文档
办公文件
生活文档
学习资料
当前位置:
首页
>
文档
>2023-1-2数学答案V7_2.2025数学总复习_2023年新高考资料_3数学高考模拟题_新高考_河北省2023届高三学生全过程纵向评价(一)数学含答案
2023-1-2数学答案V7_2.2025数学总复习_2023年新高考资料_3数学高考模拟题_新高考_河北省2023届高三学生全过程纵向评价(一)数学含答案
2026-03-08 11:10:48
2026-03-08 11:10:48
文档预览
文档信息
文档格式
pdf
文档大小
7.269 MB
文档页数
8 页
上传时间
2026-03-08 11:10:48
下载文档
文档内容
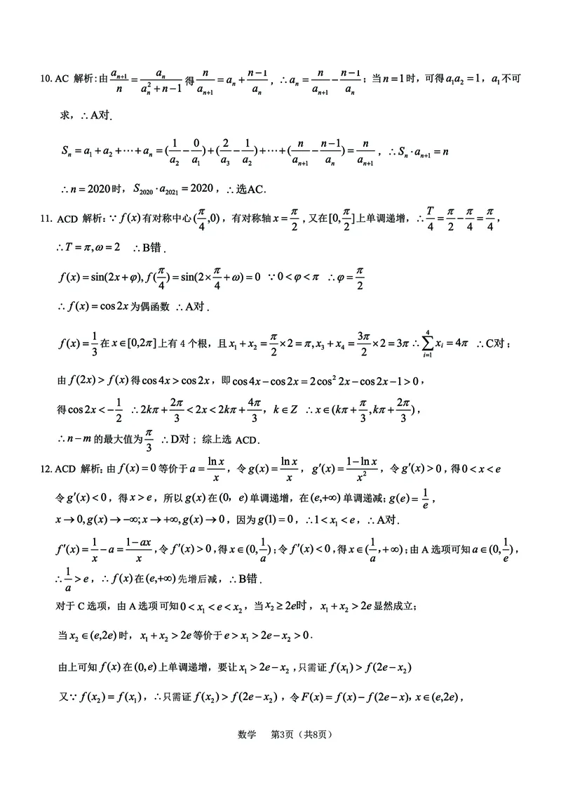
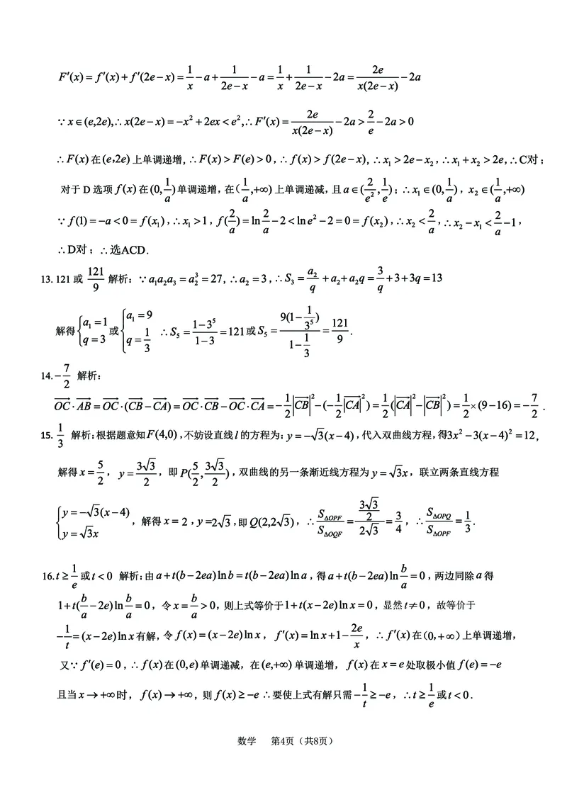
π 5π 2π ∠A= 或∠A= 或∠A= 6 12 3 数学 第1页(共8页)是 一个 数学 第2页(共8页)先增后减 只需 只需 数学 第3页(共8页)× 不妨 显然t≠0 故等价于 数学 第4页(共8页)按性别 数学 第5页(共8页)⊂ 数学 第6页(共8页)由于 ① ② 数学 第7页(共8页)① ② ③ 数学 第8页(共8页)
本文档来自网络内容,如有侵犯您的权益请联系我们删除,联系邮箱:wyl860211@qq.com。
上一篇
精品解析:北京市丰台区2022-2023学年八年级上学期期末生物试题(原卷版)(1)_北京初中期末题_C605-京七八九_B京生物七八九_北京八上生物_2022-2023
下一篇
山西省朔州市怀仁市第一中学校2024-2025学年高三上学期9月月考语文试题_A1502026各地模拟卷(超值!)_9月_山西省朔州市怀仁市第一中学校2024-2025学年高三上学期9月月考语文
最新文档
山西省部分学校2024-2025学年高三上学期11月期中调研测试政治试卷_A1502026各地模拟卷(超值!)_11月_241118山西天一大联考2024-2025学年高三期中调研考试
精品解析:北京市丰台区2022-2023学年八年级上学期期末练习物理试题(原卷版)(1)_北京初中期末题_C605-京七八九_B京物理八九_物理_八年级上学期物理_2022-2023
山西省朔州市怀仁市第一中学校2024-2025学年高三上学期9月月考语文试题答案_A1502026各地模拟卷(超值!)_9月_山西省朔州市怀仁市第一中学校2024-2025学年高三上学期9月月考语文
精品解析:北京市丰台区2022-2023学年八年级上学期期末生物试题(解析版)(1)_北京初中期末题_C605-京七八九_B京生物七八九_北京八上生物_2022-2023
山西省朔州市怀仁市第一中学校2024-2025学年高三上学期9月月考语文试题_A1502026各地模拟卷(超值!)_9月_山西省朔州市怀仁市第一中学校2024-2025学年高三上学期9月月考语文
精品解析:北京市丰台区2022-2023学年八年级上学期期末生物试题(原卷版)(1)_北京初中期末题_C605-京七八九_B京生物七八九_北京八上生物_2022-2023
山西省朔州市怀仁市第一中学校2024-2025学年高三上学期9月月考生物试题答案_A1502026各地模拟卷(超值!)_9月_山西省朔州市怀仁市第一中学校2024-2025学年高三上学期9月月考生物
山西省朔州市怀仁市第一中学校2024-2025学年高三上学期9月月考生物试题_A1502026各地模拟卷(超值!)_9月_山西省朔州市怀仁市第一中学校2024-2025学年高三上学期9月月考生物
精品解析:北京市丰台区2022-2023学年八年级上学期期末历史试题(解析版)(1)_北京初中期末题_C605-京七八九_B京历史七八九_北京8上历史_2022-2024_北京历史8上期末
山西省朔州市怀仁市第一中学校2024-2025学年高三上学期9月月考物理试题答案_A1502026各地模拟卷(超值!)_9月_山西省朔州市怀仁市第一中学校2024-2025学年高三上学期9月月考物理
热门文档
山西省朔州市怀仁市第一中学校2024-2025学年高三上学期9月月考物理试题_A1502026各地模拟卷(超值!)_9月_山西省朔州市怀仁市第一中学校2024-2025学年高三上学期9月月考物理
