当前位置:首页>文档>专题05《第二篇解题技巧》模拟测试卷解析版_2.2025数学总复习_2023年新高考资料_二轮复习_备战2023年高考数学二轮复习考点精讲练(新教材·新高考)

专题05《第二篇解题技巧》模拟测试卷解析版_2.2025数学总复习_2023年新高考资料_二轮复习_备战2023年高考数学二轮复习考点精讲练(新教材·新高考)

  • 2026-04-03 16:33:44 2026-03-11 15:51:56

文档预览

专题05《第二篇解题技巧》模拟测试卷解析版_2.2025数学总复习_2023年新高考资料_二轮复习_备战2023年高考数学二轮复习考点精讲练(新教材·新高考)
专题05《第二篇解题技巧》模拟测试卷解析版_2.2025数学总复习_2023年新高考资料_二轮复习_备战2023年高考数学二轮复习考点精讲练(新教材·新高考)
专题05《第二篇解题技巧》模拟测试卷解析版_2.2025数学总复习_2023年新高考资料_二轮复习_备战2023年高考数学二轮复习考点精讲练(新教材·新高考)
专题05《第二篇解题技巧》模拟测试卷解析版_2.2025数学总复习_2023年新高考资料_二轮复习_备战2023年高考数学二轮复习考点精讲练(新教材·新高考)
专题05《第二篇解题技巧》模拟测试卷解析版_2.2025数学总复习_2023年新高考资料_二轮复习_备战2023年高考数学二轮复习考点精讲练(新教材·新高考)
专题05《第二篇解题技巧》模拟测试卷解析版_2.2025数学总复习_2023年新高考资料_二轮复习_备战2023年高考数学二轮复习考点精讲练(新教材·新高考)
专题05《第二篇解题技巧》模拟测试卷解析版_2.2025数学总复习_2023年新高考资料_二轮复习_备战2023年高考数学二轮复习考点精讲练(新教材·新高考)
专题05《第二篇解题技巧》模拟测试卷解析版_2.2025数学总复习_2023年新高考资料_二轮复习_备战2023年高考数学二轮复习考点精讲练(新教材·新高考)
专题05《第二篇解题技巧》模拟测试卷解析版_2.2025数学总复习_2023年新高考资料_二轮复习_备战2023年高考数学二轮复习考点精讲练(新教材·新高考)
专题05《第二篇解题技巧》模拟测试卷解析版_2.2025数学总复习_2023年新高考资料_二轮复习_备战2023年高考数学二轮复习考点精讲练(新教材·新高考)
专题05《第二篇解题技巧》模拟测试卷解析版_2.2025数学总复习_2023年新高考资料_二轮复习_备战2023年高考数学二轮复习考点精讲练(新教材·新高考)
专题05《第二篇解题技巧》模拟测试卷解析版_2.2025数学总复习_2023年新高考资料_二轮复习_备战2023年高考数学二轮复习考点精讲练(新教材·新高考)
专题05《第二篇解题技巧》模拟测试卷解析版_2.2025数学总复习_2023年新高考资料_二轮复习_备战2023年高考数学二轮复习考点精讲练(新教材·新高考)
专题05《第二篇解题技巧》模拟测试卷解析版_2.2025数学总复习_2023年新高考资料_二轮复习_备战2023年高考数学二轮复习考点精讲练(新教材·新高考)
专题05《第二篇解题技巧》模拟测试卷解析版_2.2025数学总复习_2023年新高考资料_二轮复习_备战2023年高考数学二轮复习考点精讲练(新教材·新高考)
专题05《第二篇解题技巧》模拟测试卷解析版_2.2025数学总复习_2023年新高考资料_二轮复习_备战2023年高考数学二轮复习考点精讲练(新教材·新高考)
专题05《第二篇解题技巧》模拟测试卷解析版_2.2025数学总复习_2023年新高考资料_二轮复习_备战2023年高考数学二轮复习考点精讲练(新教材·新高考)
