当前位置:首页>文档>山东省菏泽市第一中学2024-2025学年高二下学期第一次月考地理试题Word版含解析_2025年04月试卷_0426山东省菏泽市第一中学2024-2025学年高二下学期第一次月考

山东省菏泽市第一中学2024-2025学年高二下学期第一次月考地理试题Word版含解析_2025年04月试卷_0426山东省菏泽市第一中学2024-2025学年高二下学期第一次月考

  • 2026-03-22 07:11:57 2026-02-19 01:07:19

文档预览

山东省菏泽市第一中学2024-2025学年高二下学期第一次月考地理试题Word版含解析_2025年04月试卷_0426山东省菏泽市第一中学2024-2025学年高二下学期第一次月考
山东省菏泽市第一中学2024-2025学年高二下学期第一次月考地理试题Word版含解析_2025年04月试卷_0426山东省菏泽市第一中学2024-2025学年高二下学期第一次月考
山东省菏泽市第一中学2024-2025学年高二下学期第一次月考地理试题Word版含解析_2025年04月试卷_0426山东省菏泽市第一中学2024-2025学年高二下学期第一次月考
山东省菏泽市第一中学2024-2025学年高二下学期第一次月考地理试题Word版含解析_2025年04月试卷_0426山东省菏泽市第一中学2024-2025学年高二下学期第一次月考
山东省菏泽市第一中学2024-2025学年高二下学期第一次月考地理试题Word版含解析_2025年04月试卷_0426山东省菏泽市第一中学2024-2025学年高二下学期第一次月考
山东省菏泽市第一中学2024-2025学年高二下学期第一次月考地理试题Word版含解析_2025年04月试卷_0426山东省菏泽市第一中学2024-2025学年高二下学期第一次月考
山东省菏泽市第一中学2024-2025学年高二下学期第一次月考地理试题Word版含解析_2025年04月试卷_0426山东省菏泽市第一中学2024-2025学年高二下学期第一次月考
山东省菏泽市第一中学2024-2025学年高二下学期第一次月考地理试题Word版含解析_2025年04月试卷_0426山东省菏泽市第一中学2024-2025学年高二下学期第一次月考
山东省菏泽市第一中学2024-2025学年高二下学期第一次月考地理试题Word版含解析_2025年04月试卷_0426山东省菏泽市第一中学2024-2025学年高二下学期第一次月考
山东省菏泽市第一中学2024-2025学年高二下学期第一次月考地理试题Word版含解析_2025年04月试卷_0426山东省菏泽市第一中学2024-2025学年高二下学期第一次月考
山东省菏泽市第一中学2024-2025学年高二下学期第一次月考地理试题Word版含解析_2025年04月试卷_0426山东省菏泽市第一中学2024-2025学年高二下学期第一次月考
山东省菏泽市第一中学2024-2025学年高二下学期第一次月考地理试题Word版含解析_2025年04月试卷_0426山东省菏泽市第一中学2024-2025学年高二下学期第一次月考
山东省菏泽市第一中学2024-2025学年高二下学期第一次月考地理试题Word版含解析_2025年04月试卷_0426山东省菏泽市第一中学2024-2025学年高二下学期第一次月考
山东省菏泽市第一中学2024-2025学年高二下学期第一次月考地理试题Word版含解析_2025年04月试卷_0426山东省菏泽市第一中学2024-2025学年高二下学期第一次月考
山东省菏泽市第一中学2024-2025学年高二下学期第一次月考地理试题Word版含解析_2025年04月试卷_0426山东省菏泽市第一中学2024-2025学年高二下学期第一次月考
山东省菏泽市第一中学2024-2025学年高二下学期第一次月考地理试题Word版含解析_2025年04月试卷_0426山东省菏泽市第一中学2024-2025学年高二下学期第一次月考
山东省菏泽市第一中学2024-2025学年高二下学期第一次月考地理试题Word版含解析_2025年04月试卷_0426山东省菏泽市第一中学2024-2025学年高二下学期第一次月考
山东省菏泽市第一中学2024-2025学年高二下学期第一次月考地理试题Word版含解析_2025年04月试卷_0426山东省菏泽市第一中学2024-2025学年高二下学期第一次月考
山东省菏泽市第一中学2024-2025学年高二下学期第一次月考地理试题Word版含解析_2025年04月试卷_0426山东省菏泽市第一中学2024-2025学年高二下学期第一次月考

文档信息

文档格式
docx
文档大小
2.123 MB
文档页数
19 页
上传时间
2026-02-19 01:07:19

文档内容

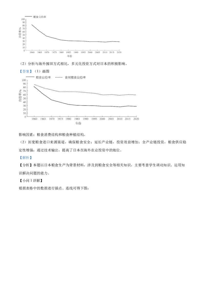
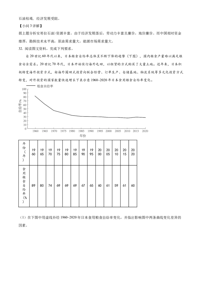
