当前位置:首页>文档>第五章三角函数(综合检测)一轮复习讲义2024年高考数学高频考点题型归纳与方法总结(新高考通用)参考答案_02高考数学_新高考复习资料_2024年新高考资料_一轮复习资料

第五章三角函数(综合检测)一轮复习讲义2024年高考数学高频考点题型归纳与方法总结(新高考通用)参考答案_02高考数学_新高考复习资料_2024年新高考资料_一轮复习资料

  • 2026-04-19 09:09:20 2026-04-19 09:09:20

文档预览

第五章三角函数(综合检测)一轮复习讲义2024年高考数学高频考点题型归纳与方法总结(新高考通用)参考答案_02高考数学_新高考复习资料_2024年新高考资料_一轮复习资料
第五章三角函数(综合检测)一轮复习讲义2024年高考数学高频考点题型归纳与方法总结(新高考通用)参考答案_02高考数学_新高考复习资料_2024年新高考资料_一轮复习资料
第五章三角函数(综合检测)一轮复习讲义2024年高考数学高频考点题型归纳与方法总结(新高考通用)参考答案_02高考数学_新高考复习资料_2024年新高考资料_一轮复习资料
第五章三角函数(综合检测)一轮复习讲义2024年高考数学高频考点题型归纳与方法总结(新高考通用)参考答案_02高考数学_新高考复习资料_2024年新高考资料_一轮复习资料
第五章三角函数(综合检测)一轮复习讲义2024年高考数学高频考点题型归纳与方法总结(新高考通用)参考答案_02高考数学_新高考复习资料_2024年新高考资料_一轮复习资料
第五章三角函数(综合检测)一轮复习讲义2024年高考数学高频考点题型归纳与方法总结(新高考通用)参考答案_02高考数学_新高考复习资料_2024年新高考资料_一轮复习资料
第五章三角函数(综合检测)一轮复习讲义2024年高考数学高频考点题型归纳与方法总结(新高考通用)参考答案_02高考数学_新高考复习资料_2024年新高考资料_一轮复习资料
第五章三角函数(综合检测)一轮复习讲义2024年高考数学高频考点题型归纳与方法总结(新高考通用)参考答案_02高考数学_新高考复习资料_2024年新高考资料_一轮复习资料
第五章三角函数(综合检测)一轮复习讲义2024年高考数学高频考点题型归纳与方法总结(新高考通用)参考答案_02高考数学_新高考复习资料_2024年新高考资料_一轮复习资料
第五章三角函数(综合检测)一轮复习讲义2024年高考数学高频考点题型归纳与方法总结(新高考通用)参考答案_02高考数学_新高考复习资料_2024年新高考资料_一轮复习资料

文档信息

文档格式
docx
文档大小
0.255 MB
文档页数
6 页
上传时间
2026-04-19 09:09:20

文档内容

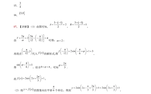
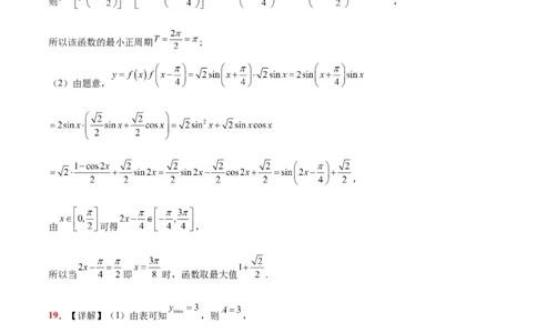
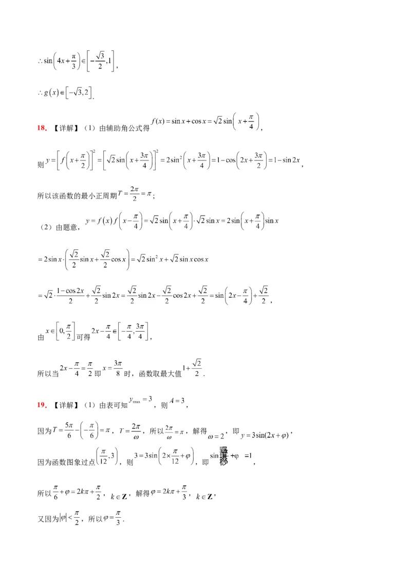
第五章 三角函数章末检测 参考答案 1.C 2.D 3.D 4.D 5.D 6.D 7.A 8.C 9.BD 10.BD 11.ABC 12.ABD 13. 14.6 15. 16. 17.【详解】(1)由图可知, , , 由 可得: , 再将点 代入 的解析式,得 , 得 ,结合 ,可知 . 故 ; (2)将 的图象向右平移 个单位,得到 , 再把得到的图象上各点的横坐标缩短到原来的 ,纵坐标不变,然后再向下平移 个单位,得到 , , ,, . 18.【详解】(1)由辅助角公式得 , 则 , 所以该函数的最小正周期 ; (2)由题意, , 由 可得 , 所以当 即 时,函数取最大值 . 19.【详解】(1)由表可知 ,则 , 因为 , ,所以 ,解得 ,即 , 因为函数图象过点 ,则 ,即 , 所以 , ,解得 , , 又因为 ,所以 .(2)由(1)可知 . 因为 ,所以 , 因此,当 时,即 时, , 当 时,即 时, . 所以该函数在区间 上的最大值是3,最小值是 . 20.【详解】(1) 当 即 时,函数单调递减, 所以函数 的单调递减区间为 . (2) 将函数 图象上所有点的横坐标缩短为原来的 倍, 纵坐标不变,然后再向右平移 ( )个单位长度, 所得函数为 , 若图象关于 轴对称,则 , 即 ,解得 , 又 ,则当 时, 有最小值 .21.【详解】(1) , 若函数 的周期为 ,则 ,可得 , 所以 , 由 , ,可得 , , 所以 , , 所以 , , 即函数 在 , 上的值域为 , . (2)因为 , , 所以 , 因为 在区间 , 上为增函数, 所以 , 所以 , 又 ,所以取 ,可得 , 所以 的最大值为2, 此时 , 令 , ,解得 , ,所以函数 的对称轴为 , . 22.【详解】(1)因为 , 所以函数 的最小正周期为 . (2)将函数 的图象的横坐标缩小为原来的 ,可得到函数 的图象, 再将 的函数图象向右平移 个单位,最后得到函数 的图象, 则 , 由 , ,解得 , , 所以函数 的单调递增区间为 . (3)当 时, , 则 所以 , 在区间 上的值域为 . 由 ,得 , 由 在 上恒成立,得 ,解得 ,∴实数 的取值范围为 .