当前位置:首页>文档>第21讲机械能守恒定律(练习)(解析版)_4.2025物理总复习_2025年新高考资料_一轮复习_2025年高考物理一轮复习讲练测(新教材新高考)

第21讲机械能守恒定律(练习)(解析版)_4.2025物理总复习_2025年新高考资料_一轮复习_2025年高考物理一轮复习讲练测(新教材新高考)

  • 2026-03-10 14:33:39 2026-03-10 14:33:39

文档预览

第21讲机械能守恒定律(练习)(解析版)_4.2025物理总复习_2025年新高考资料_一轮复习_2025年高考物理一轮复习讲练测(新教材新高考)
第21讲机械能守恒定律(练习)(解析版)_4.2025物理总复习_2025年新高考资料_一轮复习_2025年高考物理一轮复习讲练测(新教材新高考)
第21讲机械能守恒定律(练习)(解析版)_4.2025物理总复习_2025年新高考资料_一轮复习_2025年高考物理一轮复习讲练测(新教材新高考)
第21讲机械能守恒定律(练习)(解析版)_4.2025物理总复习_2025年新高考资料_一轮复习_2025年高考物理一轮复习讲练测(新教材新高考)
第21讲机械能守恒定律(练习)(解析版)_4.2025物理总复习_2025年新高考资料_一轮复习_2025年高考物理一轮复习讲练测(新教材新高考)
第21讲机械能守恒定律(练习)(解析版)_4.2025物理总复习_2025年新高考资料_一轮复习_2025年高考物理一轮复习讲练测(新教材新高考)
第21讲机械能守恒定律(练习)(解析版)_4.2025物理总复习_2025年新高考资料_一轮复习_2025年高考物理一轮复习讲练测(新教材新高考)
第21讲机械能守恒定律(练习)(解析版)_4.2025物理总复习_2025年新高考资料_一轮复习_2025年高考物理一轮复习讲练测(新教材新高考)
第21讲机械能守恒定律(练习)(解析版)_4.2025物理总复习_2025年新高考资料_一轮复习_2025年高考物理一轮复习讲练测(新教材新高考)
第21讲机械能守恒定律(练习)(解析版)_4.2025物理总复习_2025年新高考资料_一轮复习_2025年高考物理一轮复习讲练测(新教材新高考)
第21讲机械能守恒定律(练习)(解析版)_4.2025物理总复习_2025年新高考资料_一轮复习_2025年高考物理一轮复习讲练测(新教材新高考)
第21讲机械能守恒定律(练习)(解析版)_4.2025物理总复习_2025年新高考资料_一轮复习_2025年高考物理一轮复习讲练测(新教材新高考)
第21讲机械能守恒定律(练习)(解析版)_4.2025物理总复习_2025年新高考资料_一轮复习_2025年高考物理一轮复习讲练测(新教材新高考)
第21讲机械能守恒定律(练习)(解析版)_4.2025物理总复习_2025年新高考资料_一轮复习_2025年高考物理一轮复习讲练测(新教材新高考)
第21讲机械能守恒定律(练习)(解析版)_4.2025物理总复习_2025年新高考资料_一轮复习_2025年高考物理一轮复习讲练测(新教材新高考)
第21讲机械能守恒定律(练习)(解析版)_4.2025物理总复习_2025年新高考资料_一轮复习_2025年高考物理一轮复习讲练测(新教材新高考)
第21讲机械能守恒定律(练习)(解析版)_4.2025物理总复习_2025年新高考资料_一轮复习_2025年高考物理一轮复习讲练测(新教材新高考)
第21讲机械能守恒定律(练习)(解析版)_4.2025物理总复习_2025年新高考资料_一轮复习_2025年高考物理一轮复习讲练测(新教材新高考)
第21讲机械能守恒定律(练习)(解析版)_4.2025物理总复习_2025年新高考资料_一轮复习_2025年高考物理一轮复习讲练测(新教材新高考)
第21讲机械能守恒定律(练习)(解析版)_4.2025物理总复习_2025年新高考资料_一轮复习_2025年高考物理一轮复习讲练测(新教材新高考)
第21讲机械能守恒定律(练习)(解析版)_4.2025物理总复习_2025年新高考资料_一轮复习_2025年高考物理一轮复习讲练测(新教材新高考)
第21讲机械能守恒定律(练习)(解析版)_4.2025物理总复习_2025年新高考资料_一轮复习_2025年高考物理一轮复习讲练测(新教材新高考)
第21讲机械能守恒定律(练习)(解析版)_4.2025物理总复习_2025年新高考资料_一轮复习_2025年高考物理一轮复习讲练测(新教材新高考)
第21讲机械能守恒定律(练习)(解析版)_4.2025物理总复习_2025年新高考资料_一轮复习_2025年高考物理一轮复习讲练测(新教材新高考)
第21讲机械能守恒定律(练习)(解析版)_4.2025物理总复习_2025年新高考资料_一轮复习_2025年高考物理一轮复习讲练测(新教材新高考)
第21讲机械能守恒定律(练习)(解析版)_4.2025物理总复习_2025年新高考资料_一轮复习_2025年高考物理一轮复习讲练测(新教材新高考)
第21讲机械能守恒定律(练习)(解析版)_4.2025物理总复习_2025年新高考资料_一轮复习_2025年高考物理一轮复习讲练测(新教材新高考)
第21讲机械能守恒定律(练习)(解析版)_4.2025物理总复习_2025年新高考资料_一轮复习_2025年高考物理一轮复习讲练测(新教材新高考)
第21讲机械能守恒定律(练习)(解析版)_4.2025物理总复习_2025年新高考资料_一轮复习_2025年高考物理一轮复习讲练测(新教材新高考)
第21讲机械能守恒定律(练习)(解析版)_4.2025物理总复习_2025年新高考资料_一轮复习_2025年高考物理一轮复习讲练测(新教材新高考)
第21讲机械能守恒定律(练习)(解析版)_4.2025物理总复习_2025年新高考资料_一轮复习_2025年高考物理一轮复习讲练测(新教材新高考)
第21讲机械能守恒定律(练习)(解析版)_4.2025物理总复习_2025年新高考资料_一轮复习_2025年高考物理一轮复习讲练测(新教材新高考)
第21讲机械能守恒定律(练习)(解析版)_4.2025物理总复习_2025年新高考资料_一轮复习_2025年高考物理一轮复习讲练测(新教材新高考)
第21讲机械能守恒定律(练习)(解析版)_4.2025物理总复习_2025年新高考资料_一轮复习_2025年高考物理一轮复习讲练测(新教材新高考)
第21讲机械能守恒定律(练习)(解析版)_4.2025物理总复习_2025年新高考资料_一轮复习_2025年高考物理一轮复习讲练测(新教材新高考)
第21讲机械能守恒定律(练习)(解析版)_4.2025物理总复习_2025年新高考资料_一轮复习_2025年高考物理一轮复习讲练测(新教材新高考)
第21讲机械能守恒定律(练习)(解析版)_4.2025物理总复习_2025年新高考资料_一轮复习_2025年高考物理一轮复习讲练测(新教材新高考)
第21讲机械能守恒定律(练习)(解析版)_4.2025物理总复习_2025年新高考资料_一轮复习_2025年高考物理一轮复习讲练测(新教材新高考)
第21讲机械能守恒定律(练习)(解析版)_4.2025物理总复习_2025年新高考资料_一轮复习_2025年高考物理一轮复习讲练测(新教材新高考)

文档信息

文档格式
docx
文档大小
1.198 MB
文档页数
39 页
上传时间
2026-03-10 14:33:39

文档内容

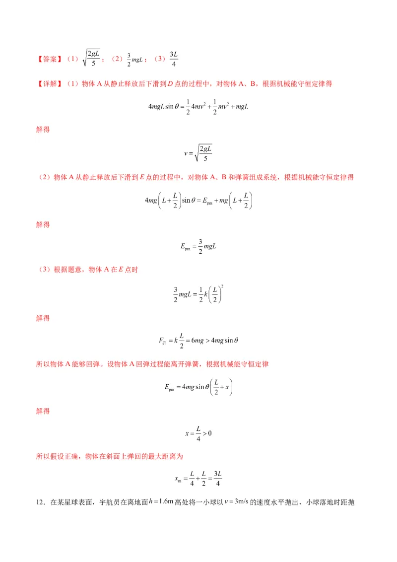
第 21 讲 机械能守恒定律 目录 01 模拟基础练 【题型一】机械能守恒的判断 【题型二】机械能守恒定律的表达式 【题型三】机械能守恒定律在绳、杆、弹簧模型中的应用 【题型四】机械能守恒定律在曲线运动中的应用 02 重难创新练 【题型一】机械能守恒的判断 1.如图所示,光滑圆弧轨道AB与粗糙水平面BC平滑连接,一个小球从圆弧轨道的A点释放,经圆弧轨 道AB和平面BC后从C点水平飞出,落在地面上D点,不计空气阻力,在此过程中下列说法正确的是( ) A.从A到B的过程机械能不守恒 B.从B到C的过程机械能不守恒 C.从C到D的过程机械能不守恒 D.从A到D的整个过程机械能守恒 【答案】B 【详解】A.从A到B过程只有重力做功,机械能守恒,故A错误;B.从B到C过程,有摩擦力做功,机械能不守恒,故B正确; C.从C到D过程只有重力做功,机械能守恒,故C错误; D.从A到D过程,有摩擦力做功,机械能不守恒,故D错误。 故选B。 2.下列关于如图的说法正确的是( ) A.图甲中“蛟龙号”被吊车匀速吊下水的过程中它的机械能守恒 B.图乙中物块在恒力F作用下沿固定粗糙斜面匀加速上滑过程中,物块的机械能减少 C.图丙中物块沿固定斜面匀速下滑过程中,物块机械能保持不变 D.图丁中撑杆跳高运动员在上升过程中机械能增加 【答案】D 【详解】A.蛟龙号被吊车匀速吊下水的过程中,速度不变,动能不变,重力势能减小,则机械能减小, 它的机械能不守恒,故A错误; B.物块在恒力F作用下沿固定粗糙斜面匀加速上滑过程中,速度增大,动能增大,高度升高,重力势能 增大,可知,物块的机械能增大,故B错误; C.图丙中物块沿固定斜面匀速下滑过程中,速度不变,动能不变,重力势能减小,物块机械能减小,故 C错误; D.图丁中撑杆跳高运动员在上升过程中,撑杆对运动员做正功,运动员的机械能增加,故D正确。 故选D。 3.羽毛球运动是一项深受大众喜爱的体育运动。某同学为研究羽毛球飞行规律,记录下了如图所示的羽 毛球飞行轨迹图,图中A、B为同一轨迹上等高的两点,P为该轨迹的最高点,若空气阻力方向始终与速度 方向相反,则羽毛球在该次飞行中( )A.经过A点时速度等于经过B点时速度 B.经过A点时速度小于经过B点时速度 C.落地前瞬间的速度方向不可能竖直向下 D.落地前瞬间的速度方向有可能竖直向下 【答案】D 【详解】AB.由于空气阻力做功,则B点的机械能小于A点的机械能,由能量守恒可知,羽毛球在A、B 两点重力势能相等,A点动能大于B点动能,经过A点时速度大于经过B点时速度,故AB错误; CD.将运动分解到水平方向和竖直方向,由于存在空气阻力作用,水平方向一直做减速运动,落地前瞬间 水平方向速度有可能减小到0,故C错误,D正确; 故选D。 