当前位置:首页>文档>微专题作差或作商比较大小学案-2023届高考数学一轮《考点·题型·技巧》精讲与精练_02高考数学_通用版(老高考)复习资料_2023年复习资料_一轮复习

微专题作差或作商比较大小学案-2023届高考数学一轮《考点·题型·技巧》精讲与精练_02高考数学_通用版(老高考)复习资料_2023年复习资料_一轮复习

  • 2026-04-15 08:51:33 2026-04-15 08:05:19

文档预览

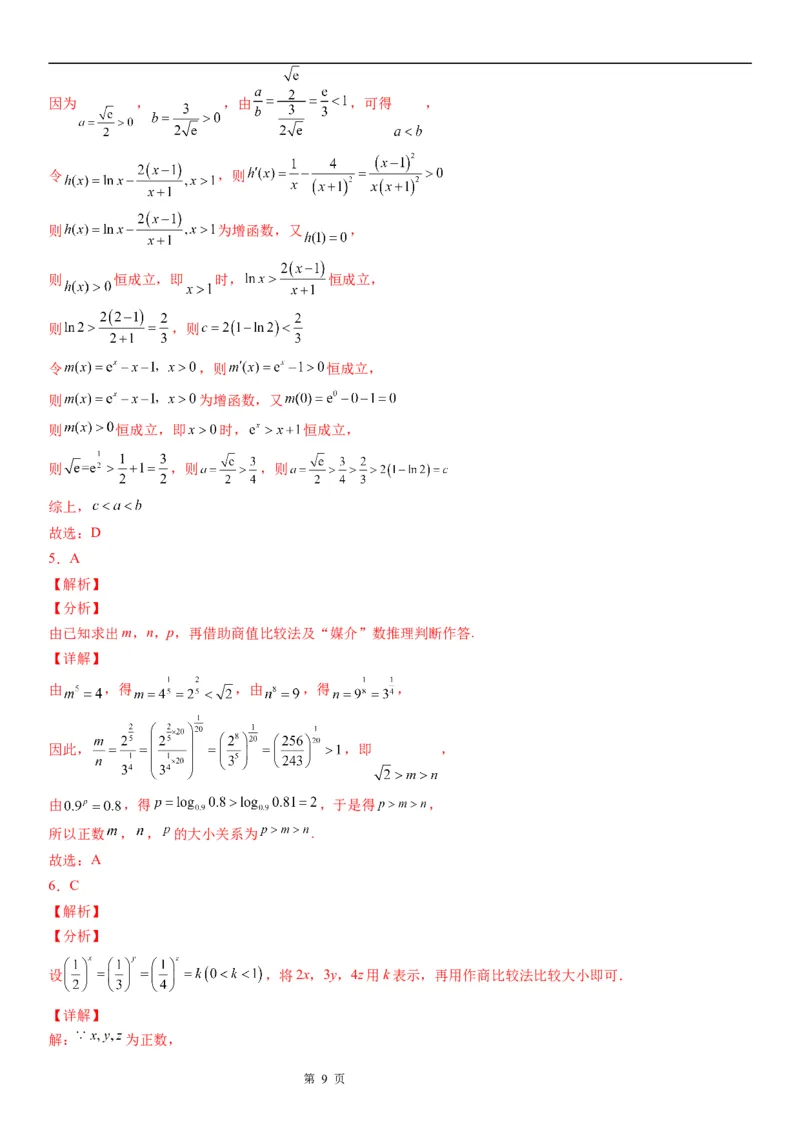
微专题作差或作商比较大小学案-2023届高考数学一轮《考点·题型·技巧》精讲与精练_02高考数学_通用版(老高考)复习资料_2023年复习资料_一轮复习
微专题作差或作商比较大小学案-2023届高考数学一轮《考点·题型·技巧》精讲与精练_02高考数学_通用版(老高考)复习资料_2023年复习资料_一轮复习
微专题作差或作商比较大小学案-2023届高考数学一轮《考点·题型·技巧》精讲与精练_02高考数学_通用版(老高考)复习资料_2023年复习资料_一轮复习
微专题作差或作商比较大小学案-2023届高考数学一轮《考点·题型·技巧》精讲与精练_02高考数学_通用版(老高考)复习资料_2023年复习资料_一轮复习
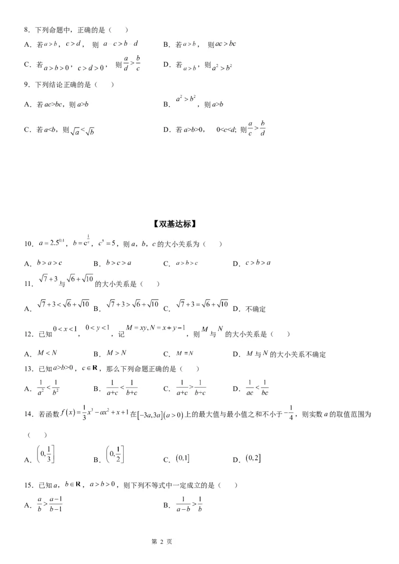
微专题作差或作商比较大小学案-2023届高考数学一轮《考点·题型·技巧》精讲与精练_02高考数学_通用版(老高考)复习资料_2023年复习资料_一轮复习
微专题作差或作商比较大小学案-2023届高考数学一轮《考点·题型·技巧》精讲与精练_02高考数学_通用版(老高考)复习资料_2023年复习资料_一轮复习
微专题作差或作商比较大小学案-2023届高考数学一轮《考点·题型·技巧》精讲与精练_02高考数学_通用版(老高考)复习资料_2023年复习资料_一轮复习
微专题作差或作商比较大小学案-2023届高考数学一轮《考点·题型·技巧》精讲与精练_02高考数学_通用版(老高考)复习资料_2023年复习资料_一轮复习
微专题作差或作商比较大小学案-2023届高考数学一轮《考点·题型·技巧》精讲与精练_02高考数学_通用版(老高考)复习资料_2023年复习资料_一轮复习
微专题作差或作商比较大小学案-2023届高考数学一轮《考点·题型·技巧》精讲与精练_02高考数学_通用版(老高考)复习资料_2023年复习资料_一轮复习
微专题作差或作商比较大小学案-2023届高考数学一轮《考点·题型·技巧》精讲与精练_02高考数学_通用版(老高考)复习资料_2023年复习资料_一轮复习
微专题作差或作商比较大小学案-2023届高考数学一轮《考点·题型·技巧》精讲与精练_02高考数学_通用版(老高考)复习资料_2023年复习资料_一轮复习
微专题作差或作商比较大小学案-2023届高考数学一轮《考点·题型·技巧》精讲与精练_02高考数学_通用版(老高考)复习资料_2023年复习资料_一轮复习
微专题作差或作商比较大小学案-2023届高考数学一轮《考点·题型·技巧》精讲与精练_02高考数学_通用版(老高考)复习资料_2023年复习资料_一轮复习
微专题作差或作商比较大小学案-2023届高考数学一轮《考点·题型·技巧》精讲与精练_02高考数学_通用版(老高考)复习资料_2023年复习资料_一轮复习
微专题作差或作商比较大小学案-2023届高考数学一轮《考点·题型·技巧》精讲与精练_02高考数学_通用版(老高考)复习资料_2023年复习资料_一轮复习
微专题作差或作商比较大小学案-2023届高考数学一轮《考点·题型·技巧》精讲与精练_02高考数学_通用版(老高考)复习资料_2023年复习资料_一轮复习
微专题作差或作商比较大小学案-2023届高考数学一轮《考点·题型·技巧》精讲与精练_02高考数学_通用版(老高考)复习资料_2023年复习资料_一轮复习