精品解析:北京市丰台区2022-2023学年八年级上学期期末历史试题(原卷版)(1)_北京初中期末题_C605-京七八九_B京历史七八九_北京8上历史_2022-2024_北京历史8上期末
山西省朔州市怀仁市第一中学校2024-2025学年高三上学期9月月考数学试题答案_A1502026各地模拟卷(超值!)_9月_山西省朔州市怀仁市第一中学校2024-2025学年高三上学期9月月考数学
山西省朔州市怀仁市第一中学校2024-2025学年高三上学期9月月考数学试题_A1502026各地模拟卷(超值!)_9月_山西省朔州市怀仁市第一中学校2024-2025学年高三上学期9月月考数学
山西省朔州市怀仁市第一中学校2024-2025学年高三上学期9月月考政治试题答案_A1502026各地模拟卷(超值!)_9月_山西省朔州市怀仁市第一中学校2024-2025学年高三上学期9月月考政治
精品解析:北京市丰台区2022-2023学年九年级上学期期末道德与法治试题(解析版)(1)_北京初中期末题_C605-京七八九_B京市道德与法治七八九_道法_北京9上道法_2022-2024_北京道法9上期末
山西省朔州市怀仁市第一中学校2024-2025学年高三上学期9月月考政治试题_A1502026各地模拟卷(超值!)_9月_山西省朔州市怀仁市第一中学校2024-2025学年高三上学期9月月考政治
精品解析:北京市丰台区2022-2023学年九年级上学期期末道德与法治试题(原卷版)(1)_北京初中期末题_C605-京七八九_B京市道德与法治七八九_道法_北京9上道法_2022-2024_北京道法9上期末
山西省朔州市怀仁市第一中学校2024-2025学年高三上学期9月月考地理试题答案_A1502026各地模拟卷(超值!)_9月_山西省朔州市怀仁市第一中学校2024-2025学年高三上学期9月月考地理
精品解析:北京市丰台区2022-2023学年九年级上学期期末语文试题(解析版)(1)_北京初中期末题_C605-京七八九_B语文七八九_北京9上语文_2022-2023
随机文档
山西省朔州市怀仁市第一中学校2024-2025学年高三上学期9月月考地理试题_A1502026各地模拟卷(超值!)_9月_山西省朔州市怀仁市第一中学校2024-2025学年高三上学期9月月考地理
2022年巴中市零诊考试题(理科数学)_2.2025数学总复习_数学高考模拟题_2023年模拟题_老高考_2023届四川省巴中市高三零诊考试理数试题
山西省朔州市怀仁市第一中学校2024-2025学年高三上学期9月月考历史试题答案_A1502026各地模拟卷(超值!)_9月_山西省朔州市怀仁市第一中学校2024-2025学年高三上学期9月月考历史
精品解析:北京市丰台区2022-2023学年九年级上学期期末语文试题(原卷版)(1)_北京初中期末题_C605-京七八九_B语文七八九_北京9上语文_2022-2023
山西省朔州市怀仁市第一中学校2024-2025学年高三上学期9月月考历史试题_A1502026各地模拟卷(超值!)_9月_山西省朔州市怀仁市第一中学校2024-2025学年高三上学期9月月考历史
精品解析:北京市丰台区2022-2023学年九年级上学期期末英语试题(解析版)(1)_北京初中期末题_C605-京七八九_B京英语七八九_北京英语九上_2022-2023
2022年巴中市零诊考试理科数学参考答案(20220904定稿)_2.2025数学总复习_数学高考模拟题_2023年模拟题_老高考_2023届四川省巴中市高三零诊考试理数试题
精品解析:北京市丰台区2022-2023学年九年级上学期期末英语试题(原卷版)(1)_北京初中期末题_C605-京七八九_B京英语七八九_北京英语九上_2022-2023
精品解析:北京市丰台区2022-2023学年九年级上学期期末练习物理试题(解析版)(1)_北京初中期末题_C605-京七八九_北京9上物理_2022-2023
精品解析:北京市丰台区2022-2023学年九年级上学期期末练习物理试题(原卷版)(1)_北京初中期末题_C605-京七八九_北京9上物理_2022-2023