菏泽一中八一路高二下学期第一次月考地理试题 使用时间:2025.03.22 一、单选题(本题共 30小题,每小题2分,共60分。在每小题给出的四个选项中,只有一 项是最符合题目要求的。) 某河口港地处淤泥质海岸,受河流和潮汐的影响,港口通海航道经常发生泥沙淤积。当地政府在港口 外修建了双导堤,改善了航运条件。下图示意双导堤建成前后该河口港附近海域等深线分布的变化。据此 完成下面小题。 1. 双导堤建成后,河口港附近海域深度的变化是( ) A. 双导堤末端外侧变浅 B. 双导堤北侧变深 C. 双导堤南侧变深 D. 双导堤内部变深 2. 河口外建导堤的主要目的是( ) ①拦沙导流②减小风浪③束水攻沙④提高堤内水位 A. ①② B. ①④ C. ①③ D. ②③ 【答案】1. D 2. C 【解析】 【1题详解】 修建双导堤后,水流更集中于双导堤内,侵蚀作用增强,双导堤内部变深,D正确。堤外受导堤的阻挡, 水流变缓,沉积作用加强,双导堤南、北侧均变浅,BC错误;双导堤末端外侧水流快速向四周分散,对海 底泥沙进行侵蚀,导致海域深度变深,A错误。故选D。 【2题详解】 由图可知,河口处-4m等深线向外海凸出,说明弯曲处泥沙淤积较多、水深较浅,导堤的作用是使河流流 向外海时或海水涨潮时,引导和改变水流方向,使流水集中、流速加快,导致冲刷能力较强,泥沙不易淤 积,①③正确,与减少风浪、提高堤内水位关系不大,排除②、④,C正确,ABD错误。故选C。 【点睛】海岸带是指现在海陆之间相互作用的地带。也就是每天受潮汐涨落海水影响的潮间带(海涂)及 其两侧一定范围的陆地和浅海的海陆过渡地带。图为西班牙塔霍河—塞古拉河跨流域调水工程示意图。完成下面小题。 3. 有关该跨流域调水工程沿线地理环境的叙述,正确的是( ) . A 沿途地势平坦开阔 B. 塞古拉河流域地处背风坡,水热条件较差 C. 人口、城市集中在内陆地区 D. 塔霍河流域降水丰富,水资源供应量稳定 4. 塔霍河—塞古拉河跨流域调水工程的实施,对塞古拉河流域环境的影响有( ) A. 加重城市地面沉降问题 B. 洪涝灾害频率减小 C. 大气污染普遍减轻 D. 加剧土地盐碱化 【答案】3. B 4. D 【解析】 【分析】 【3题详解】 由图可知,调水工程的源地位于北部山区,地势较高,塞古拉河流域地势较低,北高南低,调水可以自流, A错误。塞古拉河流域位于地中海附近,位于盛行西风的背风坡。降水较少,且地中海气候冬季降水多于 夏季,水热组合状况较差,B正确。读图可知,城市分布较为分散,C错误。塔霍河流域冬季降水多,夏 季降水少,季节变化、年际变化大,供水不稳定,D错误,故选B。 【4题详解】 调水工程之前,塞古拉河流域由于水资源不足,过度开采地下水,导致地面沉降,调水工程后,水资源供 应增加,地面沉降得以缓解,A错误。塞古拉河流域降水较少,洪涝灾害本就较少,且调水后增加了塞古 拉河的径流量,不会使洪涝灾害减少,B错误。大气污染主要受工业生产排放的污染物影响,调水工程后, 当地的生产、生活用水增加,工业化进程加快,污染加剧,C错误。调水后,塞古拉河流域水量增加,对 地下水的补给增多,地下水位上升,水分蒸发,盐分在地表富集,土地盐碱化加剧,D正确,故选D。【点睛】图示区域为地中海气候区,成因为副热带高气压带与盛行西风带的交替控制,导致降水特点为冬 季多雨,夏季少雨,热夏季高温、冬季低温的气温特点不符,雨热不同期,水热组合状况较差。 现阶段,全球范围内正经历第五次大规模的国际产业转移。我国从过去的产业承接国转变为产业承接 与输出并存的枢纽国。欧美等国家纷纷从“去工业化”转向“再工业化”,其实质是以高新技术为依托, 发展高附加值的制造业,保持高端制造业的竞争力。据此完成以下小题。 5. 现阶段,我国产业承接与输出并存的原因是( ) A. 国内区域发展差异大 B. 欧美高端产业回流 C. 国内工业化进程加快 D. 欧美实施贸易保护 6. 与过去的产业承接相比,产业承接与输出并存有利于( ) A. 加快产业转型升级 B. 带动相关产业发展 C. 缓解国内就业压力 D. 助推基础产业发展 7. 为应对欧美等国家“再工业化”带来的挑战,我国应( ) A. 提高产品进口关税 B. 提升自主研发能力 C. 增加海外投资力度 D. 完善基础设施建设 【答案】5. A 6. A 7. B 【解析】 【5题详解】 结合所学知识,产业转移的输出地一般经济发达,输入地一般较为落后,现阶段,我国产业承接与输出并 存说明国内区域发展差异大,A正确;欧美高端产业回流不利于我国承接一些较为先进的产业,B错误; 国内工业化进程加快是产业承接与输出并存的结果,C错误;欧美实施贸易保护与我国产业承接与输出并 存的关系小,D错误。故选A。 【6题详解】 过去的产业承接主要承接一些附加值较低的劳动密集型产业为主,产业承接与输出可以集中力量发展新的 产业,能够加快加快产业转型升级,A正确;过去的产业承接与现在的产业承接与输出并存,都能够带动 相关产业发展、缓解国内就业压力、助推基础产业发展,BCD错误。