当前位置:首页>文档>山东省济宁市实验中学2025届高三上学期10月月考政治试题_2024-2025高三(6-6月题库)_2024年10月试卷_1031山东省济宁市实验中学2025届高三上学期10月月考

山东省济宁市实验中学2025届高三上学期10月月考政治试题_2024-2025高三(6-6月题库)_2024年10月试卷_1031山东省济宁市实验中学2025届高三上学期10月月考

  • 2026-04-05 22:03:59 2026-02-18 13:36:20

文档预览

山东省济宁市实验中学2025届高三上学期10月月考政治试题_2024-2025高三(6-6月题库)_2024年10月试卷_1031山东省济宁市实验中学2025届高三上学期10月月考
山东省济宁市实验中学2025届高三上学期10月月考政治试题_2024-2025高三(6-6月题库)_2024年10月试卷_1031山东省济宁市实验中学2025届高三上学期10月月考
山东省济宁市实验中学2025届高三上学期10月月考政治试题_2024-2025高三(6-6月题库)_2024年10月试卷_1031山东省济宁市实验中学2025届高三上学期10月月考
山东省济宁市实验中学2025届高三上学期10月月考政治试题_2024-2025高三(6-6月题库)_2024年10月试卷_1031山东省济宁市实验中学2025届高三上学期10月月考
山东省济宁市实验中学2025届高三上学期10月月考政治试题_2024-2025高三(6-6月题库)_2024年10月试卷_1031山东省济宁市实验中学2025届高三上学期10月月考
山东省济宁市实验中学2025届高三上学期10月月考政治试题_2024-2025高三(6-6月题库)_2024年10月试卷_1031山东省济宁市实验中学2025届高三上学期10月月考
山东省济宁市实验中学2025届高三上学期10月月考政治试题_2024-2025高三(6-6月题库)_2024年10月试卷_1031山东省济宁市实验中学2025届高三上学期10月月考

