当前位置:首页>文档>专题06平方根与立方根规律性探究的三类综合题型(压轴题专项训练)(教师版)_北师大初中数学_8上-北师大版初中数学_初中数学北师大8上-2025秋季新版_第二套推荐25_08专项讲练

专题06平方根与立方根规律性探究的三类综合题型(压轴题专项训练)(教师版)_北师大初中数学_8上-北师大版初中数学_初中数学北师大8上-2025秋季新版_第二套推荐25_08专项讲练

  • 2026-04-12 21:11:01 2026-04-12 20:48:42

文档预览

专题06平方根与立方根规律性探究的三类综合题型(压轴题专项训练)(教师版)_北师大初中数学_8上-北师大版初中数学_初中数学北师大8上-2025秋季新版_第二套推荐25_08专项讲练
专题06平方根与立方根规律性探究的三类综合题型(压轴题专项训练)(教师版)_北师大初中数学_8上-北师大版初中数学_初中数学北师大8上-2025秋季新版_第二套推荐25_08专项讲练
专题06平方根与立方根规律性探究的三类综合题型(压轴题专项训练)(教师版)_北师大初中数学_8上-北师大版初中数学_初中数学北师大8上-2025秋季新版_第二套推荐25_08专项讲练
专题06平方根与立方根规律性探究的三类综合题型(压轴题专项训练)(教师版)_北师大初中数学_8上-北师大版初中数学_初中数学北师大8上-2025秋季新版_第二套推荐25_08专项讲练
专题06平方根与立方根规律性探究的三类综合题型(压轴题专项训练)(教师版)_北师大初中数学_8上-北师大版初中数学_初中数学北师大8上-2025秋季新版_第二套推荐25_08专项讲练
专题06平方根与立方根规律性探究的三类综合题型(压轴题专项训练)(教师版)_北师大初中数学_8上-北师大版初中数学_初中数学北师大8上-2025秋季新版_第二套推荐25_08专项讲练
专题06平方根与立方根规律性探究的三类综合题型(压轴题专项训练)(教师版)_北师大初中数学_8上-北师大版初中数学_初中数学北师大8上-2025秋季新版_第二套推荐25_08专项讲练
专题06平方根与立方根规律性探究的三类综合题型(压轴题专项训练)(教师版)_北师大初中数学_8上-北师大版初中数学_初中数学北师大8上-2025秋季新版_第二套推荐25_08专项讲练
专题06平方根与立方根规律性探究的三类综合题型(压轴题专项训练)(教师版)_北师大初中数学_8上-北师大版初中数学_初中数学北师大8上-2025秋季新版_第二套推荐25_08专项讲练
专题06平方根与立方根规律性探究的三类综合题型(压轴题专项训练)(教师版)_北师大初中数学_8上-北师大版初中数学_初中数学北师大8上-2025秋季新版_第二套推荐25_08专项讲练
专题06平方根与立方根规律性探究的三类综合题型(压轴题专项训练)(教师版)_北师大初中数学_8上-北师大版初中数学_初中数学北师大8上-2025秋季新版_第二套推荐25_08专项讲练
专题06平方根与立方根规律性探究的三类综合题型(压轴题专项训练)(教师版)_北师大初中数学_8上-北师大版初中数学_初中数学北师大8上-2025秋季新版_第二套推荐25_08专项讲练
专题06平方根与立方根规律性探究的三类综合题型(压轴题专项训练)(教师版)_北师大初中数学_8上-北师大版初中数学_初中数学北师大8上-2025秋季新版_第二套推荐25_08专项讲练
专题06平方根与立方根规律性探究的三类综合题型(压轴题专项训练)(教师版)_北师大初中数学_8上-北师大版初中数学_初中数学北师大8上-2025秋季新版_第二套推荐25_08专项讲练
专题06平方根与立方根规律性探究的三类综合题型(压轴题专项训练)(教师版)_北师大初中数学_8上-北师大版初中数学_初中数学北师大8上-2025秋季新版_第二套推荐25_08专项讲练
专题06平方根与立方根规律性探究的三类综合题型(压轴题专项训练)(教师版)_北师大初中数学_8上-北师大版初中数学_初中数学北师大8上-2025秋季新版_第二套推荐25_08专项讲练