故选A。 【7题详解】 欧美等国家纷纷从“去工业化”转向“再工业化”,其实质是以高新技术为依托,发展高附加值的制造业, 保持高端制造业的竞争力。我国应提升自主研发和创新能力,加大技术创新的投入,B正确;“再工业 化”主要与科技有关,提高产品进口关税、增加海外投资力度、完善基础设施建设对应对“再工业化”作 用不大,ACD错误。故选B。 【点睛】产业转移是发生在不同经济发展水平的区域之间的一种重要的经济现象,是指在市场经济条件下, 发达区域的部分企业顺应区域比较优势的变化,通过跨区域直接投资,把部分产业的生产转移到发展中区域进行,从而在产业的空间分布上表现出该产业由发达区域向发展中区域转移的现象。产业转移对于区域 经济结构调整及区域间经济关系的优化具有重要意义,并进而影响部分企业的战略决策。 印钞业是防伪技术要求高、资金投入大、安全保密级别高的产业。位于英国贝辛斯托克(右图)的德 拉鲁公司,曾是全球最大的印钞公司,但近年来却濒临破产。随着我国印钞核心技术的不断突破,多国将 印钞业务从英国转移至我国。据此完成下题。 8. 德拉鲁公司曾是世界最大印钞公司的主要原因是( ) A. 贝辛斯托克土地成本低 B. 贝辛斯托克原材料充足 的 C. 伦敦周边劳动力成本低 D. 伦敦 辐射带动作用强 9. 我国承接印钞业务的公司最有可能位于( ) . A 西宁 B. 上海 C. 贵阳 D. 哈尔滨 【答案】8. D 9. B 【解析】 【8题详解】 结合材料信息可知,德拉鲁公司所在的贝辛斯托克靠近世界金融中心伦敦,受其辐射带动作用强,成为全 球最大的印钞公司,D正确;印钞公司对技术要求高,土地成本、原材料和劳动力成本对其发展影响较小, ABC错误。故选D。 【9题详解】 结合材料信息可知,印钞业是防伪技术要求较高,资金投入大,安全保密级别高的产业,随着我国印钞核 心技术的不断突破,多国将印钞业务从英国转移到我国。因此,我国承接印钞业务的公司应位于科技发达, 资金雄厚地区,上海作为我国经济中心,经济发展水平较高,技术水平较高,人才密集,适合承接印钞业 务,B正确;西宁、贵阳以及哈尔滨,其科技力量和经济发展水平不及上海,ACD错误。故选B。 【点睛】工业区位因素分析主要包括自然因素(土地,资源,水源等)和社会经济因素(地价,劳动力, 技术,市场,交通等),不同指向型的工业类型,其主导因素略有不同。 近年来,长城汽车先后在日本、美国、德国等国设立海外研发中心,还在厄瓜多尔、马来西亚、突尼斯和保加利亚等多国建设了KD工厂(散件组装工厂),并通过海外WMS(仓储管理系统)、LES(物流 执行系统)等一系列智能物流管理,迅速抢占国际市场。图是长城汽车品牌海外研发和生产基地示意图。 完成下面小题。 10. 长城汽车在厄瓜多尔建KD工厂的最主要目的是( ) A. 降低组装成本 B. 开拓国际市场 C. 提高研发水平 D. 利用便利交通 11. 长城汽车在印度设立海外研发中心可以( ) A. 扩大市场需求 B. 绕开关税壁垒 C. 提高产品品质 D. 降低劳动力成本 12. 长城汽车建立海外WMS、LES系统的积极意义是( ) ①提高市场响应能力②提高产品性能③提高物流时效性④缩短通关时间 A. ①③ B. ①④ C. ②③ D. ③④ 【答案】10. B 11. A 12. A 【解析】 【分析】 【10题详解】 长城汽车在厄瓜多尔建KD工厂可以降低组装成本,但不是最主要的目的,因为世界上还有很多比厄瓜多 尔劳动力成本更低的国家,A错误;在厄瓜多尔建组装厂,产品更有利于在南美洲销售,从而开拓了新的 国际市场,B正确;在厄瓜多尔建的是组装工厂,不是研发中心,C错误;厄瓜多尔地形多山地,交通并 不便利,D错误。故选B。 【11题详解】 在印度设立研发中心可以使长城汽车更深入地了解印度市场,根据当地消费者的需求和特点,进行针对性 的产品研发和改进,推出更符合印度市场需求的汽车产品,A正确;产品的进出口需要通过海关,才有关 税壁垒,在印度设立的是研发中心,不是生产中心,研发中心没有有形产品,和关税壁垒无关,B错误;研发中心不生产产品,无法提高产品品质,C错误;研发中心需要的是科学家和工程师,不是普通劳动力, 在印度同样需要重金聘请研发人员,D错误。故选A。 【12题详解】 长城汽车建立海外 WMS(仓库管理系统)能够实现对库存的精准把控和优化配置,及时响应市场的变化, ①正确;LES(物流执行系统)有助于提升其海外物流管理的效率和精度,提高物流的时效性,③正确; 产品性能和生产过程有关,和仓储管理无关,和物流无关,②错误;“缩短通关时间”通常指采取一系列 措施或方法,减少完成通关流程所耗费的时间,人员等能够更快速地通过海关或其他相关的检查关卡,和 仓储与物流无关,④错误。故选A。 【点睛】影响产业转移的因素主要包括以下几个方面:劳动力因素,内部交易成本因素,市场因素,政策 因素,技术因素,环境因素等。 “双环流全球价值链”改变了由发达经济体主导的传统“单循环”价值链体系,是中国与相关国家和 地区实现产业转移及产能合作共赢的价值链体系。