专题05《第二篇解题技巧》模拟测试卷解析版_2.2025数学总复习_2023年新高考资料_二轮复习_备战2023年高考数学二轮复习考点精讲练(新教材·新高考)
专题05《第二篇解题技巧》模拟测试卷解析版_2.2025数学总复习_2023年新高考资料_二轮复习_备战2023年高考数学二轮复习考点精讲练(新教材·新高考)
专题05《第二篇解题技巧》模拟测试卷解析版_2.2025数学总复习_2023年新高考资料_二轮复习_备战2023年高考数学二轮复习考点精讲练(新教材·新高考)
专题05《第二篇解题技巧》模拟测试卷解析版_2.2025数学总复习_2023年新高考资料_二轮复习_备战2023年高考数学二轮复习考点精讲练(新教材·新高考)
专题05《第二篇解题技巧》模拟测试卷解析版_2.2025数学总复习_2023年新高考资料_二轮复习_备战2023年高考数学二轮复习考点精讲练(新教材·新高考)
专题05《第二篇解题技巧》模拟测试卷解析版_2.2025数学总复习_2023年新高考资料_二轮复习_备战2023年高考数学二轮复习考点精讲练(新教材·新高考)
专题05《第二篇解题技巧》模拟测试卷解析版_2.2025数学总复习_2023年新高考资料_二轮复习_备战2023年高考数学二轮复习考点精讲练(新教材·新高考)
专题05《第二篇解题技巧》模拟测试卷解析版_2.2025数学总复习_2023年新高考资料_二轮复习_备战2023年高考数学二轮复习考点精讲练(新教材·新高考)
专题05《第二篇解题技巧》模拟测试卷解析版_2.2025数学总复习_2023年新高考资料_二轮复习_备战2023年高考数学二轮复习考点精讲练(新教材·新高考)
专题05《第二篇解题技巧》模拟测试卷解析版_2.2025数学总复习_2023年新高考资料_二轮复习_备战2023年高考数学二轮复习考点精讲练(新教材·新高考)
专题05《第二篇解题技巧》模拟测试卷解析版_2.2025数学总复习_2023年新高考资料_二轮复习_备战2023年高考数学二轮复习考点精讲练(新教材·新高考)
专题05《第二篇解题技巧》模拟测试卷解析版_2.2025数学总复习_2023年新高考资料_二轮复习_备战2023年高考数学二轮复习考点精讲练(新教材·新高考)

文档信息

文档格式
docx
文档大小
1.599 MB
文档页数
29 页
上传时间
2026-03-11 15:51:56

文档内容

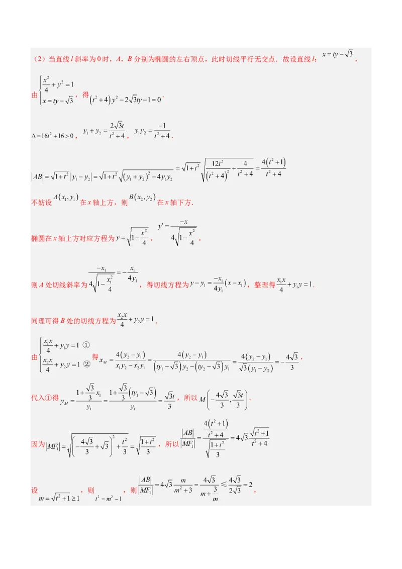
第二篇 解题技巧篇 专题 05 模拟测试卷(新高考地区专用) 注意事项: 1.答卷前,考生务必将自己的姓名、考生号等填写在答题卡和试卷指定位置上。 2.回答选择题时,选出每小题答案后,用铅笔把答题卡对应题目的答案标号涂黑。如需改动,用橡皮擦干净 后,再选涂其他答案标号。回答非选择题时,将答案写在答题卡上。写在本试卷上无效。 3.考试结束后,将本试卷和答题卡一并交回。 一、单项选择题:本题共8小题,每小题5分,共40分。在每小题给出的四个选项中,只有一项是符合题目 要求的。 1.(2023·湖南·模拟预测)已知集合 ,则 ( ) A. B. C. D. 【答案】B 【分析】先计算 ,再进行交集运算即可. 【详解】 , , , 故选:B. 2.(2023·吉林通化·梅河口市第五中学校考一模)若复数 , 在复平面内对应的点关于 轴对称,且 ,则复数 ( ) A.1 B. C.i D. 【答案】C 【分析】由题意求得 ,利用复数除法即可.【详解】因为 ,且复数 , 在复平面内对应的点关于 轴对称, 所以 , 所以 , 故选:C. 3.(2023秋·云南德宏·高三统考期末)在 中,若 为 边上的中线,点 在 上,且 , 则 ( ) A. B. C. D. 