【题型二】机械能守恒定律的表达式 4.运动员某次投篮时,篮球的运动过程可简化为如图所示,已知篮球的质量为m,投出时篮球的初速度为 ,距离篮框的竖直距离为h,忽略篮球运动过程中的空气阻力,取篮框所在的平面为零势能面,重力加 速度为g,篮球可看成质点,则下列说法正确的是( ) A.篮球抛出后在空中做平抛运动 B.篮球在投出点的重力势能为mgh C.篮球刚进入篮框时的机械能为D.从投出至进框的过程中,篮球重力势能的变化量为mgh 【答案】D 【详解】A.篮球抛出后在空中做斜抛运动,故A错误; B.取篮框所在的平面为零势能面,篮球在投出点的重力势能为 -mgh 故B错误; C.篮球在抛出时的机械能为 且运动过程中机械能守恒,故C错误; D.篮球在投出点的重力势能为 -mgh 进框时的重力势能为 0 从投出至进框的过程中,篮球重力势能的变化量为 故D正确。 故选D。 5.一个弹性很好的橡胶球从距离地面高为h处被竖直抛下,落到坚硬的水平地面上被弹回,回跳的高度比 抛出点高h,已知重力加速度为g,不计空气阻力和球与地面碰撞时的能量损失,则在抛出点必须以多大 0 的速度将球向下抛出( ) A. B. C. D. 【答案】C 【详解】从将球向下抛出到球上升到最高点,小球减少的动能为小球增加的重力势能为 由机械能守恒定律得 联立得 故选C。 6.在距离地面4m的某楼层的墙外侧,以1m/s的速度竖直向上抛出一个质量为50g的小石子(小石子可看 成质点),忽略空气阻力,g取 。求: (1)石子落地时速度大小v; (2)石子经过多长时间t落地; (3)从抛出到落地这段时间内重力做功的平均功率P。 【答案】(1) ;(2) ;(3) 【详解】(1)由机械能守恒定律可知 解得 (2)设竖直向上为正方向,则有 解得 (3)重力做功为 平均功率为7.如图所示,一倾角 的光滑倾斜轨道与水平轨道 平滑连接,水平轨道上M点的左侧光滑、右 侧粗糙且足够长。质量均为 的滑块A和B,用长 且与斜面平行的轻杆相连,置于光滑倾 斜轨道上,B到斜面底端P点的距离、 两点的距离均为L,滑块与粗糙轨道间的动摩擦因数均为 。两滑块可视为质点,不计两滑块经过P点的机械能损失,重力加速度g取 。现同时静止释 放A、B,求: (1)A从释放运动到P点过程中,两滑块系统重力势能的减少量; (2)A从释放运动到P点过程中,轻杆对B做的功; (3)A停止运动时的位置与M点的距离。 【答案】(1) ;(2) ;(3) 【详解】(1)A从释放运动到P点过程中,两滑块系统重力势能的减少量为 (2)A从释放运动到P点过程中,根据系统机械能守恒可得 解得A运动到P点时,A、B的速度大小均为 对B根据动能定理可得 解得轻杆对B做的功为 (3)设A停止运动时的位置与M点的距离为 ,以A、B为整体,根据动能定理可得解得 【题型三】机械能守恒定律在绳、杆、弹簧模型中的应用 1.如图所示,可视为质点的小球A、B用不可伸长的细软线连接,跨过固定在地面上半径为R的光滑圆柱, A的质量为B的5倍。当B位于地面时,A恰与圆柱轴心等高。将A由静止释放,A下落到地面时不再弹 起,(不计空气阻力)则B上升的最大高度是( ) A.2R B. C. D. 【答案】B 【详解】. 设B的质量为 ,则A的质量为 ,A球落地前,A、B组成的系统机械能守恒,有 解得 对B运用动能定理得 解得 则B上升的最大高度为故选B。 2.如图所示,带孔物块A穿在光滑固定的竖直细杆上与一不可伸长的轻质细绳连接,细绳另一端跨过轻 质光滑定滑轮连接物块B,A位于与定滑轮等高处。已知物块A的质量为m、物块B的质量为 ,定滑 轮到细杆的距离为L,细绳的长度为2L。现由静止释放物块A,不计一切摩擦、空气阻力及定滑轮大小, 重力加速度大小为g,两物块均可视为质点,下列说法正确的是( ) A.物块A的机械能一直增大 B.物块A的速度始终小于物块B的速度 C.物块A、B等高时物块B的速度大小为0 D.物块A下落到最低点时物块B的速度为0,A下落的最大距离为 【答案】D 【详解】A.由静止释放物块A,物块A向下加速运动过程中,重力做正功,绳子的拉力做负功,物块A 的机械能减小。故A错误; B.设物块A下滑过程中绳与竖直方向的夹角为 ,则 由此可知,物块A的速度大于物块B的速度,当物块A的速度为零时,物块B的速度也为零。故B错误; C.设物块A、B处于同一高度时定滑轮左侧细绳与水平方向所成的角为 ,有 又解得 所以等高时的总动能为 解得 故C错误; D.当物块A的速度为零时,下落的高度最大,此时物块B的速度也为0,则 解得 故D正确; 故选D。 3.如图所示,有一光滑轨道 , 部分竖直, 部分水平, 部分是半径为 的四分之一圆弧, 其中 与 、 相切。质量均为 的小球 、 (可视为质点)固定在长为 的竖直轻杆两端,开始 时 球与 点接触且轻杆竖直,由静止释放两球使其沿轨道下滑,重力加速度为 。下列说法正确的是( ) A. 球下滑过程中机械能减小 B. 球下滑过程中机械能增加 C. 球滑到水平轨道上时速度大小为D.从释放 、 球到两球均滑到水平轨道的过程中,轻杆对 球做功为 【答案】D 【详解】C.两个小球组成的系统只有重力做功,所以系统的机械能守恒,故有 解得 即 、 球滑到水平轨道上时速度大小均为 ,故C错误; D.b球在滑落过程中,设杆对b球做功为W,根据动能定理可得 联立解得 对a球由动能定理可得 解得杆对a球做功为 故D正确; AB.结合D项分析可知,杆对 球做正功,对b球做负功,故下滑过程中 球机械能增大,b球机械能减 小,即对单个球来看,机械能均不守恒,故AB错误。 故选D。 4.如图所示,倾角 、足够长的固定光滑斜面顶端,质量为 的球 与质量为 的球B用绕过轻质 定滑轮的细线相连,球B与质量为 的球C通过劲度系数为 的轻质弹簧相连,球B距滑轮足够远,球C 放在水平地面上。起始时使整个系统处于静止状态,细线刚好拉直但无张力,滑轮左侧细线竖直、右侧细 线与斜面平行,不计细线与滑轮之间的摩擦,重力加速度为 ,由静止释放球A,当球C刚要离开地面时, 球B恰达到最大速度,从释放球A至弹簧第一次伸长到最长的过程中,下列说法正确的是( )A.球A的质量 B.球C离开地面后,与球B、弹簧组成系统机械能守恒 C.球A沿斜面下滑的最大速度为 D.当弹簧第一次伸长至最长时球C的速度为 【答案】D 【详解】A.当球C刚要离开地面时,球B恰达到最大速度,则球B的加速度为零,所以 解得球A的质量 故A错误; B.球C离开地面后,与球A、B、弹簧组成系统机械能守恒,故B错误; C.恰好离开地面时,对C有 球B上升的高度 球C恰好离开地面时,球A沿斜面下滑的速度达到最大,设球A沿斜面下滑的最大速度为v。根据A、B 和弹簧组成的系统机械能守恒得 解得故C错误; D.当弹簧第一次伸长至最长时球A、B、C的速度大小相等,球C离开地面后,球A动量定理有 B、C的系统动量定理,则 联立可得 解得当弹簧第一次伸长至最长时球C的速度为 故D正确。 故选D。 5.如图所示,一个与水平方向成 角的斜面底端固定一根轻质弹簧,原长时弹簧上端位于图中B点,劲度 系数为k,现从斜面A点由静止释放一个质量为m的小物块(可视为质点),小物块运动到C点时速度为 零,其中 ,AB段光滑,BC段粗糙,动摩擦因数为 ,下列说法正确的是( ) A.小物块的最大速度 B.系统最大弹性势能 C.小物块最终停在B点 D.小物块的加速度可能大于 【答案】D 【详解】A.依题意可知,当小物块向下加速运动,加速度为0时速度达最大,则有弹簧弹力此时物块位于BC之间,设物块到达B点时,速度为 ,则有 解得 所以小物块的最大速度 故A错误; B.当小物块从开始向下运动到速度为0时,此时弹簧弹性势能最大,根据能量守恒定律可知,小滑块把 它的机械能转化为弹簧弹性势能及小滑块与斜面摩擦产生的热量,即 显然,系统最大弹性势能小于 ,故B错误; C.若小滑块最终能停止在B点,则滑块的加速度一定为0,且由于在B点时弹簧处于原长此时滑块受力平 衡,则有 可得 这与题中 矛盾,所以小滑块不可能停在B点,而应该停止在B点下方,故C错误; D.当小滑块从最大速度开始减速到最点C的过程中时,根据牛顿第二定律有 若满足 时,则滑块加速度可能大于 ,故D正确。故选D。 6.如图所示,一质量为m的小球(视为质点)固定于轻质弹簧的一端,弹簧的另一端固定于O点,将小 球拉至A处,此时弹簧恰好无形变。现由静止释放小球,小球运动到O点正下方B点时的速度大小为v, 此时小球与A点的竖直高度差为h。重力加速度大小为g,不计空气阻力。下列说法正确的是( ) A.小球从A点运动到B点的过程中重力势能的减少量为mgh B.小球从A点运动到B点的过程中机械能守恒 C.小球到达B点时,弹簧的弹性势能为 D.小球从A点运动到B点的过程中克服弹簧弹力做的功为 【答案】AC 【详解】A.小球从A点运动到B点的过程中,小球重力势能的减少量等于该过程中重力对小球做的功, 该过程中小球所受重力对小球做的功为 故A正确; B.小球减少的重力势能一部分转化为小球的动能,另一部分转化为弹簧的弹性势能,故B错误; C.对小球和弹簧组成的系统,由机械能守恒定律有 解得小球到达B点时,弹簧的弹性势能 故C正确; D.根据功能关系,小球从A点运动到B点的过程中克服弹簧弹力做的功故D错误。 故选AC。 7.如图所示,轻弹簧一端固定在O点,另一端与一质量为m的小球相连,小球套在固定的竖直光滑杆上, P点到O点的距离为L, 与杆垂直,杆上M、N两点与O点的距离均为 。已知弹簧的劲度系数为k, 原长为L,重力加速度为g,现让小球从M处由静止释放,下列说法正确的是( ) A.小球从M运动到N的过程中,小球的机械能守恒 B.小球通过N点时速率为 C.小球从M运动到N的过程中,弹簧弹性势能先减小后增大 D.小球从M运动到N的过程中,小球的动能和弹簧的弹性势能之和先减小后增大 【答案】BC 【详解】A.小球从 运动到 的过程中,小球和弹簧组成的系统机械能守恒,但小球的机械能并不守恒, 故A错误; B.根据几何关系有 解得 小球在M、N两个位置时,弹簧的长度相等,所以弹簧的弹性势能相等,在此过程中小球的重力势能全部 转化为动能,则解得 故B正确; C. ,等于弹簧的原长,则小球位于P点时,弹簧弹力为0,弹簧的弹性势能为0且最小,所以从 运动到N的过程中弹簧的弹性势能先减小后增大,故C正确; D.