当前位置:首页>文档>08.选填题之平面向量(原卷版)_2.2025数学总复习_2024年新高考资料_2.2024二轮复习_2024年高考数学二轮复习讲义题型归纳+专项训练(新高考专用)

08.选填题之平面向量(原卷版)_2.2025数学总复习_2024年新高考资料_2.2024二轮复习_2024年高考数学二轮复习讲义题型归纳+专项训练(新高考专用)

  • 2026-04-10 03:36:48 2026-03-08 01:58:18

文档预览

08.选填题之平面向量(原卷版)_2.2025数学总复习_2024年新高考资料_2.2024二轮复习_2024年高考数学二轮复习讲义题型归纳+专项训练(新高考专用)
08.选填题之平面向量(原卷版)_2.2025数学总复习_2024年新高考资料_2.2024二轮复习_2024年高考数学二轮复习讲义题型归纳+专项训练(新高考专用)
08.选填题之平面向量(原卷版)_2.2025数学总复习_2024年新高考资料_2.2024二轮复习_2024年高考数学二轮复习讲义题型归纳+专项训练(新高考专用)
08.选填题之平面向量(原卷版)_2.2025数学总复习_2024年新高考资料_2.2024二轮复习_2024年高考数学二轮复习讲义题型归纳+专项训练(新高考专用)
08.选填题之平面向量(原卷版)_2.2025数学总复习_2024年新高考资料_2.2024二轮复习_2024年高考数学二轮复习讲义题型归纳+专项训练(新高考专用)
08.选填题之平面向量(原卷版)_2.2025数学总复习_2024年新高考资料_2.2024二轮复习_2024年高考数学二轮复习讲义题型归纳+专项训练(新高考专用)
08.选填题之平面向量(原卷版)_2.2025数学总复习_2024年新高考资料_2.2024二轮复习_2024年高考数学二轮复习讲义题型归纳+专项训练(新高考专用)
08.选填题之平面向量(原卷版)_2.2025数学总复习_2024年新高考资料_2.2024二轮复习_2024年高考数学二轮复习讲义题型归纳+专项训练(新高考专用)
08.选填题之平面向量(原卷版)_2.2025数学总复习_2024年新高考资料_2.2024二轮复习_2024年高考数学二轮复习讲义题型归纳+专项训练(新高考专用)
08.选填题之平面向量(原卷版)_2.2025数学总复习_2024年新高考资料_2.2024二轮复习_2024年高考数学二轮复习讲义题型归纳+专项训练(新高考专用)
08.选填题之平面向量(原卷版)_2.2025数学总复习_2024年新高考资料_2.2024二轮复习_2024年高考数学二轮复习讲义题型归纳+专项训练(新高考专用)
08.选填题之平面向量(原卷版)_2.2025数学总复习_2024年新高考资料_2.2024二轮复习_2024年高考数学二轮复习讲义题型归纳+专项训练(新高考专用)
08.选填题之平面向量(原卷版)_2.2025数学总复习_2024年新高考资料_2.2024二轮复习_2024年高考数学二轮复习讲义题型归纳+专项训练(新高考专用)
08.选填题之平面向量(原卷版)_2.2025数学总复习_2024年新高考资料_2.2024二轮复习_2024年高考数学二轮复习讲义题型归纳+专项训练(新高考专用)

文档信息

文档格式
docx
文档大小
0.288 MB
文档页数
14 页
上传时间
2026-03-08 01:58:18

文档内容

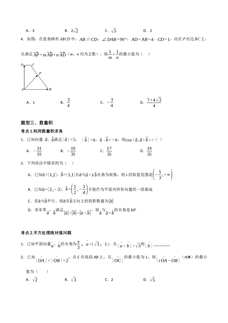