专题06平方根与立方根规律性探究的三类综合题型(压轴题专项训练)(教师版)_北师大初中数学_8上-北师大版初中数学_初中数学北师大8上-2025秋季新版_第二套推荐25_08专项讲练
专题06平方根与立方根规律性探究的三类综合题型(压轴题专项训练)(教师版)_北师大初中数学_8上-北师大版初中数学_初中数学北师大8上-2025秋季新版_第二套推荐25_08专项讲练
专题06平方根与立方根规律性探究的三类综合题型(压轴题专项训练)(教师版)_北师大初中数学_8上-北师大版初中数学_初中数学北师大8上-2025秋季新版_第二套推荐25_08专项讲练
专题06平方根与立方根规律性探究的三类综合题型(压轴题专项训练)(教师版)_北师大初中数学_8上-北师大版初中数学_初中数学北师大8上-2025秋季新版_第二套推荐25_08专项讲练
专题06平方根与立方根规律性探究的三类综合题型(压轴题专项训练)(教师版)_北师大初中数学_8上-北师大版初中数学_初中数学北师大8上-2025秋季新版_第二套推荐25_08专项讲练
专题06平方根与立方根规律性探究的三类综合题型(压轴题专项训练)(教师版)_北师大初中数学_8上-北师大版初中数学_初中数学北师大8上-2025秋季新版_第二套推荐25_08专项讲练
专题06平方根与立方根规律性探究的三类综合题型(压轴题专项训练)(教师版)_北师大初中数学_8上-北师大版初中数学_初中数学北师大8上-2025秋季新版_第二套推荐25_08专项讲练
专题06平方根与立方根规律性探究的三类综合题型(压轴题专项训练)(教师版)_北师大初中数学_8上-北师大版初中数学_初中数学北师大8上-2025秋季新版_第二套推荐25_08专项讲练
专题06平方根与立方根规律性探究的三类综合题型(压轴题专项训练)(教师版)_北师大初中数学_8上-北师大版初中数学_初中数学北师大8上-2025秋季新版_第二套推荐25_08专项讲练
专题06平方根与立方根规律性探究的三类综合题型(压轴题专项训练)(教师版)_北师大初中数学_8上-北师大版初中数学_初中数学北师大8上-2025秋季新版_第二套推荐25_08专项讲练
专题06平方根与立方根规律性探究的三类综合题型(压轴题专项训练)(教师版)_北师大初中数学_8上-北师大版初中数学_初中数学北师大8上-2025秋季新版_第二套推荐25_08专项讲练
专题06平方根与立方根规律性探究的三类综合题型(压轴题专项训练)(教师版)_北师大初中数学_8上-北师大版初中数学_初中数学北师大8上-2025秋季新版_第二套推荐25_08专项讲练
专题06平方根与立方根规律性探究的三类综合题型(压轴题专项训练)(教师版)_北师大初中数学_8上-北师大版初中数学_初中数学北师大8上-2025秋季新版_第二套推荐25_08专项讲练
专题06平方根与立方根规律性探究的三类综合题型(压轴题专项训练)(教师版)_北师大初中数学_8上-北师大版初中数学_初中数学北师大8上-2025秋季新版_第二套推荐25_08专项讲练
专题06平方根与立方根规律性探究的三类综合题型(压轴题专项训练)(教师版)_北师大初中数学_8上-北师大版初中数学_初中数学北师大8上-2025秋季新版_第二套推荐25_08专项讲练
专题06平方根与立方根规律性探究的三类综合题型(压轴题专项训练)(教师版)_北师大初中数学_8上-北师大版初中数学_初中数学北师大8上-2025秋季新版_第二套推荐25_08专项讲练
专题06平方根与立方根规律性探究的三类综合题型(压轴题专项训练)(教师版)_北师大初中数学_8上-北师大版初中数学_初中数学北师大8上-2025秋季新版_第二套推荐25_08专项讲练

文档信息

文档格式
docx
文档大小
1.991 MB
文档页数
29 页
上传时间
2026-04-12 20:48:42

文档内容

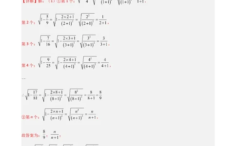