小球和弹簧组成的系统机械能守恒,小球的重力势能一直在减小,所以小球的动能和弹簧的弹性势能 之和一直在增大,故D错误。 故选BC。 8.如图所示,质量不计的硬直杆的两端分别固定质量均为 的小球A和B,它们可以绕光滑轴O在 竖直面内自由转动。已知O与A球间的距离 ,O与B球间的距离 ,重力加速度g取 , 将杆以水平位置由静止释放。求: (1)杆转动到竖直位置时,小球A、B的速度大小; (2)杆转动到竖直位置的过程中,杆对B球做的功。 【答案】(1) , ;(2) 【详解】(1)设杆转动到竖直位置时,小球A、B的速度大小分别为 、 ,杆转动的角速度为 ,小球 A和B及杆组成的系统机械能守恒,则有 且 , 解得 , (2)杆转动到竖直位置的过程中,对B,根据动能定理解得杆对B球做的功 【题型四】机械能守恒定律在曲线运动中的应用 1.如图所示,竖直平面内一倾斜光滑直轨道与水平地面在A点平滑连接,一半径 的光滑半圆轨道 BDC与水平地面相切于B点。小滑块从斜面上距水平地面高度为h处由静止下滑,经过水平地面后进入圆 轨道。已知小滑块质量 ,AB段长度 ,小滑块与水平地面间的动摩擦因数 ,重力加 速度g取 ,不计空气阻力。 (1)若小滑块释放后恰好能到达最高点C,求h; (2)若 ,求: (ⅰ)小滑块经过与圆心等高的D点时对轨道的压力; (ⅱ)小滑块刚要脱离半圆轨道时距地面的高度。 【答案】(1)2.4m;(2)(ⅰ)3N,方向水平向右,(ⅱ)1.2m 【详解】(1)若小滑块释放后恰好能到达最高点C,根据牛顿第二定律有 小球从释放到最高点过程,根据动能定理有 解得 (2)(ⅰ)小滑块运动至与圆心等高的D点过程,根据动能定理有在D点,根据牛顿第二定律有 根据牛顿第三定律有 解得 方向水平向右。 (ⅱ)令小滑块刚要脱离半圆轨道时对应半径与水平方向夹角为 ,脱离瞬间有 小滑块从释放到脱离过程有 滑块刚要脱离半圆轨道时距地面的高度 解得 2.如图所示,水平地面上固定一装置。质量m=0.1kg的小滑块从距地面高H处静止释放,沿弧形轨道、竖 直圆轨道、水平直轨道AB和倾角θ=37°的斜轨道BC运动,小滑块第一次运动到A点时速度大小为 m/s。已知竖直圆轨道半径R=0.2m,小滑块与轨道BC间的动摩擦因数为μ=0.5,不计其他摩擦,不考虑 滑块在B处的能量损失。sin37°=0.6,cos37°=0.8, ,求: (1)H的大小; (2)小滑块运动到圆轨道最高点D时对轨道的压力大小F; (3)小滑块在斜面BC上的最大高度h。【答案】(1)0.8m;(2) ;(3)0.48m 【详解】(1)滑块从开始下滑到到达轨道A点过程应用机械能守恒定律 解得 H=0.8m (2)从A点到D点过程,对滑块应用机械能守恒定律 在D点时 解得 根据牛顿第三定律 (3)从A到BC上最高点过程对滑块应用动能定理 解得 h=0.48m1.蹦极运动以其惊险刺激深得年轻人的喜爱,图示为某次蹦极运动中的情景,原长为l、劲度系数为k的 轻弹性绳一端固定在机臂上,另一端固定在质量为m的蹦极者身上,蹦极者从机臂上由静止自由下落,当 蹦极者距离机臂h时,下落至最低点。空气阻力恒为重力的 ,重力加速度为g。此过程中( ) A.蹦极者的最大动能为 B.蹦极者减少的机械能为 C.弹性绳增加的弹性势能为 D.蹦极者和弹性绳组成的系统减少的机械能为 【答案】B 【详解】A.根据题意可知,蹦极者下落l的过程中,蹦极者受重力和空气阻力,根据动能定理可知蹦极者 此时动能为 此时蹦极者所受合力向下,蹦极者继续加速,则蹦极者的最大动能大于 ,故A错误; B.蹦极者从静止开始运动到最低点的过程中,其动能变化量为0,所以其机械能的减少量为其重力势能减 少量 故B正确; C.弹性绳增加的弹性势能为蹦极者减少的机械能去掉克服阻力做的功,即故C错误; D.蹦极者和弹性绳组成的系统减少的机械能为整个过程克服阻力所做的功 故D错误。 故选B。 2.如图所示,一轻质弹簧置于固定光滑斜面上的O点,下端与固定在斜面底端的挡板连接,弹簧处于原 长时上端位于A点。一物块由斜面上A点上方某位置由静止释放,将弹簧压缩至最低点B,弹簧始终在弹 性限度内,下列说法正确的是( ) A.物块运动到A点时的动能最大 B.物块从A点运动到B点过程中机械能守恒 C.物块运动到B点后将在B点保持静止状态 D.弹簧弹性势能的最大值等于物块从O点到B点重力势能的减少量 【答案】D 【详解】A.物块运动到A点时,弹力为零,合力不为零,则物块有沿斜面向下的加速度,则此时速度不 是最大,即动能不是最大,选项A错误; B.物块从A点运动到B点过程中弹簧的弹力对物块做负功,则物块的机械能不守恒,选项B错误; C.物块运动到B点后合力沿斜面向上,则将沿斜面向上运动,不会在B点保持静止状态,选项C错误; D.由能量关系可知,弹簧弹性势能的最大值等于物块从O点到B点重力势能的减少量,选项D正确。 故选D。 3.如图所示,一条不可伸长的轻绳跨过定滑轮,绳的两端各系一个小球A和B,已知小球A的质量为 m,用手托住B球,轻绳刚好被拉紧时,B球离地面的高度为h,A球静止于水平地面上。现释放B球,落地时的速度为 。定滑轮的质量及轮与轴间的摩擦均不计,重力加速度为g。下列说法正确的是( ) A.B球的质量为4m B.A球上升h的过程中,轻绳对A球的拉力做的功为mgh C.B球从释放至落地,运动的时间为 D.A球从地面开始上升的最大高度为1.6h 【答案】ACD 【详解】A.设B球的质量为M,根据动能定理 解得 故A正确; B.设轻绳对A球的拉力做的功为W,根据动能定理 解得 故B错误; C.将AB球看成整体,则根据牛顿第二定律解得 所以,B球从释放至落地,运动的时间为 故C正确; D.B球落地时,A球的位移为 此后A球做竖直上抛运动,则位移为 所以,A球从地面开始上升的最大高度为 故D正确。 故选ACD。 4.如图所示,物体Q锁定在水平地面上,不可伸长的轻质细线一端连接在Q上,另一端绕过三个光滑轻 质小滑轮后固定在地面上。物体P与滑轮2相连,系统静止,四段细线都竖直,现解除对物体Q的锁定, 物体P触地后静止不动,物体P触地瞬间连接物体Q的绳子断开。已知物体P与地面间高度差为h,物体 P、Q质量分别为3m、m,重力加速度为g,天花板离滑轮1和3足够高,物体P、Q均可视为质点,不计 空气阻力。下列说法正确的是( )A.物体Q上升过程中的最大速度为 B.物体Q上升过程中的最大速度为 C.物体Q上升的最大高度为 D.物体Q上升的最大高度为 【答案】AD 【详解】AB.根据题意可知,物体P刚刚触地时,Q速度最大,此时 根据机械能守恒定律有 解得 故A正确,B错误; CD.绳子断开后有 物体Q上升的最大高度 结合上述解得 故C错误,D正确。 故选AD。 5.如图所示,一质量为m的物块a穿在固定竖直杆上,轻绳一端系于物块a上,绕过轻质定滑轮O后,另一端系于质量为3m的物块b上。初始时a在外力作用下保持静止,且Oa连线水平、长为L。现撤去外 力,全过程a未落地,b未触碰定滑轮,不计一切阻力和摩擦,重力加速度为g。在物块a下降过程中,下 列说法正确的是( ) A.物块a刚释放时的加速度为g B.物块a在最低点的加速度为0 C.物块a下降的最大高度为 D.物块a的机械能先增大后减小 【答案】AC 【详解】A.物块a刚释放时竖直方向只受重力作用,则加速度为g,选项A正确; B.物块a在速度最大时加速度为零,在最低点时合外力不为零,则加速度不为0,选项B错误; C.物块a下降到最低点时由能量关系 解得物块a下落的最大高度为 选项C正确; D.细绳的拉力一直对a做负功,则物块a的机械能一直减小,选项D错误。 故选AC。 6.如图所示,悬点O下方固定一光滑小圆环,水平光滑细长杆左侧套有一物块Q。现用一轻质细绳跨过 小圆环,细绳一端连接物块Q,另一端悬挂一物块P,物块Q在外力作用下静止时到圆环部分的细绳与长 杆的夹角 ,小圆环下端到长杆的距离为h。现将P、Q由静止释放,已知物块P、Q的质量之比为 ,取重力加速度大小为g,不计摩擦和空气阻力。对于物块Q从开始运动到速度第一次为0的过程,物 块Q不与竖直细绳接触,下列说法正确的是( )A.物块Q的位移大小为 B.该过程中物块P的机械能一直在减小 C.该过程中物块Q的最大速度为 D.该过程中物块P一直处于失重状态 【答案】AC 【详解】A.根据运动的对称性可知,物块Q从开始运动到右侧关于竖直绳对称的位置的速度第一次为 0,根据几何关系有 故A正确; B.结合上述,物块Q从开始运动到右侧关于竖直绳对称的位置的速度第一次为0,该过程中,物块P先下 降后上升,绳对P先做负功后做正功,可知,物块P的机械能先减小,后增大。故B错误; C.结合上述可知,Q运动到环的正下方时,P的速度为0,Q的速度达到最大,则有 解得 故C正确; D.根据速度分解关系有 初始状态,两物块速度均为0,当Q运动到环正下方时,P的速度为0,之后物块Q运动到右侧关于竖直绳 对称的位置的速度第一次为0,此时P的速度也为0,可知,当Q在竖直绳左侧运动时,P向下先加速后减 速,当Q在竖直绳右侧运动时,P向上先加速后减速,即当Q在竖直绳左侧运动时,P的加速度方向先向下后向上,当Q在竖直绳右侧运动时,P的加速度先向上后向下,即P先处于失重状态,后处于超重状态, 最后又处于失重状态。故D错误。 故选AC。 7.如图所示,滑块A、B的质量均为m,A套在固定倾斜直杆上,倾斜直杆与水平面成 角,B套在固 定水平直杆上,两直杆分离不接触,两直杆间的距离忽略不计且杆足够长,A、B通过铰链用长度为L的 刚性轻杆(初始时轻杆与水平面成 角)连接,A、B从静止释放,B沿水平面向右运动,不计一切摩擦, 滑块A、B均视为质点,重力加速度大小为g,在运动的过程中,下列说法正确的是( ) A.当A到达B所在水平面时 B.当A到达B所在水平面时,B的速度为 C.滑块B到达最右端时,A的速度为 D.滑块B的最大动能为 【答案】ABD 【详解】A.当A到达B所在水平面时,由运动的合成与分解有 v cos 45°=v A B 解得 故A正确; B.