☆注:请用Microsoft Word2016以上版本打开文件进行编辑,用WPS等其他软件可能会出现乱码等现象. 高中数学二轮复习讲义——选填题部分 第 8 讲 平面向量 平面向量的基本定理及坐标表示是高考中的一个热点内容,尤其是用坐标表示 的向量共线的条件是高考考查的重点内容,一般是通过向量的坐标表示,将几何问题转化为代数问题来解 决,多以选择题或填空题的形式呈现,有时也作为解答题中的条件,应用向量的平行或垂直关系进行转换. 平面向量的数量积也一直是高考的一个热点,尤其是平面向量的数量积,主要考查平面向量的数量积 的运算、向量的几何意义、模与夹角、两向量的垂直等问题.题型一般以选择题、填空题为主. 题型一、线性运算、平面向量基本定理 1.在△ABC中,AD为BC边上的中线,E为AD的中点,则 → ( ) EB= 3 → 1 → 1 → 3 → 3 → 1 → 1 → 3 → A. AB− AC B. AB− AC C. AB+ AC D. AB+ AC 4 4 4 4 4 4 4 4 2.如图,在四边形ABCD中,AB∥CD,AB⊥AD,AB=2AD=2DC,E为BC边上一点,且 → → ,F为 BC=3EC AE的中点,则( ) → 1 → → → 1 → 1 → A.BC=− AB+AD B.AF= AB+ AD 2 3 3 → 2 → 1 → → 1 → 2 → C.BF=− AB+ AD D.CF= AB− AD 3 3 6 3 π 3.如图,△ABC中,∠ABC= ,AD平分∠BAC,过点B作AD的垂线,分别交AD,AC于E,F,若AF= 26,BC=8,则 → ( ) AE= 1 → 3 → 1 → 1 → 2 → 3 → 2 → 1 → A. AB+ AC B. AB+ AC C. AB+ AC D. AB+ AC 2 10 2 3 5 10 5 3 4.如图所示,AD是△ABC的中线.O是AD上的一点,且⃑AO=2⃑OD,若⃑CO=λ⃑AB+μ⃑AC,其中 λ,μ∈ R,则λ+μ的值为( ) 1 1 1 1 A.− B. C.− D. 2 2 3 3 题型二、向量共线定理 考点1.三点共线定理 → → → 1 → → 1.在△ABC中,已知D是AB边上一点,若 AD=2 DB ,CD= CA+λCB,则 =( ) 3 λ 2 1 1 2 A. B. C.− D.− 3 3 3 3 → 1 → → → 2 → 2.如图,在△ABC 中,AN= NC,P 是 BN 上的一点,若AP=mAB+ AC,则实数 m 的值为 3 11 ( ) 9 5 2 3 A. B. C. D. 11 11 11 11 3.在平行四边形ABCD中,AC与BD交于点O,E是线段OD的中点,AE的延长线与CD交于点F.若→ →, → →,则 → ( ) AC=a BD=b AF= 1→ 1→ 2→ 1→ 1→ 1→ 1→ 2→ A. a+ b B. a+ b C. a+ b D. a+ b 4 2 3 3 2 4 3 3 4.如图,在平行四边形ABCD中,E,F分别为边AB,BC的中点,连接CE,DF,交于点G,若 λ ⃑CG=λ⃑CD+μ⃑CB(λ,μ∈R),则 = . μ 考点2.等和线 1.在△ABC 中,点 P 满足 → → ,过点 P 的直线与 AB,AC 所在的直线分别交于点 M,N,若 BP=3PC → → , → → ( >0, >0),则 + 的最小值为( ) AM=λAB AN=μAC λ μ λ μ √2 √3 3 5 A. +1 B. +1 C. D. 2 2 2 2 2.给定两个长度为1的平面向量 → 和 → ,它们的夹角为120°.如图所示,点C在以O为圆心,以1半 OA OB 径的圆弧AB上变动.若 → x → y → ,其中x,y R,则x+y的最大值是 . OC= OA+ OB ∈ 3.在矩形ABCD中,AB=1,AD=2,动点P在以点C为圆心且与BD相切的圆上.若 → → → ,则 AP= AB+ AD λ μ + 的最大值为( ) λ μA.3 B.2√2 C.√5 D.2 4.如图,在直角梯形ABCD中,AB∥CD,∠DAB=90°,AD=AB=4,CD=1,动点P在边BC上, 1 1 且满足⃗AP=m⃗AB+n⃗AD(m,n均为正数),则 + 的最小值为( ) m n 3 3 7+4√3 A.1 B. C.− D. 4 4 4 题型三、数量积 考点1.