微专题作差或作商比较大小学案-2023届高考数学一轮《考点·题型·技巧》精讲与精练_02高考数学_通用版(老高考)复习资料_2023年复习资料_一轮复习
微专题作差或作商比较大小学案-2023届高考数学一轮《考点·题型·技巧》精讲与精练_02高考数学_通用版(老高考)复习资料_2023年复习资料_一轮复习
微专题作差或作商比较大小学案-2023届高考数学一轮《考点·题型·技巧》精讲与精练_02高考数学_通用版(老高考)复习资料_2023年复习资料_一轮复习
微专题作差或作商比较大小学案-2023届高考数学一轮《考点·题型·技巧》精讲与精练_02高考数学_通用版(老高考)复习资料_2023年复习资料_一轮复习
微专题作差或作商比较大小学案-2023届高考数学一轮《考点·题型·技巧》精讲与精练_02高考数学_通用版(老高考)复习资料_2023年复习资料_一轮复习
微专题作差或作商比较大小学案-2023届高考数学一轮《考点·题型·技巧》精讲与精练_02高考数学_通用版(老高考)复习资料_2023年复习资料_一轮复习
微专题作差或作商比较大小学案-2023届高考数学一轮《考点·题型·技巧》精讲与精练_02高考数学_通用版(老高考)复习资料_2023年复习资料_一轮复习
微专题作差或作商比较大小学案-2023届高考数学一轮《考点·题型·技巧》精讲与精练_02高考数学_通用版(老高考)复习资料_2023年复习资料_一轮复习
微专题作差或作商比较大小学案-2023届高考数学一轮《考点·题型·技巧》精讲与精练_02高考数学_通用版(老高考)复习资料_2023年复习资料_一轮复习
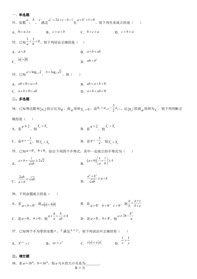
微专题作差或作商比较大小学案-2023届高考数学一轮《考点·题型·技巧》精讲与精练_02高考数学_通用版(老高考)复习资料_2023年复习资料_一轮复习
微专题作差或作商比较大小学案-2023届高考数学一轮《考点·题型·技巧》精讲与精练_02高考数学_通用版(老高考)复习资料_2023年复习资料_一轮复习
微专题作差或作商比较大小学案-2023届高考数学一轮《考点·题型·技巧》精讲与精练_02高考数学_通用版(老高考)复习资料_2023年复习资料_一轮复习
微专题作差或作商比较大小学案-2023届高考数学一轮《考点·题型·技巧》精讲与精练_02高考数学_通用版(老高考)复习资料_2023年复习资料_一轮复习
微专题作差或作商比较大小学案-2023届高考数学一轮《考点·题型·技巧》精讲与精练_02高考数学_通用版(老高考)复习资料_2023年复习资料_一轮复习
微专题作差或作商比较大小学案-2023届高考数学一轮《考点·题型·技巧》精讲与精练_02高考数学_通用版(老高考)复习资料_2023年复习资料_一轮复习
微专题作差或作商比较大小学案-2023届高考数学一轮《考点·题型·技巧》精讲与精练_02高考数学_通用版(老高考)复习资料_2023年复习资料_一轮复习
微专题作差或作商比较大小学案-2023届高考数学一轮《考点·题型·技巧》精讲与精练_02高考数学_通用版(老高考)复习资料_2023年复习资料_一轮复习
微专题作差或作商比较大小学案-2023届高考数学一轮《考点·题型·技巧》精讲与精练_02高考数学_通用版(老高考)复习资料_2023年复习资料_一轮复习

文档信息

文档格式
docx
文档大小
1.587 MB
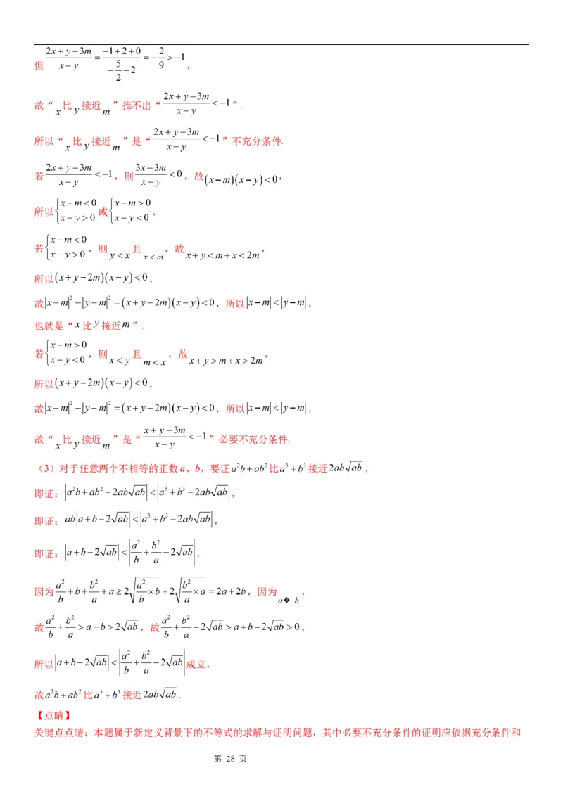
文档页数
32 页
上传时间
2026-04-15 08:05:19

文档内容