专题 06 平方根与立方根规律性探究的 三类综合题型 目录 典例详解 类型一、平方根与算术平方根规律性探究问题 类型二、立方根规律性探究综合问题 类型三、根式与几何图形结合规律性探究问题 压轴专练 类型一、平方根与算术平方根规律性探究问题 例1.(1)填表: … 1 100 10000 … … 100 … (2)利用上表中的规律,解决下列问题:已知 , ,则 的值为 ; (3)当 时,比较 和 的大小. … 1 100 10000 … … 100 … 【答案】(1)填表见解析;(2) ;(3)当 时, ;当 时, ;当或 时, ; 【分析】本题考查实数的大小比较,算术平方根的规律探究,弄清题中的规律是解题的关键. (1)根据算术平方根的含义填表即可; (2)根据表格得出规律,再利用得出的规律求出a的值即可; (3)分类讨论a的范围,再比较大小即可. 【详解】解:(1)填表如下: a … 1 100 10000 … … 1 10 100 … (2)观察表格可得规律:当被开方数a的小数点向左或向右移动2位,它的算术平方根的小数点相应地向 左或向右移动1位; ∵ , , 即从19到1900小数点向右移动2位,则a的小数点向右移动了4位 ∴ ; (3)根据题意得:当 时, ; 当 时, ; 当 或 时, ; 变式1-1.(1)观察发现: … 0.0001 0.01 1 100 10000 … … 0.01 x 1 y 100 … 表格中 , . (2)归纳总结: 被开方数的小数点每向右移动2位,相应的算术平方根的小数点就向______移动______位. (3)规律运用: ①已知 ,则 ______; ②已知 ,则m=______.【答案】(1)0.1;10 (2)右;1 (3)① ②25 【分析】本题考查算术平方根中的规律探索题: (1)直接计算即可; (2)观察(1)中表格数据,找出规律; (3)利用(2)中找出的规律求解. 【详解】解:(1) , , 故答案为: ,10; (2)由表格中的数据可知被开方数的小数点每向右移动2位,相应的算术平方根的小数点就向右移动1位. 故答案为:右,1; (3)①已知 ,则 , ②已知 , ,则 , ∴ 故答案为:①22.4;②25. 变式1-2.学习《实数》之后,在数学活动课上,丁老师出示了一组有规律的算式.阅读观察下列算式, 探求规律: … 【实践探究】 (1)按照此规律,①计算: ________; ②第n个式子是_______(用含n的式子表示,n是大于等于1整数); (2)计算: ; 【迁移应用】 (3)若 符合上述规律,请求出x的值.【答案】(1)① ;② ;(2) ;(3) 【分析】本题考查了算术平方根,数字的变化类,掌握相应的运算法则是关键. (1)根据题干所给式子进行计算,并得出规律即可得解; (2)根据题干所给式子得出规律计算即可; (3)利用(1)中得出的规律,计算即可得解. 【详解】解:(1)①第1个: , 第2个: , 第3个: , 第4个: , ②第n个: , 故答案为: ; ; (2) 、 ;(3) 符合上述规律, , 变式1-3.先观察下列等式,再回答问题: ① ② ③ (1)根据上面等式提供的信息,请你写出式子 化简后的值:______; (2)请你用含n(n为正整数)的式子表示上面各等式的规律:______(直接写出); (3)对任何实数a, 表示不超过a的最大整数,如 , ,请直接写出式子 的值:______. 【答案】(1) (2) (3) 【分析】本题考查了与算术平方根有关的规律探索,正确找到题中的规律是解题关键. (1)根据题中所给信息计算即可; (2)根据第一问的结果用字母代替数字即可; (3)根据规律将原式进行正确变形求解.【详解】(1)解:根据题意得 ,故答案为: ; (2)解:根据题意得 ;故答案为: ; (3)解: 故答案为: 类型二、立方根规律性探究问题 例2.