当前位置:首页>文档>杭二开学考-高三数学-参考答案(1)_2024年4月_01按日期_6号_2024届新结构高考数学合集_新高考19题(九省联考模式)数学合集140套_2024届浙江杭州二中高三下学期开学考试数学试卷+答案

杭二开学考-高三数学-参考答案(1)_2024年4月_01按日期_6号_2024届新结构高考数学合集_新高考19题(九省联考模式)数学合集140套_2024届浙江杭州二中高三下学期开学考试数学试卷+答案

  • 2026-04-01 06:14:44 2026-02-17 04:29:15

文档预览

杭二开学考-高三数学-参考答案(1)_2024年4月_01按日期_6号_2024届新结构高考数学合集_新高考19题(九省联考模式)数学合集140套_2024届浙江杭州二中高三下学期开学考试数学试卷+答案
杭二开学考-高三数学-参考答案(1)_2024年4月_01按日期_6号_2024届新结构高考数学合集_新高考19题(九省联考模式)数学合集140套_2024届浙江杭州二中高三下学期开学考试数学试卷+答案
杭二开学考-高三数学-参考答案(1)_2024年4月_01按日期_6号_2024届新结构高考数学合集_新高考19题(九省联考模式)数学合集140套_2024届浙江杭州二中高三下学期开学考试数学试卷+答案
杭二开学考-高三数学-参考答案(1)_2024年4月_01按日期_6号_2024届新结构高考数学合集_新高考19题(九省联考模式)数学合集140套_2024届浙江杭州二中高三下学期开学考试数学试卷+答案
杭二开学考-高三数学-参考答案(1)_2024年4月_01按日期_6号_2024届新结构高考数学合集_新高考19题(九省联考模式)数学合集140套_2024届浙江杭州二中高三下学期开学考试数学试卷+答案

文档信息

文档格式
pdf
文档大小
1.399 MB
文档页数
5 页
上传时间
2026-02-17 04:29:15

文档内容

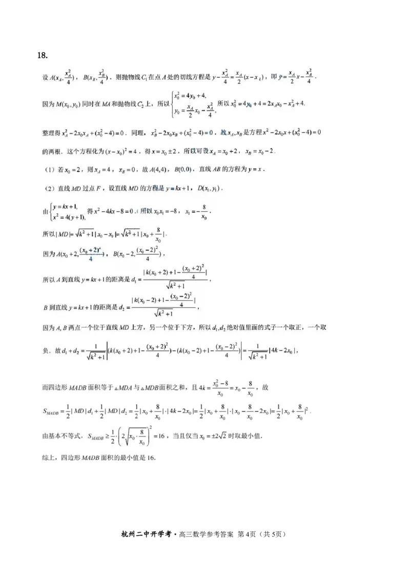
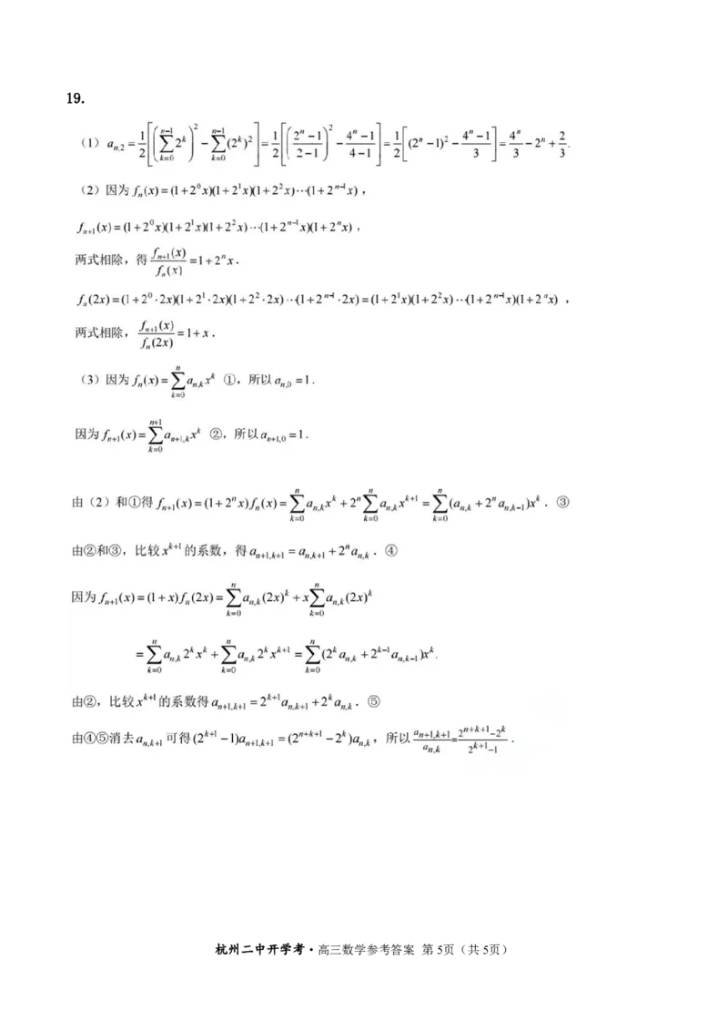
绝密★启用前 2023 学年第二学期浙江省杭州二中 2 月开学考 高三数学参考答案 一、选择题:本题共8小题,每小题5分,共40分.在每小题给出的四个选项中,只有一项 是符合题目要求的。 题号 1 2 3 4 5 6 7 8 答案 C B D A D A B C 二、选择题:本题共3小题,每小题6分,共18分,在每小题给出的选项中,有多项符合题 目要求,全部选对的得6分,部分选对的得部分分,有选错的得0分。 题号 9 10 11 答案 AB ABC BD 三、填空题:本题共3小题,每小题5分,共15分。 题号 12 13 14 答案 e;0或 e 3 3 15 2 四、解答题:本题共5小题,共77分.解答应写出文字说明、证明过程或演算步骤。 15. 杭州二中开学考·高三数学参考答案 第1页(共5页) {#{QQABAYIEggCIABAAAAgCQwVICAAQkBEAAIoORAAIIAIBSQNABAA=}#}16. 杭州二中开学考·高三数学参考答案 第2页(共5页) {#{QQABAYIEggCIABAAAAgCQwVICAAQkBEAAIoORAAIIAIBSQNABAA=}#}17. 杭州二中开学考·高三数学参考答案 第3页(共5页) {#{QQABAYIEggCIABAAAAgCQwVICAAQkBEAAIoORAAIIAIBSQNABAA=}#}18. 杭州二中开学考·高三数学参考答案 第4页(共5页) {#{QQABAYIEggCIABAAAAgCQwVICAAQkBEAAIoORAAIIAIBSQNABAA=}#}19. 杭州二中开学考·高三数学参考答案 第5页(共5页) {#{QQABAYIEggCIABAAAAgCQwVICAAQkBEAAIoORAAIIAIBSQNABAA=}#}