下图示意“双环流全球价值链”。据此完成下面小题。 13. a、b、c、d各环节代表的要素最合理的是( ) A. a表示劳动密集型产品 B. b表示尖端技术 C. c表示初级产品 D. d表示能源资源 14. 在该价值链体系中,我国应( ) ①积极开展技术、产品和服务创新②发展国际贸易,大力依赖国际市场 ③降低产品价格,提升市场竞争力④加强区域合作,积极参与全球竞争 A. ①③ B. ①④ C. ②③ D. ②④ 【答案】13. D 14. B 【解析】 【分析】 【13题详解】 发达经济体有技术优势,a是尖端技术;发展中经济体具有资源优势,d表示能源资源;中国人口多,有劳 动力优势,c是劳动密集型产品;中国获取能源资源,制造的初级产品出口到发达经济体,b是初级产品, D正确,ABC错误。故选D。 【14题详解】 在该价值链体系中,我国应积极开展技术、产品和服务创新,摆脱对发达经济体的依赖;加强区域合作,积极参与全球竞争,合作共赢。①④正确。发展国际贸易,大力依赖国际市场会造成中国经济发展不安全; “降低产品价格,提升市场竞争力”会损害中国经济利益,②③错误。B正确,ACD错误。故选B。 【点睛】企业将产品生产的部分或全部由原生产地转移到其他地区,这种现象叫做产业转移。产业转移影 响因素:劳动力因素;内部交易成本;市场因素;国家政策的调整;原生产地用地紧张;地价昂贵;环境 污染;国际经济形势的变化等。 生态系统生产总值(GEP)是指生态系统能够为人类生活和社会发展提供的最终产品与服务价值的总 和,由物质产品、调节服务和文化服务构成,2019年海南热带雨林国家公园GEP高达2045亿元,其各项 价值量占比如图所示。完成下面小题。 15. 属于图中“其它”项目的是( ) A. 农林产品 B. 科普教育 C. 休闲旅游 D. 净化空气 16. 该公园GEP高的主要原因是( ) A. 土壤肥力高 B. 科研价值高 C. 森林面积大 D. 纬度跨度大 【答案】15. D 16. C 【解析】 【15题详解】 净化空气属于调节服务功能,D正确;农林产品属于物质产品,A错误;科普教育属于文化服务,B错误; 休闲旅游属于文化服务,C错误。所以选D。 【16题详解】 海南位于热带地区,以热带季风气候为主,受海洋影响较强,降水较多,森林面积广阔,能够提供的生态 系统生产总值较高,C正确;土壤肥力、科研价值对于海南岛生态系统生产总值影响较小,AB错误;海 南岛纬度跨度较小,D错误。所以选C。 【点睛】生态系统服务是指人类从生态系统获得的所有惠益,包括供给服务(如提供食物和水)、调节服 务(如控制洪水和疾病)、文化服务(如精神、娱乐和文化收益)以及支持服务(如维持地球生命生存环 境的养分循环)。人类生存与发展所需要的资源归根结底都来源于自然生态系统。它不仅为人类提供食物、 医药和其他生产生活原料,还创造与维持了地球的生命支持系统,形成人类生存所必需的环境条件.同时还为人类生活提供了休闲、娱乐与美学享受。 如今,波罗的海的海洋生物正面临巨大威胁,海洋中微型藻类的大量繁殖,不仅威胁到其他海洋生物 的生存,而且,藻类还在波罗的海地区创造出了一片片面积巨大的海洋“死亡地带”,并有逐渐扩散的趋势, 欧洲渔民日日空手而归。完成下面小题。 17. 造成波罗的海出现“死亡地带”的最主要原因是( ) A. 近海城市倾倒的生产生活垃圾 B. 全球变暖使海水温度的上升 C. 工农业生产向海中排放了大量含磷和氮的废水 D. 石油及石油制成品入海带来的污染 18. 下列措施中,有利于减缓波罗的海“死亡地带”发展趋势的有( ) ①减少工业、农业污水向海洋中排放②减少农药和化肥的使用 ③减少酸性气体的排放④生产、生活污水处理后再排放 A. ①②③ B. ①②④ C. ②③④ D. ①③④ 【答案】17. C 18. B 【解析】 【17题详解】 由材料可知波罗的海“死亡地带”是藻类过量繁殖导致的,而藻类过量繁殖实际是一种水体的富营养化, 与周边地区排入废水含有大量的氮、磷有关,C正确;近海城市倾倒的生活垃圾和石油及石油制成品的注 入主要属于海洋中的有机物污染,AD错误;全球变暖有利于藻类的生长,但不是藻类大量繁殖并威胁到 其他海洋生物的生存最主要的原因,B错误,故选C。 【18题详解】 减缓波罗的海“死亡地带”措施要结合导致该环境问题的原因进行分析,其中减少酸性气体的排放可防 治酸雨,但对波罗的海的“死亡地带”没有影响,③错误;减少工业、农业污水向海洋中排放,减少农药 和化肥的使用,生产、生活污水处理后再排放等措施都能减少水体中的氮、磷等物质,进而减缓波罗的海 “死亡地带”的发展,因此①②④正确,故B正确,ACD错误。故选B。 【点睛】水体富营养化是指在人类活动的影响下,生物所需的氮、磷等营养物质大量进入湖泊、河、湖、 海湾等缓流水体,引起藻类及其他浮游生物迅速繁殖,水体溶解氧量下降,水质恶化,鱼类及其他生物大 量死亡的现象。 CCUS是二氧化碳捕集、利用与封存技术。宁夏 CCUS示范项目由“宁东能源化工基地碳源捕集工 程”与“长庆油田驱油、封存工程”两部分组成。