求59319的立方根,解答如下: ① ,又 , ,∴能确定59319的立 方根是个两位数. ②59319的个位数是9,又 ,∴能确定59319的立方根的个位数是9. ③划去59319后面的三位319得到数59,而 ,则 ,可得 ,由 此能确定59319的立方根的十位数是3,因此59319的立方根是39.根据以上步骤求出314432的立方根是 . 【答案】68 【分析】本题考查立方根,根据题意所给方法确定314432的立方根是个两位数,再确定个位、十位上的数, 即可解答. 【详解】解: , 又 , , ∴能确定314432的立方根是个两位数.314432的个位数是2, 又 , ∴能确定314432的立方根的个位数是8. 划去314432后面的三位432得到数314,而 ,则 , 可得 ,由此能确定314432的立方根的十位数是6, 因此314432的立方根是68, 故答案为68. 变式2-1.求一个正数的算术平方根,有些数可以直接求得,如 ,有些数则不能直接求得,如 ,但 可以通过计算器求.还有一种方法可以通过一组数的内在联系,运用规律求得,请同学们解答以下问题: a … 0.04 4 400 40000 … … 0.2 2 20 200 … (1)运用你发现的规律,探究下列问题:已知 ,求下列各数的算术平方根: ① ;② ; (2)根据上述探究过程类比研究一个数的立方根.已知 ,则 (3)知识联系与迁移:请求出下列方程中x的值 ① ② 【答案】(1)0.1435,14.35 (2)12.60 (3)① 或 ;② 【分析】本题考查了算术平方根和立方根,解题的关键在于从小数点的移动位数找出规律来解题. (1)依据从被开方数和算术平方根的小数点的移动位数考虑解答; (2)根据(1)中的规律进行类比解答即可; (3)①先移项,再运用求一个数的平方根进行解方程,即可作答. ②先移项,再运用求一个数的立方根进行解方程,即可作答.【详解】(1)解:∵ , ∴ , ∴ ; 故答案为:0.1435,14.35; (2)解:类比算术平方根中被开方数的小数点变化规律,可得:被开方数扩大或缩小 倍,立方根就相 应的扩大或缩小 倍;或者说成被开方数的小数点向左或向右移动 位,则立方根的小数点就向左或向 右移动 位.即有: , . 故答案为: (3)解: 移项得 即 得 或 ; ② 原方程移项得 , 即 , 解得 . 变式2-2.(1)填表: a 0.000008 0.008 8 8000 (2)观察上表,表中数a的小数点的移动与它的立方根 的小数点的移动之间有何规律?请用语言叙述 这个规律:______; (3)根据你发现的规律解答: ①已知 , , ,则 介于哪两个整数之间?②已知 ,则 ______; ③用铁皮制作一个封闭的正方体,它的体积是1.843立方米,问需要多大面积的铁皮?(结果精确到0.01 平方米) 【答案】(1)0.02,0.2,2,20;(2)规律:数a的小数点每向右或向左移动三位,它的立方根 的小 数点就相应地向右或向左移动一位;(3)①12和13之间;②12.26;③需要大约9.02平方米的铁皮 【分析】本题主要考查立方根的估算与运用,理解表格信息,找出规律是解立方根估算的关键,掌握体积 的计算公式,立方根的估算方法是解实际问题的关键. (1)利用立方根的定义填表即可; (2)根据表格信息中小数点的移动情况分析即可求解; (3)①结合表格信息,对 进行变形分析即可;②结合表格信息,对 进行 变形分析即可;③设正方体的棱长为 米,由体积公式,立方根的估算得到棱长,再根据表面积的计算方 法即可求解. 【详解】解:(1)填表如下: a 0.000008 0.008 8 8000 0.02 0.2 2 20 (2)规律:数a的小数点每向右或向左移动三位,它的立方根 的小数点就相应地向右或向左移动一位; (3)① , , 介于整数12和13之间; ② , ; ③设正方体的棱长为a米,则 ,由②知 , ; , (平方米), 答:需要大约9.02平方米的铁皮. 变式2-3.