . ②当点 落在 边上时,如答图 所示.此时 为正方形. 解:当 为直角三角形时,有两种情况: ①当点 落在矩形内部时,如图 所示.连接 , 在 中, , , ∴ , ∵ 沿 折叠,使点 落在点 处, ∴ , 当 为直角三角形时,只能得到 , ∴点 、 、 共线,即 沿 折叠,使点 落在对角线 上的点 处, ∴ , , ∴ , 设 ,则 , , 在 中, ∵ ,∴ , 解得 , ∴ ; ②当点 落在 边上时,如图 所示.此时 为正方形, ∴ . 故答案为: 或 . 【点拨】本题考查了折叠的性质、矩形的性质、勾股定理;熟练掌握折叠的性质和矩形的性质,由勾 股定理得出方程是解决问题的关键. 14. 【分析】连接 ,过点 作 的平行线交 于点 ,过点 作 交 延长线于点 ,延长 交于点 ,过点 作 于点 ,利用翻折的性质和勾股定理求出 ,然后证明 ,得 ,证明 ,再利用勾股定理求出 ,进而即可解决问题. 解:如图,连接 ,过点 作 的平行线交 于点 ,过点 作 交 延长线于点 ,延 长 交于点 ,过点C作 于点 , 由翻折可知: , ∵点 是 的中点, , 为菱形, ∴ ,设 , 在 中, , 由勾股定理得: , 整理得 , 解得 (舍去负值), 由翻折可知: , 设在 中,由勾股定理得: 故答案为: . 【点拨】本题属于四边形综合题,难度大,考查了翻折变换,菱形的性质,全等三角形的判定与性质, 含30度角的直角三角形的性质,勾股定理,解决本题的关键正确作出辅助线构造全等三角形. 15. 【分析】本题考查菱形的性质、直角三角形的性质、勾股定理等知识,解题的关键是学会利用分割法 求三角形面积,学会添加常用辅助线,构造直角三角形; 连接 、 、 、 、 ,作 .先求出 的面积,再求出高 ,利用勾股定 理求出 、 、 ,利用线段和差求出 即可. 解:连接 、 ,, 四边形 是菱形, , , , 为等边三角形, 连接 , 点 E、F分别是 、 边上的中点, , , 在 中 , 同理在 中 , , 在 中 点 E分别是 边上的中点, , 为等边三角形, , 连接 , , , , ,, , 过F作 , , , 在 中 , 在 中, , , , , 故答案为: . 16.20 【分析】本题考查了正方形的性质,全等三角形的判定与性质,勾股定理,熟练掌握相关知识是解题 的关键.连接 , , ,先证明 ,得到 , ,证明 为等 腰直角三角形,从而可证明 ,设 ,则根据勾股定理列方程并求解,得到 ,即可得到 答案. 解:如图,连接 , , , 四边形 为正方形, , , ,在 和 中, , , , , , 为等腰直角三角形, , , , , , , 设 , , , , , , 在 中, , 即 , 解得 , , . 故答案为:20. 17.82 【分析】本题主要考查了正方形与三角形综合.熟练掌握正方形性质,矩形、梯形的判定和性质,三 角形、梯形面积公式,割补法求图形面积,是解决问题的关键.设三个正方形分别为 、 、 ,延长 交 边于点K,证明四边形 和四边形 都是矩形,得到 , , , ,结合 ,求 得 . 解:如图,设三个正方形分别为 、 、 ,延长 交 边于点K, ∵ , ∴ , ∵ , ∴四边形 和四边形 都是矩形, ∴ , , , , , ∵ , ∴ . 故答案为:82.18. 【分析】取 中点 , 中点 , ,在 的外侧作 , 的长度即为所求, 本题考查了求线段和最小值问题,勾股定理解三角形,等边三角形的性质,全等三角形的判定和性质,三 角形中位线, 角的直角三角形,解题的关键是通过构造中位线和全等三角形,将 进行转化. 