宁东能源化工基地产生的CO 被捕集并液化后,运输至 2 130公里外的长庆油田,注入地下油藏以促进地下原油流动与采收。CCUS技术商业化应用目前面临高成本挑战,其中碳捕集是成本最高的环节。如图示意宁东能源化工基地及长庆油田位置。据此完成下面小题。 19. CCUS示范项目得以在宁夏实施的前提条件是( ) A. 交通便利 B. 技术成熟 C. 煤炭丰富 D. 资源匹配 20. 宁夏CCUS示范项目的建设有利于( ) ①促进宁东煤炭资源开采②提升长庆油田开采能力③优化宁夏能源消费结构④推动“双碳”目标的实现 A. ①③ B. ①④ C. ②③ D. ②④ 21. 从长期效益来看,宁夏CCUS示范项目未来发展的重点是( ) A. 提升技术水平 B. 建设运输管道 C. 增加碳源数量 D. 加强油气勘探 【答案】19. D 20. D 21. A 【解析】 【19题详解】 结合材料可知,宁夏地区有可以大量排放CO₂的宁东煤化工基地(碳源)与附近可用于注入封存并提高采 收的长庆油田(利用环节),即两种资源在空间上的良好匹配,是本示范项目得以在宁夏实施的关键,D 正确;虽然 CCUS 技术是项目实施的重要支撑,但题干强调的是项目实施的前提条件,技术本身是可以 不断研发和改进的,不是最基础的前提。且目前 CCUS 技术商业化应用还面临挑战,说明技术并非完全 成熟到成为实施的首要前提,B错误;CCUS示范项目要求有匹配的资源和二氧化碳利用途径,仅仅只有 煤炭丰富并不完全满足条件,且交通条件可能是项目开展后再进行的相应建设(如管道铺设),而并非前 题条件,AC错误。故选D。 【20题详解】 CCUS 示范项目主要是针对能源化工基地产生的二氧化碳进行捕集、利用与封存,与宁东煤炭资源的开采 没有直接的促进关系,其重点在于对二氧化碳的处理,而不是煤炭开采,①错;通过将宁东能源化工基地 捕集的 CO₂运输至长庆油田注入地下油藏,能够促进地下原油流动与采收,从而提升长庆油田的开采能力, ②对;该项目主要是对二氧化碳的处理和利用,没有涉及宁夏能源消费结构的优化,能源消费结构主要与能源的种类、使用比例等相关,而此项目不改变这些方面,③错;项目通过捕集、利用与封存二氧化碳, 减少了二氧化碳的排放,对推动 “双碳” 目标的实现有积极作用,④对;故选D。 【21题详解】 建设运输管道可以降低运输成本等,有利于项目发展,但从长期效益来看,这只是一个辅助环节,不是最 关键的重点,B错误;增加碳源数量可能会在一定程度上增加项目的规模,但如果技术水平不提升,碳捕 集等环节的高成本问题无法解决,增加碳源数量可能会带来更多的成本压力,而不是长期效益的提升,C 错误;加强油气勘探与 CCUS 项目的核心目标和长期效益关联不大,CCUS 项目的重点是二氧化碳的捕 集、利用与封存,油气勘探不是其未来发展的重点方向,D错误;目前 CCUS 技术商业化应用面临高成 本挑战,其中碳捕集是成本最高的环节。只有提升技术水平,降低碳捕集等环节的成本,提高二氧化碳的 捕集效率、利用效果和封存安全性等,才能从根本上提高项目的长期效益,实现项目的可持续发展,A正 确;故选A。 【点睛】CCUS是减少二氧化碳排放的关键技术之一,是碳捕集、利用与封存的简称。作为应对全球气候 变化、控制温室气体排放的重要技术手段,CCUS通过把生产过程中排放的二氧化碳进行捕集提纯,继而 投入新的生产过程进行再利用和封存。随着全球应对气候变化和碳中和目标的提出,CCUS作为减碳固碳 技术,已成为多个国家碳中和行动计划的重要组成部分。 俄罗斯矿产资源丰富。随着工业生产的发展,俄罗斯对某些特定矿产的需求增加,前苏联时期发现和 勘探的矿产储量即将耗尽,矿产进口又因西方国家的经济制裁受到威胁,为此更新了战略性矿产资源清单。 下图为俄罗斯战略性矿产资源清单变化示意图。完成下面小题。 22. 俄罗斯增加战略性矿产资源种类的主要目的是( ) A. 促进高科技产业转型升级 B. 提高战略性矿产资源利用率 C. 限制战略性矿产资源出口 D. 提升在全球供应链中的地位 23. 俄罗斯更新其战略性矿产资源清单产生的最主要影响是( )A. 限制外国资本进入战略性矿产领域 B. 推动战略性矿产国际合作 C. 刺激国内战略性矿产的勘探与开采 D. 增加战略性矿产资源储备 【答案】22. D 23. C 【解析】 【22题详解】 根据材料可知,俄罗斯对某些特定矿产的需求增加,又面临矿产储量即将耗尽和进口受制裁威胁的情况, 增加战略性矿产资源种类,有助于保障自身矿产资源的供应安全,减少对外部供应的依赖,从而提升在全 球供应链中的地位,D正确;促进高科技产业转型升级通常需要多方面因素共同作用,如科研投入、人才 培养、政策支持等,仅增加战略性矿产资源种类并不能促进高科技产业转型升级,A错误;提高战略性矿 产资源利用率更多依赖于技术创新、管理水平提升等措施,而非单纯增加资源种类,B错误;材料中没有 体现出增加种类是为了限制战略性矿产资源出口,C错误。故选D。 