观察下列规律回答问题: (1) _______, _______; (2)已知 ,若 ,用含x的代数式表示y,则 _______; (3)根据规律写出 与a的大小情况. 【答案】(1)0.01,100 (2) (3)当 或 时, ;当 或 或 时, ;当 或 时, 【分析】此题考查了立方根的求解与规律归纳能力,关键是能准确理解并运用该知识进行正确地计算、归 纳. (1)根据立方根的概念进行求解、归纳; (2)运用(1)题规律进行求解; (3)根据题目中求立方根的结果进行规律归纳. 【详解】(1)解:(1) ; ; 按上述规律,被开方数小数点向右(或左)移三位,则所得数的小数点向右(或左)移一位, 故答案为:0.01、100; (2)已知 ,若 ,用含 的代数式表示 ,则 ,故答案为: ; (3) , , , , ,与 的大小情况为: 当 或 时, ; 当 或 或 时, ; 当 或 时, . 类型三、根式与几何结合规律性探究问题 例3.下列每个三角形中的4个数之间都有相同的规律,根据这种规律,第4个三角形中的中间数字 为 ,第 个三角形的中间数字用含 的代数式表示为 . 【答案】 ; 【分析】由中间的数字是上面三角形内数字的5倍与1的和的算术平方根,据此可得. 【详解】第1个图形中 ,第2个图形中 ,第3个图形中4 , ∴第4个图形中间数字x ,则第n个三角形的中间数字为 . 故答案为 . 【点睛】本题考查了图形的变化规律,解题的关键是得出中间的数字是上面三角形内数字的5倍与1的和 的算术平方根. 变式3-1.细心观察图,认真分析各式,然后解答问题: ; ;; (1)请用含 ( 为正整数)的等式表示上述变化规律:______; (2)观察总结得出结论:直角三角形两条直角边与斜边的关系,用一句话概括为:______; (3)利用上面的结论及规律,请在图中作出等于 的长度; (4)若 表示三角形面积, , , ,计算出 的值. 【答案】(1) ;(2)直角边的平方和等于斜边的平方;(3)见解析;(4) . 【分析】(1)观察已知各式,归纳总结规律即可得; (2)根据等式和图形即可得; (3)先作 的垂线,再在垂线上截取 ,连接 ,可得 ,同理可作出点 ,连接 即 为所求; (4)先分别求出 的值,再归纳总结出一般规律得出 的值,从而可得 的值,然后代入求和即 可. 【详解】(1)观察已知各式可得,各式的变化规律为 故答案为: ; (2)结合等式和图形可得,直角三角形两条直角边与斜边的关系为:直角边的平方和等于斜边的平方 故答案为:直角边的平方和等于斜边的平方; (3)先作 的垂线,再在垂线上截取 ,连接 ,即可得 ,同理可作点 ,连接 , 则 即为所求,如图所示:(4) 归纳类推得: 当 时, 则 . 【点睛】本题考查了算术平方根、勾股定理等知识点,读懂题意,正确归纳类推出一般规律是解题关键. 变式3-2.【课本再现】 小明用一些小正方形纸片做拼、剪构造大正方形游戏: 他把两个边长为1的正方形分别沿对角线剪开,将所得的4个直角三角形,按如图1拼在一起,就得到了 一个边长为 的大正方形 . 【深度思考】 于是,他发现若把5个边长为1的正方形如图2摆放,再将这个图形按图3的方式剪裁,拼成图4,得到一个大正方形 . (1)求拼成的正方形 的面积和边长. (2)若要把 个小正方形按上述方法拼成边长为 的大正方形,则 ______________. 【答案】(1)正方形 的面积为5,边长为 (2)10 【分析】本题主要考查求一个数的算出平方根以及图形拼接中面积守恒的规律,解题的关键在于理解图形 拼接前后总面积不变; (1)通过已知小正方形的数量计算总面积,再根据面积公式求边长; (2)需要根据第一问的规律推导出 值即可; 【详解】(1)解:由题和图可知∶一个小正方形的面积是1,所以5个小正方形的面积和为5, 即大正方的面积为5, ∵边长 边长 面积, ∴边长 , 故拼成的正方形 的面积为5和边长为 ; (2)解:根据大正方形的面积为 ,每个小正方形的面积为1, ∴共需要10个小正方形; 故答案:10. 