文档信息

文档格式
docx
文档大小
0.270 MB
文档页数
7 页
上传时间
2026-02-18 13:36:20

文档内容

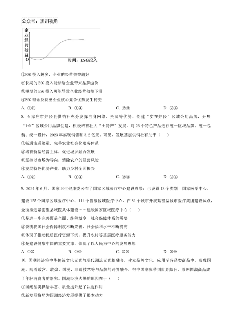
济宁市实验中学 2022 级高三 10 月月考政治试题 一、单项选择题:本题共15小题,每题3分,共45分。 1. 下列是2023年我国科技创新企业500强注册资本分布与类型分布图。 全国科技创新企业500强类型分布 据此,下列观点正确的是( ) ①公有制经济在社会中依然占据主导地位 ②充足的资金是科技创新的重要保障 ③央企在科技创新企业中起领头羊作用 ④各种所有制企业科技创新呈现齐头并进之势 A. ①③ B. ①④ C. ②③ D. ②④ 2. 2024年6月8日,央视曝光了“某地宰客一条龙”的视频,该地游客稀少,商家们忧心忡忡,该市高度 重视,依法依规开展全面治理。为了重获游客信任,还需要该地商家( ) ①利用现代传播媒介,大力宣传本地旅游资源 ②共同制定旅游市场价格,对违背者进行处罚 ③遵守市场法律、法规,以贴心服务赢得顾客 ④增强自我约束力,践行社会主义核心价值观 A. ①② B. ①③ C. ②④ D. ③④ 3. 近日,国家发展改革委、财政部发布《关于加力支持大规模设备更新和消费品以旧换新的若干措施》, 明确对符合《关于实施设备更新贷款财政贴息政策的通知》条件经营主体的银行贷款本金,中央财政贴息 从每年1个百分点提高到每年1.5个百分点,贴息期限2年,贴息总规模200亿元。下列对于提高设备更 新贷款财政贴息比例的政策效果传导分析正确的是( ) ①保持流动性合理充裕 ②推动相关企业设备更新③降低经营主体财务负担 ④促进形成有效投资和消费 ⑤促进产业链现代化和智能化 A. ①→③→②→④ B. ③→②→⑤→④ C. ①→③→②→⑤ D. ③→②→④→⑤ 4. 2023年,中国房地产市场继续底部调整。中央政策力度前稳后松,7月政治局会议定调“行业供需关系 发生重大转变”为分水岭;国务院推出政策,力度逐渐转向“托举并用”,需求端——降首付、降利率、 认房不认贷接连落地,支持居民按揭购房,供给端——三个不低于、一视同仁支持融资等保主体措施相继 落地,以缓解房企资金压力。中央政策体现了( ) ①坚持党的领导,是我国社会主义市场经济体制的重要特征 ②政府运用经济职能,保持社会总供给和总需求的平衡 ③在房地产市场,主要依靠政府的宏观调控完成资源配置 ④市场调节有局限性,导致经济运行大起大落,社会经济不稳定 A. ①② B. ②③ C. ①④ D. ③④ 5. 某村现有2663人,其中“一老一小”占35.94%。该村将闲置校舍改造成各类功能室,提供老年助餐、 老年活动、儿童关爱、残疾人康复、劳动就业等服务,打造“一老一小幸福院”让“一老一小”笑容更灿 烂。可见,增进民生福祉需要” ( ) ①立足地方实际,优化资源配置 ②强化政府主导,完善市场机制 ③创新服务方式,完善社会保障 ④加大资金投入,提高经济效益 A. ①③ B. ①④ C. ②③ D. ②④ 6. 2024年4月,中共中央政治局会议强调要因地制宜发展新质生产力。积极发展风险投资,壮大耐心资本。 一般来说,耐心资本可以承受期短期波动,为长期投资项目提供资金支持,畅通“科技—产业—金融”循 环,打通科技创新“最后一公里”。壮大耐心资本,旨在( ) ①发挥资本市场稳定器功能 ②降低企业科技创新的风险 ③培育高风险喜好投资理念 ④拓宽创新型企业融资渠道 A. ①③ B. ①④ C. ②③ D. ②④ 7. ESG关注企业的环保责任(Environmental)、社会责任(Social)、治理绩效(Governance),而非 单一的财务绩效,已成为世界各国日益重视的投资新理念。下图绘制了企业ESG投入与经营效益间的关系 随时间变化的曲线。由此可知( )①ESG投入越多,企业的经营效益越好 ②长期的ESG投入能够给企业带来品牌溢价 ③短期的ESG投入可能导致企业经营效益下滑 ④ESG理念反映出企业核心竞争优势发生转变 A. ①③ B. ①④ C. ②③ D. ②④ 8. 石家庄市井陉县供销社充分发挥自身网络、资源等优势,创建“实在井陉”区域公用品牌,开展 “1+N”区域公用品牌创建,积极培育壮大“土特产”发展,对26个特色产品进行统一区域品牌、统一包 装、统一设计,2023年实现销售额3.2亿元。