【23题详解】 由于面临矿产储量即将耗尽等问题,更新战略性矿产资源清单,会刺激国内对这些战略性矿产的勘探与开 采,以保障自身矿产需求,C正确;更新矿产资源清单本身并不意味着限制外资进入,A错误;更新清单 主要目的通常是先着眼于国内对资源的管理和利用,而不是直接为了推动国际合作,虽然可能在一定程度 上会对国际合作产生影响,但不是最主要影响,B错误;更新清单不一定就直接导致增加储备和开采,还 需要综合考虑资源状况、市场需求、环境等多方面因素,D错误。故选C。 【点睛】保障资源安全的主要途径:增加资源供给和保障能力,节约和优化资源利用,规避衍生安全风险。 “深海一号”是由我国自主研发建造的全球首座10万吨级深水半潜式浮动生产储油平台,位于三亚东 南方向约150公里处。通过海底管道已经向大湾区和海南输送超过30亿m3的天然气,但每年伴生的20万 吨凝析油采用油轮运输。下图示意自升式钻井平台与半潜式钻井平台结构。据此完成下面小题。 24. 相比可固定的自升式钻井平台,漂浮的半潜式钻井平台优点是( )A. 稳定性更强 B. 适用范围广 C. 操作更简单 D. 建设成本低 25. 凝析油采用油轮而非管道运输,主要考虑运输的( ) A. 经济性 B. 便利性 C. 灵活性 D. 安全性 【答案】24. B 25. A 【解析】 【24题详解】 可固定的自升式钻井平台仅适应于浅海,所以相比可固定的自升式钻井平台,漂浮的半潜式钻井平台对于 海洋深度要求小,因此适用范围广,B正确;漂浮的半潜式钻井通过锚和锚链固定,稳定性较差、操作更 复杂,AC错误,建设难度大,建设成本高,D错误。故选B。 【25题详解】 管道运输的建设成本较高,海洋运输基建投资小,运输量大。凝析油采用油轮而非管道运输,主要考虑运 输的经济性,A正确;油轮的便利性、灵活性与运输的投资成本相比,不是主要考虑的因素,BC错误;管 道运输安全性更高,D错误。故选A。 【点睛】五种交通运输方式及其特点:1、铁路运输具有载运量大,行驶速度快,运输费用较低,造价高, 占地多,建设和运行一般不受自然条件限制等特点。2、水路运输(包括海洋运输和内河运输)具有基建投 资小,运输量大,运费低以及受自然条件影响较大,分布有地域局限性等特点。3、公路运输具有投资少, 分布范围广,机动性大,速度快以及运量小,运价贵等特点。4、航空运输具有速度快,航线直,灵活性 大,基建投资较少,以及成本高、运价贵、运量小,安全性较差等特点。5、管道运输具有不间断运输, 损耗小,劳动生产率高,一般不受自然条件限制,成本低,经营管理比较简便而速度慢、灵活性差等特点。 液化天然气接收站是接卸和存储船运液化天然气的能源基础设施,通过管道等方式将天然气外输到消 费地,具有调峰保供的功能。江苏盐城接收站建在滨海港区内的滩涂上,是全球一次性建成的规模最大接 收站,2022年9月开始运营。该站包括专用泊位、管网和10座大型储罐等,占地面积较大。接收站还规 划建设冷能利用、燃气发电和制氢等附属设施。据此完成下面小题。 26. 盐城接收站高效运营的必要条件是( ) A. 本地能源消费增长 B. 能源消费峰谷差大 C. 航道防淤清淤保障 D. 港区外可用地充足 27. 盐城接收站将建设附属设施是为了( ) A. 保障区域能源供给 B. 提高能源利用效率 C. 减少温室气体排放 D. 优化一次能源结构 28. 能够提升盐城接收站天然气调峰保供能力的是( ) A. 扩建专用泊位 B. 接入干线管网 C. 扩展外输方式 D. 增加存储规模【答案】26. C 27. B 28. D 【解析】 【26题详解】 由材料“液化天然气接收站是接卸和存储船运液化天然气的能源基础设施,通过管道等方式将天然气外输 到消费地,具有调峰保供的功能”可知,盐城接收站高效运营的必要条件是建设后各环节能否畅通运转, 盐城沿海多淤泥质滩涂,航道淤塞,航道清淤是高效运营的必要条件,C正确;通过管道等方式将天然气 外输到消费地,并非本地能源消费,A错误;能源消费峰谷差大,调峰保供需求量大,是接收站建设目的, 而非高效运营的必要条件,B错误;天然气通过管网外运,且建设在港区,港区外用地对其高效运营几乎 无影响,D错误。故选C。 【27题详解】 由材料知,接收站还规划建设冷能利用、燃气发电和制氢等附属设施。冷能发电是利用海水和液化天然气 的温度差来驱动涡轮发电,冷能发电不需要燃料;燃气发电是使用天然气或者其他可燃气体发电的过程; 天然气制氢是利用天然气通过蒸汽重整、部分氧化或自热重整等方法转化为氢气,综上可推知,盐城接收 站将建设附属设施是为了提高能源利用效率,B正确;保障区域能源供给的途径有加强能源基础设施建设、 提高能源利用效率、促进能源市场健康发展、加强国际合作、多元化能源结构、加强能源储备、推进科技 创新、优化调度和管理等,液化天然气接收站是接卸和存储船运液化天然气的能源基础设施,保障区域能 源供给不是盐城接收站建设附属设施的主要目的,A错误;燃气发电和制氢过程均有温室气体排放,C错误; 优化一次能源结构是指通过各种能源在能源总 量中所占比例的调整,使这种比例趋于合理 以达到提高能 源开发利用整体效益的目的,盐城接收站建设冷能利用、燃气发电和制氢等附属设施并没有优化一次能源 结构,D错误。