【答案】A 【分析】利用三角形法则和平行四边形法则表示向量. 【详解】如图所示,在 中, 因为 为 边上的中线, 所以 为 的中点, 所以由平行四边形法则有: , 又点 在 上,且 所以 , 所以, 故选:A. 4.(2022秋·辽宁沈阳·高三校联考阶段练习)攒尖是我国古代建筑中屋顶的一种结构样式,多见于亭阁式建 筑、园林建筑.如图所示的带有攒尖的建筑屋顶可近似看作一个圆锥,其底面积为9π,侧面展开图是圆心角为 的扇形,则该屋顶的体积约为( ) A. B.16π C.18π D. 【答案】D 【分析】根据底面圆面积可求底面圆半径,从而可求底面圆周长,即可求扇形半径,再根据勾股定理求圆锥的 高,最后即可求出圆锥体积. 【详解】底面积为9π,即 , 所以底面圆的半径 , 所以底面圆周长为 , 即圆锥侧面展开图的弧长 , 又因为侧面展开图是圆心角为 的扇形, 所以扇形半径 ,如图所示:则圆锥的高 , 则圆锥的体积 . 故选:D 5.(2023春·浙江·高三校联考开学考试)2022年11月30日,我国神舟十五号载人飞船圆满发射,并成功对 接空间站组合体,据中国载人航天工程办公室消息,神舟十六号等更多的载人飞船正在测试准备中,第**号载 人飞船将从四名男航天员A,B,C,D与两名女航天员E,F中选择3人执行飞天任务(假设每位航天员被选 中的可能性相同),则其中有且仅有一名女航天员的概率为( ) A. B. C. D. 【答案】C 【分析】根据古典概型及组合数求解即可. 【详解】根据题意,随机选取3人共有 种选法,其中有且仅有一名女航天员的选法有 种, 根据古典概型可得 , 故选:C 6.(2023·河南·校联考模拟预测)将函数 的图象向右平移 个单 位长度后得到函数 的图象.若 是函数 的一个极值点,则 的值为( ) A. B. C. D. 【答案】A【分析】利用二倍角公式和两角差的公式得到 ,利用平移变换得到 , 再根据 是函数 的一个极值点,即当 时,函数 取得最值求解. 【详解】由 ,化简得 , 所以 . 又 是函数 的一个极值点, 所以当 时,函数 取得最值, 所以 , 解得 . 因为 , 所以 . 故选:A. 7.(2023秋·江苏无锡·高三统考期末)设 , , ,则下列关系正确的是( ). A. B. C. D. 【答案】D 【分析】构造函数 ,利用导数求出函数的单调区间,即可比较 ,再构造函数 ,判断函数 在 上的单调性,即可比较 ,从而可得出答案.【详解】令 ,则 , 当 时, ,当 时, , 所以函数 在 上递减,在 上递增, 所以 ,即 , 所以 , 令 ,则 , 令 , 则 , 所以 在 上递减, 所以 ,所以 , 所以 在 上递减, 所以 , 即当 时, , 所以 , 即 , 所以 . 故选:D. 【点睛】关键点点睛:解决本题的关键在于构造函数 和 ,即2sinAcosC− sinC=2sin (A+C) ,当且仅当 时,取等号,当 时, . 8.(2023·吉林通化·梅河口市第五中学校考一模)表面积为 的球内有一内接四面体 ,其中平面 平面 , 是边长为3的正三角形,则四面体PABC体积的最大值为( ) A. B. C. D. 【答案】D 【分析】四面体PABC体积最大需要 到底面 的距离为 最大,分析出 最大时满足 ,进而利用 几何关系求出其最大值. 【详解】 如图所示, 是四面体 外接球的球心,设球 的半径为 , 是 外接圆的圆心,设圆 的半径为 ,设 到底面 的距离为 , 取 中点 ,连接 ,过 作 , 由题意可得 ,则 , 因为 是边长为3的正三角形, 所以由正弦定理可得 ,则 , 四面体PABC体积为 , 四面体PABC体积的最大需要 最大, 由题意可知 在过 并且与底面 垂直的圆面上运动, 当 运动到圆面的最高点时, 最大, 由圆的对称性可知此时 ,则 , 又平面 平面 ,则 平面在 中, , , 则 , 则 , , 在 中, , 则 , . 