利用数量积求角 1.已知向量 ⃗a,⃗b满足|⃗a|=5, |⃗b|=6,⃗a⋅⃗b=−6,则cos<⃗a,⃗a+⃗b>=( ) 31 19 17 19 A.− B.− C. D. 35 35 35 35 2.下列说法中错误的为( ) ( 5 ) A.已知⃑a=(1,2),⃑b=(1,1)且⃑a与⃗a+λ⃑b夹角为锐角,则λ的取值范围是 − ,+∞ 3 (1 3) B.已知⃑a=(2,−3),⃑b= ,− 不能作为平面内所有向量的一组基底 2 4 C.若⃑a与⃑b平行,则⃑a在⃑b方向上的投影数量为|⃑a| D.若非零 , 满足 ,则 与 的夹角是60° ⃑a ⃑b |⃑a|=|⃑b|=|⃑a−⃑b| ⃑a ⃑a+⃑b 考点2.平方处理绝对值问题 → → π → → → → 1.已知平面向量 a , b 的夹角为 ,a=(√3,1),且 |a−b|=√3 则 |b|= 3 2.已知 → → ,点C在线段AB上,且 → 的最小值为1,则 → → (t R)的最小 |OA|=|OB|=2 |OC| |tOA−OB| ∈ 值为( ) A.√2 B.√3 C.2 D.√53.已知平面向量→、→、→满足|→|=2,|→ →|=1,→ →,→ → ,则|→|的最大值为 . a b c a b−a c∥b a⋅c=6 c 考点3.几何意义——投影 1.如图,在平行四边形ABCD中,AP⊥BD,垂足为P,且AP=3,则 → → . AP⋅AC= 2.已知两个不相等的非零向量→ →,满足 → ,且→与→ →的夹角为45°,则 → 的取值范围是( a,b |b|=2 b b−a |a| ) A.(0,√2] B.[√2,2) C.(0,2] D.[√2,+∞) 3.如图,A是半径为5的圆O上的一个定点,单位向量 → 在A点处与圆O相切,点P是圆O上的一个动 AB 点,且点P与点A不重合,则 → • → 的取值范围是 . AP AB 考点4.转换基底 1.在平行四边形ABCD中,AD=1,AB= 1 ,∠BAD=60°,E为CD的中点,则 → → ( ) 2 AC⋅BE= A.﹣2 B.﹣1 C.1 D.2 2.(2013•山东)已知向量 → 与 → 的夹角为120°,且| → |=3,| → |=2.若 → → → ,且 → AB AC AB AC AP= AB+AC AP λ ⊥ → ,则实数 的值为 . BC λ 3.如图,P为△AOB所在平面内一点,向量 → →, → →,且点P在线段AB的垂直平分线上,向量 OA=a OB=b→ →.若|→|=3,|→|=2,则 → → 的值为 . OP=c a b c⋅(a−b) 考点5.建系解决数量积问题 1.在△ABC中BC=6,BC边上的高AD=2,点D在线段BC上,则 → → 的取值范围是( ) AB⋅AC A.[﹣5,4) B.[﹣5,4] C.[﹣4,5] D.[﹣4,5) 2.在直角三角形 ABC 中,∠A=90°,AB=3,AC=4,P 在△ABC 斜边 BC 的中线 AD 上,则 → → → 的最大值为( ) AP⋅(PB+PC) 25 25 25 25 A. B. C. D. 16 8 4 2 3.已知单位向量→ →的夹角为60°,若向量→满足 → → → ,则 → 的最大值为( ) a,b c |a−2b+3c|≤3 |c| √3 √3 A.1+ B. C.1+√3 D.√3 3 3 题型四、极化恒等式 1.如图,在△ABC中,D是BC的中点,E、F是AD上的两个三等分点,⃑BA·⃑CA=4,⃑BF·⃑CF=−1, 则⃑BE·⃑CE的值是( ) 7 3 A.4 B.8 C. D. 8 4 2.如图所示,正方形ABCD的边长为1,A,D分别在x轴,y轴的正半轴(含原点)上滑动,则⃗OC⋅⃗OB的 最大值是 .3.已知AB是圆O的直径,AB长为2,C是圆O上异于A,B的一点,P是圆O所在平面上任意一点,则( ⃗PA+⃗PB)⋅⃗PC的最小值为( ) 1 1 1 A.− B.− C.− D.