变式3-3.如图,细心观察图形,认真分析下列各式,然后解题, , ; , ;, ; (1)请用含有 ( 是正整数)的等式表示上述各式的变化规律; (2)求 的长; (3)求 的值. 【答案】(1) ( 是正整数); (2) ; (3) . 【分析】此题考查了勾股定理、算术平方根,解题的关键是观察,观察题中给出的结论,由此结论找出规 律进行计算. (1)此题要利用直角三角形的面积公式,观察上述结论,会发现,第 个图形的一直角边就是 ,然后 利用面积公式可得. (2)由同述 ,即可得 ; (3) 的值就是把面积的平方相加就可. 【详解】(1)解:由题意可知, , ∴ ( 是正整数). (2)解:∵ , ,, , ∴ , , , , ∴ , ∴ , (3)解:由题可知, , ∴ . 1.(1)填表并观察规律: a 4 400(2)根据你发现的规律填空: 已知: ,则 ______; 已知: , ,则 ______; (3)从以上问题的解决过程中,你发现了什么规律,试简要说明. 4 400 2 20 【答案】(1)见解析 (2) ,68 (3)求一个数的算术平方根时,当被开方数的小数点向左(或右)每移动2位,则它的算术平方根的小数 点向左(或右)移动1位 【分析】本题考查了与算术平方根有关的规律问题,熟练掌握算术平方根的性质是解题关键. (1)先求出每个数的算术平方根,再填表即可; (2)根据(1)可得规律:求一个数的算术平方根时,当被开方数的小数点向左(或右)每移动2位,则 它的算术平方根的小数点向左(或右)移动1位,由此即可得; (3)根据(1)解题过程找出规律即可. 【详解】(1)解:∵ , , , , ∴ , , , , 填表如下: a 0.0004 0.04 4 400 0.02 0.2 2 20 (2)解:由(1)可知,求一个数的算术平方根时,当被开方数的小数点向左(或右)每移动2位,则它 的算术平方根的小数点向左(或右)移动1位, ∵ , ∴被开方数 的小数点向右移动2位得到580,则它的算术平方根的小数点向右移动1位,即; ∵ , , ∴将被开方数 的小数点向右移动4位即可得到 ,∴ ; 故答案为: ,68. (3)解:从以上问题的解决过程中,发现的规律:求一个数的算术平方根时,当被开方数的小数点向左 (或右)每移动2位,则它的算术平方根的小数点向左(或右)移动1位. 2.【阅读与思考】请阅读下面材料,并完成相应的任务. 在学习完实数的相关运算之后,某数学兴趣小组提出了一个有趣的问题:两个数的积的算术平方根与这两 个数的算术平方根的积存在什么关系?小聪和小明分别用自己的方法进行了验证: 小聪: , .所以 . 小明: , . 这就说明 和 都是 的算术平方根,而 的算术平方根只有一个,所以 . 任务: (1)猜想:当 , 时, 和 之间存在怎样的关系? (2)运用以上结论,计算: ① ; ② ; (3)解决实际问题:已知一个长方形的长为 ,宽为 ,求这个长方形的面积. 【答案】(1) (2)① ;② ; (3) 【分析】本题考查了两个数的积的算术平方根与这两个数的算术平方根的积的关系;根据关系进行计算,即可求解; (1)根据已知可得 ,即可求解; (2)①根据关系得 ,即可求解; ②根据关系得 ,即可求解; (3)可得面积为 ,即可求解. 【详解】(1)解:由题意得 ; (2)解:① ; ② ; (3)解:由题意得 , 答:这个长方形的面积为 . 3.先观察下列等式,再回答问题: 第一个等式 ; 第二个等式 ;第三个等式 . (1)根据上述三个等式提供的信息,请你猜想第六个等式; (2)请按照上面各等式反映的规律,试写出第 个等式( 为正整数); (3)对于任何实数 , 表示不超过 的最大整数,如 , ,计算: 的值. 【答案】(1) (2) (3)2025 【分析】本题考查了与算术平方根有关的规律探索,正确找到题中的规律是解题关键. (1)根据题中所给信息可判结果; (2)根据第一问的结果用字母代替数字即可; (3)根据规律将原式进行正确变形求解. 