从开始到A到达B所在的水平面的过程中,A、B两滑块组成的系统机械能守恒,由机械能守恒定律有 解得故B正确; C.滑块B到达最右端时,此时轻杆与倾斜直杆垂直,则此时滑块B的速度为零,由机械能守恒可得 解得 故C错误; D.由题意可知,B的加速度为零时速度最大,当轻杆与水平直杆垂直时B的合力为零,速度最大,此时 A的速度为零,由系统机械能守恒可得 mgL(1+sin 30°)=E kB 解得 故D正确。 故选ABD。 8.如图所示,质量均为m的物体A、B用跨过滑轮O的轻绳连接,A穿在固定的竖直光滑杆上,B置于倾 角 的光滑固定斜面上。一劲度系数 的轻质弹簧的一端固定在斜面底端的挡板上,另一端连 接B。初始时,施加外力将A置于N点,轻绳恰好伸直但无拉力, 段长为 ,与杆垂直, 段与斜面 平行。现将A由静止释放,沿杆下滑到最低点 , 为 中的一点,且 。A、B均可视为质点, 运动过程中B不会与滑轮相碰,弹簧始终在弹性限度内,重力加速度为g,不计一切阻力。则A从N点下 滑到M点的过程中( ) A.B沿斜面运动的距离为 B.A、B组成的系统机械能守恒C.经过M点时A的速度大小为 D.轻绳对A做的功为 【答案】AC 【详解】A.A从N点下滑到M点的过程,B沿斜面运动的距离为 故A正确; B.由于弹簧对B做功,所以A、B组成的系统机械能不守恒,故B错误; CD.开始运动时,弹簧的压缩量为 则A经过M点时,弹簧的伸长量为 可知A从N点下滑到M点的过程,弹簧的弹性势能变化量为0,根据能量守恒可得 根据速度关联关系可得 其中 联立解得经过M点时A的速度大小为 对A根据动能定理可得 解得轻绳对A做的功为故C正确,D错误。 故选AC。 9.如图所示,轻质弹簧一端固定在水平面上的光滑转轴O上,另一端与套在光滑固定直杆A处质量为m 的小球(可视为质点)相连。A点距水平面的高度为h,直杆与水平面的夹角为30°,OA=OC,B为AC的 中点,OB等于弹簧原长。小球从A处由静止开始下滑,经过B处的速度为v。已知重力加速度为g,下列 说法正确的是( ) A.小球在C点时的动能 B.小球通过B点时的加速度为 C.弹簧具有的最大弹性势能为 D.小球下滑过程机械能守恒 【答案】AB 【详解】A.小球在A点和C点时,弹簧的长度相同,即弹簧的形变量相同,具有相同的弹性势能,全程 弹簧的弹力做功为零,则小球从A点到C点的过程,根据动能定理 即 故A正确; B.因在B点时弹簧在原长,则到达B点时的加速度为 故B正确; C.弹簧形变量最大时弹性势能最大,即小球在A点时,弹簧具有最大的弹性势能,小球由A点到B点过 程中,根据能量守恒解得 故C错误; D.小球下滑过程中,除了小球重力做功外,还有弹簧的弹力做功,所以小球下滑过程机械能不守恒,故 D错误。 故选AB。 10.篮球气压过高或过低都会影响篮球的弹性和手感,从而影响球员的技术发挥。简易的测试方法是在平 坦的硬质水平地面上,让篮球从180cm的高度自由落下,反弹高度在125cm至140cm之间即表示篮球气压 正常。某次检测中,运动员使篮球从距水平地面高度为h=1.8m处由静止自由落下,反弹高度为 1 h=1.25m。设篮球始终在竖直方向做一维运动,已知篮球质量为m=0.60kg,重力加速度g=10m/s2,不计空 2 气阻力。 (1)求此次碰撞过程中篮球损失的机械能∆E; (2)篮球每次因碰撞损失的机械能会随着碰前动能的减小而减小,设篮球每次与地面碰撞前后的动能的 比值不变。若使篮球从距地面h=1m的高度由静止下落,并在开始下落的同时向下拍球,球落地后反弹的 3 高度也为1m。求拍球过程中人对篮球做的功W; (3)在实际拍球过程中,篮球上升到某高度时,手就会接触篮球并对球施加一个向下的阻力F,球和手 1 一起运动距离s后上升到最高点。然后手对球施加向下的动力F,通过相同的距离s后,篮球与手分开。 2 手对球的两次作用力均视为恒力,拍球过程中篮球距离地面的最大高度相同。通过分析比较F、F 大小关 1 2 系。 【答案】(1)3.3J;(2)2.64J;(3)见解析 【详解】(1)篮球与地面碰撞时损失的机械能为 (2)篮球与地面碰撞前、后瞬间的动能比值为 对篮球下落过程,根据动能定理有对篮球上升过程,根据动能定理有 联立解得 W=2.64J (3)设篮球距离地面的最大高度为h,与地面碰撞前、后瞬间的动能分别为 ,对篮球上升过程, 根据动能定理有 对篮球下落过程,根据动能定理有 由题意可知 可得 11.如图所示,倾角 的固定光滑斜面上固定着挡板,轻弹簧下端与挡板相连,弹簧处于原长时上端 位于D点,用一根不可伸长的轻绳通过轻质光滑定滑轮连接物体A和B,使滑轮左侧绳子始终与斜面平行, 初始时用手按住物体A,使其静止在斜面的C点,C、D两点间的距离为L,现由静止释放物体A,物体A 沿斜面向下运动,将弹簧压缩到最短的位置为E点,D、E两点间距离为 ,若物体A、B的质量分别为 4m和m,不计空气阻力,重力加速度为g,整个过程中,轻绳始终处于伸直状态,求: (1)物体A从静止释放后下滑到D点时的速度大小; (2)弹簧被压缩后的最大弹性势能; (3)查阅资料可知弹性限度内,弹簧弹性势能的表达式为 ,其中k为劲度系数,x为弹簧的形变 量。若物体A下滑到E点时剪短细绳,请通过计算判断物体A能否回弹,若能回弹,求回弹的最大距离; 若不能回弹,求需要把弹簧再压缩的距离。【答案】(1) ;(2) ;(3) 【详解】(1)物体A从静止释放后下滑到D点的过程中,对物体A、B,根据机械能守恒定律得 解得 (2)物体A从静止释放后下滑到E点的过程中,对物体A、B和弹簧组成系统,根据机械能守恒定律得 解得 (3)根据题意,物体A在E点时 解得 所以物体A能够回弹。设物体A回弹过程能离开弹簧,根据机械能守恒定律 解得 所以假设正确,物体在斜面上弹回的最大距离为 12.在某星球表面,宇航员在离地面 高处将一小球以 的速度水平抛出,小球落地时距抛出点的水平距离为 ,已知该星球的半径 ,求: (1)该星球表面的重力加速度g大小; (2)该星球的第一宇宙速度 大小; (3)在该星球上进行如下实验,实验装置如图所示,竖直平面内的光滑轨道由斜面轨道AB和圆弧轨道 BC组成,将质量 的小球从轨道AB上高 处由静止释放,用力传感器测出小球经过最高 点C时对轨道的压力F恰好为0,求该圆弧轨道BC的半径r的大小。 【答案】(1) ;(2) ;(3) 【详解】(1)小球做平抛运动,有 , 联立,解得 (2)根据万有引力提供向心力,可得 又 联立,解得 (3)小球从释放到C点过程,根据机械能守恒,可得小球在C点,由牛顿第二定律,可得 联立,解得 13.如图,一半径为R,质量为M的光滑大圆环固定在桌面上,环面位于竖直平面内,O点为圆环圆心。 在大圆环上套着两个质量均为m的a,b小环。当两小环由大圆环的最高点同时静止释放,分别沿大圆环 逆时针和顺时针下滑。设 为b环和圆心连线与竖直方向的夹角,在小环下滑的过程中,已知重力加速度 为g,不计空气阻力,求: (1)大圆环对小环的作用力为0时, 的值; (2)若 时,地面对大圆环作用力恰好为0,求 的值。 【答案】(1) ;(2) 【详解】(1)设大圆环半径为R,小环与圆心的连线与竖直方向的夹角为 ,对小环由动能定理可得 如果小环与大环恰好无弹力,重力的分力提供向心力,则 解得(2)当小环运动到P点下面的Q点时, 与竖直方向的夹角为 时,大环对小环的弹力为F,则由 动能定理 由牛顿第二定律得 由牛顿第三定律可知小环对大环的弹力大小为 当 大圆环对轻杆的作用力恰好为零,解得 14.如图所示,一游戏装置由安装在水平台面上的轻质弹簧、水平直轨道AB,两个圆心分别为O、O 的 1 2 半圆轨道BCD、EFG,水平直轨道HI及弹性板组成。弹右端固定,O、O 在同一竖直线上,C、F分别与 1 2 O、O 等高,轨道各部分平滑连接,且处于同一竖直面上。游戏时,压缩的弹簧将小滑块向左弹出,弹簧 1 2 的弹性势能完全转化为滑块的动能,滑块沿轨道运动,滑块与弹性板碰后以等大速率弹回。已知弹簧的弹 性势能最大值E =1.0J,轨道BCD的半径R=0.9m,EFG的半径R=0.5m,HI的长度l=1m,滑块质量 pm 1 2 m=0.02kg(可视为质点),滑块与轨道HI间的动摩擦因数μ=0.5,其余各部分轨道均光滑。在某次游戏中 滑块第1次运动到B点时的速度大小v=10m/s。 1 (1)求此次游戏开始时弹簧的弹性势能E ; p1 (2)求此次游戏过程中滑块第1次经过D时受到轨道BCD的弹力大小F ; N (3)要使滑块在游戏过程中不脱离轨道,求弹簧的弹性势能E 的取值范围。 p【答案】(1)1J;(2) ;(3)见解析 【详解】(1)根据机械能守恒定律可得 (2)从B到D点,根据动能定理 在 点,根据牛顿第二定律 得 (3)在半圆轨道恰好能过最高点时满足 可得 即 当滑块不过C点时满足当滑块恰过D点时满足 恰过F点时满足 可得 当滑块恰过G点时满足 返回到HI右端H处速度为0 可得 返回到G点恰过G点时满足 下去后又返回经过IH板直到HI右端H处速度为0 可得 下去后又返回经过IH板直到HI右端恰过G点 所以 的取值范围为
基本 文件 流程 错误 SQL 调试
  1. 请求信息 : 2026-03-10 14:37:54 HTTP/1.1 GET : https://www.yeyulingfeng.com/wendang/374092.html
  2. 运行时间 : 0.270966s [ 吞吐率:3.69req/s ] 内存消耗:5,341.49kb 文件加载:144
  3. 缓存信息 : 0 reads,0 writes
  4. 会话信息 : SESSION_ID=77ca00788156f943b8f7c2def2e83106
  1. /yingpanguazai/ssd/ssd1/www/wwww.yeyulingfeng.com/public/index.php ( 0.79 KB )
  2. /yingpanguazai/ssd/ssd1/www/wwww.yeyulingfeng.com/vendor/autoload.php ( 0.17 KB )
  3. /yingpanguazai/ssd/ssd1/www/wwww.yeyulingfeng.com/vendor/composer/autoload_real.php ( 2.49 KB )