微专题:作差或作商比较大小 【考点梳理】 作差(商)比较法的步骤是:①作差(商);②变形:配方、因式分解、通分、分母(分子)有理化等;③判断符 号(判断商和“1”的大小关系);④给出结论. 【题型归纳】 题型一:作差法比较代数式的大小 1.若实数 、 满足 ,下列不等式中恒成立的是( ) A. B. C. D. 2.已知 ,则下列大小关系正确的是( ) A. B. C. D. 3.若 ,则下列不等式不能成立的是( ) A. B. C. D. 题型二:作商法比较代数式的大小 4.设 , , ,则( ) A. B. C. D. 5.已知 , , ,则正数 , , 的大小关系为( ) A. B. C. D. 6.设x、y、z为正实数,且 ,则( ) A. B. C. D. 题型三:由不等式的性质证明不等式 7.设 ,则“ ”是“ ”的( ) A.充分不必要条件 B.必要不充分条件 C.充要条件 D.既不充分也不必要条件 第 1 页 学学科科网网((北北京京))股股份份有有限限公公司司8.下列命题中,正确的是( ) A.若 , , 则 B.若 , 则 C.若 , , 则 D.若 ,则 9.下列结论正确的是( ) A.若ac>bc,则a>b B. ,则a>b C.若ab>0, 0N C.M=N D.M≥N 18.设a、b是正实数,以下不等式恒成立的为( ) A. B. C. D. 19.下列选项正确的是( ) A.a与b的差不是正数用不等式表示为a-b<0 B.a的绝对值不超过3用不等式表示为a≤3 C.(x-3)2<(x-2)(x-4) D.x2+y2+1>2(x+y-1) 20.不等式a2+1≥2a中等号成立的条件是( ) A.a=±1 B.a=1 C.a=-1 D.a=0 21.已知实数a,b满足 , ,则下列判断正确的是( ) A. B. C. D. 22.已知 ,则下列结论正确的是( ) A. B. C. D. 23.若非零实数 , 满足 ,则下列不等式成立的是( ) A. B. C. D. 24.实数 , , 分别满足 , , ,则 , , 的大小关系为( ) 第 3 页 学学科科网网((北北京京))股股份份有有限限公公司司A. B. C. D. 25.若正实数a,b满足 ,且 ,则下列不等式一定成立的是( ) A. B. C. D. 26.古希腊科学家阿基米德在《论平面图形的平衡》一书中提出了杠杆原理,它是使用天平秤物品的理论基础, 当天平平衡时,左臂长与左盘物品质量的乘积等于右臀长与右盘物品质量的乘积,某金店用一杆不准确的天平 (两边臂不等长)称黄金,某顾客要购买 黄金,售货员先将 的砝码放在左盘,将黄金放于右盘使之平衡后 给顾客;然后又将 的砝码放入右盘,将另一黄金放于左盘使之平衡后又给顾客,则顾客实际所得黄金( ) A.大于 B.小于 C.大于等于 D.小于等于 27.已知 的三边长分别为 、 、 ,有以下4个命题: (1)以 、 、 为边长的三角形一定存在; (2)以 、 、 为边长的三角形一定存在; (3)以 、 、 为边长的三角形一定存在; (4)以 、 、 为边长的三角形一定存在;其中正确命题的个数为( ) A.1个 B.2个 C.3个 D.4个 28.某次全程马拉松比赛中,选手甲前半程以速度a匀速跑,后半程以速度b匀速跑;选手乙前一半时间以速度a 匀速跑,后一半时间以速度b匀速跑(注:速度单位 ),若 ,则( ) A.甲先到达终点 B.乙先到达终点 C.甲乙同时到达终点 D.无法确定谁先到达终点 29.某单位计划今明两年购买某物品,现有甲、乙两种不同的购买方案,甲方案:每年购买的数量相等;乙方案: 每年购买的金额相等,假设今明两年该物品的价格分别为 、 ,则这两种方案中平均价格比较低的是 ( ) A.甲 B.乙 C.甲、乙一样 D.无法确定 30.设 , ,给出下列不等式不恒成立的是( ) A. B. C. D. 【高分突破】 第 4 页 学学科科网网((北北京京))股股份份有有限限公公司司一、单选题 31.实数 , , 满足 且 ,则下列关系成立的是( ) A. B. C. D. 32.