可见,发展基层供销社有助于( ) ①畅通流通渠道,完善农业社会化服务体系 ②培育新型经营主体,促进城乡融合发展 ③坚持以市场为导向,消除农户的经营风险 ④发展特色优势产业,助力乡村全面振兴 A. ①③ B. ①④ C. ②③ D. ②④ 的 9. 2024年6月,国家卫生健康委公布了国家区域医疗中心建设成果:已设置13个类别 国家医学中心, 建设125个国家区域医疗中心、114个省级区域医疗中心,在81个城市开展紧密型城市医疗集团建设试点, 全面推进紧密型县域医共体建设……建设国家区域医疗中心( ) ①是进一步完善覆盖全面、统筹城乡 的社会保障体系的需要 ②说明我国社会保障制度不断完善、社会福利水平不断提高 ③体现了推动优质医疗资源下沉,提升农村等基层医疗服务能力 ④是建设健康中国的重要支撑,体现了以人民为中心的发展思想 . A ①② B. ①③ C. ②④ D. ③④ 10. 国潮经济将中华传统文化元素与现代潮流元素相融合,建立品牌文化,应用至各品类商品中,形成国 潮。随着故宫、敦煌、国漫、非遗技艺等与品牌的跨界融合,把中国潮流带到世界舞台,原创国潮商品成 了年轻消费者的新宠。国潮经济火爆的原因在于( ) ①国潮品类供给丰富、质量提升起了决定作用 ②新发展格局为国潮经济发展提供了根本动力③民族情感激发了年轻消费者的消费热情 ④国潮产品热销海外,形成了出口竞争新优势 A. ①② B. ①③ C. ②④ D. ③④ 11. 2024年3月8日举行的中非智库论坛提出,我们要加强全球经济治理,消除经贸壁垒,建立更具韧性 和包容性、畅通高效的全球产供链。支持非洲等世界各国发挥比较优势,不断提高工业化和农业现代化水 平,更好参与国际产业分工,共同为促进全球经济循环、助力世界经济增长、增进各国人民福祉作出积极 贡献。对这一共识理解正确的是( ) ①消除经贸壁垒才能推动全球产供链建立起来 ②世界多极化发展有赖于公正合理国际经济秩序的建立 ③发挥各国 的比较优势是实现全球经济繁荣的重要途径 ④中非深度合作为推进普惠包容的经济全球化注入了正能量 A. ①② B. ①③ C. ②④ D. ③④ 12. 2024年3月30日,2024RCEP区域海洋经济青年对话在海口举办,此次论坛以“共筑蓝色经济伙伴关 系”为主题,聚焦RCEP区域海洋经济发展的重大问题。中国和RCEP区域各成员国是“休戚与共”的命运 共同体,区域海洋合作逐渐呈现出多领域、全方面、深层次的特点,蓝色经济合作延伸正当时。为此各成 员国要( ) ①共筑蓝色经济一体化新愿景,形成自由投资贸易网络和共同大市场 ②搭建国际海洋人文交流平台,为促进海洋经济转型提供智力支持 ③抓好海洋资源的保护与修复,探索生态产品价值实现机制新形态 ④建立互利共赢的“蓝色伙伴关系”,铸造可持续发展的“蓝色引擎” . A ①② B. ①④ C. ②③ D. ③④ 13. 2023年度,我国共转化国际标准999项,我国家用电器、纺织服装等主要消费品与国际标准的一致性 程度为96%,工程机械、化工、铁合金等装备制造领域和物联网、人工智能等新一代信息技术领域国际标 准转化率已超过90%。由此可见,我国( ) ①优化营商环境,推动贸易自由化便利化 ②放宽市场准入,促进内资企业公平竞争 ③扩大制度型开放,助力加快建设贸易强国 ④推动标准国际化,促进内外贸一体化发展 A. ①② B. ①④ C. ②③ D. ③④ 14. 以习近平同志为核心的党中央提出,必须把推进中国式现代化作为最大的政治,在党的统一领导下, 团结最广大人民,聚焦经济建设这一中心工作和高质量发展这一首要任务,把中国式现代化宏伟蓝图一步步变成美好现实。强调把推进中国式现代化作为最大的政治( ) ①能够有效凝聚起建设中国式现代化的磅礴力量 ②有利于为实现中华民族伟大复兴提供根本保证 ③有利于全党把握中华民族伟大复兴的前进方向 ④总结了新时代党治国理政要坚持的理念和经验 A. ①② B. ①③ C. ②④ D. ③④ 15. 按照“党员流向哪里、集中在哪里,党组织就设置在哪里”的原则,让流动党员在哪都能找到“家”。 近年来,新业态从业模式给党支部建设带来了挑战。广东某市因地制宜建立流动党员党支部,将网约车司 机编入“云上党支部”。建立流动党员党支部( ) ①是加强党组织建设的体现,有利于发挥党组织战斗堡垒作用 ②是全面从严治党的制度创新,有利于保持党的先进性纯洁性 ③是新时期党建工作的需要,有利于发挥党员的先锋模范作用 ④是夯实党的执政基础的需要,有利于提高党的依法行政能力 A. ①③ B. ①② C. ②④ D. ③④ 二、材料分析题:本题共5小题,共55分。 