故选:D. 【点睛】与球有关的组合体问题,一种是内切,一种是外接.解题时要认真分析图形,明确切点和接点的位置, 确定有关元素间的数量关系,并作出合适的截面图,如球内切于正方体,切点为正方体各个面的中心,正方体 的棱长等于球的直径;球外接于正方体,正方体的顶点均在球面上,正方体的体对角线长等于球的直径. 二、多项选择题:本题共4小题,每小题5分,共20分.在每小题给出的选项中,有多项符合题目要求,全 部选对的得5分,部分选对的得2分,有选错的得0分. 9.(2023·全国·模拟预测)如图,在正方体 中,以下结论正确的是( ) A. 平面 B. 平面 C.异面直线 与 所成的角为60° D.直线 与平面ABCD所成角的正弦值为【答案】ABD 【分析】根据正方体的特征和性质,线面平行、线面垂直的判定、异面直线所成的角和直线与平面所成的角, 逐项进行分析即可求解. 【详解】对于A:在正方体 中, ,又 平面 , 平面 ,所以 平面 ,故A正确; 对于B:连接 , 易知 , ,所以 ,因为 平面 , 平面 ,所以 , 又 ,所以 平面 ,故B正确; 对于C:易知直线 平面 ,所以 ,所以异面直线 与 所成的角为90°,故C错误; 对于D:连接BD, 易知 平面ABCD,所以直线 与平面ABCD所成的角为 ,设正方体的棱长为1,则 , 在 中, ,所以直线 与平面ABCD所成角的正弦值为 ,故D正确.故选: . 10.(2023·广东深圳·统考一模)已知函数 ,若 ,其中 ,则( ) A. B. C. D.abc的取值范围是 【答案】BCD 【分析】利用导数求出函数的单调区间和极值,利用函数图象求出 三个根范围,再利用方程变形求出 ,从而利用不等式性质求范围即可 【详解】因为 ,所以 ,令 ,解得: 或 , 当 时, 或 ,所以 单调递增区间为 和 ; 当 时, ,所以 单调递减区间为 ;且 , ,如图: 设 ,则 , ,故选项A错误; 又 ,所以 , 即 , 对照系数得 ,故选项B正确; ,故选项D正确;因为 ,所以 ,解得 ,故选项C正确, 综上,正确的选项为BCD. 故选:BCD 11.(2023春·湖南·高三校联考阶段练习)已知抛物线C: 的焦点为F,过点F的直线l交抛物线C于 A,B两点,O为坐标原点,直线OA,OB的斜率分别为 、 ,则下列说法正确的是( ) A.抛物线开口向右,焦点坐标为 B.C的准线方程为 C. 的最小值为4 D. 【答案】ACD 【分析】将抛物线方程改写成标准方程形式即可得焦点坐标和准线方程,即可知A正确,故B错误;分类讨 论直线斜率是否存在联立直线方程和抛物线方程并利用焦点弦公式即可求得 的最小值为4,且 可 得CD都正确. 【详解】抛物线C的标准方程为 ,开口向右,焦点坐标为 , 准线方程 ,故A正确,故B错 误; 设 .易知 符号相反. 当直线AB斜率不存在时,不妨设A在第一象限,则 , , ; 当直线AB斜率存在时,设AB方程为 , , 易知 , 联立 ,整理可得 , 则 , 故总有: ,由焦点弦公式可知 , 当且仅当 时,等号成立; 即 的最小值为4,故C正确; 又 ,∴ , 由 ,故D正确. 故选:ACD. 12.(2023·浙江·永嘉中学校联考模拟预测)已知函数 及其导函数 的定义域均为 ,记 .若 与 均为偶函数,则( ) A. B.函数 的图象关于点 对称 C.函数 的周期为2 D. 【答案】ABD 【分析】根据函数 为偶函数集合图象变换可推出 为偶函数,即得 ,利用特殊值判断A;对 进行变形处理即可判断其对称性从而 判断B;由 为偶函数,且 ,代换处理即可判断C;根据 的周期即周期内的特殊值关系得 , ,化简 可判断D. 