已知 ,则下列结论正确的是( ) A. B. C. D. 33.已知 , ,则( ) A. B. C. D. 二、多选题 34.已知等比数列 的公比为 ,前 项和 ,设 ,记 的前 项和为 ,则下列判断正 确的是( ) A.若 ,则 B.若 ,则 C.若 ,则 D.若 ,则 35.已知 , ,给出下列四个不等式,其中一定成立的不等式为( ) A. B. C. D. 36.下列命题成立的是( ) A.若 ,则 B.若 , , ,则 C.若 , ,则 D.若 , ,则 37.已知两个不为零的实数 , 满足 ,则下列说法中正确的有( ) A. B. C. D. 三、填空题 38.若a=1816,b=1618,则a与b的大小关系为________. 第 5 页 学学科科网网((北北京京))股股份份有有限限公公司司39.已知 , 为实数,则 ______ .(填“>”、“<”、“≥”或“≤”) 40.已知 , ,则M________N.(填“>”或“<”) 41.函数 在 上的平均变化率为 ,在 上的平均变化率为 ,则 与 的大小 关系是______. 42.下列四个命题: ①若 , ,则 ; ②函数 的最小值是3; ③已知正实数 , 满足 ,则 的最小值为 . 其中所有正确命题的序号是__________. 43.已知 ,则 ___________ .(用“>”或“<”填空) 四、解答题 44.若 , ,求证: . 45.若实数x,y,m满足 ,则称x比y接近m, (1)若 比3接近1,求x的取值范围; (2)证明:“x比y接近m”是“ ”的必要不充分条件; (3)证明:对于任意两个不相等的正数a、b,必有 比 接近 . 46.(1)设 ,试比较 与 的大小 (2)已知 , ,求 的取值范围. 47.对在直角坐标系的第一象限内的任意两点作如下定义:若 ,那么称点 是点 的“上位点”.同 时点 是点 的“下位点”; (1)试写出点 的一个“上位点”坐标和一个“下位点”坐标; 第 6 页 学学科科网网((北北京京))股股份份有有限限公公司司(2)已知点 是点 的“上位点”,判断点 是否既是点 的“上位点”,又是点 的 “下位点”,证明你的结论; (3)设正整数 满足以下条件:对集合 内的任意元素 ,总存在正整数 ,使得点 既是 点 的“下位点”,又是点 的“上位点”,求正整数 的最小值. 48.已知 , . (1)求证: ; (2)若 ,求ab的最小值. 第 7 页 学学科科网网((北北京京))股股份份有有限限公公司司参考答案 1.A 【解析】 【分析】 利用作差法可判断各选项中不等式的正误. 【详解】 因为 ,则 ,故 ,A对B错; ,即 , 当且仅当 时,即当 时,等号成立,CD都错. 故选:A. 2.C 【解析】 【分析】 结合不等式的性质以及差比较法确定正确答案. 【详解】 为正数, 为负数,所以 , , , 所以 . 故选:C 3.B 【解析】 【分析】 由不等式的性质及对数函数单调性依次判断即可. 【详解】 由 ,可得 , ,A、D正确; 由 结合 的单调递增知 ,B错误; ,则 ,C正确. 故选:B. 4.D 【解析】 【分析】 利用比商法比较 的大小,构造新函数并利用放缩法比较 的大小,进而得到 . 【详解】 第 8 页因为 , ,由 ,可得 , 令 ,则 则 为增函数,又 , 则 恒成立,即 时, 恒成立, 则 ,则 令 ,则 恒成立, 则 为增函数,又 则 恒成立,即 时, 恒成立, 则 ,则 ,则 综上, 故选:D 5.A 【解析】 【分析】 由已知求出m,n,p,再借助商值比较法及“媒介”数推理判断作答. 【详解】 由 ,得 ,由 ,得 , 因此, ,即 , 由 ,得 ,于是得 , 所以正数 , , 的大小关系为 . 故选:A 6.C 【解析】 【分析】 设 ,将2x,3y,4z用k表示,再用作商比较法比较大小即可. 