−1 4 3 2 3 4.如图,在四边形ABCD中, ∠B=60°, AB=3,BC=6,且⃑AD=λ⃑BC,⃑AD⋅⃑AB=− ,则实数λ的 2 值为 ,若M,N是线段BC上的动点,且|⃑MN|=1,则⃑DM⋅⃑DN的最小值为 . 题型五、奔驰定理 1 1.已知点O为△ABC内一点,满足 → → → ,若S = S ,则 =( ) OA+3OB=λOC △AOB 3 △ABC λ 1 1 A.﹣2 B.− C. D.2 2 2 → 2 → 1 → → 1 → 2 → 2.设 P、Q为△ABC内的两点,且AP= AB+ AC,AQ= AB+ AC,则△ABP的面积与△ABQ的 5 5 4 3 面积之比为( ) 4 8 4 3 A. B. C. D. 5 5 3 10 3.点O为△ABC内一点,若S :S :S =4:3:2,设⃗AO=λ⃗AB+μ⃗AC,则实数λ和μ的值分 △AOB △BOC △AOC 别为( )2 4 4 2 1 2 2 1 A. , B. , C. , D. , 9 9 9 9 9 9 9 9 1 → 4.在平面四边形ABCD中,已知△ABC的面积是△ACD的面积的3倍.若存在正实数x,y使得 ( − AC= x 2 → → 2) (1− ) 成立,则x+y的最小值为 . AB+ AD y 题型六、三角形四心 考点1.重心 1.已知 O 是平面上一定点,A、B、C 是平面上不共线的三个点,动点 P 满足 → → ( OP=OA+ λ → → AB AC + ) [0,+∞),则点P的轨迹一定通过△ABC的( ) → → |AB|sinB |AC|sinC λ∈ A.外心 B.内心 C.重心 D.垂心 2.已知在△ABC和点M满足 → → → →,若存在实数m使得 → → → 成立,则m= MA+MB+MC=0 AB+AC=mAM . 3.设△ABC的内角A,B,C的对边分别为a,b,c,点G为△ABC的重心且满足向量 → ⊥ → ,若atanA BG CG = csinB,则实数 = . λ λ 考点2.内心 1 . O 是 平 面 上 一 定 点 , A , B , C 是 平 面 上 不 共 线 的 三 个 点 , 动 点 P 满 足 → → → → AB AC OP=OA+λ( + ),λ∈[0,+∞),则P的轨迹一定通过△ABC的 心. → → |AB| |AC| 2.已知O是△ABC所在平面上的一点,A、B、C所对的边的分别为a,b,c,若 → → → →, aOA+bOB+cOC=0 则O是△ABC的( ) A.重心 B.垂心 C.外心 D.内心m 3.在△ABC 中,AB=AC=5,BC=6,I 是△ABC 的内心,若 → m → → (m,n R),则 = BI= BA+nBC n ∈ ( ) 4 6 1 A. B. C.2 D. 3 5 2 考点3.外心 1.已知O是△ABC所在平面上一点,若( → → )• → ( → → )• → ( → → )• → 0, OA+OB AB= OB+OC BC= OC+OA CA= 则O点是三角形的 心. π cosB → cosC → → 2.已知 O 是锐角△ABC 的外接圆的圆心,且∠A= ,若 AB+ AC=2mAO,则 m= 4 sinC sinB . 3.在△ABC中,CA=2CB=2, → • → 1,O是△ABC的外心,若 → x → y → ,则x+y= . CA CB=− CO= CA+ CB 考点4.垂心 1.已知 O 为△ABC 所在平面上一点,且 → 2 → 2 → 2 → 2 → 2 → 2,则 O 一定为△ABC 的 OA +BC =OB +CA =OC +AB ( ) A.外心 B.内心 C.重心 D.垂心 2 . O 是 平 面 上 一 定 点 , A , B , C 平 面 上 不 共 线 的 三 个 点 , 动 点 P 满 足 → → → → AB AC OP=OA+λ( + ), R,则 P 的轨迹一定通过△ ABC 的 → → |AB|cos∠ABC |AC|cos∠BCA λ∈ ( ) A.