当前位置:首页>文档>2015年天津中考数学试题及答案_中考真题_2.数学中考真题2015-2024年_地区卷_天津中考数学2008---2022年

2015年天津中考数学试题及答案_中考真题_2.数学中考真题2015-2024年_地区卷_天津中考数学2008---2022年

  • 2026-04-09 21:45:03 2026-02-06 08:34:02

文档预览

2015年天津中考数学试题及答案_中考真题_2.数学中考真题2015-2024年_地区卷_天津中考数学2008---2022年
2015年天津中考数学试题及答案_中考真题_2.数学中考真题2015-2024年_地区卷_天津中考数学2008---2022年
2015年天津中考数学试题及答案_中考真题_2.数学中考真题2015-2024年_地区卷_天津中考数学2008---2022年
2015年天津中考数学试题及答案_中考真题_2.数学中考真题2015-2024年_地区卷_天津中考数学2008---2022年
2015年天津中考数学试题及答案_中考真题_2.数学中考真题2015-2024年_地区卷_天津中考数学2008---2022年
2015年天津中考数学试题及答案_中考真题_2.数学中考真题2015-2024年_地区卷_天津中考数学2008---2022年
2015年天津中考数学试题及答案_中考真题_2.数学中考真题2015-2024年_地区卷_天津中考数学2008---2022年
2015年天津中考数学试题及答案_中考真题_2.数学中考真题2015-2024年_地区卷_天津中考数学2008---2022年
2015年天津中考数学试题及答案_中考真题_2.数学中考真题2015-2024年_地区卷_天津中考数学2008---2022年
2015年天津中考数学试题及答案_中考真题_2.数学中考真题2015-2024年_地区卷_天津中考数学2008---2022年
2015年天津中考数学试题及答案_中考真题_2.数学中考真题2015-2024年_地区卷_天津中考数学2008---2022年
2015年天津中考数学试题及答案_中考真题_2.数学中考真题2015-2024年_地区卷_天津中考数学2008---2022年
2015年天津中考数学试题及答案_中考真题_2.数学中考真题2015-2024年_地区卷_天津中考数学2008---2022年
2015年天津中考数学试题及答案_中考真题_2.数学中考真题2015-2024年_地区卷_天津中考数学2008---2022年
2015年天津中考数学试题及答案_中考真题_2.数学中考真题2015-2024年_地区卷_天津中考数学2008---2022年
2015年天津中考数学试题及答案_中考真题_2.数学中考真题2015-2024年_地区卷_天津中考数学2008---2022年
2015年天津中考数学试题及答案_中考真题_2.数学中考真题2015-2024年_地区卷_天津中考数学2008---2022年
2015年天津中考数学试题及答案_中考真题_2.数学中考真题2015-2024年_地区卷_天津中考数学2008---2022年