【详解】解:对于A,若 为偶函数,则 关于直线 对称,将 纵坐 标不变,横坐标变为原来的2倍,可得 , 则函数 关于直线 对称,即 为偶函数,所以 , 则 ,所以 ,即 , 令 得, ,所以 ,故A正确; 对于B,由 可得,当 时, ,即 , 令 ,则 ,所以 ,所以函数函数 的图象关于点 对 称,故B正确; 对于C,因为 为偶函数,则 , 又 , 所以 , 则 , 所以 ,即 , 则 ,所以函数 的周期为4,故C不正确; 对于D,函数 的周期为4,则函数 的周期也为4,由 ,可得 , ,则 ,故 D正确. 故选:ABD. 【点睛】关键点点睛:解决本题的关键是利用函数的奇偶性结合合理赋值确定函数的对称性及周期性. 三、填空题:本题共4小题,每小题5分,共20分. 13.(2023秋·云南德宏·高三统考期末)二项式 的常数项为____________. 【答案】 【分析】先确定 的展开式的通项公式,再由 求解即可. 【详解】 的展开式的通项公式为 , 而 , 令 ,得 ;令 ,得 ,舍去. 所以 的展开式中的常数项为 . 故答案为: 14.(2023·云南曲靖·统考一模)已知随机变量 ,若 ,则p=_____. 【答案】 ##0.25【分析】由 可得 ,进而可求解答案. 【详解】已知X~B(2,p), 则 , ∴ ,解得 或 (因为0<p<1,故舍去). 故答案为: . 15.(2023·湖南·模拟预测)在平面直角坐标系 中,已知圆 , ,直线 与圆 相切,与圆 相交于 , 两点,分别以点 , 为切点作圆 的切线 , 设直线 , 的交点为 ,则 的最大值为__________. 【答案】 ## 【分析】设 , ,由相切关系,建立点A,B坐标所满足的方程,即弦 所在直线的方程, 由直线 与圆 相切,得 ,求出m的最大值. 【详解】设点 , , , , 因为分别以点A,B为切点作圆 的切线 , . 设直线 , 的交点为 ,所以 ,则 , 即 ,所以 ,因为 , 所以 ,即 是方程 的解, 所以点 在直线 上, 同理可得 在直线 上,所以弦 所在直线的方程为 , 因为直线 与圆 相切,所以 , 解得 ,得 , 即 的最大值为 . 故答案为:3.5 16.(2022·四川成都·成都市第二十中学校校考一模)已知 为坐标原点,双曲线 的左、 右焦点分别是 ,离心率为 ,点 是 的右支上异于顶点的一点,过 作 的平分线的垂 线,垂足是 ,若点 满足 ,则 的最小值为__________. 【答案】 ##0.5 【分析】由条件,结合双曲线的定义可求出双曲线方程,再通过求双曲线的斜率为1的且切点在双曲线的右支 的切线与直线 的距离即可. 【详解】设半焦距为 ,延长 交 于点 ,由于 是 的平分线, , 所以 是等腰三角形,所以 ,且 是 的中点. 根据双曲线的定义可知 ,即 , 由于 是 的中点,所以 是 的中位线, 所以 , 又双曲线的离心率为 ,故 ,所以 ,又 ,所以 , 所以双曲线 的方程为 ,根据题意,知所求的是双曲线右支上一点到直线 的距离的最小值的平方. 设与直线 平行双曲线的切线方程为 , 联立 ,消去 ,可得 , 所以 ,所以 或1, 当 时,切点坐标为 与已知矛盾,当 时,切点坐标为 ,所以 , 所以切点到直线 的距离为 ,所以 的最小值为 . 故答案为: . 【点睛】问题的解决的关键在于结合双曲线的定义及角平分线的性质求出双曲线的方程和将问题求两点之间的 距离的最小值的平方转化为求平行直线的距离的平方的问题. 四、解答题:本题共6小题,共70分.解答应写出文字说明、证明过程或演算步骤. 17.