【详解】(1)解:∵第一个等式 ; 第二个等式 ; 第三个等式 , ∴根据规律可猜测第六个等式为 . (2)解:根据(1)总结规律可得:第 个等式为 .(3)解:根据规律可化简 . 4.观察下列正数的立方根运算,并完成下列问题: (1)用语言叙述上述表格中的规律:在立方根运算中,被开方数的小数点每向右移动三位,相应的立方根的 小数点就向___________移动___________位; (2)运用你发现的规律,探究下列问题:已知 ,则 ___________, ___________. (3)类比上述立方根运算:已知 ,则 ___________, ___________. 【答案】(1)右;一; (2) ; (3) ; 【分析】本题考查数字的变化类、立方根、算术平方根,解答本题的关键是明确题意,发现数字的变化特 点,求得所求数字的值. (1)根据表格中的数据,可以发现数字的变化规律; (2)根据(1)的规律可得结论; (3)根据立方根的移位规律可得算术平方根的移位规律,即可求得所求数字的值. 【详解】(1)解:用语言叙述上述表格中的规律:在立方根运算中,被开方数的小数点每向右移动三位, 相应的立方根的小数点就向右移动一位. 故答案为:右;一; (2)解:∵ ,结合立方根小数点的规律,∴ , , 故答案为: ; ; (3)解:在算术平方根运算中,被开方数的小数点每向右移动两位,相应的平方根的小数点就向右移动 一位. ∵ , ∴ , . 故答案为: ; . 5.阅读理解,观察下列式子: ① ; ② ; ③ ; ④ ; … 根据上述等式反映的规律,回答如下问题: (1)由等式①,②,③,④所反映的规律,可归纳为一个这样的真命题:对于任意两个有理数a,b,若 ______,则 ;反之也成立. (2)根据上述的真命题,解答问题:若 与 的值互为相反数,求 的值. 【答案】(1) (2) 【分析】本题考查了立方根、算术平方根的应用,解一元一次方程,观察并总结规律是解题的关键. (1)用含 、 的式子表达规律即可得答案; (2)根据题意列出一元一次方程,解方程求出 的值即可,进而求得算术平方根,即可. 【详解】(1)解:由规律可得:对于任意两个有理数 、 ,若 ,则 ,故答案为: . (2)解:若 与 的值互为相反数,则 , 解得: . ∴ 6.完善下面表格,发现平方根和立方根的规律,并运用规律解决问题. x … 64 6400 64000 … … 8 m … … n 40 … (1)表格中的 ______, ______; (2)已知 ,估计 和 的值;(结果保留四位小数) (3)若 ,估计 的值.(参考数据: ).(结果保留四位小数) 【答案】(1)80,4 (2) , (3) 【分析】本题考查了算术平方根,立方根的计算,及其规律的发现,熟练掌握计算方法和规律是解题的关 键. (1)根据算术平方根的意义计算,根据立方根的规律求解. (2)根据表格得出算术平方根的规律,即可求解. (3)根据(2)中规律求出a,根据表格得出立方根的规律,然后求出b,即可求解. 【详解】(1)解:∵ , ∴ , ∴ , ∵ , ∴ ,∴ , 故答案为:80,4; (2)解:从表格数字中可以发现:开算术平方根时,被开方数的小数点每向左(或向右)移动两位,它 的算术平方根的小数点随即向左(或向右)移动一位. ∵ , ∴ , ; (3)解:根据平方根的变化规律得: ∵ , ∴ 又 , ∴ , 从表格数字中可以发现:被开方数的小数点每向左(或向右)移动三位,它的立方根的小数点随即向左 (或向右)移动一位. ∵ ∴ , ∴ . 7.观察下列一组算式的特征及运算结果,探索规律: 第1个等式: ;第2个等式: ;第3个等式: ;第4个等式: ;…… 规律发现: (1)根据上述规律,直接写出下列算式的值: ① ______; ② ______.