文档信息

文档格式
doc
文档大小
1.624 MB
文档页数
14 页
上传时间
2026-02-06 08:34:02

文档内容

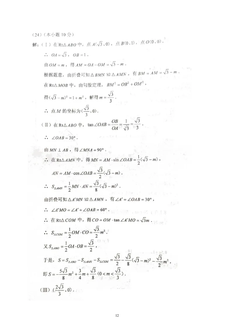
机密★启用前 2015 年天津市初中毕业生学业考试试卷 数 学 本试卷分为第Ⅰ卷(选择题)、第Ⅱ卷(非选择题)两部分。第Ⅰ卷为第1页至第3页,第Ⅱ卷为第 4页至第8页。试卷满分120分。考试时间100分钟。 答卷前,请你务必将自己的姓名、考生号、考点校、考场号、座位号填写在“答题卡”上,并在规 定位置粘贴考试用条形码。答题时,务必将答案涂写在“答题卡”上,答案答在试卷上无效。考试结 束后,将本试卷和“答题卡”一并交回。 祝你考试顺利! 第Ⅰ卷 注意事项: 1.每题选出答案后,用2B铅笔把“答题卡”上对应题目的答案标号的信息点涂黑。如需改动, 用橡皮擦干净后,再选涂其他答案标号的信息点。 2.本卷共12题,共36分。 一、选择题(本大题共12小题,每小题3分,共36分.在每小题给出的四个选项中,只有一项是符合 题目要求的) (1)计算(-18)÷6的结果等于 (A)-3 (B)3 (C) (D) (2) 的值等于 (A) (B) (C) (D) 1(3)在一些美术字中,有的汉字是轴对称图形. 下面4个汉字中,可以看作是轴对称图形的是 吉 祥 如 意 (A) (B) (C) (D) (4)据2015年5月4日《天津日报》报道,“五一”三天假期,全市共接待海内外游客约2 270 000人 次.将2 270 000用科学记数法表示应为 (A) (B) (C) (D) (5)右图是一个由4个相同的正方体组成的立体图形,它的主视图是 (A) (B) 第(5)题 (C) (D) (6)估计 的值在 (A)1和2之间 (B)2和3之间 (C)3和4之间 (D)4和5之间 (7)在平面直角坐标系中,把点P(-3,2)绕原点O顺时针旋转180°,所得到的对应点P′的坐标为 (A)(3,2) (B)(2,-3) 2(C)(-3,-2) (D)(3,-2) (8)分式方程 的解为 (A)x = 0 (B)x = 3 (C)x = 5 (D)x = 9 (9)已知反比例函数 ,当 时, 的取值范围是 (A) (B) (C) (D) (10)已知一个表面积为12dm2的正方体,则这个正方体的棱长为 (A)1dm (B) dm (C) dm (D)3dm (11)如图,已知在 ABCD中, AE⊥BC于点E,以点B为中心,取旋转角等于∠ABC,把△BAE顺 C D 时针旋转,得到△BA′E′,连接DA′. 若∠ADC=60°, A' ∠ADA′=50°,则∠DA′E′的大小为 E E' (A)130° (B)150° B A (C)160° (D)170° 第(11)题 (12)已知抛物线 与 轴交于点A,点B,与 轴交于点C,若D为AB的中点,则 CD的长为 (A) (B) (C) (D) 3机密★启用前 2015 年天津市初中毕业生学业考试试卷 数 学 第Ⅱ卷 注意事项: 1.用黑色字迹的签字笔将答案写在“答题卡”上(作图可用2B铅笔)。 2.本卷共13题,共84分。 二、填空题(本大题共6小题,每小题3分,共18分) (13)计算 的结果等于 . (14)若一次函数 (b为常数)的图象经过点(1,5),则b的值为 . (15)不透明的袋子中装有9个球,其中有2个红球、3个绿球和4个蓝球,这些球除颜色外无其他差 别. 从袋子中随机取出1个球,则它是红球的概率为 . (16)如图,在△ABC中,DE∥BC,分别交AB,AC于点D,E. 若AD =3,DB =2,BC =6,则DE的长为 . A A B F M L H K D E I J C E B C D 第(16)题 第(17)题 (17)如图,在正六边形ABCDEF中, 连接对角线AC,BD,CE,DF,EA,FB,可以得到一个六角星. 4记这些对角线的交点分别为H,I,J,K,L,M,则图中等边三角形共有 个. (18)如图,在每个小正方形的边长为1的网格中,点A, B, C, D均在格点上,点E, F分别为线段 BC,DB上的动点,且BE =DF. (Ⅰ)如图①,当BE = 时,计算 的值等于 ; (Ⅱ)当 取得最小值时,请在如图②所示的网格中,用无刻度的直尺,画出线段AE, AF,并简要说明点E和点F的位置是如何找到的(不要求证明) . D C D C F E A B A B 图① 图② 第(18)题 三、解答题(本大题共7小题,共66分.