  4. /yingpanguazai/ssd/ssd1/www/wwww.yeyulingfeng.com/vendor/composer/platform_check.php ( 0.90 KB )
  5. /yingpanguazai/ssd/ssd1/www/wwww.yeyulingfeng.com/vendor/composer/ClassLoader.php ( 14.03 KB )
  6. /yingpanguazai/ssd/ssd1/www/wwww.yeyulingfeng.com/vendor/composer/autoload_static.php ( 6.05 KB )
  7. /yingpanguazai/ssd/ssd1/www/wwww.yeyulingfeng.com/vendor/topthink/think-helper/src/helper.php ( 8.34 KB )
  8. /yingpanguazai/ssd/ssd1/www/wwww.yeyulingfeng.com/vendor/topthink/think-validate/src/helper.php ( 2.19 KB )
  9. /yingpanguazai/ssd/ssd1/www/wwww.yeyulingfeng.com/vendor/ralouphie/getallheaders/src/getallheaders.php ( 1.60 KB )
  10. /yingpanguazai/ssd/ssd1/www/wwww.yeyulingfeng.com/vendor/topthink/think-orm/src/helper.php ( 1.47 KB )
  11. /yingpanguazai/ssd/ssd1/www/wwww.yeyulingfeng.com/vendor/topthink/think-orm/stubs/load_stubs.php ( 0.16 KB )
  12. /yingpanguazai/ssd/ssd1/www/wwww.yeyulingfeng.com/vendor/topthink/framework/src/think/Exception.php ( 1.69 KB )
  13. /yingpanguazai/ssd/ssd1/www/wwww.yeyulingfeng.com/vendor/topthink/think-container/src/Facade.php ( 2.71 KB )
  14. /yingpanguazai/ssd/ssd1/www/wwww.yeyulingfeng.com/vendor/symfony/deprecation-contracts/function.php ( 0.99 KB )
  15. /yingpanguazai/ssd/ssd1/www/wwww.yeyulingfeng.com/vendor/symfony/polyfill-mbstring/bootstrap.php ( 8.26 KB )
  16. /yingpanguazai/ssd/ssd1/www/wwww.yeyulingfeng.com/vendor/symfony/polyfill-mbstring/bootstrap80.php ( 9.78 KB )
  17. /yingpanguazai/ssd/ssd1/www/wwww.yeyulingfeng.com/vendor/symfony/var-dumper/Resources/functions/dump.php ( 1.49 KB )
  18. /yingpanguazai/ssd/ssd1/www/wwww.yeyulingfeng.com/vendor/topthink/think-dumper/src/helper.php ( 0.18 KB )
  19. /yingpanguazai/ssd/ssd1/www/wwww.yeyulingfeng.com/vendor/symfony/var-dumper/VarDumper.php ( 4.30 KB )
  20. /yingpanguazai/ssd/ssd1/www/wwww.yeyulingfeng.com/vendor/guzzlehttp/guzzle/src/functions_include.php ( 0.16 KB )
  21. /yingpanguazai/ssd/ssd1/www/wwww.yeyulingfeng.com/vendor/guzzlehttp/guzzle/src/functions.php ( 5.54 KB )
  22. /yingpanguazai/ssd/ssd1/www/wwww.yeyulingfeng.com/vendor/topthink/framework/src/think/App.php ( 15.30 KB )
  23. /yingpanguazai/ssd/ssd1/www/wwww.yeyulingfeng.com/vendor/topthink/think-container/src/Container.php ( 15.76 KB )
  24. /yingpanguazai/ssd/ssd1/www/wwww.yeyulingfeng.com/vendor/psr/container/src/ContainerInterface.php ( 1.02 KB )
  25. /yingpanguazai/ssd/ssd1/www/wwww.yeyulingfeng.com/app/provider.php ( 0.19 KB )
  26. /yingpanguazai/ssd/ssd1/www/wwww.yeyulingfeng.com/vendor/topthink/framework/src/think/Http.php ( 6.04 KB )
  27. /yingpanguazai/ssd/ssd1/www/wwww.yeyulingfeng.com/vendor/topthink/think-helper/src/helper/Str.php ( 7.29 KB )
  28. /yingpanguazai/ssd/ssd1/www/wwww.yeyulingfeng.com/vendor/topthink/framework/src/think/Env.php ( 4.68 KB )
  29. /yingpanguazai/ssd/ssd1/www/wwww.yeyulingfeng.com/app/common.php ( 0.03 KB )
  30. /yingpanguazai/ssd/ssd1/www/wwww.yeyulingfeng.com/vendor/topthink/framework/src/helper.php ( 18.78 KB )
  31. /yingpanguazai/ssd/ssd1/www/wwww.yeyulingfeng.com/vendor/topthink/framework/src/think/Config.php ( 5.54 KB )
  32. /yingpanguazai/ssd/ssd1/www/wwww.yeyulingfeng.com/config/alipay.php ( 3.59 KB )
  33. /yingpanguazai/ssd/ssd1/www/wwww.yeyulingfeng.com/vendor/topthink/framework/src/think/facade/Env.php ( 1.67 KB )
  34. /yingpanguazai/ssd/ssd1/www/wwww.yeyulingfeng.com/config/app.php ( 0.95 KB )
  35. /yingpanguazai/ssd/ssd1/www/wwww.yeyulingfeng.com/config/cache.php ( 0.78 KB )
  36. /yingpanguazai/ssd/ssd1/www/wwww.yeyulingfeng.com/config/console.php ( 0.23 KB )
  37. /yingpanguazai/ssd/ssd1/www/wwww.yeyulingfeng.com/config/cookie.php ( 0.56 KB )
  38. /yingpanguazai/ssd/ssd1/www/wwww.yeyulingfeng.com/config/database.php ( 2.48 KB )
  39. /yingpanguazai/ssd/ssd1/www/wwww.yeyulingfeng.com/config/filesystem.php ( 0.61 KB )
  40. /yingpanguazai/ssd/ssd1/www/wwww.yeyulingfeng.com/config/lang.php ( 0.91 KB )
  41. /yingpanguazai/ssd/ssd1/www/wwww.yeyulingfeng.com/config/log.php ( 1.35 KB )
  42. /yingpanguazai/ssd/ssd1/www/wwww.yeyulingfeng.com/config/middleware.php ( 0.19 KB )
  43. /yingpanguazai/ssd/ssd1/www/wwww.yeyulingfeng.com/config/route.php ( 1.89 KB )
  44. /yingpanguazai/ssd/ssd1/www/wwww.yeyulingfeng.com/config/session.php ( 0.57 KB )