解:取 中点 , 中点 ,作 ,使 ,作 ,交 延长线于点 , 点 是 中点,点 是 中点, , , , , 又 等边三角形 , , , 又 , , ,,当点 在线段 上时 取最小值,长度为线段 的长, , , , , , , 故答案为: . 19.(1)证明见分析;(2)证明见分析. 【分析】( )由 , 得到 ,进而得到 ,由角平分线得到 ,即可得到 ,再根据 所对的直角边等于斜边的一半,可得到 , 推导出 ,同理可得 ,即可求证; ( )作 交 于点 ,则 为平行四边形,利用判定方法 证明 ,即 可求证; 本题考查了角平分线的定义,直角三角形的性质,平行四边形的性质,全等三角形的判定和性质,掌 握以上性质定理是解题的关键. 解:(1)证明∵ , , ∴ , ∵ , ∴ , ∴ , ∵ 平分 , ∴ , ∴ , ∴ , 在 中, , ∴ , ∴ , ∴ , 在 中, ,∴ , ∴ ; (2)证明:作 交 于点 ,则 为平行四边形, ∴ , , ∵ , , , ∴ , 在 和 中, , ∴ , ∴ . 20.(1)见分析;(2) ;[问题探究]: ,证明见分析 【分析】本题是四边形的综合问题,考查了全等三角形的判定与性质、等腰三角形的判定与性质、角 平分线的性质等知识点,正确添加常用辅助线,构造全等三角形是解题的关键. (1)延长 交于点F,根据平行线的性质和角平分线的定义可得 ,再根据等腰三 角形的判定可得 ,再证明 可得 ,最后根据等腰三角形三线合一的性 质即可证明结论; (2)延长 交于点F,根据平行线的性质和角平分线的定义可得 ,再根据等腰三 角形的判定可得 ,再证明 可得 ,然后根据线段的和差及等量代换即 可解答; [问题探究]:延长线 , 相交于点G,利用全等三角形的判定和性质、角平分线的定义、平行线的性质、等腰三角形的性质即可证明. (1)解:如图:延长 交于点F, ∵ , ∴ , ∵ 是 的平分线, ∴ , ∴ , ∴ ,即 是等腰三角形, ∵E是 的中点, ∴ , ∵ , ∴ , ∴ , ∴ 是 的平分线. (2)解:如图:延长 交于点F, ∵ , ∴ , ∵ 是 的平分线, ∴ , ∴ , ∴ , ∵E是 的中点,∴ , ∵ , ∴ , ∴ , ∴ ,即 . 故答案为: . [问题探究]:结论: ,证明如下: 延长线 , 相交于点G, ∵E是 的中点, ∴ , ∵ , ∴ . ∵ , ∴ , ∴ , ∵ 是 的平分线, ∴ , ∵ , ∴ , ∴ , ∵ , ∴ . 21.(1)见分析;(2) ,证明见分析;(3)【分析】(1)由菱形 ,可得 ,进而可证 ; (2)由 ,可得 ,由 为 的角平分线,可得 ,由 , ,可得 , 进而可证 ; (3)如图,在 上取点 ,连接 ,使 ,证明 ,则 , ,如图,过 作 ,则 是等边三角形, ,证明四边形 是平行 四边形,则 , , ,即 ,由 的周长为3,可 得 ,即 , , ,如图,连接 ,则 是等边三角形, ,由等边对等角,三角形内角和定理可求 ,由勾股定理得 ,然后求周长即可. 解:(1)证明:∵菱形 , ∴ , 又∵ , ∴ ; (2)解: ,证明如下; ∵ , ∴ , ∵ 为 的角平分线, ∴ , ∵ , , ∴ , ∴ ; (3)解:如图,在 上取点 ,连接 ,使 ,由(2)可知, , 又∵ , , ∴ , ∴ , , 如图,过 作 , ∴ , ∴ 是等边三角形, , ∵ , , ∴四边形 是平行四边形, ∴ , , ∴ , ∴ ,即 , ∵ 的周长为3, ∴ , ∴ , , ∴ , 如图,连接 , ∵ , , ∴ 是等边三角形, ∴ , ∴ , ∵ , ∴ ,即 ,由勾股定理得 , ∴ , ∴菱形 的周长为 . 