外心 B.内心 C.重心 D.垂心 3.点O在△ABC所在平面上,若 → → → → → → ,则点O是△ABC的( ) OA⋅OB=OB⋅OC=OC⋅OA A.三条中线交点 B.三条高线交点 C.三条边的中垂线交点 D.三条角分线交点一、单选题 1.如图所示的△ABC中,点D是线段BC上靠近B的三等分点,点E是线段AB的中点,则⃗DE=( ) 1 1 1 1 A.− ⃗AB− ⃗AC B.− ⃗AB− ⃗AC 3 6 6 3 5 1 5 1 C.− ⃗AB− ⃗AC D.− ⃗AB+ ⃗AC 6 3 6 3 2.已知两个单位向量 满足 ,则向量 的夹角为( ) ⃗a,⃗b |⃗a+⃗b|=|⃗a−⃗b| ⃗a−√3⃗b,⃗b A.150° B.120° C.60° D.30° 3.在平行四边形ABCD中,G为△ABC的重心,满足⃗AG=x⃗AB+ y⃗AD(x,y∈R),则x+2y=( ) 4 5 A. B. C.0 D.−1 3 3 4.在矩形ABCD中,⃗ED=2⃗AE,AB=1,BC=3,则向量⃗EB在向量⃗AC方向上的投影数量为( ) √10 √10 A.−2 B. C.− D.2 5 5 5.正方形ABCD边长为2,⃗BE=2⃗EC,⃗CF=2⃗FD,则⃗EF⋅⃗BD=( ) 5 A.2 B.4 C.5 D. 2 6.如图,正方形ABCD的边长为4,E为BC的中点,F为CD边上一点,若⃗AF⋅⃗AE=|⃗AE|2,则 |AF|=( )A.√17 B.2√5 C.2√6 D.5 7.已知圆C的半径为1,过圆C外一点P作一条切线与圆C相切于点A,|PA|=2,Q为圆C上一个动点, 则⃗PA⋅⃗PQ的取值范围为( ) A.[2,4] B.[2,6] C.[0,4] D.[4,6] |⃗PA+⃗PB+⃗PC| 8.已知点A,B,C在圆 x2+ y2=4 上运动,且 AB⊥BC ,若点P的坐标为 P(3,0) ,则 的 ¿ ¿ 最大值为( ) A.7 B.12 C.14 D.11 9.美术课对于陶冶人的情操、发展学生的艺术兴趣和爱好、培养学生的艺术特长、提高学生的审美素养具有 积极作用.如图,这是某学生关于“杯子”的联想创意图,它是由一个正方形和三个半圆组成的,其中A, B是正方形的两个顶点,P是三段圆弧上的动点,若AB=4,则⃗AB⋅⃗AP的取值范围是( ) A.[−24,24] B.[−8,24] C.[−16√2,16√2] D.[−8,16√2] 10.如图,在四边形ABCD中,已知AB=AD=1,BC=DC=√3,AC=2,点P在边CD上,则 ⃗AP⋅⃗BP的最小值为( ) 21 21 21 7 A. B. C. D. 16 8 32 4 11.设向量 、 、 满足 , , , ,则 的最大值等于( ) ⃗a ⃗b ⃗c |⃗a|=1 |⃗b|=2 ⃗a⋅⃗b=0 ⃗c⋅(⃗a+⃗b−⃗c)=0 |⃗c|√5 A.√5 B.1+ C.2 D.1 2 12.在 △ABC 中,( ⃗AB + ⃗AC ) ⋅⃗BC=0 ,且 ⃗AB ⋅ ⃗AC = √3,则 ∠ABC= ( ) |⃗AB| |⃗AC| |⃗AB| |⃗AC| 2 A.30° B.45° C.60° D.75° 二、多选题 13.已知 , ,则下列结论正确的是( ) ⃗a=(2,−4) ⃗b=(1,3) 3π A.(⃗a+⃗b)⊥⃗b B.|⃗a+2⃗b|=√10 C.⃗a与⃗b的夹角为 D.⃗a在⃗b方向上的投影向量是√10⃗b 4 1 14.已知O是坐标原点,平面向量 ⃗a=⃗OA,⃗b=⃗OB, ⃗c=⃗OC,且⃗a是单位向量, ⃗a⋅⃗b=2,⃗a⋅⃗c= ,则下 2 列结论正确的是( ) A.|⃗c|=|⃗a−⃗c| 2 1 B.若A,B,C三点共线,则⃗a= ⃗b+ ⃗c 3 3 C.若向量 与 垂直,则 的最小值为1 ⃗b−⃗a ⃗c−⃗a |⃗b+⃗c−2⃗a| √2 D.