  45. /yingpanguazai/ssd/ssd1/www/wwww.yeyulingfeng.com/config/trace.php ( 0.34 KB )
  46. /yingpanguazai/ssd/ssd1/www/wwww.yeyulingfeng.com/config/view.php ( 0.82 KB )
  47. /yingpanguazai/ssd/ssd1/www/wwww.yeyulingfeng.com/app/event.php ( 0.25 KB )
  48. /yingpanguazai/ssd/ssd1/www/wwww.yeyulingfeng.com/vendor/topthink/framework/src/think/Event.php ( 7.67 KB )
  49. /yingpanguazai/ssd/ssd1/www/wwww.yeyulingfeng.com/app/service.php ( 0.13 KB )
  50. /yingpanguazai/ssd/ssd1/www/wwww.yeyulingfeng.com/app/AppService.php ( 0.26 KB )
  51. /yingpanguazai/ssd/ssd1/www/wwww.yeyulingfeng.com/vendor/topthink/framework/src/think/Service.php ( 1.64 KB )
  52. /yingpanguazai/ssd/ssd1/www/wwww.yeyulingfeng.com/vendor/topthink/framework/src/think/Lang.php ( 7.35 KB )
  53. /yingpanguazai/ssd/ssd1/www/wwww.yeyulingfeng.com/vendor/topthink/framework/src/lang/zh-cn.php ( 13.70 KB )
  54. /yingpanguazai/ssd/ssd1/www/wwww.yeyulingfeng.com/vendor/topthink/framework/src/think/initializer/Error.php ( 3.31 KB )
  55. /yingpanguazai/ssd/ssd1/www/wwww.yeyulingfeng.com/vendor/topthink/framework/src/think/initializer/RegisterService.php ( 1.33 KB )
  56. /yingpanguazai/ssd/ssd1/www/wwww.yeyulingfeng.com/vendor/services.php ( 0.14 KB )
  57. /yingpanguazai/ssd/ssd1/www/wwww.yeyulingfeng.com/vendor/topthink/framework/src/think/service/PaginatorService.php ( 1.52 KB )
  58. /yingpanguazai/ssd/ssd1/www/wwww.yeyulingfeng.com/vendor/topthink/framework/src/think/service/ValidateService.php ( 0.99 KB )
  59. /yingpanguazai/ssd/ssd1/www/wwww.yeyulingfeng.com/vendor/topthink/framework/src/think/service/ModelService.php ( 2.04 KB )
  60. /yingpanguazai/ssd/ssd1/www/wwww.yeyulingfeng.com/vendor/topthink/think-trace/src/Service.php ( 0.77 KB )
  61. /yingpanguazai/ssd/ssd1/www/wwww.yeyulingfeng.com/vendor/topthink/framework/src/think/Middleware.php ( 6.72 KB )
  62. /yingpanguazai/ssd/ssd1/www/wwww.yeyulingfeng.com/vendor/topthink/framework/src/think/initializer/BootService.php ( 0.77 KB )
  63. /yingpanguazai/ssd/ssd1/www/wwww.yeyulingfeng.com/vendor/topthink/think-orm/src/Paginator.php ( 11.86 KB )
  64. /yingpanguazai/ssd/ssd1/www/wwww.yeyulingfeng.com/vendor/topthink/think-validate/src/Validate.php ( 63.20 KB )
  65. /yingpanguazai/ssd/ssd1/www/wwww.yeyulingfeng.com/vendor/topthink/think-orm/src/Model.php ( 23.55 KB )
  66. /yingpanguazai/ssd/ssd1/www/wwww.yeyulingfeng.com/vendor/topthink/think-orm/src/model/concern/Attribute.php ( 21.05 KB )
  67. /yingpanguazai/ssd/ssd1/www/wwww.yeyulingfeng.com/vendor/topthink/think-orm/src/model/concern/AutoWriteData.php ( 4.21 KB )
  68. /yingpanguazai/ssd/ssd1/www/wwww.yeyulingfeng.com/vendor/topthink/think-orm/src/model/concern/Conversion.php ( 6.44 KB )
  69. /yingpanguazai/ssd/ssd1/www/wwww.yeyulingfeng.com/vendor/topthink/think-orm/src/model/concern/DbConnect.php ( 5.16 KB )
  70. /yingpanguazai/ssd/ssd1/www/wwww.yeyulingfeng.com/vendor/topthink/think-orm/src/model/concern/ModelEvent.php ( 2.33 KB )
  71. /yingpanguazai/ssd/ssd1/www/wwww.yeyulingfeng.com/vendor/topthink/think-orm/src/model/concern/RelationShip.php ( 28.29 KB )
  72. /yingpanguazai/ssd/ssd1/www/wwww.yeyulingfeng.com/vendor/topthink/think-helper/src/contract/Arrayable.php ( 0.09 KB )
  73. /yingpanguazai/ssd/ssd1/www/wwww.yeyulingfeng.com/vendor/topthink/think-helper/src/contract/Jsonable.php ( 0.13 KB )
  74. /yingpanguazai/ssd/ssd1/www/wwww.yeyulingfeng.com/vendor/topthink/think-orm/src/model/contract/Modelable.php ( 0.09 KB )
  75. /yingpanguazai/ssd/ssd1/www/wwww.yeyulingfeng.com/vendor/topthink/framework/src/think/Db.php ( 2.88 KB )
  76. /yingpanguazai/ssd/ssd1/www/wwww.yeyulingfeng.com/vendor/topthink/think-orm/src/DbManager.php ( 8.52 KB )
  77. /yingpanguazai/ssd/ssd1/www/wwww.yeyulingfeng.com/vendor/topthink/framework/src/think/Log.php ( 6.28 KB )
  78. /yingpanguazai/ssd/ssd1/www/wwww.yeyulingfeng.com/vendor/topthink/framework/src/think/Manager.php ( 3.92 KB )
  79. /yingpanguazai/ssd/ssd1/www/wwww.yeyulingfeng.com/vendor/psr/log/src/LoggerTrait.php ( 2.69 KB )
  80. /yingpanguazai/ssd/ssd1/www/wwww.yeyulingfeng.com/vendor/psr/log/src/LoggerInterface.php ( 2.71 KB )
  81. /yingpanguazai/ssd/ssd1/www/wwww.yeyulingfeng.com/vendor/topthink/framework/src/think/Cache.php ( 4.92 KB )
  82. /yingpanguazai/ssd/ssd1/www/wwww.yeyulingfeng.com/vendor/psr/simple-cache/src/CacheInterface.php ( 4.71 KB )