(2023秋·云南德宏·高三统考期末)如果数列 满足: ,且 . (1)求数列 的通项公式; (2)设 ,记数列 的前n项和为 ,证明 . 【答案】(1) (2)证明见解析【分析】(1)通过累加法即可求; (2)借助 进行放缩,从而裂项相消求和,最终得证. 【详解】(1)∵ , ∴ 当 时, , ,…, , ∴ , , ∴ , 显然, 满足上式. 所以 . (2)由(1)知, . ∵ , ∴ , 又 ,则 , 所以, . 【点睛】关键点点睛:当没办法常规求和时,又是证明前 项和有关的不等式,可以考虑放缩求和,比如这道 题的第(2)问,借助 进行放缩,从而裂项相消求和. 18.(2022·北京·统考模拟预测)在 中,角 所对的边分别为 ,且 . (1)求 的值;(2)若D为AB中点,且 ,求 面积的最大值. 【答案】(1) (2) 【分析】(1)利用正弦定理及 可求出 ,利用诱导公式可求; (2)利用余弦定理和基本不等式求出 ,即可求出 面积的最大值. 【详解】(1)在 中,对于 , 利用正弦定理得: ∵ ,∴ . ∵ ,且 ∴ , ∴ . (2)由(1) .在 中, ∴ ∴ (当且仅当 时取等号,此时 , ). ∴ ∴ 19.(2023秋·云南楚雄·高三统考期末)如图,在边长为2的菱形ABCD中, ,DE⊥平面 ABCD,DE∥AF,BDE为等腰三角形,E,F在平面ABCD的同侧,且DE=2AF,P为线段EF的中点.(1)证明:AC⊥BE. (2)在线段AC上是否存在点Q,使得PQ∥平面BEC?若存在,指出点Q的位置;若不存在,请说明理由. (3)求二面角 的余弦值. 【答案】(1)证明见解析; (2)存在,Q是OC的中点; (3) . 【分析】(1)由DE⊥平面ABCD证得DE⊥AC,又菱形ABC D的对角线互相垂直,从而证得结果; (2)建立空间直角坐标系,求出平面BEC的法向量 ,由 求出Q点坐标; (3)求平面BEF的法向量为 ,再得出两个法向量 , 所成角的余弦值,得出结果. 【详解】(1)证明:因为DE⊥平面ABCD,且四边形ABCD为菱形, 所以DE⊥AC,AC⊥BD, 又 , 平面BDE, 所以AC⊥平面BDE, 平面BDE, 所以AC⊥BE; (2)存在点Q. 设AC与BD交于点O,BE的中点为M,连接OM,则OM∥DE,OM⊥平面ABCD,OM,OA,OB两两垂直, 以O为坐标原点, , , 的方向分别为x,y,z轴的正方向建立如图所示的空向直角坐标系,菱形 ABCD边长为2, , , ,则 , , , , , . 设平面BCE的法向量为 , , , 则 ,令 ,得 , 假设存在点Q,设 ,则 , 由PQ∥平面BEC,可知 ,解得 , 此时Q是OC的中点; (3)设平面BEF的法向量为 , , , 则 ,令 ,得 , 由 , 由图可知二面角 为钝角,故二面角F-BE-C的余弦值为 . 20.(2023春·北京·高三北京市陈经纶中学校考开学考试)2022年2月在北京召开了冬季奥运会,北京某大学 鼓励学生积极参与了志愿者的服务工作,某学院有6名学生参加了开幕式中的志愿服务,其中4名男生,2名 女生. (1)若从中依次抽取2名志愿者参加一项重要活动,第1次抽到的是男生,求第2次也抽到的是男生的概率;(2)若从6名志愿者中任选3人负责滑雪项目服务岗位, (i)设所选3人中女生人数为X,求X的分布列和数学期望; (ii)现将6人分为A、B两组进行滑雪项目相关知识及志愿者服务知识竞赛,共赛10局,A、B两组分数如下: (单位:分) A:125,141,140,137,122,114,119,139,121,142; B:127,116,144,127,144,116,140,140,116,130. 从统计学角度看,应选择哪个组更合适?理由是什么? 