解答应写出文字说明、演算步骤或推理过程) (19)(本小题8分) 解不等式组 请结合题意填空,完成本题的解答. (Ⅰ)解不等式①,得__________________; (Ⅱ)解不等式②,得__________________; (Ⅲ)把不等式①和②的解集在数轴上表示出来: 0 1 2 3 4 5 6 (Ⅳ)原不等式组的解集为__________________. 5(20)(本小题8分) 某商场服装部为了解服装的销售情况,统计了每位营业员在某月的销售额(单位:万元),并根据 统计的这组销售额数据,绘制出如下的统计图①和图②. 请根据相关信息,解答下列问题: 人数 18万元 8 8 m% 15万元 7 20% 6 5 12万元 4 3 21万元 8% 2 32% 2 24万元 12% 0 12 15 18 21 销售额/万元 24 图② 图① 第(20)题 (Ⅰ)该商场服装部营业员人数为_________,图①中m的值为_________; (Ⅱ)求统计的这组销售额数据的平均数、众数和中位数. (21)(本小题10分) 已知A, B,C是⊙O上的三个点,四边形OABC是平行四边形,过点C作⊙O的切线,交AB的 延长线于点D. (Ⅰ)如图①,求∠ADC的大小; (Ⅱ)如图②,经过点O作CD的平行线,与AB交于点E,与 交于点F,连接AF,求 ∠FAB的大小. D D B C B C F E A A O O A B 图① 图② (22)(本小题10分) 第(21)题 如图,某建筑物BC顶部有一旗杆AB,且点A,B, 6 47° D 42° E CC在同一直线上. 小红在D处观测旗杆顶部A的仰角为47°,观测旗杆底部B的仰角为42°. 已知 点D到地面的距离DE为1.56m,EC =21m,求旗杆AB的高度和建筑物BC的高度(结果保留小数点 后一位). 参考数据:tan47°≈1.07,tan42°≈0.90. 第(22)题 (23)(本小题10分) 1号探测气球从海拔5 m处出发,以1m/min的速度上升. 与此同时,2号探测气球从海拔15m处 出发,以0.5m/min的速度上升. 两个气球都匀速上升了50min. 设气球上升时间为x min(0≤x≤50). (Ⅰ)根据题意,填写下表 上升时间/min 10 30 … x 1号探测气球所在位置的海拔/m 15 … 2号探测气球所在位置的海拔/m 30 … (Ⅱ)在某时刻两个气球能否位于同一高度?如果能,这时气球上升了多长时间?位于什么高度? 如果不能,请说明理由; (Ⅲ)当30≤x≤50时,两个气球所在位置的海拔最多相差多少米? (24)(本小题10分) 将一个直角三角形纸片ABO,放置在平面直角坐标系中,点A( ,0),点B(0,1),点O(0,0). 过边OA上的动点M(点M不与点O,A重合)作MN⊥AB于点N,沿着MN折叠该纸片,得顶点A的 对应点A′. 设OM =m,折叠后的△A′MN与四边形OMNB重叠部分的面积为S. (Ⅰ)如图①,当点A′与顶点B重合时,求点M的坐标; 7(Ⅱ)如图②,当点A′落在第二象限时,A′M与OB相交于点C,试用含m的式子表示S; (Ⅲ)当S= 时,求点M的坐标(直接写出结果即可). y y A' (A')B B N N C O M A x O M A x 图① 图② 第(24)题 (25)(本小题10分) 已知二次函数 ( b,c为常数). (Ⅰ)当b =2,c =-3时,求二次函数的最小值; (Ⅱ)当c =5时,若在函数值y =1的情况下,只有一个自变量x 的值与其对应,求此时二次函数 的解析式; (Ⅲ)当c =b2时,若在自变量x的值满足b≤x≤b+3的情况下,与其对应的函数值y的最小值为 21,求此时二次函数的解析式. 8证明:连接AD,AB.在答案图中易知BH =5,HP︰PB =HK︰BC =1︰4,则BP =4=AD,且 ∠CBH =∠ADB, BE =DF,所以△EBP ≌△FDA,故EP =AF,则E应为AP与BC交点时, AE+AF和最小.另一方面,DM =5,DG︰GM =DC︰MN =3︰2,则DG =3=AB,且∠GDF =∠ABE=90°, DF = BE,所以△FDG ≌△EBA,故GF = AE,则F应为AG与BD交点时, AE+AF和最小.因此,上图中的E,F两点即为所示求. 9101112附解析:由第(Ⅰ)、(Ⅱ)问可得, y B A' N 此时情况如右图所示,重叠部分即为△A′MN, O M A x A′M =AM = ,∠NA′M =∠NAM =30°, 由MN⊥AB,得∠A′NM =90°, ∴ , , 则 . 若 ,则 , 整理,得 , 解得, , (舍去). 因此,当 时,点M的坐标为( ,0). 1314