  83. /yingpanguazai/ssd/ssd1/www/wwww.yeyulingfeng.com/vendor/topthink/think-helper/src/helper/Arr.php ( 16.63 KB )
  84. /yingpanguazai/ssd/ssd1/www/wwww.yeyulingfeng.com/vendor/topthink/framework/src/think/cache/driver/File.php ( 7.84 KB )
  85. /yingpanguazai/ssd/ssd1/www/wwww.yeyulingfeng.com/vendor/topthink/framework/src/think/cache/Driver.php ( 9.03 KB )
  86. /yingpanguazai/ssd/ssd1/www/wwww.yeyulingfeng.com/vendor/topthink/framework/src/think/contract/CacheHandlerInterface.php ( 1.99 KB )
  87. /yingpanguazai/ssd/ssd1/www/wwww.yeyulingfeng.com/app/Request.php ( 0.09 KB )
  88. /yingpanguazai/ssd/ssd1/www/wwww.yeyulingfeng.com/vendor/topthink/framework/src/think/Request.php ( 55.78 KB )
  89. /yingpanguazai/ssd/ssd1/www/wwww.yeyulingfeng.com/app/middleware.php ( 0.25 KB )
  90. /yingpanguazai/ssd/ssd1/www/wwww.yeyulingfeng.com/vendor/topthink/framework/src/think/Pipeline.php ( 2.61 KB )
  91. /yingpanguazai/ssd/ssd1/www/wwww.yeyulingfeng.com/vendor/topthink/think-trace/src/TraceDebug.php ( 3.40 KB )
  92. /yingpanguazai/ssd/ssd1/www/wwww.yeyulingfeng.com/vendor/topthink/framework/src/think/middleware/SessionInit.php ( 1.94 KB )
  93. /yingpanguazai/ssd/ssd1/www/wwww.yeyulingfeng.com/vendor/topthink/framework/src/think/Session.php ( 1.80 KB )
  94. /yingpanguazai/ssd/ssd1/www/wwww.yeyulingfeng.com/vendor/topthink/framework/src/think/session/driver/File.php ( 6.27 KB )
  95. /yingpanguazai/ssd/ssd1/www/wwww.yeyulingfeng.com/vendor/topthink/framework/src/think/contract/SessionHandlerInterface.php ( 0.87 KB )
  96. /yingpanguazai/ssd/ssd1/www/wwww.yeyulingfeng.com/vendor/topthink/framework/src/think/session/Store.php ( 7.12 KB )
  97. /yingpanguazai/ssd/ssd1/www/wwww.yeyulingfeng.com/vendor/topthink/framework/src/think/Route.php ( 23.73 KB )
  98. /yingpanguazai/ssd/ssd1/www/wwww.yeyulingfeng.com/vendor/topthink/framework/src/think/route/RuleName.php ( 5.75 KB )
  99. /yingpanguazai/ssd/ssd1/www/wwww.yeyulingfeng.com/vendor/topthink/framework/src/think/route/Domain.php ( 2.53 KB )
  100. /yingpanguazai/ssd/ssd1/www/wwww.yeyulingfeng.com/vendor/topthink/framework/src/think/route/RuleGroup.php ( 22.43 KB )
  101. /yingpanguazai/ssd/ssd1/www/wwww.yeyulingfeng.com/vendor/topthink/framework/src/think/route/Rule.php ( 26.95 KB )
  102. /yingpanguazai/ssd/ssd1/www/wwww.yeyulingfeng.com/vendor/topthink/framework/src/think/route/RuleItem.php ( 9.78 KB )
  103. /yingpanguazai/ssd/ssd1/www/wwww.yeyulingfeng.com/route/app.php ( 3.82 KB )
  104. /yingpanguazai/ssd/ssd1/www/wwww.yeyulingfeng.com/vendor/topthink/framework/src/think/facade/Route.php ( 4.70 KB )
  105. /yingpanguazai/ssd/ssd1/www/wwww.yeyulingfeng.com/vendor/topthink/framework/src/think/route/dispatch/Controller.php ( 4.74 KB )
  106. /yingpanguazai/ssd/ssd1/www/wwww.yeyulingfeng.com/vendor/topthink/framework/src/think/route/Dispatch.php ( 10.44 KB )
  107. /yingpanguazai/ssd/ssd1/www/wwww.yeyulingfeng.com/app/controller/Index.php ( 9.68 KB )
  108. /yingpanguazai/ssd/ssd1/www/wwww.yeyulingfeng.com/app/BaseController.php ( 2.05 KB )
  109. /yingpanguazai/ssd/ssd1/www/wwww.yeyulingfeng.com/vendor/topthink/think-orm/src/facade/Db.php ( 0.93 KB )
  110. /yingpanguazai/ssd/ssd1/www/wwww.yeyulingfeng.com/vendor/topthink/think-orm/src/db/connector/Mysql.php ( 5.44 KB )
  111. /yingpanguazai/ssd/ssd1/www/wwww.yeyulingfeng.com/vendor/topthink/think-orm/src/db/PDOConnection.php ( 52.47 KB )
  112. /yingpanguazai/ssd/ssd1/www/wwww.yeyulingfeng.com/vendor/topthink/think-orm/src/db/Connection.php ( 8.39 KB )
  113. /yingpanguazai/ssd/ssd1/www/wwww.yeyulingfeng.com/vendor/topthink/think-orm/src/db/ConnectionInterface.php ( 4.57 KB )
  114. /yingpanguazai/ssd/ssd1/www/wwww.yeyulingfeng.com/vendor/topthink/think-orm/src/db/builder/Mysql.php ( 16.58 KB )
  115. /yingpanguazai/ssd/ssd1/www/wwww.yeyulingfeng.com/vendor/topthink/think-orm/src/db/Builder.php ( 24.06 KB )
  116. /yingpanguazai/ssd/ssd1/www/wwww.yeyulingfeng.com/vendor/topthink/think-orm/src/db/BaseBuilder.php ( 27.50 KB )
  117. /yingpanguazai/ssd/ssd1/www/wwww.yeyulingfeng.com/vendor/topthink/think-orm/src/db/Query.php ( 15.71 KB )
  118. /yingpanguazai/ssd/ssd1/www/wwww.yeyulingfeng.com/vendor/topthink/think-orm/src/db/BaseQuery.php ( 45.13 KB )
  119. /yingpanguazai/ssd/ssd1/www/wwww.yeyulingfeng.com/vendor/topthink/think-orm/src/db/concern/TimeFieldQuery.php ( 7.43 KB )