【详解】 解: 为正数, 第 9 页令 所以 所以 , 又因为 , ,所以 , 故选: C. 7.A 【解析】 【分析】 根据不等式的基本性质可证充分性成立,举例说明可证必要性不成立. 【详解】 ,所以充分性成立, 当 时,满足 ,但 不成立,所以必要性不成立. 所以“ ”是“ ”的充分不必要条件. 故选:A. 8.C 【解析】 【分析】 根据不等式的基本性质及特殊值一一判断即可. 【详解】 解:对于A:当 , , , ,满足 , ,但是 ,故A错误; 对于B:当 时 ,故B错误; 对于C:由 ,所以 ,因为 ,所以 ,故C正确; 对于D:当 , 满足 ,但是 ,故D错误; 第 10 页故选:C 9.D 【解析】 【分析】 根据题目条件分别代入反例使得结果错误排除错误答案即可判定D正确. 【详解】 选项A:若c为负数,则ab>0, 00,所以M>N, 1 2 2 1 2 故选:B. 【点睛】 此题考查大小的比较,利用作差法进行求解,是一道基础题. 第 14 页18.D 【解析】 【分析】 根据不等式性质和基本不等式逐项分析判断即可得解. 【详解】 对于选项A,因为a、b是正实数,所以 ,则 ,可得到 ,当且仅当 时等号成 立,故选项A错误; 对于选项B,因为a、b是正实数,所以 ,当且仅当 ,即 时取等号,故选 项B错误; 对于选项C, ,当且仅当 时取等号,故选项C错误; 对于选项D, ,则 恒成立,故选项D正确; 故选:D. 19.D 【解析】 【分析】 用做差法比较大小,即可做出判断. 【详解】 A.a与b的差不是正数用不等式表示为a-b≤0,故A错误; B.a的绝对值不超过3用不等式表示为|a|≤3,故B错误; C.(x-3)2-(x-2)(x-4)=1>0,所以(x-3)2>(x-2)(x-4),故C错误; D.x2+y2+1-2(x+y-1)=(x-1)2+(y-1)2+1>0,所以x2+y2+1>2(x+y-1),故D正确. 故选:D 20.B 【解析】 【分析】 由a2+1-2a=(a-1)2可得结果. 【详解】 a2+1-2a=(a-1)2≥0,∴ a=1时,等号成立. 故选:B. 21.C 【解析】 【分析】 根据对数和指数的单调性可判断 , ;在构造函数 , ,再根据换元法和不等式放 缩,可证明当 时, ,由此即可判断 的大小. 【详解】 第 15 页因为 ,所以 ; 由 且 ,所以 ,所以 , 令 , , 令 ,则 , 则 , 等价于 , ; 又 , 所以当 时, , 故 ,所以 . 故选:C. 22.D 【解析】 【分析】 根据不等式的性质,结合指数函数、对数函数的单调性、作差法比较大小等知识,逐一分析各个选项,即可得答 案. 【详解】 因为 ,所以 , 对于A: , ,所以 ,故A错误; 对于B: ,所以 在 上为增函数, 又 ,所以 ,故B错误; 对于C: , 因为 , ,所以 , 所以 ,故C错误; 对于D: , 因为 , , 所以 ,即 ,故D正确. 故选:D 23.C 第 16 页【解析】 【分析】 举出符合条件的特例即可判断选项A,B,D,对于C,作出不等式两边的差即可判断作答. 【详解】 取 ,满足 ,而 ,A不成立; 取 ,满足 ,而 ,B不成立; 因 ,即有 ,C成立; 取 ,满足 ,而 ,即 ,D不成立. 故选:C 24.B 【解析】 【分析】 由题意得 , , ,然后 与 作差结合基本不等式比较大小,构造函数 , 可判断其在 上单调递减,则 ,化简可得 ,则 ,则可比较出 与 的大 小即可 【详解】 由题意得 , , ,则 , 因为 , 所以 , 所以 , 设 ,则 ,当 时, ,所以 在 上单调递减,所以 ,即 ,所以 , 所以 ,所以 ,所以 ,所以 , 因为 ,所以 , 第 17 页所以 , 故选:B 【点睛】 关键点点睛:此题考查对数与指数的互化,考查基本不等式的应用,考查导数的应用,解题的关键是构造函数 判断出其单调性,可得 ,再转化为 ,考查数学转化思想和计算能力,属于难题 25.D 【解析】 【分析】 根据函数单调性及 得到 或 ,分别讨论两种情况下四个选项是否正确,A选项可以用 对数函数单调性得到,B选项可以用作差法,C选项用作差法及指数函数单调性进行求解,D选项,需要构造函数 进行求解. 