向量⃗b−⃗a与⃗b的夹角正切值的最大值为 4 15.点O,H分别是△ABC的外心、垂心,则下列选项正确的是( ) A.若 ⃗BD=λ ( ⃗BA + ⃗BC )且 ⃗BD=μ⃗BA+(1−μ)⃗BC ,则 ⃗AD=⃗DC |⃗BA| |⃗BC| B.若2⃗BO=⃗BA+⃗BC,且AB=2,则⃗AC⋅⃗AB=4 π C.若∠B= ,⃗OB=m⃗OA+n⃗OC,则m+n的取值范围为[−2,1) 3 √10 D.若2⃗HA+3⃗HB+4⃗HC=0⃗,则cos∠BHC=− 5 16.(多选)已知 , 是两个单位向量,且 ,则下列说法正确的是( ) ⃗a ⃗b |⃗a+⃗b|=|⃗a−⃗b| A.⃗a⊥⃗b B.对于平面内的任意向量⃗c,有且只有一对实数m,n,使⃗c=m(⃗a−2⃗b)+n (⃗b− 1 ⃗a ) 2C.已知O(0,0),A(1,1),设⃗AB=⃗a,⃗AC=⃗b,⃗AB+⃗AC=⃗AD,则⃗OB⋅⃗OC=⃗OA⋅⃗OD D.若向量 满足 ,则 ⃗c |⃗c−⃗a−⃗b|=2 2−√2<|⃗c|<2+√2 2 17.如图所示,在边长为3的等边三角形ABC中,⃗AD= ⃗AC,且点P在以AD的中点O为圆心,OA为 3 半径的半圆上,若⃗BP=x⃗BA+ y⃗BC,则( ) 1 2 13 A.⃗BD= ⃗BA+ ⃗BC B.⃗BD⋅⃗BO= 3 3 2 √7 C.⃗BP⋅⃗BC存在最小值 D.x+ y的最大值为1+ 7 18.“奔驰定理”因其几何表示酷似奔驰的标志得来,是平面向量中一个非常优美的结论.奔驰定理与三角 形四心(重心、内心、外心、垂心)有着神秘的关联.它的具体内容是:已知M是△ABC内一点, △BMC,△AMC,△AMB 的面积分别为S A ,S B ,S C ,且 S ⋅M → A+S ⋅M → B+S ⋅M → C= → 0 .以下命题正确 A B C 的有( ) A.若S :S :S =1:1:1,则M为△AMC的重心 A B C B.若M为△ABC的内心,则BC⋅⃗MA+AC⋅⃗MB+AB⋅⃗MC=0⃗ C.若 , 为 的外心,则 ∠BAC=45°,∠ABC=60° M △ABC S :S :S =√3:2:1 A B C √6 D.若M为△ABC的垂心,3⃗MA+4⃗MB+5⃗MC=0⃗,则cos∠AMB=− 6 三、填空题 19.向量⃗AB=(2,1)在向量⃗AC= ( 0, 1) 上的投影向量为λ⃗AC,则|⃗AB+λ⃗AC|= . 21 20.如图,在△ABC中,⃗AD=2⃗DB,P为CD上一点,且满足⃗AP=m⃗AC+ ⃗AB (m∈R),则m的 2 值为 . 21.已知向量 , , 满足 , , ,则 的最大值是 ⃗a ⃗b ⃗c ⃗a+⃗b+⃗c=0⃗ (⃗a−⃗b)⋅(⃗a−⃗c)=0 |⃗b−⃗c|=3 |⃗a|+|⃗b|+|⃗c| . 22.在△ABC中,D是BC边上一点,且⃗BD=2⃗DC,E是AD的中点,过点E的直线与AB,AC两边分别 1 2 交于M,N两点(点M,N与点B,C不重合),设⃗AB=x⃗AM,⃗AC= y⃗AN,则 + 的最小值为 x y . 23.已知点 在同一平面,且 三点不共线,且满足 ,其中 , O,A,B,C A,B,C ⃗OA+⃗OB+⃗OC=0⃗ |⃗OA|=√6 , ,则 的值为 ,则 的面积为 . |⃗OB|=2 |⃗OC|=√14 ⃗OA⋅⃗OB △AOB 24.在平行四边形 中, ,向量 在 方向上的投影为1,且 ,点 在线段 ABCD |⃗AD|=√2 ⃗AD ⃗AB ⃗BD⋅⃗DC=0 P CD上,则⃗PA⋅⃗PB的取值范围为 . 25.如图,在菱形ABCD中AB=2,∠BAD=60°,E、F分别为BC、CD上的点.⃗CE=2⃗EB, 1 5 ⃗CF=2⃗FD,点M在线段EF上,且满足⃗AM= ⃗AB+ ⃗AD(x∈R),|⃗AM|= ;若点N为线段BD 2 6 上一动点,则⃗AN⋅⃗MN的取值范围为 .