故选B。 【28题详解】 注意提干关键词“天然气调峰保供”。增加存储规模,加大储气库建设,是提升盐城接收站天然气调峰保 供能力的重要途径,D正确;泊位指港区内能停靠船舶的位置,扩建专用泊位对提升盐城接收站天然气调 峰保供能力作用不大,A错误;接入干线管网、扩展外输方式能够实现燃气资源的快速、稳定传输,为城 市居民提供必要的燃气保障,但对调峰作用不大,BC错误。故选D。 【点睛】加油站卸油操作规程包括准备工作、消除人体静电、检查设备、选取计量器具、进行油品检测、 计算储油罐空容量、进行卸油操作、监控全过程、关闭阀门、拆除管线、拍照留存等步骤。 研究表明,土地流转对不同经营规模农户的“非粮化”行为具有差异化影响,转入10亩(1亩 ≈666.67平方米)以下土地的农户会“趋粮化”,转入10~20亩土地的农户无显著差异,而转入20亩以 上土地的农户倾向于“非粮化”。下图示意土地流转对耕地“非粮化”的作用机制。据此完成下面小题。(注:+表示促进作用,-表示限制作用) 29. 土地流转中,转入10亩以下土地的农户会“趋粮化”,反映了与粮食作物相比,经济作物( ) ①资金投入更多②市场风险更高③经济效益更低④占地规模更大 A. ①② B. ①③ C. ②④ D. ③④ 30. 为保障国家粮食安全,地方政府应该( ) A. 提高农村土地流转价格 B. 补贴大规模种植粮食农户 C. 吸引青壮年劳动力回流 D. 抑制农户小规模土地流转 【答案】29. A 30. B 【解析】 【29题详解】 土地流转规模在10亩以下的农户,自身经济实力有限,而种植经济作物需要更多的资金投入,且市场风险 较高,①②正确;粮食作物价格波动较小,收益更低,③错误;经济作物的占地规模不一定比粮食作物更 大,④错误。故选A项。 【30题详解】 根据材料可知,小规模土地流转农户一般种植粮食作物,大规模土地流转农户多发展经济作物种植,为保 障国家粮食安全,地方政府应重点对大规模种植粮食农户进行种粮补贴,从而稳定粮食播种面积,保障国 家粮食安全,B项正确;提高农村土地流转价格不利于促进土地流转,A项错误;吸引青壮年劳动力回流可 能会导致农业劳动力过剩,不利于经济发展,且材料主要侧重“耕地非粮化”,而不是农业劳动力不足, C项错误;抑制小规模土地流转不利于保障国家粮食安全,D项错误。故选B。 【点睛】土地流转以后,农民闲置土地得到有效利用,不但扩大了生产规模,还增加了农民收入,缩小了 贫富差距,合理的分流农村剩余劳动力,促进了共同富裕。 二、综合题(本题共3小题,共40分) 31. 阅读图文资料,完成下列要求。 安哥拉地处西非南部,是非洲第二大原油生产国,生产的原油以出口为主,其石油工业目前面临探明储量不足和上下游不平衡问题。中国同安哥拉于 20世纪90年代初在能源领域开展合作,当前是中国第三 大原油进口来源国。图示意1981~2020年安哥拉原油已探明储量、产量及储采比(上年底油田的剩余可采 储量与上年采出量的比值)变化。 (1)描述1992~2020年安哥拉原油储采比的变化特征。 (2)简述安哥拉经济过度依赖原油出口可能存在的问题。 (3)指出在能源领域合作中,中安两国各自的优势。 【答案】(1)1992 ~2002 年呈快速增长趋势 , 2002 年达到最大值 ; 2003 ~ 2008 年快速下 降 ; 2009 ~2020 年趋于稳定 。 (2)经济结构单一 , 受国际市场影响大 ; 工业水平低下 , 产业链较短 , 工业产品附加值低 , 经济效益 低 ; 石油资源为非可再生资源 , 多年后可能面临石油枯竭 , 经济发 展受阻。 (3)安哥拉: 能源 (石油) 资源丰富 , 劳动力丰富且廉价。中国: 资金雄厚 , 勘探技术水平高 , 能源市 场需求量大。 【解析】 【分析】本题以1981~2020年安哥拉原油已探明储量、产量及储采比变化表为材料设置题目,涉及地理事 物变化特征描述、工业发展问题、能源合作的区位因素等知识,考查学生对相关内容的掌握程度,对学生 的综合思维、区域认知素养有一定要求。 【小问1详解】 地理事物变化特征描述应先从整体再从局部进行判断,整体方面:1992-2020年安哥拉原油储采比呈波动 变化趋势,其中2002年达到最大值;局部方面:1992-2002年呈快速增长趋势, 2002年达到最大值; 2003-2008年快速下降; 2009-2020年趋于稳定。 【小问2详解】 经济过度依赖原油出口说明其他产业活动产值贡献少,经济结构单一,一旦原油国际市场价格波动,经济 将会出现较大问题;出口的原油,而不是原油制品,说明其工业发展水平低,说明当地工业产品附加值低, 经济效益低;由于原油出口量大,存在过度开采的问题,而石油资源为非可再生资源, 多年后可能面临石油枯竭, 经济发展受阻。 【小问3详解】 据上题分析安哥拉石油)资源丰富,由于经济发展落后,劳动力丰富且廉价,地价廉价。