【详解】 因为 , 为单调递增函数,故 ,由于 ,故 ,或 , 当 时, ,此时 ; ,故 ; , ; 当 时, ,此时 , ,故 ; , ; 故ABC均错误; D选项, ,两边取自然对数, ,因为不管 ,还是 ,均有 ,所以 ,故只需证 即可, 设 ( 且 ),则 ,令 ( 且 ),则 ,当 时, ,当 时, ,所以 ,所以 在 且 上恒成立,故 ( 且 )单调递减,因为 ,所以 ,结论 得证,D正确 故选:D 26.A 【解析】 【分析】 设天平左臂长为 ,右臂长为 (不妨设 ),先称得的黄金的实际质量为 ,后称得的黄金的实际质量为 . 第 18 页根据天平平衡,列出等式,可得 表达式,利用作差法比较 与10的大小,即可得答案. 【详解】 解:由于天平的两臂不相等,故可设天平左臂长为 ,右臂长为 (不妨设 ), 先称得的黄金的实际质量为 ,后称得的黄金的实际质量为 . 由杠杆的平衡原理: , .解得 , , 则 . 下面比较 与10的大小:(作差比较法) 因为 , 因为 ,所以 ,即 . 所以这样可知称出的黄金质量大于 . 故选:A 27.B 【解析】 【分析】 的三边长分别为 、 、 ,不妨设 ,则 ,通过平方作差判断(1)正确,直接作差判断 (2)(3),举反例判断(4),进而可得正确答案. 【详解】 的三边长分别为 、 、 ,不妨设 ,则 , 对于(1): ,所以 ,所以以 、 、 为边长的三角形 一定存在;故(1)正确; 对于(2): 不一定成立,因此以 、 、 为边长的三角形不一定存在;故 (2)不正确; 对于(3): ,因此以 、 、 为边长的三角形一定存在;故(3)正确; 对于(4): 取 , ,因此 、 、 ,能构成一个三角形的三边,而 ,因此以 、 、 为边长的三角形不一定存在,故(4)不正确, 所以正确的命题有 个, 故选:B 【点睛】 关键点点睛:本题关键是设不妨设 ,则 ,然后(1)中带根号,所以平方后作差满足两边之和大 于第三边,对于(2)(3)直接作差,利用两个小编之和大于第三边,即可求解. 28.B 【解析】 第 19 页设马拉松全程为x,得到甲用的时间为 ,乙用的时间为 , 做差比较大小可得答案. 【详解】 设马拉松全程为x,所以甲用的时间为 ,乙用的时间为 , 因为 , 所以 , 所以 ,则乙先到达终点. 故选:B. 【点睛】 比较大小的方法有: (1)根据单调性比较大小;(2)作差法比较大小; (3)作商法比较大小;(4)中间量法比较大小. 29.B 【解析】 分别计算出两种方案的平均价格,然后利用作差法可得出结论. 【详解】 对于甲方案,设每年购买的数量为 ,则两年的购买的总金额为 , 平均价格为 ; 对于乙方案,设每年购买的总金额为 ,则总数量为 , 平均价格为 . 因为 ,所以, . 因此,乙方案的平均价格较低. 故选:B. 【点睛】 方法点睛:比较法是不等式性质证明的理论依据,是不等式证明的主要方法之一,作差法的主要步骤为:作差 ——变形——判断正负.在所给不等式是积、商、幂的形式时,可考虑比商 30.B 【解析】 作差法比较大小及利用基本不等式判断可得. 【详解】 第 20 页解:设 , , 对于A选项: ,故A选项的不等式恒成立; ,故B选项不恒成立; ,当且仅当 即 时取等号,故C选项中的不等式恒成立, 因为 , , ,当且仅当 , ,即 时取等号,故D选项中的不 等式恒成立, 故选:B. 