【点拨】本题考查了菱形的性质,角平分线,全等三角形的判定与性质,三角形内角和定理,三角形 外角的性质,平行线的判定,等边三角形的判定与性质,等边对等角,平行四边形的判定与性质,勾股定 理等知识.熟练掌握菱形的性质,全等三角形的判定与性质,三角形内角和定理,三角形外角的性质,平 行线的判定,等边三角形的判定与性质,等边对等角,平行四边形的判定与性质,勾股定理是解题的关键. 22.(1)见分析;(2) 【分析】本题是四边形综合题,主要考查了正方形的性质,全等三角形的判定与性质,翻折的性质, 勾股定理等知识,熟练掌握正方形中的十字架模型是解题的关键. (1)过点 作 于 ,利用 证明 ,得 ; (2)连接 , ,设正方形的边长为 ,由勾股定理得, ,解方程可 得 的值,利用勾股定理求出 ,再根据(1)知, ,从而解决问题. (1)解:证明:过点 作 于 , 四边形 是正方形, , , , 四边形 是矩形, , , ,, , , , , , ; (2)连接 , , 由折叠的性质得到: , , 设正方形的边长为 , 由勾股定理得, , , 解得: , , , 由勾股定理得, , 是 的垂直平分线, 由(1)知, , . 23.(1) , ,证明见分析;(2) ,理由见分析, ; (3) 【分析】(1)证明 ,由全等三角形的性质得出 , ,证出,则可得出结论; (2)证明 ,得出 , ,则可得出结论; (3)过点 作 于点 , 于点 ,则四边形 是矩形,得出 ,由勾 股定理求出 的长,则可得出答案. (1)解: , . 证明: 四边形 是正方形, , , , , , , 在 和 中, , , , , , , , ; (2) , 四边形 是菱形, , , , , , , , 在 和 中, ,, , , , 即 , , , ; (3)过点 作 于点 , 于点 ,则四边形 是矩形, , 由题意知四边形 和四边形 是菱形, , , , , , 设 , , , , , , , 线段 平移的距离为 , 故答案为: .【点拨】本题是四边形综合题,主要考查了菱形的性质,矩形的判定,全等三角形的判定与性质,正 方形的性质,勾股定理,平移的性质等知识;熟练掌握全等三角形的判定与性质是解题的关键. 24.(1)90;45;(2)2;(3)存在某一情况,使得线段 与线段 的长度相等,线段 的 长度为 或 【分析】(1)当点P与点A重合时,画出图形可得结论;当点E与点A重合时,则 平分 , 即可得出答案; (2)当F与C重合,点P在对角线 上时, 有最小值,根据折叠的性质求 ,由勾股 定理求 ,即可得出结果; (3)分两种情况根据全等三角形的判定和性质以及勾股定理解答即可. 解:(1)四边形 是矩形, , 当点 与点 重合时, 是 的中垂线, , 当点 与点 重合时,如图, 则 平分 , 此时, , 故答案为: , ; (2)若点 落在矩形 的内部,且点 、 分别在 、 边上,如图, 设 ,则 ,当 , , 在一直线上时, 最小,最小值为 , 当 最大为 时, 最小值为 , 故答案为: ; (3)分情况讨论: 如图,连接 , 四边形 是矩形, , 由折叠的性质得: , , , , , 在 和 中, , , , 设 , 则 , , , , , 在 中,由勾股定理得: , 即 , 解得: ,; 如图, 四边形 是矩形, , 由折叠的性质得: , , , , , , 在 和 中, , , , , ,即 , 设 , 则 , , , , , 在 中,由勾股定理得: , 即 , 解得: , ; 综上所述,存在某一情况,使得线段 与线段 的长度相等,线段 的长度为 或 .【点拨】本题是四边形的综合题,考查了矩形的性质、全等三角形的判定与性质、勾股定理、折叠的 性质以及分类讨论等知识,本题综合性强,熟练掌握矩形的性质和折叠的性质是解题的关键.