  120. /yingpanguazai/ssd/ssd1/www/wwww.yeyulingfeng.com/vendor/topthink/think-orm/src/db/concern/AggregateQuery.php ( 3.26 KB )
  121. /yingpanguazai/ssd/ssd1/www/wwww.yeyulingfeng.com/vendor/topthink/think-orm/src/db/concern/ModelRelationQuery.php ( 20.07 KB )
  122. /yingpanguazai/ssd/ssd1/www/wwww.yeyulingfeng.com/vendor/topthink/think-orm/src/db/concern/ParamsBind.php ( 3.66 KB )
  123. /yingpanguazai/ssd/ssd1/www/wwww.yeyulingfeng.com/vendor/topthink/think-orm/src/db/concern/ResultOperation.php ( 7.01 KB )
  124. /yingpanguazai/ssd/ssd1/www/wwww.yeyulingfeng.com/vendor/topthink/think-orm/src/db/concern/WhereQuery.php ( 19.37 KB )
  125. /yingpanguazai/ssd/ssd1/www/wwww.yeyulingfeng.com/vendor/topthink/think-orm/src/db/concern/JoinAndViewQuery.php ( 7.11 KB )
  126. /yingpanguazai/ssd/ssd1/www/wwww.yeyulingfeng.com/vendor/topthink/think-orm/src/db/concern/TableFieldInfo.php ( 2.63 KB )
  127. /yingpanguazai/ssd/ssd1/www/wwww.yeyulingfeng.com/vendor/topthink/think-orm/src/db/concern/Transaction.php ( 2.77 KB )
  128. /yingpanguazai/ssd/ssd1/www/wwww.yeyulingfeng.com/vendor/topthink/framework/src/think/log/driver/File.php ( 5.96 KB )
  129. /yingpanguazai/ssd/ssd1/www/wwww.yeyulingfeng.com/vendor/topthink/framework/src/think/contract/LogHandlerInterface.php ( 0.86 KB )
  130. /yingpanguazai/ssd/ssd1/www/wwww.yeyulingfeng.com/vendor/topthink/framework/src/think/log/Channel.php ( 3.89 KB )
  131. /yingpanguazai/ssd/ssd1/www/wwww.yeyulingfeng.com/vendor/topthink/framework/src/think/event/LogRecord.php ( 1.02 KB )
  132. /yingpanguazai/ssd/ssd1/www/wwww.yeyulingfeng.com/vendor/topthink/think-helper/src/Collection.php ( 16.47 KB )
  133. /yingpanguazai/ssd/ssd1/www/wwww.yeyulingfeng.com/vendor/topthink/framework/src/think/facade/View.php ( 1.70 KB )
  134. /yingpanguazai/ssd/ssd1/www/wwww.yeyulingfeng.com/vendor/topthink/framework/src/think/View.php ( 4.39 KB )
  135. /yingpanguazai/ssd/ssd1/www/wwww.yeyulingfeng.com/vendor/topthink/framework/src/think/Response.php ( 8.81 KB )
  136. /yingpanguazai/ssd/ssd1/www/wwww.yeyulingfeng.com/vendor/topthink/framework/src/think/response/View.php ( 3.29 KB )
  137. /yingpanguazai/ssd/ssd1/www/wwww.yeyulingfeng.com/vendor/topthink/framework/src/think/Cookie.php ( 6.06 KB )
  138. /yingpanguazai/ssd/ssd1/www/wwww.yeyulingfeng.com/vendor/topthink/think-view/src/Think.php ( 8.38 KB )
  139. /yingpanguazai/ssd/ssd1/www/wwww.yeyulingfeng.com/vendor/topthink/framework/src/think/contract/TemplateHandlerInterface.php ( 1.60 KB )
  140. /yingpanguazai/ssd/ssd1/www/wwww.yeyulingfeng.com/vendor/topthink/think-template/src/Template.php ( 46.61 KB )
  141. /yingpanguazai/ssd/ssd1/www/wwww.yeyulingfeng.com/vendor/topthink/think-template/src/template/driver/File.php ( 2.41 KB )
  142. /yingpanguazai/ssd/ssd1/www/wwww.yeyulingfeng.com/vendor/topthink/think-template/src/template/contract/DriverInterface.php ( 0.86 KB )
  143. /yingpanguazai/ssd/ssd1/www/wwww.yeyulingfeng.com/runtime/temp/10a0c909b6afa23b5a52a2e2d58c3c0f.php ( 21.72 KB )
  144. /yingpanguazai/ssd/ssd1/www/wwww.yeyulingfeng.com/vendor/topthink/think-trace/src/Html.php ( 4.42 KB )
  1. CONNECT:[ UseTime:0.001006s ] mysql:host=127.0.0.1;port=3306;dbname=wenku;charset=utf8mb4
  2. SHOW FULL COLUMNS FROM `fenlei` [ RunTime:0.001365s ]
  3. SELECT * FROM `fenlei` WHERE `fid` = 0 [ RunTime:0.000688s ]
  4. SELECT * FROM `fenlei` WHERE `fid` = 63 [ RunTime:0.000607s ]
  5. SHOW FULL COLUMNS FROM `set` [ RunTime:0.001331s ]
  6. SELECT * FROM `set` [ RunTime:0.000529s ]
  7. SHOW FULL COLUMNS FROM `wendang` [ RunTime:0.001504s ]
  8. SELECT * FROM `wendang` WHERE `id` = 374092 LIMIT 1 [ RunTime:0.001313s ]
  9. UPDATE `wendang` SET `liulancishu` = 1 WHERE `id` = 374092 [ RunTime:0.038852s ]
  10. UPDATE `wendang` SET `lasttime` = 1773124674 WHERE `id` = 374092 [ RunTime:0.004621s ]
  11. SELECT * FROM `wendang` WHERE `id` < 374092 ORDER BY `id` DESC LIMIT 1 [ RunTime:0.014123s ]
  12. SELECT * FROM `wendang` WHERE `id` > 374092 ORDER BY `id` ASC LIMIT 1 [ RunTime:0.002594s ]
  13. SELECT * FROM `wendang` WHERE `id` <> 374092 ORDER BY `id` DESC LIMIT 10 [ RunTime:0.015802s ]
  14. SELECT * FROM `wendang` WHERE `id` <> 374092 ORDER BY `id` DESC LIMIT 10,10 [ RunTime:0.004969s ]
  15. SELECT * FROM `wendang` WHERE `id` <> 374092 ORDER BY `id` DESC LIMIT 20,10 [ RunTime:0.009021s ]
0.274849s