【点睛】 利用基本不等式求最值时,要注意其必须满足的三个条件: (1)“一正二定三相等”“一正”就是各项必须为正数; (2)“二定”就是要求和的最小值,必须把构成和的二项之积转化成定值;要求积的最大值,则必须把构成积的 因式的和转化成定值; (3)“三相等”是利用基本不等式求最值时,必须验证等号成立的条件,若不能取等号则这个定值就不是所求的 最值,这也是最容易发生错误的地方. 31.D 【解析】 【分析】 根据等式 可变形为 ,利用完全平方可得 大小,由 得 ,做差 ,配方法比较大小. 【详解】 由 可得 ,则 , 由 可得 ,利用完全平方可得 所以 , , , 综上 , 故选:D 【点睛】 本题主要考查了做差法比较两个数的大小,考查了推理与运算能力,属于难题. 32.B 【解析】 【分析】 结合不等式的性质、差比较法对选项进行分析,从而确定正确选项. 【详解】 第 21 页因为 ,所以 ,故A错误; 因为 ,所以 ,所以 ,故B正确; 因为 ,所以 不成立,故C错误; ,因为 ,所以 ,即 ,所以 成立,故D错误. 故选:B 33.D 【解析】 【分析】 根据对数函数的单调性及对数的运算法则,判断、计算 的符号,作商比较 的大小即可得解. 【详解】 因为 , 所以 , 又因为 , 所以 , 又因 , 所以 且 , 所以 ,所以 , 故选:D 34.AB 【解析】 【分析】 先根据 求得 以及公比 的取值范围,再由 可得 ,计算 ,讨论 的范围即可得 与 的大小关系,进而可得正确选项. 【详解】 由于 是等比数列, ,所以 , , 当 时, ,符合题意; 当 时, ,即 , 等价于 或 , 第 22 页对于 ,由于 可能是奇数,也可能是偶数,所以 , 对于 可得: . 综上所述, 的取值范围是 ; 因为 ,所以 , 所以 , 因为 ,且 ,所以,当 或 时, ,即 ,故A选项正确. 当 或 时, ,即 ,故B选项正确,D选项错误. 当 时, ,即 ,故C选项错误; 故选:AB. 35.ABD 【解析】 选项A,利用基本不等式得 ,再利用基本不等式得 ,两次等号成立的条件必须相同; 选项B,把 展开,利用基本不等式即可证明;选项C,由基本不等式可判断;选项D,作差法证明 即得. 【详解】 对A, ,当且仅当 ,即 时, 等号成立,故A正确; 对B, ,当且仅当 ,即 时等号成立,故B正确; 对C, , ,当且仅当 时等号成立,故C错误; 对D, , , , , ,故D正确. 故选:ABD. 【点睛】 本题考查基本不等式和作差法比较大小,属于中档题. 第 23 页36.ACD 【解析】 【分析】 利用不等式的性质判断A的正误,作差法比较 的大小判断B的正误,由 ,应用 均值不等式即可判断C的正误,由 ,结合已知条件即可判断D的正误. 【详解】 A:由题设知: ,而 ,则有 ,正确; B: ,显然当 时 成立,当 时 成立,错误; C:由 , ,则 ,当且仅当 时等号成立,正确; D: , ,而 ,即 ,故 ,正确. 故选:ACD. 37.AC 【解析】 【分析】 对四个选项一一验证: 对于A:利用 为增函数直接证明; 对于B:取特殊值判断; 对于C:若 时,利用同向不等式相乘判断;若 时,有 ,直接判断;若 时, 利用不等式的乘法性质进行判断 对于D:取特殊值判断; 【详解】 对于A:因为两个不为零的实数 , 满足 ,所以 ,而 为增函数,所以 ,即 ; 故A正确; 对于B:可以取 ,则有 ,所以 ;故B不正确; 对于C:若 时,则有 根据同向不等式相乘得: ,即 成立; 若 时,有 ,故 成立; 若 时,则有 , ,因为 ,所以 ,即 成立; 故C正确; 对于D:可以取 ,则有 ,所以 ;故D不正确; 故选:AC 【点睛】 第 24 页(1)判断不等式是否成立:①利用不等式的性质或定理直接证明;②取特殊值进行否定,用排除法; (2)多项选择题是2020年高考新题型,需要要对选项一一验证. (3)要证明一个命题是真命题,需要严格的证明;要判断一个命题是假命题,只需要举一个反例否定就看可以了. 