(2)用含 ( 为正整数)的代数式表示出第 个等式:______. (3)根据上述规律计算: 【答案】(1)①4;②100 (2) (3) 【分析】本题考查了算术平方根、数字类规律探索,正确得出规律 是解 此题的关键. (1)①根据已知算式得出规律,即可得出答案;②根据已知算式得出规律,即可得出答案; (2)根据已知算式得出规律,即可得出答案; (3)根据 ,计算即可得出答案. 【详解】(1)解:①由题意得: ; ② ; (2)解:第1个等式: ; 第2个等式: ; 第3个等式: ; 第4个等式: ; 第5个等式: ; …… 第 个等式: ; (3)解:. 8.观察下列一组算式的特征,并探索规律: ; ; ; . 根据以上算式的规律,解答下列问题: (1) ________; (2) ________;(用含n的代数式表示) (3) ________; (4)简便计算: . 【答案】(1)15,225 (2) (3)5050 (4)41075 【分析】(1)根据代数式所呈现的规律可得答案; (2)根据规律得出 ,再利用求和公式求出结果即可; (3)根据(2)中得出的结论计算即可得到答案; (4)将原式化为(1)中的形式,利用简便方法求出结果即可.【详解】(1)解: , , 故答案为:15,225; (2)解:由(1)可得: , 故答案为: ; (3)解: , 故答案为:5050; (4)解:原式 . 【点睛】本题考查与算术平方根有关的规律探索,列代数式,熟练理解算术平方根的意义,找出题目中所 呈现的规律是解题的关键. 9.用“◇”和“☆”分别代表甲种植物和乙种植物,为了美化环境,采用如图所示的方案种植. (1)观察图形,寻找规律,并填写下表:(2)求出第 个图形中甲种植物和乙种植物的株数; (3)是否存在一种种植方案,使得乙种植物的株数是甲种植物的株数的2倍?若存在,请你写出是第几个 方案,若不存在,请说明理由. 【答案】(1)16,25,36;25,36,49;(2)甲种植物的株数:n2,乙种植物的株数:(n+1)2;(3)不 存在,理由见解析. 【分析】(1)通过观察图形总结规律即可得到答案; (2)通过观察图形,总结可以得到第n个图形中甲种植物和乙种植物的株数; (3)据总结得到的规律代入数值计算即可. 【详解】解:(1)第一行:16,25,36;第二行:25,36,49; (2)甲种植物的株数:n2,乙种植物的株数:(n+1)2; (3)不存在方案,使得乙种植物的株数是甲种植物的株数的2倍. 由(n+1)2=2 n2,两边同时开平方,得n+1= ,这个方程的正整数解不存在. 【点睛】此题考查了图形的变化类问题,主要培养学生的观察能力和空间想象能力. 10.小明是一位善于思考.勇于创新的同学.在学习了有关平方根的知识后,小明知道负数没有平方根. 比如:因为没有一个数的平方等于 ,所以 没有平方根.有一天,小明想:如果存在一个数 ,使 ,那么 ,因此 就有两个平方根了.进一步,小明想:因为 ,所以 的平方 根是 ;因为 ,所以 的平方根就是 .请你根据上面的信息解答下列问题: (1)求 , 的平方根; (2)求 , , , , , ,…的值,你发现了什么规律?请你将发现的规律用式子表示出来; (3)求 的值. 【答案】(1) , ;(2) , , , , , ;规律: ,, , (其中 是正整数);(3) . 【分析】(1)仿照题干信息,直接求 , 的平方根即可; (2)从 开始,逐次往后推导,即可得出 , , , , , ,…的值,从而根据每一个的结论 总结规律即可; (3)在(2)的基础之上,结合周期性规律求解即可. 【详解】(1)∵ , ∴ 的平方根是 , ∵ , ∴ 的平方根是 . (2) , , , , , ,…, 规律是: 每四个相邻次方为一个循环, 用式子表示为: , , , (其中 是正整数). (3)由(2)可知, 中,相邻四个数的和为0, ∵ , ∴原式 . 【点睛】本题考查平方根的拓展应用,掌握平方根的基本定义,以及;理解题干中给出的定义是解题关键.