当前位置:首页>文档>重庆主城区半期高2024届高三第一学期期中考试化学参考答案_2023年11月_01每日更新_12号_2024届重庆主城九龙坡区高高三第一学期期中考试_答案

重庆主城区半期高2024届高三第一学期期中考试化学参考答案_2023年11月_01每日更新_12号_2024届重庆主城九龙坡区高高三第一学期期中考试_答案

  • 2026-03-22 06:09:38 2026-02-18 17:27:40

文档预览

重庆主城区半期高2024届高三第一学期期中考试化学参考答案_2023年11月_01每日更新_12号_2024届重庆主城九龙坡区高高三第一学期期中考试_答案
重庆主城区半期高2024届高三第一学期期中考试化学参考答案_2023年11月_01每日更新_12号_2024届重庆主城九龙坡区高高三第一学期期中考试_答案

文档信息

文档格式
docx
文档大小
0.230 MB
文档页数
2 页
上传时间
2026-02-18 17:27:40

文档内容

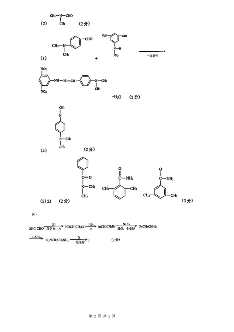
高2024届高三第一学期期中考试 化学参考答案 一、选择题(本题共14小题,每小题3分,共42分) 题号 1 2 3 4 5 6 7 答案 C C A D B B A 题号 8 9 10 11 12 13 14 答案 A D C D B D C 二、填空题(本题共 4小题,共58分) 15. (14分) (1) p( 1分) 6s²6p³(1分) (2) 将辉铋矿粉碎、适当增大盐酸浓度、适当加热等合理即可 (2分) (3) SiO₂ (2分) 6Fe³ʳ+Bi₂S₃=6Fe²ʳ+2Bi³ʳ+3S (2分) (4)将Fe³⁺还原为Fe²⁺,防止沉铋时有Fe(OH)₃生成(2分) (5) B (2分) (6)2Bi3∗+3[Sn(OH) ] 2 +6OH=2Bi↓+3[Sn(OH) ] 2 . (2分) 4 6 16. (15 分) (1)+2(价) (1分) (2) 水浴加热 (2分) (3)6FeC O ⋅2H O+6K C O +3H O 4K [Fe(C O )⋯]+2Fe(OH)sl+12H O 2 4 2 2 2 4 2 2 3 2 4 2 (条件写40℃也可) (2分) (4) 降低产品的溶解度,有利于析出产品(2分) (5)排出装置中原有的空气,同时也将装置 A、E中反应生成的气体全部排入后续装置中 (2 分) (6)CO₂ (2分) CO (2分) (7)先关闭A、E中的酒精灯,冷却后再停止通入N2 (2分) 17. (14分) (1)-89.7 (2分) (2) AC (2分) (3)①0.03 mol/(L·min) (2分) ② 9.375 L²/mol² (2分) ③ > (2分) (4) ① 升高温度,反应1平衡逆向移动,反应Ⅱ平衡正向移动,但反应Ⅱ的影响程度大于反应 I, CO₂的消耗量大于生成量,所以CO₂转化率增大 (2分) ② 加压(或选择更合适的催化剂)(2分) 18. (15分) (1)苯胺(1分) 醛基(1分) 第 1 页 共 2 页(6) 第 2 页 共 2 页