【答案】(1) (2)(i)分布列见解析,1;(ii)选择A组,理由:两队平均数相同,且 , 组成绩波动小. 【分析】(1)根据条件概率的求法得出答案; (2)(i)根据离散型随机变量的分布列与数学期望的求法得出答案; (ii)求出各组的平均数与方差,对比其大小即可判断. 【详解】(1)设“第1次抽到的是男生”为事件 ,“第2次抽到的是男生”为事件 , 则“第1次和第2次抽到的都是男生”为事件 . 所以 ; (2)(i) 的可能取值为 . 依题意, . 所以 的分布列为 0 1 2 的数学期望 . (ii)A组数据的平均数 ,组数据的平均数 , 组数据的方差 , B组数据的方差 , 故选择A组,理由:两队平均数相同,且 ,即 组成绩波动小. 21.(2023·江苏连云港·统考模拟预测)已知椭圆E: 的焦距为 ,且经过点 . (1)求椭圆E的标准方程: (2)过椭圆E的左焦点 作直线l与椭圆E相交于A,B两点(点A在x轴上方),过点A,B分别作椭圆的切线, 两切线交于点M,求 的最大值. 【答案】(1) (2)2 【分析】(1)由待定系数法求解析式; (2)设出直线方程,由韦达定理法及导数法求得两切线方程,即可联立两切线方程解得交点M,再由弦长公 式及两点距离公式表示出 ,进而讨论最值. 【详解】(1)由题意得 ,所以 ,即椭圆方程为 ;(2)当直线l斜率为0时,A,B分别为椭圆的左右顶点,此时切线平行无交点.故设直线l: , 由 ,得 . , , . 不妨设 在x轴上方,则 在x轴下方. 椭圆在x轴上方对应方程为 , , 则A处切线斜率为 ,得切线方程为 ,整理得 . 同理可得B处的切线方程为 . 由 得 , 代入①得 ,所以 . 因为 ,所以 设 ,则 ,则 ,当且仅当 ,即 时, 的最大值是2. 另解:当直线l的斜率存在时,设l: , 由 得 , 所以 , , , 椭圆在x轴上方的部分方程为 , , 则过 的切线方程为 , 即 , 同理可得过 的切线方程为 . 由 得 设 ,则 , 所以直线l的方程为 ,所以 . ,令 ,则 ,所以 , 当 时,即 时, 取得最大值,为2. 【点睛】直线与圆锥曲线问题,一般设出直线,联立直线与圆锥曲线方程,结合韦达定理表示出所求的内容, 进而进行进一步讨论. 22.(2023秋·云南德宏·高三统考期末)已知函数 , .当 时, 在 上的最大值为 . (1)求实数a的值; (2) ,有 .当 时,求 的最大值. 【答案】(1)1 (2)当 时, ;当 时, 【分析】(1)利用导数判断出函数 的单调性,写出最大值的表达式即可求得实数a的值;(2)将 不等式 化简变形可得不等式组 在 上恒成立,分别构造 函数使其在 上的最值成立即可得出 的关系式,利用不等式性质代入 即可求得其最大值. 【详解】(1)设 ,则 . 所以 ,易知函数 在 上单调递减,且 ; 所以当 时, ,函数 在 上单调递减, 当 时, ,所以函数 在 上单调递增, 因此, ,所以 ,得即实数a的值为1. (2)由 , 得 ,即 (I)对于 ,由题设知不等式 在 上恒成立, 令 ,则 在 上恒成立, 而 ,又 , 令 ,可得 ; ,可得 当 时,有 ,可知 在 上单调递减,在 上单调递增; 即 , 又因为 ,即 ,即 ; ① 当 时,有 , 在 上单调递增, 而 ,所以 ,得 ; ② (II)对于 ,由题设知不等式 在 上恒成立, 设 ,即 在 上成立, ,又 , 令 得 , 可得 , 所以 在 上单调递增,在 上单调递减, 即 ,得 ,即 ; ③综上所述,当 时,由①③得 , 即 ; 当 时,由②③得 , 即 ; 即当 时, ;当 时, 【点睛】方法点睛:证明不等式成立的常用方法是通过将不等式合理变形,构造函数利用导函数判断出单调性 并求出其最值,根据题意再进行求解即可.