16. 阅读材料,完成下列要求。 材料一 打造科创高地,聚力新兴产业。依托中科大、中科院合肥物质科学研究院等,合肥成为四大 综合性国家科学中心之一;为积极抢占未来产业新赛道.编制了2024年至2027年培育未来产业的行动方案, 深度谋划布局合成生物、化合物半导体、人形机器人等领域;通过体制机制改革,让各类生产要素耦合, 把存量盘活,让要素畅通,令配置高效。引来全球创业团队人员超万名,未来产业加速集聚。昔日“总量 居中、人均靠后”的安徽,如今实现了跨越式发展。2023年,安徽区域创新能力跃至全国第七位…… 材料二 凝聚“向心力”,注入“红动能”。2022年8月,新站高新区在集成电路、新型显示、高端 装备制造、节能环保四大产业链建立党委,覆盖产业链上下游企业 200多家,构建组织部门牵头抓总、产 业链链长挂帅、产业链主管部门具体负责等齐抓共管的工作格局。2023年以来,在产业链企业新发展党员 中,出资人、技术骨干和中高层管理人员占比超过90%。在党建引领下,新站高新区内企业发展势头强劲、 产业活力迸发,跑出新质生产力的加速度。 (1)结合材料一并运用《经济与社会》的知识,分析安徽是如何通过培育壮大新质生产力实现跨越式发 展的。 (2)结合材料二并运用《政治与法治》的知识,说明坚持党的领导对新站高新区高质量发展的作用。 17. 材料一 基础设施是经济社会发展的重要支撑。中央提出,持续推进重点领域补短板投资,加快 交通基础设施建设、完善社会民生基础设施等;系统布局新型基础设施,加快建设信息基础设施、前瞻布局创新基础设施等。 材料二 提前布局、 超前部署基础性支撑性的重大科技基础设施,将会为更多的创新和应用场景留 足孵化期。作为中央前瞻谋划的重大科技基础设施,北斗经过20多年的发展,从定位导航授时服务出发。 一步步孵化出智能穿戴式设备、高精度时空服务等“北斗+”“+北斗”新业态(如图3)。2021年我国卫星 导航与位置服务产业总体产值约4700亿元,凸显了重大科技基础设施的创新“溢出”和“杠杆”效应。但 是,这类基础设施建设周期比较长,初期往往存在应用场景不丰富、市场规模小等困难。 图卫星子航与位置服务业态示意图 有观点认为,国家应超前开展各类基础设施投资以促进经济发展。结合材料,运用经济与社会知识,对该 观点进行评析。 18. 随着对外开放不断深入,我国与世界各国联系互动越来越密切频繁,越来越多的企业和公民走出 国门,如何保证企业合规经营、如何维护企业和公民的安全与利益等已成为迫切需要解决的问题。 近年来,全国人大及其常委会深入贯彻党中央决策部署,加快涉外领域立法步伐。从制定实施《外商 投资法》、《反外国制裁法》,到2023年通过的《对外关系法》、《外国国家豁免法》,再到《民事诉讼 法》涉外编的修订,我国不断加强涉外法律制度建设。 2023年11月27日,习近平在中共中央政治局就加强涉外法制建设进行集体学习时强调,加强涉外法 治建设既是以中国式现代化全面推进强国建设、民族复兴伟业的长远所需,也是推进高水平对外开放、应 对外部风险挑战的当务之急。推进涉外法治工作,根本目的是用法治方式更好维护国家和人民利益,促进 国际法治进步,推动构建人类命运共同体。 结合材料,运用当代国际政治与经济的知识,阐释加强涉外法治建设是“当务之急”。 19. 阅读材料,完成以下问题。 近来,美国、欧盟等方面称中国制造的电动汽车和太阳能电池板存在所谓“中国产能过剩冲击世界市 场”的问题。对此,中国外交部表示,中国的新能源产业优势是靠真本事获得的,是通过充分的市场竞争 塑造的,而不是靠政府补贴形成的;中国新能源产业持续提供的优质产能,将对全球绿色发展作出重要贡 献;以“产能过剩”为由,采取贸易保护措施,不会让自己变得更好,只会破坏全球分工和产供链的稳定畅通,拖累全球经济绿色转型和新兴产业发展。 结合材料,运用《经济与社会》《当代国际政治与经济》的知识,分析中国新能源产业对世界经济发展的 推动作用。 20. 阅读材料,完成下列要求。 治国必先治党,党兴才能国强。如何跳出历史周期率,是我们党一直在探索的重大理论与实践问题。 一个历史命题,几代领导人持之以恒地认真思考,勇敢实践。 毛泽东同志在延安的窑洞里给出了第一个答案,这就是“让人民来监督政府”;经过百年奋斗特别是 党的十八大以来新的实践,党又给出了第二个答案,这就是自我革命。勇于自我革命和接受人民监督是内 在一致的,是源于党的初心使命。