而中国相对资金 雄厚,勘探技术水平高,原油需求量大,能源市场需求量大。 32. 阅读图文资料,完成下列要求。 自20世纪60年代以来,日本粮食自给率总体呈不断下降的趋势(下图),国内粮食产量难以满足粮 食安全需求。20世纪70年代,日本开始实行海外屯田,以租赁的方式购买了大量土地。近年来,日本积 极转变海外投资方式,由海外囤田式投资向联合经营、订单生产、仓储基地、物流系统等多元化投资方式 转变,对外投资的国家数量快速增长下表示意1960~2020年日本食用粮食自给率变化。 年 份 19 19 19 19 19 19 19 19 20 20 20 20 20 ( 60 65 70 75 80 85 90 95 00 05 10 15 20 年 ) 食 用 粮 食 自 89 80 74 69 69 69 67 65 60 61 59 61 60 给 率 (% ) (1)在下图中用虚线补绘1960~2020年日本食用粮食自给率变化,并指出影响图中两条曲线变化差异的 因素。(2)分析与海外囤田方式相比,多元化投资方式对日本的积极影响。 【答案】(1)画图 影响因素:粮食消费结构和粮食种植结构。 (2)拓宽粮食进口来源渠道,确保粮食安全;延长产业链,投资效益增加;全产业链投资,粮食供应稳 定性增强;通过技术输出,提高了日本在海外农业投资中的地位。 【解析】 【分析】本题以日本粮食生产为背景材料,涉及到粮食安全等相关知识,主要考查学生调动知识、运用知 识解决问题的能力。 【小问1详解】 根据表格中的数据进行描点、连线可得下图:由材料近年来,日本积极转变海外投资方式,由海外囤田式投资向联合经营、订单生产、仓储基地、物流 系统等多元化投资方式转变,可知影响图中两条曲线变化差异的因素为粮食消费结构和粮食种植结构。 【小问2详解】 联合经营、订单生产、仓储基地、物流系统等多元化投资方式转变,可以拓宽粮食进口来源渠道,确保国 家粮食安全;通过联合经营,可以延长产业链,投资效益增加;订单生产、仓储基地、物流系统等全产业 链投资,粮食供应来源更加稳定性;通过联合经营、技术输出,提高了日本在海外农业投资中的地位。 33. 阅读材料,按要求作答。 易北河上游位于捷克境内,中下游流经德国东北部平原洼地,流域人口两千多万,是欧洲人均水资源 供给量较低的地区之一。堤防是德国境内易北河的一大特点,堤防裁弯取直使河流缩短60km,滞洪面积 由6172km减小至838km。1990年后,因生态环境质量日益下降,两国广泛开展流域协作,实施多项生态 补偿项目,使得捷克有更多资金和意愿保护流域生态环境,上游水质达到饮用水标准,成为流域国际协作 的成功范例。下图示意易北河流域。 (1)分析德国修建堤防产生的流域生态问题。 (2)分析德国对捷克实行流域生态补偿的原因。(3)提出捷克进行易北河上游流域整治的合理措施。 【答案】(1)堤防裁弯取直使河流长度缩短,滞洪面积减少,降低洪水调蓄能力;破坏河道和沿岸生态 系统,降低生态系统的自我调节能力。 (2)德国位于易北河中下游地区,水质和水量均受上游影响,德国境内易北河流域人口稠密,工农业发 达,生产和生活需水量大;随着经济水平提高,对水质和生态环境质量的需求也提高;经济发达,资金雄 厚,具有补偿能力。 (3)实施生态保护修复和水土保持工程,提高土壤保持和水源涵养能力,加强河流污染治理,维护上游 水质;大力发展节水产业和技术;完善河流保护 的法律法规。 【解析】 【分析】本题以易北河流域的相关材料创设问题情境,涉及流域开发和整治等必备知识,考查学生获取和 解读地理信息、调动和运用地理知识、描述和阐释地理事物的能力,体现了区域认知、综合思维、人地协 调观等核心素养。 【小问1详解】 结合材料分析,堤防裁弯取直使河流长度缩短,滞洪面积大幅减少,降低了河流的洪水调蓄能力,增加了 洪水风险,洪涝频次和强度增加;堤防建设破坏了河道和沿岸的自然生态系统,削弱了生态系统的自我调 节能力,导致生物多样性减少,影响了流域内的生态平衡。 【小问2详解】 结合材料分析,捷克扼守易北河上游,德国位于易北河中下游地区,水质和水量直接受上游捷克的影响, 对易北河水质具有重要影响;根据材料可知,德国境内易北河流域人口两千多万,人口稠密,工农业业发 达,生产和生活需水量大,水资源需求量大;随着经济水平提高,对水质和生态环境质量的需求也提高, 通过生态补偿可以提高水质,减轻水污染带来的影响;德国经济发达,资金雄厚,具备实施生态补偿的条 件,通过生态补偿,德国可以确保上游地区的水质和生态环境得到保护,实现全流域协调发展,从而保障 自身的水资源安全和生态可持续性。 【小问3详解】 结合材料和所学知识分析,实施生态保护修复和水土保持工程,通过植树造林和修复湿地等等措施提高植 被覆盖率,从而提高土壤保持和水源涵养能力,减少水土流失;加强河流污染治理,建设污水处理厂,污 水净化后达标排放,维护上游水质;是欧洲人均水资源供给量较低的地区之一,应大力发展节水产业和技 术,节约利用水资源,并提高利用效率;完善河流保护的法律法规,推动流域综合治理。