38.a0,1618>0,∴1816<1618, 即a 【解析】 【分析】 第 26 页利用作差法即得. 【详解】 ∵ , ∴ > . 故答案为:> 44.证明见解析 【解析】 要证 ,只要证 即可,所以利用作差法证明即可 【详解】 解:因为 , 所以 , 因为 ,所以 , 所以 , 所以 , 所以 【点睛】 此题考查利用不等式的性质证明不等式,属于基础题 45.(1) ;(2)见解析;(3)见解析. 【解析】 (1)根据定义可得 ,从而可求x的取值范围. (2)通过反例可得“ 比 接近 ”是“ ”不充分条件.利用不等式的性质可证明“ 比 接近 ”是“ ”的必要条件,故可得所证结论. (3)利用基本不等式结合分析法可证结论成立. 【详解】 (1)因为 比3接近1,故 , 故 ,故 ,所以 . (2)取 , 则 ,故 比 接近 . 第 27 页但 , 故“ 比 接近 ”推不出“ ”. 所以“ 比 接近 ”是“ ”不充分条件. 若 ,则 ,故 , 所以 或 , 若 ,则 且 ,故 , 所以 , 故 ,所以 , 也就是“ 比 接近 ”. 若 ,则 且 ,故 , 所以 , 故 ,所以 , 故“ 比 接近 ”是“ ”必要不充分条件. (3)对于任意两个不相等的正数a、b,要证 比 接近 , 即证: , 即证: , 即证: , 因为 ,因为 , 故 ,故 , 所以 成立, 故 比 接近 . 【点睛】 关键点点睛:本题属于新定义背景下的不等式的求解与证明问题,其中必要不充分条件的证明应依据充分条件和 第 28 页必要条件的定义来展开,证明不等式恒成立要结合不等式的性质,也要结合基本不等式. 46.(1) ;(2) . 【解析】 (1)根据作差法,由题中条件,即可得出结果; (2)设 ,求出 ,根据题中条件,由不等式的性质,即可求 出结果. 【详解】 (1) ∵ ,∴ , , ∴ ∴ (2)设 则 , ∴ , ∴ ∵ , , ∴ , ∴ 即 . 【点睛】 本题主要考查作差法比较大小,以及不等式的性质求范围,属于常考题型. 47.(1)“上位点”为 ,“下位点”为 ;(2)是,证明见解析;(3)4039. 【解析】 (1)根据题设中的定义可得结果; (2)作差可得 , ,再根据定义可知结论成立; (3)根据题意得 对 时恒成立,根据(2)的结论可知,当 , 第 29 页时,满足条件,若 ,作差 可知 不成立,可得正整 数 的最小值为4039. 【详解】 (1)根据题设中的定义可得点 的一个上位点"坐标和一个“下位点”坐标分别为 和 ; (2)点 既是点 的“上位点”,又是点 的“下位点”, 证明:∵点 是点 的“上位点”,∴ ∵ , , , 均大于0,∴ ,∴ ∴ , 即 ,所以点 是点 的“上位点”, 同理可得 ,即 , 所以点 是点 的“下位点”, 所以点 既是点 的“上位点”,又是点 的“下位点”. (3)根据题意得 对 时恒成立, 根据(2)的结论可知,当 , 时,满足条件, 若 ,由于 , 则 不成立,故正整数 的最小值为4039。 【点睛】 关键点点睛:理解并运用上位点和下位点的定义是解题关键. 48.(1)证明见解析;(2)1. 【解析】 【分析】 (1)对不等式两边式子作差,分解因式,判断作差的结果的符号,可得证. (2)根据 ,可得 ,从而得到 ,进而求得 ,注意等号成立的条件,得到 结果. 【详解】 证明:(1)∵ , ∴ . (2)∵ , , ∴ ,即 , 第 30 页∴ ,∴ . 当且仅当 时取等号,此时ab取最小值1. 【点睛】 该题主要是考查不等式的证明和运用基本不等式求最值,在证明不等式时,可以运用综合法也可以运用分析法, 一般的比较大小的最重要的方法就是作差法,然后结合综合法和分析法来一起证明,属于中档题. 第 31 页第 32 页