当前位置:首页>文档>计算题02(1基本与规范+1模型综合+1数理思想解析版)_04高考物理_2025年新高考资料_二轮复习_2025年高考物理二轮热点题型归纳与变式演练(新高考通用)339880232

计算题02(1基本与规范+1模型综合+1数理思想解析版)_04高考物理_2025年新高考资料_二轮复习_2025年高考物理二轮热点题型归纳与变式演练(新高考通用)339880232

  • 2026-04-21 04:24:50 2026-04-21 04:24:50

文档预览

计算题02(1基本与规范+1模型综合+1数理思想解析版)_04高考物理_2025年新高考资料_二轮复习_2025年高考物理二轮热点题型归纳与变式演练(新高考通用)339880232
计算题02(1基本与规范+1模型综合+1数理思想解析版)_04高考物理_2025年新高考资料_二轮复习_2025年高考物理二轮热点题型归纳与变式演练(新高考通用)339880232
计算题02(1基本与规范+1模型综合+1数理思想解析版)_04高考物理_2025年新高考资料_二轮复习_2025年高考物理二轮热点题型归纳与变式演练(新高考通用)339880232
计算题02(1基本与规范+1模型综合+1数理思想解析版)_04高考物理_2025年新高考资料_二轮复习_2025年高考物理二轮热点题型归纳与变式演练(新高考通用)339880232
计算题02(1基本与规范+1模型综合+1数理思想解析版)_04高考物理_2025年新高考资料_二轮复习_2025年高考物理二轮热点题型归纳与变式演练(新高考通用)339880232
计算题02(1基本与规范+1模型综合+1数理思想解析版)_04高考物理_2025年新高考资料_二轮复习_2025年高考物理二轮热点题型归纳与变式演练(新高考通用)339880232
计算题02(1基本与规范+1模型综合+1数理思想解析版)_04高考物理_2025年新高考资料_二轮复习_2025年高考物理二轮热点题型归纳与变式演练(新高考通用)339880232
计算题02(1基本与规范+1模型综合+1数理思想解析版)_04高考物理_2025年新高考资料_二轮复习_2025年高考物理二轮热点题型归纳与变式演练(新高考通用)339880232
计算题02(1基本与规范+1模型综合+1数理思想解析版)_04高考物理_2025年新高考资料_二轮复习_2025年高考物理二轮热点题型归纳与变式演练(新高考通用)339880232

文档信息

文档格式
docx
文档大小
0.338 MB
文档页数
5 页
上传时间
2026-04-21 04:24:50

文档内容

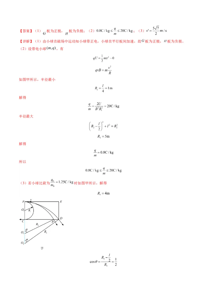
计算题必刷·1规范+1模型+1思想 计算题 02 1.(10分)如图所示,一艘帆船静止在湖面上,帆船的竖直桅杆顶端高出水面4.5m。距水面6m的湖底P 处有一点光源,P发出的一束光从水面出射后恰好照射到桅杆顶端,该出射光束与竖直方向的夹角为53° (取 )已知水的折射率为 。 (1)求桅杆到P点的水平距离; (2)求P发出的光能从水面射出时对应的水面面积(结果用 表示)。 【答案】(1)10.5m (2) 【详解】(1)设光束从水面射出的点到桅杆的水平距离为x,到 点的水平距离为 ;桅杆高度为 1 点处水深为 ;光束在水中与竖直方向的夹角为 。 由几何关系有 由折射定律有 设桅杆到 点的水平距离为 ,则 (2)光束刚好在水面发生全反射时 由几何关系 面积解得 2.(12分)如图,在高 的光滑水平平台上,物块A在外力 的作用下从静止开始向右运动,力 与时间 的关系如图所示。 时撤去力 之后物块A与静止在水平平台上的物块B发生碰撞并粘在 一起成为物块AB, ,物块AB以一定的水平速度向右滑离平台,并恰好沿光滑圆弧形轨道 的 点的切线方向进入圆弧形轨道,圆弧轨道的圆心 与平台等高,轨道最低点 的切线水平,并与地面上 长为 的水平粗糙轨道 平滑连接, ,物块AB沿轨道 运动与右边墙壁发生碰撞。 取 。求: (1)物块AB在B点的速度大小; (2)物块A的质量; (3)若物块AB与墙壁只发生一次碰撞,碰后速度等大反向,反向运动过程中没有冲出 点,最后停在轨道 上的某点 ( 点未画出)。设物块AB与轨道 之间的动摩擦因数为 ,求 的取值范围。 【答案】(1)20m/s (2)1kg (3) 【详解】(1)物块AB在B点时 解得 vB=20m/s v=10m/s 0 (2)A运动2s由动量定理 其中 AB碰后由动量定理其中 解得 (3)设AB的和质量为m,若AB与挡板碰后能滑到B点,则由能量关系 解得 若AB恰与挡板相碰,则由能量关系 解得 可知 的取值范围 3.(16分)如图所示,长方形绝缘光滑水平台面CDEF长 ,宽 ,距地面高 。平行板电 容器的极板G、H垂直放置于左侧凸出的台面上, 板位于边界CF上, 板与边界FE相交处有一小孔。 台面区域内有磁感应强度 、方向竖直向上的匀强磁场。在GH间加上恒定电压 ,一带电 小球从 点由静止经电场加速后由 板所开小孔沿FE方向进入台面(小球始终不与极板G、H接触), 然后由CD边界离开台面。在小球离开台面瞬时,静止于 正下方光滑水平地面上 点的滑块获得一水平 速度,在小球落地时恰好与之相遇。不计空气阻力,小球、滑块均可视为质点,小球运动过程中带电量不 变,取 。则: (1)说明GH两板的极性; (2)由CD边界离开台面的小球的比荷范围; (3)若小球比荷为 ,求滑块开始运动时所获得的速度大小 。【答案】(1) 板为正极, 板为负极;(2) ;(3) 【详解】(1)由小球在磁场中运动知小球带正电,小球在平行板间加速,故 板为正极, 板为负极。 (2)设带电小球 ,有 如图甲所示,半径最小 解得 半径最大 解得 所以 (3)若小球比荷为 时如图甲所示,解得得 解得 之后小球做平拋运动 解得 滑块运动俯视图如图乙所示,可求得 滑块位移 所以 滑块做匀速运动 解得